Abstract
The first century of isocyanide chemistry, which was then still a rather empty part of Organic Chemistry, began in 1859. In 1958 isocyanides became generally available by dehydration the formylamines. One year later the four component reaction of isocyanides (U-4CR) was introduced. This one-pot reaction is accomplished just by mixing amines, carbonyl compounds, suitable acids and isocyanides. Most chemical reactions have their own ”scope and limitation”, whereas the U-4CR can convert almost all combinations of educts into their products. Until 1995 this chemistry was moderately used, but since then a new era of the U-4CR and its unions with further reactions have become increasingly popular, particularly as libraries. In industry this chemistry became one of its most often used methods of finding new desirable products. In contrast to most other areas of chemistry, isocyanide chemistry is not yet exhausted and still much progress can be expected there.
1. SYNTHESES BY ONE-POT REACTIONS
In principle all chemical reactions correspond to equilibria between one or two educts and their products. However, in practice the preferred chemical reactions form their products irreversibly, and, without the competing formation of by-products, quantitative yields of products can result. An exception are some solid-phase reactions in which three components can react in a single step, and recently it was also found that cations and anions can directly undergo α-additions onto isocyanides [1], due to the formally divalent carbon atom CII of the latter [2,3].
If more than two educts are converted into products, usually such syntheses require sequences of chemical reactions. Typically after each step the intermediate or final product must be isolated and purified. The more steps are needed, the more preparative work must be accomplished, and with each step the yield of the final product decreases.
On the contrary, multicomponent reactions (MCRs) of three or more different starting materials can directly form their products [3,4]. Also educts with three and more different functional groups can thus be converted into the corresponding products. The MCR product must contain each educt or at least a part of the educt with its participating functional group. MCRs are accomplished just by mixing the educts. A great variety of product can thus be formed in a higher yield than by conventional multistep syntheses. The MCRs do not directly convert their educts into the products, but they are sequences of subreactions that proceed stepwise. Usually the starting materials of MCRs are readily available, or can easily be prepared.
Only recently it was recognized that three different types of MCRs exist [5]. MCRs of type I are collections of equilibria between all participating subreactions, including the last step which forms the final product. In type II the educts and intermediate products equilibrate, but the final product results from a practically irreversible final reaction step. MCRs of type III correspond to sequences of irreversible reactions that all proceed towards the product.
The MCRs of type I are usually three component reactions (3CRs) that form their products from ammonia or amines, carbonyl compounds and neutral nucleophilic compounds or anions of weak acids, like the Strecker reaction (S-3CR) introduced in 1850 [6] or the later introduced Mannich reaction [7].
Two kinds of MCRs of type II are known: In 1882 Hantzsch [8] and Radziszewski [9] introduced the formation of heterocycles by MCRs of type II from bi-functional educts. Shortly later Biginelli also prepared related heterocycles [10]. In the 1920s Bucherer and Bergs [11] made hydantoin derivatives by the BB-4CRs, which led to the industrially preferred method of preparing α-aminoacids as these compounds can be obtained in much higher yields via the hydantoin-route than by the S-3CR. In 1956 Asinger et al. [12] published the preparation of thiazole derivatives by the A-MCR of three or four components.
In the 1960s this era of MCRs ended when Hellmann and Opitz [13] introduced their α-Aminoalkylierung book where it was mentioned that the majority of the MCR ‘name reactions’ belong together since they all consist of similar processes. They are α-aminoalkylations of nucleophilic compounds (MCR type I) or they form in related reactions intermediate products that react with further educts in a final ring closure step (MCR type II). This collection of name reactions belongs together and can be referred to as the Hellmann and Opitz reactions (HO-3CR). Since then only new variations of these MCRs could be found, but it was not possible to find any really new “name” reactions. The MCRs of the isocyanides are also type II reactions whose irreversible step is always an α-addition of a cation and an anion onto the CII of the isocyanides. Subsequently their α-adducts rearrange into their final products. In preparative chemistry rather few MCR of type III are known [14], whereas in living cells most products are formed by biochemical MCRs of type III.
In MCRs the products are formed by the reaction of completely different types of educts or functional groups and form a great variety of products. However, in polycycloadditions, also one-pot reactions, educts that always contain multiply unsaturated groups undergo polycycloadditions and form their polycyclic products. These reactions are also variously called zipper, tandem, cascade or domino reactions [15]. A great variety of polycyclic compounds, particularly many natural products, have been prepared directly by these reactions.
In the early 1950s Ruzicka, Eschenmoser, Hausser, Jeger and Arigoni [16] had recognized that in living cells lanosterol is formed from squalene epoxide. Two decades later Johnson [17] was stimulated by this idea and began to form a polycyclic product by polycycloaddition of a multiply unsaturated educt. In 1986 Posner [18] proposed a systematic scheme of syntheses by cascades, and this led to a new era of preparing polycyclic products by polycycloadditions of multiply unsaturated educts. This cascade chemistry was particular advantageous in the syntheses of many polycyclic natural products. As can be seen by the reviews published in 1996 [19], this beautiful chemistry was nd still is very much “en vogue”.
The then fashionable annulating preparative chemistry is illustrated by one of the most elegant examples of the one-pot synthesis of the dihydroprotodaphniphyllite (2) by Heathcock [20]. It is noteworthy that the preparation of the essential starting material 1 requires six preparative steps, and some of them cannot be easily accomplished.
Scheme 1.
One-pot synthesis of dihydroprotodaphniphyllite (2) by polycycloaddition.
Scheme 1.
One-pot synthesis of dihydroprotodaphniphyllite (2) by polycycloaddition.

2. THE FIRST CENTURY OF ISOCYANIDE CHEMISTRY
Isocyanide chemistry began in 1859 when Lieke [21] formed allyl isocyanide from allyl iodide and silver cyanide. The classical syntheses of isocyanides were developed in 1867 by Gautier [22] and Hoffmann [23]. For a whole century only 12 not yet easily available isocyanides had been prepared, and, since the then known isocyanides smelled very unpleasantly, their chemistry was only moderately investigated.
In this period, the most interesting reactions were the synthesis of tetrazole derivatives from hydrazoic acid and isocyanides published by Oliveri-Mandala and Alagna in 1910 [24] and in 1921-1931, Passerini’s [25] introduction and investigation of his three component conversions (P-3CRs) of carbonyl compounds, carboxylic acids and isocyanides into α-acyloxyalkyl-carbonamides.
In 1950 Rothe [26] discovered the first naturally occurring isocyanide in the Penicillium notatum Westling. This was later used as the antibiotic xanthocillin (3) and in 1956 the O,O’-dimethylxanthocillin was prepared from the diformylamine in the presence of phenylsulfonylchloride and pyridine [27].
Scheme 2.
Xanthocillin.
Scheme 2.
Xanthocillin.

3. THE SECOND PERIOD OF THE ISOCYANIDE CHEMISTRY
A new era of isocyanide chemistry began in 1958 when the isocyanides 5 became generally readily available by dehydrating formylamines 4 [28]. In the Isonitrile Chemistry volume of 1971 [3] 325 isocyanides were already mentioned.
Scheme 3.
General synthesis of isocyanides.
Scheme 3.
General synthesis of isocyanides.

Since 1973 an increasing number of isocyanides were found in living cells [29,30]. Most of them exist in marine sponges and are formed from terpenes, but also a variety of terrestrial isocyanides are found that originate from α-aminoacids [31].
The popularity of the isocyanides began really in 1959 [3,32,33,34,35] with the introduction the four component reaction of isocyanides. The educts of this reaction are amines (ammonia, mono- and disubstituted amines, hydroxylamine, hydrazine and its suitable derivatives), carbonyl compounds, acid components and related compounds (water, thiosulfates, hydrogen selenide, hydrazoic acid, hydrogen cyanate and thiocyanate, aminocyanic acid, carboxylic acids and thioacids, alkoxycarboxylic acids and amines) and isocyanides. Since 1961 an increasing number of colleagues began to call this reaction the Ugi reaction, which is now abbreviated as the U-4CR. Soon it was recognized that the educts and products of the U-4CR are more variable than those of any other reaction, since not only products with different substituents on a similar skeleton are obtained, like in usual chemical reactions, but also the skeletons of the products can structurally differ. The skeletons of the U-4CR products are essentially determined by their amine and acid components.
Some of the most interesting applications of the U-4CR are the syntheses of natural products that were already initiated early by Joullié [35].
Scheme 4.
The variability of U-4CR products.
Scheme 4.
The variability of U-4CR products.

In Scheme 4 eight examples illustrate the variability of the U-4CR products [36]. Usually chemical reactions have their particular “scope and limitations”, whereas only few combinations of educts of the U-4CR do not react. Usually the U-4CR proceeds particularly well, if the amines and carbonyl compounds are precondensed before the other components are added [3,37].
The U-4CR can be considered as a union [38] of the HO-3CR and the P-3CR (U-4CR = HO-3CR ∪ P-3CR). In this sense, the MCRs with five or more educts are unions of the U-4CR and further reactions [39].
Scheme 5.
The U-4C as a union of HO-3CR and P-3CR.
Scheme 5.
The U-4C as a union of HO-3CR and P-3CR.

In 1962 stereoselective U-4CRs of chiral primary amines were introduced [32b,37]. However, after many decades of research, the optimal preparative methodology was only recently sufficiently well accomplished. It is now not only possible to form products like 10 stereoselectively, but also to selectively cleave off the auxiliary chiral group and obtain the peptide derivative 11 and the sugar 12 which can be again converted into 9 [39].
Scheme 6.
Stereoselective synthesis of aminoacid derivatives via U-4CR.
Scheme 6.
Stereoselective synthesis of aminoacid derivatives via U-4CR.

In 1961 libraries of U-4CR products were described [33a] for the first time, and in the Isonitrile Chemistry volume [3] it was shown that the U-4CR of 40 different educts of each type could produce a library of up to 2,560,000 different products. This number corresponds roughly to the number of chemical compounds that were then known. For many decades this proposal was of no practical interest, but since 1995 the U-4CR libraries have been industrially formed and investigated in order to find new products with desirable properties.
4. THE LAST PERIOD OF ISOCYANIDE CHEMISTRY
In 1990 a review about isocyanide chemistry appeared [34] which marked the end of the second era of this kind of chemistry. A new period of isocyanide chemistry began when Bossio and his research group [41] introduced many syntheses of unusual molecules by new types of isocyanide MCRs and reactivated the interest of many colleagues in this chemistry. Another stimulus occurred in 1993 when Dömling and Ugi [42] introduced the MCRs of seven and more educts. They carried out a one-pot reaction, combining a U-4CR and two other reactions (Scheme 7). Subsequently a variety of MCRs of five to nine educts were accomplished by the unions of the U-4CR with further reactions [39].
Scheme 7.
The first 7CR.
Scheme 7.
The first 7CR.

The newer isocyanide chemistry is here illustrated by a few examples of the MCRs and some multistep syntheses that could be essentially shortened by the use of MCRs. A rather complex ß-lactam derivative 29 was recently prepared by a one-pot reaction of the three components 26 - 28 [43].
Scheme 8.
Synthesis of a complex ß-lactam derivative.
Scheme 8.
Synthesis of a complex ß-lactam derivative.

The one-pot synthesis of pentacyclic product 33 is accomplished from tryptophane (30), phthalic dialdehyde (31) and the tert.-butylisocyanide (32) by a combination of a MCR, the Pictet-Spengler reaction and an autoxidation [44]. Related polycyclic compounds can be formed from the aminoacids tyrosine, histidine, phenylalanin and dihydroxyphenylalanine.
Scheme 9.
One-pot synthesis of a pentacyclic product.
Scheme 9.
One-pot synthesis of a pentacyclic product.

Schreiber et al. [45] converted the rather simple educts 34 – 38 into the structurally complex compound 39 with four new rings and 15 new bonds. The key role of this four-step synthesis is U-4CR.
Scheme 10.
Solid phase synthesis of a polycyclic system employing a U-4CR.
Scheme 10.
Solid phase synthesis of a polycyclic system employing a U-4CR.

Zhu et al. [46] could directly convert the educts 40 – 42 into the bridged tetracyclic tetrahydroquinoline product 43 and one of its stereoisomers (3:1; 94% yield) by a union of a MCR and a Diels-Alder reaction. In the same way a collection of similar products was prepared.
Scheme 11.
Three component synthesis of an oxa-bridged tetracyclic tetrahydroquinoline.
Scheme 11.
Three component synthesis of an oxa-bridged tetracyclic tetrahydroquinoline.

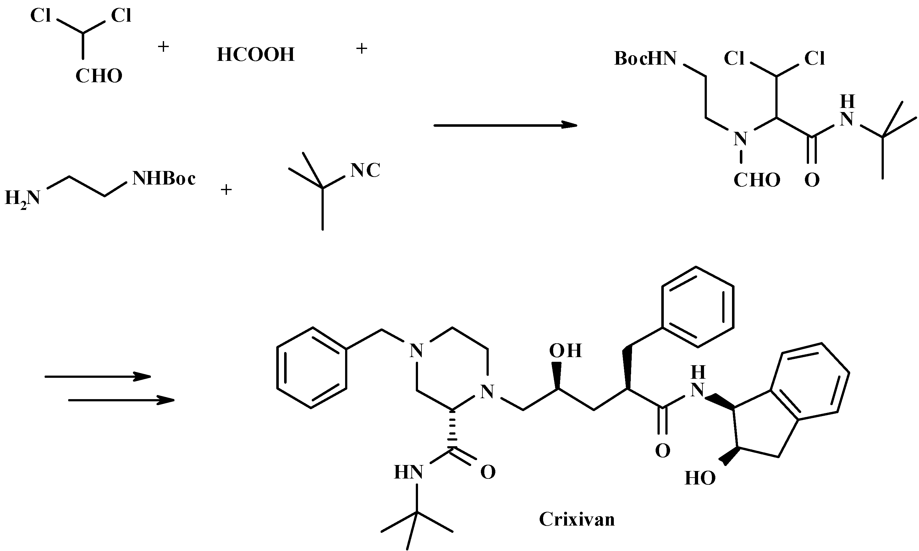
The Merck Company produced the HIV protease inhibitor Crixivan (49), but first the synthesis of this compound, by a conventional multistep sequence of procedures, was too ineffective and too expensive. However, after the introduction of an U-4CR as a key step Crixivan could be prepared in fewer steps, much easier and in better yields [47].
Scheme 12.
The synthesis of Crixivan (MK 693) involving an U-4CR.
Scheme 12.
The synthesis of Crixivan (MK 693) involving an U-4CR.

In 1982 Furka [48] introduced the multi-step solid-phase formation of peptide libraries. This method was soon adopted by the chemical industry, and shortly later also various other solid-phase multi-step libraries were produced [49]. In 1995 the chemical industry has recognized the advantages of the U-4CR and related MCRs for the effective synthesis of many compounds compared to conventional multistep syntheses, and subsequently the former were also used for the creation of substance libraries.
Armstrong [50] was one of the first to produce libraries of products by the U-4CR and subsequent reactions. Around the same time, at Hoffmann La Roche, Weber et al. [51] introduced the preparation and investigation of U-4CR product libraries, and within three months they found two desired thrombin-inhibitors 50a,b by logical creation of library sequences. Before that, for a whole decade this company had tried to find such a product by classical methods without success.
Scheme 13.
Thrombin inhibitors found by Weber et al.
Scheme 13.
Thrombin inhibitors found by Weber et al.

Weber et al [52] also prepared 2,3-dihydrocinnoline hydrochloride (54), as part of a library, by an unusual MCR of cyclohexanone (51), benzyl isocyanide (52) and p-methoxyphenyl isocyanide (53). After joining the Morphochem company, Weber et al. [53] have recently developed a new type of a computer program that can assist in the search of new desirable products in the libraries of MCR products.
Scheme 14.
One-pot synthesis of 2,3-dihydrocinnoline hydrochloride.
Scheme 14.
One-pot synthesis of 2,3-dihydrocinnoline hydrochloride.

In recent years the industrial search for new desirable compounds from semi-automatically formed liquid- or solid-phase libraries of the U-4CR has been developed further. Up to 20,000 or more different compounds can be formed by a single chemist in one day. Thus, many chemical companies prepare and investigate several millions of U-4CR products per year and far more new chemicals have been thus prepared than by conventional chemistry. When an interesting compound has been found, MCRs also offers the possibility of preparing large quantities of the preferred products. In this case, of course, it is usually necessary to find out the optimal reaction conditions in order to obtain a maximal yield of the product.
Because of intensive research in the past, in most areas of chemistry it is rather difficult to develop really new things nowadays. One of the few exceptions is the MCR chemistry of the isocyanides. Although there in the last few years much progress has been achieved, this is still a sufficiently promising part of chemistry, since in isocyanide chemistry so many possibilities exist that there still much new chemistry can be discovered.
References
- Janezic, D.; Hodoscek, M.; Ugi, I. Internet Electr. J. Mol. Design 2002, 1, 293.
- Nef, I. Justus Liebigs Ann. Chem. 1892, 270, 267, 1899, 309, 126.
- Ugi, I. Isonitrile Chemistry; Academic Press: New York, 1971. [Google Scholar]
- Dömling, A.; Ugi, I. Angew. Chem. 2000, 112, 3300, [Angew. Chem. Int. Ed. Engl. 2000, 39, 3168].
- Ugi, I. J. Prakt. Chem. 1997, 339, 499.
- Strecker, A. Ann. Chem. 1850, 75, 27.
- Mannich, C.; Krötsche, I. Arch. Pharm. 1912, 250, 647. Organic Reaction; Blick, F. F.; Adams, R. (Eds.) John Wiley & Sons: New York; Vol. 1, 1942; p. 303.
- Hantzsch, A. Justus Liebigs Ann. Chem. 1892, 215, 1, ibid. 1892, 219, 1; Ber. Dtsch. Chem. Ges. 1890, 23, 1474; see also: . Böttinger, C. Justus Liebigs Ann. Chem. 1981, 208, 122. Eisener, U.; Kuthan, J. Chem. Rev. 1972, 72, 1.
- Radziszewski, B. Ber. Dtsch. Chem. Ges. 1882, 15, 1499, 2706.
- Biginelli, P. Ber. Dtsch. Chem. Ges. 1891, 24, 1317, 2962, ibid. 1893, 26, 447.
- Bergs, H. Ger. Pat. 566094 (1929) [Chem. Abstr. 1933, 27, 1001]. Bucherer, H.T.; Steiner, W. J. Prakt. Chem. 1934, 140, 291, Bucherer, H.T., ibid. 1934, 141, 5.
- Asinger, F. Angew. Chem. 1956, 68, 413. Asinger, F.; Thiel, M.; Pallas, E. Liebigs Ann. Chem. 1957, 602, 37. Asinger, F.; Thiel, M. Angew. Chem. 1967, 79, 953. Asinger, F.; Leuchtenberg, W.; Offermanns, H. Chem. Zeitung 1974, 94, 6105. Asinger, F.; Gluzek, K.H. Monats. Chem. 1983, 114, 47.
- Hellmann, H.; Opitz, G. α-Aminoalkylierung; Verlag Chemie: Weinheim, 1960. [Google Scholar]
- Chattopahyaya, J.; Dömling, A.; Lorenz, K.; Richter, W.; Ugi, I.; Werner, B. Nucleosides & Nuclotides 1977, 16, 843.
- Ho, T.L. Tandem Organic Chemistry; J. Wiley & Sons: New York, 1992. [Google Scholar] see also: Tietze, L.F.; Beifuss, U. Angew. Chem.; 1993; Volume 105, p. 137, [Angew. Chem. Int. Ed. Engl. 1993, 32, 131]. [Google Scholar]
- Eschenmoser, A.; Heusser, H. Experientia 1953, 9, 357. Eschenmoser, A.; Ruzicka, L.; Jeger, J.O.; Arigoni, D. Helv. Chim. Acta 1955, 38, 1890. see also: Barton, D.H.R.; Moss, G.R. Chem. Comm. 1966, 261. Corey, E.J.; Russey, W.E.; Ortiz de Mortellano, R.R. J. Amer. Chem. Soc. 1966, 88, 4750.
- Johnson, W.S. Angew. Chem. 1976, 88, 33, [Angew. Chem. Int. Ed. Engl. 1976, 15, 9].
- Posner, G.H. Chem. Rev. 1986, 86, 831. [Google Scholar]
- Chem. Rev. 1996, 96, 1–600.
- Heathcock, C.H. Angew. Chem. 1992, 104, 6751, [Angew. Chem. Int. Ed. Engl. 1992, 31, 665].
- Lieke, W. Justus Liebigs Ann. Chem. 1859, 112, 316.
- Gautier, A. Justus Liebigs Ann. Chem. 1867, 142, 289, Ann. Chim. (Paris) 1869, 17, 103, 203.
- Hofmann, A.W. Ber. Dtsch. Chem. Ges. 1870, 3, 63. see also: Weber, W.P.; Gokel, G.W.; Ugi, I. Angew. Chem. 1972, 84, 587, [Angew. Chem. Int. Ed. Engl. 1972, 11, 530].
- Oliveri-Mandala, E.; Alagna, B. Gazz. Chim. Ital. 1910, 40 (II), 441. Zimmerman, B.N.; Olafson, R.A. Tetrahedron Lett. 1969, 5081.
- Passerini, M. Gazz. Chim. Ital. 1921, 51(II), 126, 181, Passerini, M., Ragni, G., ibid., 1931, 61, 964.
- Rothe, W. Pharmazie 1950, 5, 190.
- Hagedorn, I.; Tönjes, H. Pharmazie 1956, 11, 409, 1957, 12, 567. Hagedorn, I.; Eholzer, U.; Lüttringhaus, A. Chem. Ber. 1960, 93, 1584.
- Ugi, I.; Meyr, R. Angew. Chem. 1958, 70, 702. Ugi, I.; Meyr, R. Chem. Ber. 1960, 93, 239. Ugi, I.; Fetzer, U.; Eholzer, U.; Knupfer, H.; Offermann, K. Angew. Chem. 1965, 77, 492, [Angew. Chem. Int. Ed. Engl. 1965, 4, 452]. Obrecht, R.; Herrmann, R.; Ugi, I. Synthesis 1985, 400.
- Edenborough, M.S.; Herbert, R.B. Nat. Prod. Rep. 1988, 55, 229.
- Scheuer, P.J. Acc. Chem. Res. 1992, 25, 433. Chang, C.W.J.; Scheuer, P.J. Top. Curr. Chem. 1993, 167, 33.
- Marconi, G.G.; Molloy, B.B.; Nagarajan, R.; Martin, J.R.; Deeter, J.B.; Okolowitz, J.L. J. Antibiot. 1978, 31, 27. Baldwin, J.E.; Baansai, H.S.; Chondrogianni, H.S.; Field, L.D.; Taha, A.A.; Thaller, V.; Brewer, D.; Taylor, A. Tetrahedron 1985, 41, 1931. Bornemann, V.; Patterson, G.M.L.; Moore, R.E. J. Am. Chem. Soc. 1988, 110, 2339. Itoh, J.; Takeuchi, Y.; Gomi, S.; Inouye, S.; Mikawa Yoshikawa, T.N.; Okhishi, H. J. Antibiot. 1990, 43, 456.
- Ugi, I. Angew. Chem. 1962, 74, 9, [Angew. Chem. Int. Ed. Engl. 1962, 1, 8].
- Ugi, I.; Steinbrückner, C. Chem. Ber. 1961, 94, a) 734; b) 2802.
- Ugi, I.; Lohberger, S.; Karl, R. Comprehensive Organic Synthesis: Selectivity for Synthetic Efficiency; vol. 2, chap. 4.6; Trost, B.M., Heathcock, C. H., Eds.; Pergamon: Oxford, 1991; pp. 1083; 1090. [Google Scholar]
- Bowers, M.M.; Caroll, P.; Joullié, M.M. J. Chem. Soc. Perkin Trans. I 1989, 857.
- Dömling, A.; Ugi, I. Angew. Chem. 2000, 112, 3300, [Angew. Chem. Int. Ed. Engl. 2000, 39, 3168]. Dömling, A.; Ugi, I.; Herdtweck, E. Acta Chem. Scand. 1998, 52, 107.
- Ugi, I.; Marquarding, D.; Urban, R. Chemistry and Biochemistry of Amino Acids, Peptides and Proteins; Vol. 6, Weinstein, B., Ed.; Marcel Dekker: New York, 1982; p. 245. [Google Scholar]
- Math. Unions: Mac Lane, S.; Birkhoff, G. Algebra; MacMillan Company: New York, 1967; p. 3. [Google Scholar] Given sets of R and S have the intersection R ∩ S with the common elements R and S. This means R ∩ S = {x | x ⊂ R and x ⊂ S}, where as a union R ∪ S is R ∪ S = {x | x ⊂ R or x ⊂ S}
- Ugi, I.; Dömling, A.; Hörl, W. Endeavour 1994, 18, 115, GIT Fachzeitschrift für das Laboratorium 1994, 38, 430.
- Roß, G.; Ugi, I. Canad. J. Chem. 2001, 79, 1934. Roß, G.; Herdtweck, E.; Ugi, I. Tetrahedron. in press.
- Bossio, R.; Marcaccini, S.; Pepino, R. Liebigs Ann. Chem. 1990, 935, 1991, 1107. Bossio, R.; Marcaccini, S.; Paoli, P.; Papaleo, P.; Pepino, R. Liebigs Ann. Chem. 1991, 843. Bossio, R.; Marcaccini, S.; Pepino, R.; Torroba, T. Synthesis 1993, 7. Chem. Soc. Perkin Trans. 1 1996, 229. Bossio, R.; Marcaccini, S.; Pepino, R. Liebigs Ann. Chem. 1993, 1229. Bossio, R.; Marcaccini, S.; Papaleo, P.; Pepino, R. J. Heterocycl. Chem. 1994, 31, 297. Bossio, R.; Marcaccini, S.; Pepino, R. Tetrahedron Lett. 1995, 36, 2325. J. Org. Chem. 1996, 61, 2202. Bossio, R.; Marcos, C.F.; Marcaccini, S.; Pepino, R. Synthesis 1997, 1389. Heterocycles 1997, 1589.
- Dömling, A.; Ugi, I. Angew. Chem. 1993, 105, 634, [Angew. Chem. Int. Ed. Engl. 1993, 32, 563].
- Kolb, J.; Beck, B.; Dömling, A. Tetrahedron Lett. 2002, 34, 6897.
- Dömling, A.; Chi, K.-C. unpublished.
- Lee, D.; Sello, J.K.; Schreiber, S.-L. Org. Lett. 2000, 2, 700.
- González-Zamora, E.; Fayol, A.; Bois-Choussy, M.; Chiaroni, A.; Zhi, J. Chem. Comm. 2001, 1684.
- Rossen, K.; Pye, P.J.; DiMichele, L.M.; Volante, R.P.; Reider, P.J. Tetrahedron Lett. 1998, 39, 6823.
- Furka, A. Drug. Dev. Res. 1995, 36, 1.
- Früchtel, J.S.; Jung, G. Angew. Chem. 1996, 108, 19, [Angew. Chem. Int. Ed. Engl. 1996, 35, 17]. Frobel, K.; Krämer, T. Chemie in unserer Zeit 1996, 30, 270. Balkenhohl, F.; Buschen-Hünnefeld, C.v.; Lanshy, A.; Zechel, C. Angew. Chem. 1996, 108, 3436, [Angew. Chem. Int. Ed. Engl. 1996, 35, 2288]. Terrett, N.K. Combinatorial Chemistry; Oxford Univ. Press: Oxford, U.K., 1998. [Google Scholar] Ugi, I.; Dömling, A.; Ebert, B. Combinatorial Chemistry; Jung, G., Ed.; Wiley-VCH: Weinheim, 2000; pp. 125–165. [Google Scholar]
- Armstrong, R.W. Combinatorial Libraries Related to Natural Products. In presented at the ACS National Meeting in Anaheim, Calif; 2 April 1995. [Google Scholar] J. Am. Chem. Soc. 1995, 117, 7842. Stocker, A.M.; Keating, T.A.; Tempest, P.A.; Armstrong, R.W. Tetrahedron Lett. 1996, 37, 1149. Keating, T.A.; Armstrong, R.W.; Tempest, P.A.; Armstrong, R.W. J. Org. Chem. 1998, 63, 867.
- Weber, L.; Waltbaum, S.; Broger, C.; Gubernator, K. Angew. Chem. 1995, 107, 2452, [Angew. Chem. Int. Ed. Engl. 1995, 34, 2280]. Weber, L. Drug Discovery Today 2002, 7, 143.
- Lack, O.; Weber, L. Chimia 1996, 50, 445. Weber, L. Current Opinion in Chemical Biology 1998, 2, 381.
- Weber, L.; Illgen, K.; Almstetter, M. Synlett 1999, 366. Weber, L. Drug Discovery Today 2002, No 5 Suppl, 7.
© 2003 by MDPI ( http://www.mdpi.org). Reproduction is permitted for noncommercial purposes.