Inhibition of AKT2 Enhances Sensitivity to Gemcitabine via Regulating PUMA and NF-κB Signaling Pathway in Human Pancreatic Ductal Adenocarcinoma
Abstract
:1. Introduction
2. Materials and Methods
2.1. Cell Culture
2.2. Reagents
2.3. Construction of Adeno-Associated Virus-Mediated AKT2 siRNA Vector
2.5. Transient Transfection
2.6. Drug Treatments
2.7. MTT Assay
2.8. TUNEL Assay
2.9. Preparation of Nuclear and Cytoplasmic Extracts
2.10. Western Blotting
2.11. NF-κB Activity Assay
2.12. Detection of NF-κB Binding Activity by EMSA
2.13. Tumor Xenografts and Tissue Staining
2.14. Statistical Analysis
3. Results
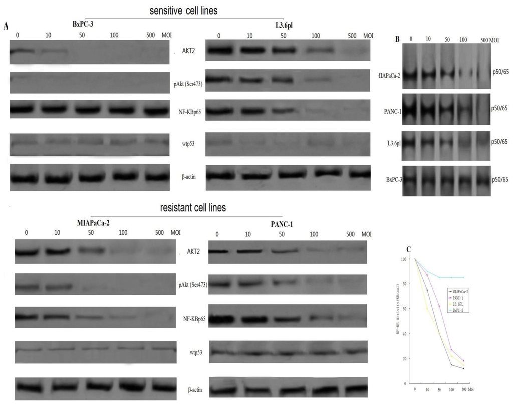
3.1. Knockdown of AKT2 Reduces NF-κB Activity in Pancreatic Cancer Cell Lines
3.2. Differential Response to Chemotherapy in Pancreatic Cancer Cell Lines with Varying Levels of AKT2 Inhibition
3.3. Effect of Gemcitabine on Activation of AKT and NF-κB in Pancreatic Cancer Cells
3.4. PUMA Is Required for Gemcitabine-Induced Apoptosis in Pancreatic Cancer Cells
3.5. Induction of PUMA-Dependent Sensitivity to Gemcitabine by Inhibition of AKT2 Activity, as a Mechanism of Apoptosis Promotion in Pancreatic Cancer Cells
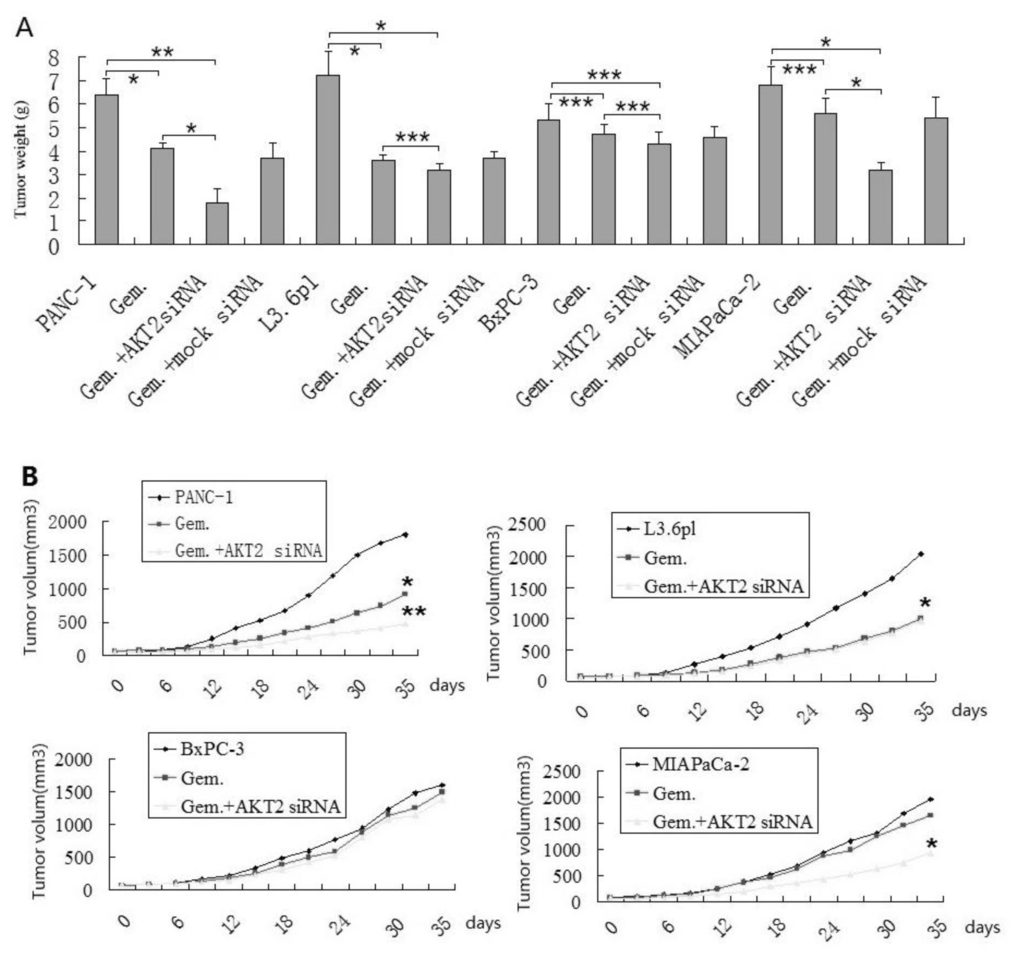
3.6. Effect of Gemcitabine Alone and in Combination with AKT2 siRNA on Primary Tumor Growth in Pancreatic Cancer In Vivo
3.7. Effect of Gemcitabine Alone and in Combination with AKT2 siRNA on Primary Tumor Apoptosis in Pancreatic Cancer In Vivo
3.8. Effect of Gemcitabine Alone and in Combination with AKT2 siRNA on PUMA and NF-κB in Pancreatic Cancer In Vivo
4. Discussion
5. Conclusions
Acknowledgments
- Conflict of InterestThe authors promised there were not any possible conflicts of interest in this research.
References
- Hidalgo, M. Pancreatic cancer. N. Engl. J. Med 2010, 362, 1605–1617. [Google Scholar]
- Long, J.; Zhang, Y.; Yu, X.; Yang, J.; Lebrun, D.G.; Chen, C.; Yao, Q.; Li, M. Overcoming drug resistance in pancreatic cancer. Expert Opin. Ther. Targets 2011, 15, 817–828. [Google Scholar]
- Nieto, J.; Grossbard, M.L.; Kozuch, P. Metastatic pancreatic cancer 2008: Is the glass less empty? Oncologist 2008, 13, 562–576. [Google Scholar]
- Cooke, E.W.; Hazard, L. Curative radiation therapy for pancreatic malignancies. Surg. Clin. N. Am 2010, 90, 341–354. [Google Scholar]
- Heinemann, V. Present and future treatment of pancreatic cancer. Semin. Oncol 2002, 29, 23–31. [Google Scholar]
- Squadroni, M.; Fazio, N. Chemotherapy in pancreatic adenocarcinoma. Eur. Rev. Med. Pharmacol. Sci 2010, 14, 386–394. [Google Scholar]
- Bellacosa, A.; Kumar, C.C.; Di Cristofano, A.; Testa, J.R. Activation of AKT kinases in cancer: Implications for therapeutic targeting. Adv. Cancer Res 2005, 94, 29–86. [Google Scholar]
- Hanada, M.; Feng, J.; Hemmings, B.A. Structure, regulation and function of PKB/AKT—A major therapeutic target. Biochim. Biophys. Acta 2004, 1697, 3–16. [Google Scholar]
- Gallia, G.L.; Tyler, B.M.; Hann, C.L.; Siu, I.M.; Giranda, V.L.; Vescovi, A.L.; Brem, H.; Riggins, G.J. Inhibition of Akt inhibits growth of glioblastoma and glioblastoma stem-like cells. Mol. Cancer Ther 2009, 8, 386–393. [Google Scholar]
- Giussani, P.; Brioschi, L.; Bassi, R.; Riboni, L.; Viani, P. Phosphatidylinositol 3-kinase/AKT pathway regulates the endoplasmic reticulum to golgi traffic of ceramide in glioma cells: A link between lipid signaling pathways involved in the control of cell survival. J. Biol. Chem 2009, 284, 5088–5096. [Google Scholar]
- Jetzt, A.; Howe, J.A.; Horn, M.T.; Maxwell, E.; Yin, Z.; Johnson, D.; Kumar, C.C. Adenoviral-mediated expression of a kinase-dead mutant of Akt induces apoptosis selectively in tumor cells and suppresses tumor growth in mice. Cancer Res 2003, 63, 6697–6706. [Google Scholar]
- Chen, K.F.; Yeh, P.Y.; Yeh, K.H.; Lu, Y.S.; Huang, S.Y.; Cheng, A.L. Down-regulation of phospho-Akt is a major molecular determinant of bortezomib-induced apoptosis in hepatocellular carcinoma cells. Cancer Res 2008, 68, 6698–6707. [Google Scholar]
- Takeda, A.; Osaki, M.; Adachi, K.; Honjo, S.; Ito, H. Role of the phosphatidylinositol 3′-kinase-Akt signal pathway in the proliferation of human pancreatic ductal carcinoma cell lines. Pancreas 2004, 28, 353–358. [Google Scholar]
- Yamamoto, S.; Tomita, Y.; Hoshida, Y.; Morooka, T.; Nagano, H.; Dono, K.; Umeshita, K.; Sakon, M.; Ishikawa, O.; Ohigashi, H.; et al. Prognostic significance of activated Akt expression in pancreatic ductal adenocarcinoma. Clin. Cancer Res 2004, 10, 2846–2850. [Google Scholar]
- Parsons, C.M.; Muilenburg, D.; Bowles, T.L.; Virudachalam, S.; Bold, R.J. The role of Akt activation in the response to chemotherapy in pancreatic cancer. Anticancer Res 2010, 30, 3279–3290. [Google Scholar]
- Ng, S.S.W.; Tsao, M.-S.; Chow, S.; Hedley, D.W. Inhibition of phosphatidylinositide 3-kinase enhances gemcitabine-induced apoptosis in human pancreatic cancer cells. Cancer Res 2000, 60, 5451–5455. [Google Scholar]
- Ng, S.S.W.; Tsao, M.-S.; Chow, S.; Hedley, D.W. Wortmannin inhibits PKB/Akt phosphorylation and promotes gemcitabine antitumor activity in orthotopic human pancreatic cancer xenografts in immunodeficient mice. Clin. Cancer Res 2001, 7, 3269–3275. [Google Scholar]
- Fahy, B.N.; Schlieman, M.; Virudachalam, S.; Bold, R.J. AKT inhibition is associated with chemosensitisation pancreatic cancer cell line MIA-PaCa-2. Br. J. Cancer 2003, 89, 391–397. [Google Scholar]
- Neumann, M.; Naumann, M. Beyond IκBs: Alternative regulation of NF-κB activity. FASEB J 2007, 21, 2642–2654. [Google Scholar]
- Van Waes, C. Nuclear factor-KB in development, prevention, and therapy of cancer. Clin. Cancer Res 2007, 13, 1076–1082. [Google Scholar]
- Pan, X.; Arumugam, T.; Yamamoto, T.; Levin, P.A.; Ramachandran, V.; Ji, B.; Lopez-Berestein, G.; Vivas-Mejia, P.E.; Sood, A.K.; McConkey, D.J.; et al. Nuclear factor-KB p65/relA silencing induces apoptosis and increases gemcitabine effectiveness in a subset of pancreatic cancer cells. Clin. Cancer Res 2008, 14, 8143–8151. [Google Scholar]
- Arlt, A.; Gehrz, A.; Müerköster, S.; Vorndamm, J.; Kruse, M.L.; Fölsch, U.R.; Schäfer, H. Role of NF-kappaB and Akt/PI3K in the resistance of pancreatic carcinoma cell lines against gemcitabine-induced cell death. Oncogene 2003, 22, 3243–3251. [Google Scholar]
- Kong, R.; Sun, B.; Jiang, H.; Pan, S.; Chen, H.; Wang, S.; Krissansen, G.W.; Sun, X. Downregulation of nuclear factor-kappaB p65 subunit by small interfering RNA synergizes with gemcitabine to inhibit the growth of pancreatic cancer. Cancer Lett 2010, 291, 90–98. [Google Scholar]
- Li, Y.; Sarkar, F.H. Inhibition of nuclear factor kB activation in PC3 cells by genistein is mediated via Akt signaling pathway. Clin. Cancer Res 2002, 8, 2369–2377. [Google Scholar]
- Rahman, K.M.; Li, Y.; Sarkar, F.H. Inactivation of Akt and NF-kB play important roles during indole-3-carbinolinduced apoptosis in breast cancer cells. Nutr. Cancer 2004, 48, 84–94. [Google Scholar]
- Fahy, B.N.; Schlieman, M.G.; Virudachalam, S.; Bold, R.J. Inhibition of AKT abrogates chemotherapy-induced NF-kappaB survival mechanisms: Implications for therapy in pancreatic cancer. J. Am. Coll. Surg 2004, 198, 591–599. [Google Scholar]
- Duxbury, M.S.; Ito, H.; Zinner, M.J.; Ashley, S.W.; Whang, E.E. siRNA directed against c-Src enhances pancreatic adenocarcinoma cell gemcitabine chemosensitivity. J. Am. Coll. Surg 2004, 198, 953–959. [Google Scholar]
- Yu, J.; Wang, Z.; Kinzler, K.W.; Vogelstein, B.; Zhang, L. PUMA mediates the apoptotic response to p53 in colorectal cancer cells. Proc. Natl. Acad. Sci. USA 2003, 100, 1931–1936. [Google Scholar]
- Nakano, K.; Vousden, K.H. PUMA, a novel proapoptotic gene, is induced by p53. Mol. Cell 2001, 7, 683–694. [Google Scholar]
- Yu, J.; Yue, W.; Wu, B.; Zhang, L. PUMA sensitizes lung cancer cells to chemotherapeutic agents and irradiation. Clin. Cancer Res 2006, 12, 2928–2936. [Google Scholar]
- Konstantakou, E.G.; Voutsinas, G.E.; Karkoulis, P.K.; Aravantinos, G.; Margaritis, L.H.; Stravopodis, D.J. Human bladder cancer cells undergo cisplatin-induced apoptosis that is associated with p53-dependent and p53-independent responses. Int. J. Oncol 2009, 35, 401–416. [Google Scholar]
- Chen, Y.; Qian, H.; Wang, H.; Zhang, X.; Fu, M.; Liang, X.; Ma, Y.; Zhan, Q.; Lin, C.; Xiang, Y. Ad-PUMA sensitizes drug-resistant choriocarcinoma cells to chemotherapeutic agents. Gynecol. Oncol 2007, 107, 505–512. [Google Scholar]
- Wang, X.; Li, M.; Wang, J.; Yeung, C.M.; Zhang, H.; Kung, H.F.; Jiang, B.; Lin, M.C. The BH3-only protein, PUMA, is involved in oxaliplatin-induced apoptosis in colon cancer cells. Biochem. Pharmacol 2006, 71, 1540–1550. [Google Scholar]
- Wang, H.; Qian, H.; Yu, J.; Zhang, X.; Zhang, L.; Fu, M.; Liang, X.; Zhan, Q.; Lin, C. Administration of PUMA adenovirus increases the sensitivity of esophageal cancer cells to anticancer drugs. Cancer Biol. Ther 2006, 5, 380–385. [Google Scholar]
- de Frias, M.; Iglesias-Serret, D.; Cosialls, A.M.; Coll-Mulet, L.; Santidrián, A.F.; González-Gironès, D.M.; de la Banda, E.; Pons, G.; Gil, J. Akt inhibitors induce apoptosis in chronic lymphocytic leukemia cells. Haematologica 2009, 94, 1698–1707. [Google Scholar]
- Fraser, M.; Bai, T.; Tsang, B.K. Akt promotes cisplatin resistance in human ovarian cancer cells through inhibition of p53 phosphorylation and nuclear function. Int. J. Cancer 2008, 122, 534–546. [Google Scholar]
- Ishihara, T.; Hoshino, T.; Namba, T.; Tanaka, K.-I.; Mizushima, T. Involvement of up-regulation of PUMA in non-steroidal anti-inflammatory drug-induced apoptosis. Biochem. Biophys. Res. Commun 2007, 356, 711–717. [Google Scholar]
- Coloff, J.L.; Mason, E.F.; Altman, B.J.; Gerriets, V.A.; Liu, T.; Nichols, A.N.; Zhao, Y.; Wofford, J.A.; Jacobs, S.R.; Ilkayeva, O.; et al. Akt requires glucose metabolism to suppress puma expression and prevent apoptosis of leukemic T cells. J. Biol. Chem 2011, 286, 5921–5933. [Google Scholar]
- Karst, A.M.; Dai, D.L.; Cheng, J.Q.; Li, G. Role of p53 up-regulated modulator of apoptosis and phosphorylated Akt in melanoma cell growth, apoptosis, and patient survival. Cancer Res 2006, 66, 9221–9226. [Google Scholar]
- Bruns, C.J.; Harbison, M.T.; Kuniyasu, H.; Eue, I.; Fidler, I.J. In vivo selection and characterization of metastatic variants from human pancreatic adenocarcinoma by using orthotopic implantation in nude mice. Neoplasia 1999, 1, 50–62. [Google Scholar]
- Banerjee, S.; Zhang, Y.; Ali, S.; Bhuiyan, M.; Wang, Z.; Chiao, P.J.; Philip, P.A.; Abbruzzese, A.; Sarkar, F.H. Molecular evidence for increased antitumor activity of gemcitabine by genistein in vitro and in vivo using an orthotopic model of pancreatic cancer. Cancer Res 2005, 65, 9064–9072. [Google Scholar]
- Huang, S.; Pettaway, C.A.; Uehara, H.; Bucana, C.D.; Fidler, I.J. Blockade of NF-kappaB activity in human prostate cancer cells is associated with suppression of angiogenesis, invasion, and metastasis. Oncogene 2001, 20, 4188–4197. [Google Scholar]
- Altomare, D.A.; Tanno, S.; De Rienzo, A.; Klein-Szanto, A.J.; Tanno, S.; Skele, K.L.; Hoffman, J.P.; Testa, J.R. Frequent activation of AKT2 kinase in human pancreatic carcinomas. J. Cell Biochem 2002, 87, 470–476. [Google Scholar]
- Miwa, W.; Yasuda, J.; Murakami, Y.; Yashima, K.; Sugano, K.; Sekine, T.; Kono, A.; Egawa, S.; Yamaguchi, K.; Hayashizaki, Y.; Sekiya, T. Isolation of DNA sequences amplified at chromosome 19q13.1-q13.2 including the AKT2 locus in human pancreatic cancer. Biochem. Biophys. Res. Commun 1996, 225, 968–974. [Google Scholar]
- Ruggeri, B.A.; Huang, L.; Wood, M.; Cheng, J.Q.; Testa, J.R. Amplification and overexpression of the AKT2 oncogene in a subset of human pancreatic ductal adenocarcinomas. Mol. Carcinog 1998, 21, 81–86. [Google Scholar]
- Liu, J.; Cheng Sun, S.H.; Sun, S.J.; Huang, C.; Hu, H.H.; Jin, Y.B.; Qiu, Z.J. Phosph-Akt1 expression is associated with a favourable prognosis in pancreatic cancer. Ann. Acad. Med. Singapore 2010, 39, 548–547. [Google Scholar]
- Elbashir, S.M.; Harborth, J.; Lendeckel, W.; Yalcin, A.; Weber, K.; Tuschl, T. Duplexes of 21-nucleotide RNAs mediate RNA interference in cultured mammalian cells. Nature 2001, 411, 494–498. [Google Scholar]
- Jiang, Z.Y.; Zhou, Q.L.; Coleman, K.A.; Chouinard, M.; Boese, Q.; Czech, M.P. Insulin signaling through Akt/protein kinase B analyzed by small interfering RNA-mediated gene silencing. Proc. Natl. Acad. Sci. USA 2003, 100, 7569–7574. [Google Scholar]
- Zhang, B.; Lu, Y.; Sun, C.; Zhao, W.; Jiao, X.; Hu, J.; Mu, P.; Lu, H.; Zhou, C. Slug inhibition upregulates radiation-induced PUMA activity leading to apoptosis in cholangiocarcinomas. Med. Oncol 2010. [Google Scholar] [CrossRef]
- Wang, Z.; Zhou, J.; Fan, J.; Qiu, S.-J.; Yu, Y.; Huang, X.-W.; Tang, Z.-Y. Effect of rapamycin alone and in combination with sorafenib in an orthotopic model of human hepatocellular carcinoma. Clin. Cancer Res 2008, 14, 5124. [Google Scholar]
- Osborn, L.; Kunkel, S.; Nabel, G.J. Tumor necrosis factor alpha and interleukin 1 stimulate the human immunodeficiency virus enhancer by activation of the nuclear factor kappa B. Proc. Natl. Acad. Sci. USA 1989, 86, 2336–2340. [Google Scholar]
- Dignam, J.D.; Lebovitz, R.M.; Roeder, R.G. Accurate transcription initiation by RNA polymerase II in a soluble extract from isolated mammalian nuclei. Nucleic Acids Res 1983, 11, 1475–1489. [Google Scholar]
- Verma, A.; Wang, H.; Manavathi, B.; Fok, J.Y.; Mann, A.P.; Kumar, R.; Mehta, K. Increased expression of tissue transglutaminase in pancreatic ductal adenocarcinoma and its implications in drug resistance and metastasis. Cancer Res 2006, 66, 10525–10533. [Google Scholar]
- Banerjee, S.; Zhang, Y.; Ali, S.; Bhuiyan, M.; Wang, Z.; Chiao, P.J.; Philip, P.A.; Abbruzzese, J.; Sarkar, F.H. Molecular evidence for increased antitumor activity of gemcitabine by genisteini in vitro and in vivo using an orthotopic model of pancreatic cancer. Cancer Res 2005, 65, 9064–9072. [Google Scholar]
- Vivanco, I.; Sawyers, C.L. The phosphatidylinositol 3-kinase AKT pathway in human cancer. Nat. Rev. Cancer 2002, 2, 489–501. [Google Scholar]
- Brazil, D.P.; Hemmings, B.A. Ten years of protein kinase B signalling: A hard Akt to follow. Trends Biochem. Sci 2001, 26, 657–664. [Google Scholar]
- Clark, A.S.; West, K.; Streicher, S.; Dennis, P.A. Constitutive and inducible Akt activity promotes resistance to chemotherapy, trastuzumab, or tamoxifen in breast cancer cells. Mol. Cancer Ther 2002, 1, 707–717. [Google Scholar]
- Page, C.; Lin, H.J.; Jin, Y.; Castle, V.P.; Nunez, G.; Huang, M.; Lin, J. Overexpression of Akt/Akt can modulate chemotherapy-induced apoptosis. Anticancer Res 2000, 20, 407–416. [Google Scholar]
- Pham, N.A.; Tsao, M.S.; Cao, P.; Hedley, D.W. Dissociation of gemcitabine sensitivity and protein kinase B signaling in pancreatic ductal adenocarcinoma models. Pancreas 2007, 35, e16–e26. [Google Scholar]
- Datta, S.R.; Brunet, A.; Greenberg, M.E. Cellular survival: A play in three Akts. Genes Dev 1999, 13, 2905–2927. [Google Scholar]
- Katso, R.; Okkenhaug, K.; Ahmadi, K.; White, S.; Timms, J.; Waterfield, M.D. Cellular function of phosphoinositide 3-kinases:implications for development, homeostasis, and cancer. Annu. Rev. Cell Dev. Biol 2001, 17, 615–675. [Google Scholar]
- Luo, J.; Manning, B.D.; Cantley, L.C. Targeting the PI3K-Akt pathway in human cancer: rationale and promise. Cancer Cell 2003, 4, 257–262. [Google Scholar]
- West, K.A.; Castillo, S.S.; Dennis, P.A. Activation of the PI3K/Akt pathway and chemotherapeutic resistance. Drug Resist. Updat 2002, 5, 234–248. [Google Scholar]
- Nicholson, K.M.; Andersoni, N.G. The protein kinase B/Akt signalling pathway in human malignancy. Cell Signal 2002, 14, 381–395. [Google Scholar]
- Vivanco, I.; Sawyers, C.L. The phosphatidylinositol 3-kinase Akt pathway in human cancer. Nat. Rev. Cancer 2002, 2, 489–501. [Google Scholar]








© 2012 by the authors; licensee Molecular Diversity Preservation International, Basel, Switzerland. This article is an open-access article distributed under the terms and conditions of the Creative Commons Attribution license (http://creativecommons.org/licenses/by/3.0/).
Share and Cite
Chen, D.; Niu, M.; Jiao, X.; Zhang, K.; Liang, J.; Zhang, D. Inhibition of AKT2 Enhances Sensitivity to Gemcitabine via Regulating PUMA and NF-κB Signaling Pathway in Human Pancreatic Ductal Adenocarcinoma. Int. J. Mol. Sci. 2012, 13, 1186-1208. https://doi.org/10.3390/ijms13011186
Chen D, Niu M, Jiao X, Zhang K, Liang J, Zhang D. Inhibition of AKT2 Enhances Sensitivity to Gemcitabine via Regulating PUMA and NF-κB Signaling Pathway in Human Pancreatic Ductal Adenocarcinoma. International Journal of Molecular Sciences. 2012; 13(1):1186-1208. https://doi.org/10.3390/ijms13011186
Chicago/Turabian StyleChen, Dong, Min Niu, Xuelong Jiao, Kejun Zhang, Jun Liang, and Dianliang Zhang. 2012. "Inhibition of AKT2 Enhances Sensitivity to Gemcitabine via Regulating PUMA and NF-κB Signaling Pathway in Human Pancreatic Ductal Adenocarcinoma" International Journal of Molecular Sciences 13, no. 1: 1186-1208. https://doi.org/10.3390/ijms13011186
APA StyleChen, D., Niu, M., Jiao, X., Zhang, K., Liang, J., & Zhang, D. (2012). Inhibition of AKT2 Enhances Sensitivity to Gemcitabine via Regulating PUMA and NF-κB Signaling Pathway in Human Pancreatic Ductal Adenocarcinoma. International Journal of Molecular Sciences, 13(1), 1186-1208. https://doi.org/10.3390/ijms13011186
