Microwave Assisted Facile Cleavage of 2,4-Dinitrophenylhydrazones to the Corresponding Carbonyl Compounds with N,N′-Dibromo-N,N′-1,2-ethanediylbis(p-toluenesulphonamide)
Abstract
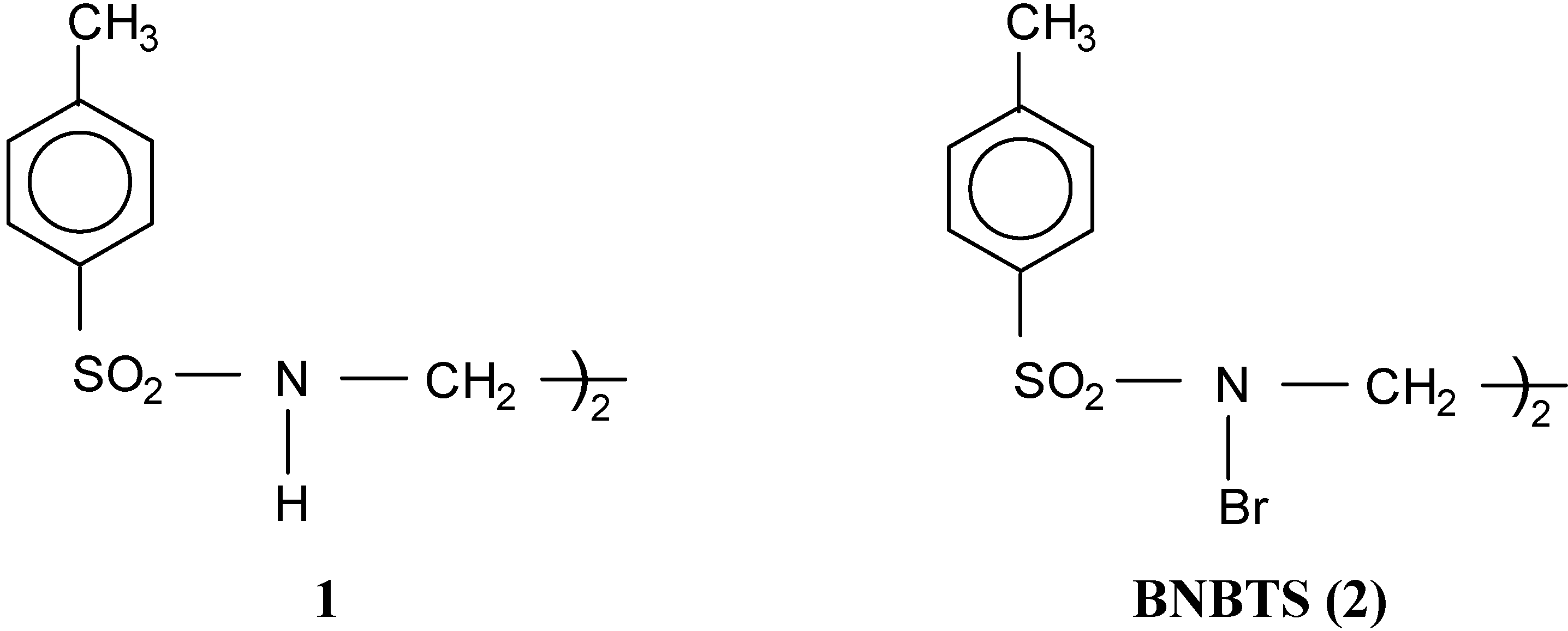
:Introduction
Result and Discussion


| Entry | R1 | R2 | Producta | Reaction Times (min) | Yield(%) |
|---|---|---|---|---|---|
| 1 | CH3 | C6H5 | Acetophenone | 50 | 91 |
Conclusions
Experimental
General
General procedure for facile cleavage of 2,4-dinitrophenylhydrazones with BNBTS under microwave irradiation
Acknowledgements
References
- Zhang, G.S.; Gong, H.; Yang, D. H.; Chen, M. F. Synth. Commun. 1999, 29, 1165.
- Gillam, A.E.; West, T. F. J. Chem. Soc. 1945, 95.
- Hershberg, E. B. J. Org. Chem. 1948, 13, 542.
- Kirk, D. N.; Slade, C. J. Tetrahedron Lett. 1980, 21, 651.
- Ranu, B. C.; Sarkar, D. C. J. Org. Chem. 1988, 53, 878.
- Laszlo, P.; Polla, E. Synthesis 1985, 439.
- Narayanan, S.; Srinivasan, V. S. J. Chem. Soc. Perkin Trans. 2 1986, 1557.
- Greene, T.W.; Wuts, P.G.M. Protective Groups in Organic Synthesis; John Wiley and Sons: New York, 1991. [Google Scholar]
- Kabalka, G. W.; Pace, R. D.; Wadgaonkaf, P. P. Synth. Commun. 1990, 20, 2453.
- Bandgar, B. P.; Shaikh, S. I.; Iyyer, S. Synth. Commun. 1996, 26, 1163.
- Khazaei, A.; Vaghei, R. G.; Tajbakhsh, M. Tetrahedron Lett. 2001, 42, 5099.
- Khazaei, A.; Shirdarreh, A. Synth. Commun. 1999, 29, 4079.
- Shriner, R. L.; Fuson, R. C.; Curtin, D. Y.; Morrill, T. C. The Systematic Identification of Organic Compounds, 6th Ed ed; John Wiley and Sons: New York, 1980. [Google Scholar]
- Sample Availability: Samples of entries 1, 5, 7 and 11 are available from MDPI
© 2002 by MDPI (http://www.mdpi.org). Reproduction is permitted for noncommercial purposes.
Share and Cite
Khazaei, A.; Vaghei, R.G. Microwave Assisted Facile Cleavage of 2,4-Dinitrophenylhydrazones to the Corresponding Carbonyl Compounds with N,N′-Dibromo-N,N′-1,2-ethanediylbis(p-toluenesulphonamide). Molecules 2002, 7, 465-468. https://doi.org/10.3390/70500465
Khazaei A, Vaghei RG. Microwave Assisted Facile Cleavage of 2,4-Dinitrophenylhydrazones to the Corresponding Carbonyl Compounds with N,N′-Dibromo-N,N′-1,2-ethanediylbis(p-toluenesulphonamide). Molecules. 2002; 7(5):465-468. https://doi.org/10.3390/70500465
Chicago/Turabian StyleKhazaei, Ardeshir, and Ramin Ghorbani Vaghei. 2002. "Microwave Assisted Facile Cleavage of 2,4-Dinitrophenylhydrazones to the Corresponding Carbonyl Compounds with N,N′-Dibromo-N,N′-1,2-ethanediylbis(p-toluenesulphonamide)" Molecules 7, no. 5: 465-468. https://doi.org/10.3390/70500465
APA StyleKhazaei, A., & Vaghei, R. G. (2002). Microwave Assisted Facile Cleavage of 2,4-Dinitrophenylhydrazones to the Corresponding Carbonyl Compounds with N,N′-Dibromo-N,N′-1,2-ethanediylbis(p-toluenesulphonamide). Molecules, 7(5), 465-468. https://doi.org/10.3390/70500465
