Heteroaromatization with 4-Hydroxycoumarin Part II: Synthesis of Some New Pyrano[2,3-d]pyrimidines, [1,2,4]triazolo[1,5-c]pyrimidines and Pyrimido[1,6-b]-[1,2,4]triazine Derivatives
Abstract
:Introduction
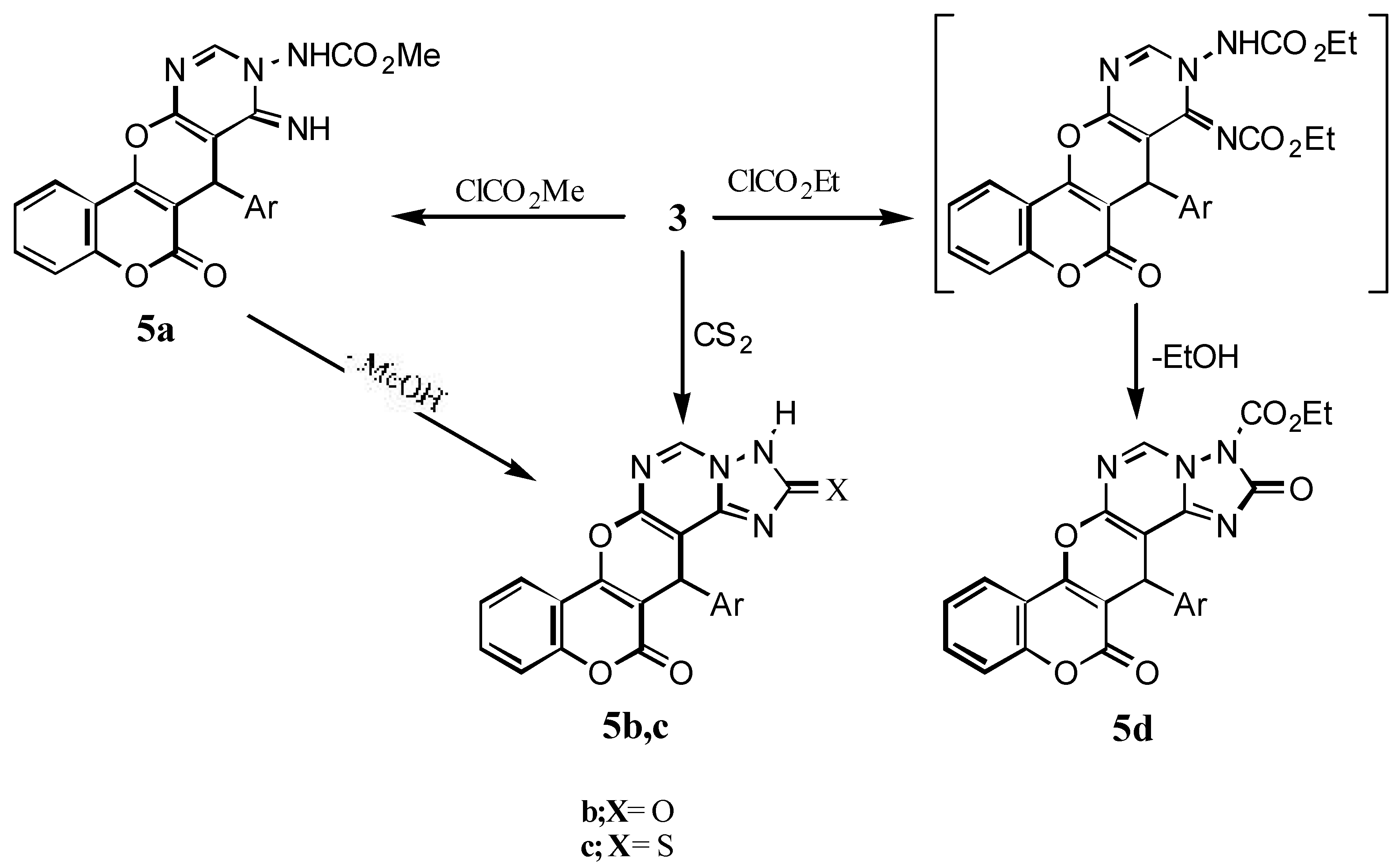
Results and Discussion.



Antibacterial activity
| Compd. | Staphylococcus aureus (NCTC-7447) | Bacillus cereus (ATCC-14579) | Serratia marcesens (IMRU-70) | Proteus merabitis (NTCC-289) |
|---|---|---|---|---|
| 1 | 23 | 19 | 18 | 20 |
| 2 | 22 | 24 | 24 | 23 |
| 4c | 23 | 22 | 23 | 22 |
| 4d | 22 | 19 | 24 | 22 |
| 4e | 23 | 22 | 25 | 23 |
| 5d | 24 | 22 | 21 | 23 |
| 8e | 18 | 20 | 24 | 21 |
| Ampicillin | 26 | 25 | 26 | 27 |
Antifungal activity
| Compd. | Aspergillus ochraceus Wilhelm (AUCC-230) | Penicillium chrysogenum Thom (AUCC-530) |
|---|---|---|
| 1 | 14 | 16 |
| 2 | 19 | 16 |
| 4c | 19 | 19 |
| 4d | 19 | 13 |
| 4e | 19 | 20 |
| 5d | 15 | 17 |
| 8e | 19 | 18 |
| Mycostatin | 22 | 24 |
Experimental
General
| Compd. No. | M.P.(T/°C)a | Molecular formula (Molecular weight) | Elemental analyses Found (Required) % | |
|---|---|---|---|---|
| C | H | |||
| 3 | 250c | C20H13ClN4O3 (392.80) | 61.1 (61.15) | 3.3 (3.31) |
| 4a | 282 | C21H11ClN4O3 (402.80) | 62.5 (62.61) | 2.7 (2.73) |
| 4b | 279 | C22H13ClN4O3 (416.82) | 63.3 (63.39) | 3.0 (3.12) |
| 4c | 310 | C22H12Cl2N4O3 (451.27) | 58.5 (58.54) | 2.6 (2.66) |
| 4d | 307 | C23H12ClN5O3 (441.83) | 62.4 (62.52) | 2.6 (2.71) |
| 4e | 292b | C24H15ClN4O5 (474.86) | 60.6 (60.70) | 3.1 (3.16) |
| 4f | 298b | C27H15ClN4O3 (478.90) | 67.6 (67.71) | 3.1 (3.13) |
| 5a | 248b | C22H15ClN4O5 (418.84) | 58.4 (58.67) | 3.1 (3.33) |
| 5b | 285 | C21H11ClN4O4 (418.80) | 60.1 (60.29) | 2.4 (2.63) |
| 5c | 275 | C21H11ClN4O3S (434.86) | 57.9 (57.99) | 2.5 (2.53) |
| 5d | 286b | C24H15ClN4O6 (490.86) | 58.6 (58.72) | 3.0 (3.05) |
| 6 | 289 | C22H13ClN4O4 (432.82) | 60.9 (61.04) | 2.9 (3.00) |
| 8a | 316 | C27H17ClN4O3 (480.91) | 67.3 (67.43)) | 3.4 (3.53) |
| 8b | 290 | C28H19ClN4O4 (510.94) | 65.7 (65.82) | 3.6 (3.72) |
| 8c | 345 | C27H16Cl2N4O3 (515.36) | 62.8 (62.92) | 3.0 (3.10) |
References
- Jackson, W.D.; Polaya, J.B. Aust. J. Sci 1951, 13, 149.
- Walker, H.A.; Wilson, S.; Atkins, E.C.; Garrett, H.E.; Richardson, A.R. J. Pharmacol. Exp. Ther. 1951, 101, 368.
- Lewenstein, M.J. U. S. Pat 106,683, 1954. (Chem. Abstr., 1954, 48, 13175,).
- G. Lepetil, S.P.A. Ger. Pat. 2,424,670, 1974. (Chem. Abstr., 1975, 83, 20628).
- Hardtmann, G.E.; Kathawala, F.G. U. S. Pat 4,053,600, 1977. (Chem. Abstr., 1978, 88, 22970).
- Kathawala, F.G. U. S. Pat. 3,850,932, 1974. (Chem. Abstr., 1975, 82, 140175).
- Clark, R.L.; Pessolano, A.A.; Shen, T.Y. S. Afr. Pat. 1977, 76, 03163, (Chem. Abstr., 1977, 86, P189951a).
- El-Agrody, A.M. J. Chem. Res. (S) 1994, 280.
- El-Agrody, A.M.; Hassan, S.M. J. Chem. Res. (S), 1995, 100.
- El-Agrody, A.M.; Emam, H.A.; El-Hakim, M.H.; Abd El-latif, M.S.; Fakery, A.H. J. Chem. Res. (S), 1997, 320. (M) 2039.
- El-Agrody, A.M.; Abd El-latif, M.S.; Fakery, A.H.; Bedair, A.H. J. Chem.R. (S) 2000, 26.
- Shaker, R.M. Pharmazie 1996, 51, 148. [PubMed]
- Elliott, A.J.; Guzik, H.; Soler, J.R. J. Heterocycl. Chem., 1982, 19, 1437.
- Aly, A.S.; Fathy, N.M.; Swelam, S.A.; Abdel-Megeid, M.E. Egypt. J. Pharm. Sci. 1995, 36, 177.
- Hewitt, W.; Vincent, S. Theory and Application of Microbiological Assay; Academic Press, Inc: New York, 1989. [Google Scholar]
- Cremer, A. Antibiotic Sensitivity and Assay Tests, 4th ed.; Butterworths: London, 1980; p. 521. [Google Scholar]
- Sample Availability: Samples are available from the authors.
© 2001 by MDPI (http://www.mdpi.org). Reproduction is permitted for noncommercial purposes.
Share and Cite
El-Agrody, A.M.; Abd El-Latif, M.S.; El-Hady, N.A.; Fakery, A.H.; Bedair, A.H. Heteroaromatization with 4-Hydroxycoumarin Part II: Synthesis of Some New Pyrano[2,3-d]pyrimidines, [1,2,4]triazolo[1,5-c]pyrimidines and Pyrimido[1,6-b]-[1,2,4]triazine Derivatives. Molecules 2001, 6, 519-527. https://doi.org/10.3390/60600519
El-Agrody AM, Abd El-Latif MS, El-Hady NA, Fakery AH, Bedair AH. Heteroaromatization with 4-Hydroxycoumarin Part II: Synthesis of Some New Pyrano[2,3-d]pyrimidines, [1,2,4]triazolo[1,5-c]pyrimidines and Pyrimido[1,6-b]-[1,2,4]triazine Derivatives. Molecules. 2001; 6(6):519-527. https://doi.org/10.3390/60600519
Chicago/Turabian StyleEl-Agrody, A. M., M. S. Abd El-Latif, N. A. El-Hady, A. H. Fakery, and A. H. Bedair. 2001. "Heteroaromatization with 4-Hydroxycoumarin Part II: Synthesis of Some New Pyrano[2,3-d]pyrimidines, [1,2,4]triazolo[1,5-c]pyrimidines and Pyrimido[1,6-b]-[1,2,4]triazine Derivatives" Molecules 6, no. 6: 519-527. https://doi.org/10.3390/60600519
APA StyleEl-Agrody, A. M., Abd El-Latif, M. S., El-Hady, N. A., Fakery, A. H., & Bedair, A. H. (2001). Heteroaromatization with 4-Hydroxycoumarin Part II: Synthesis of Some New Pyrano[2,3-d]pyrimidines, [1,2,4]triazolo[1,5-c]pyrimidines and Pyrimido[1,6-b]-[1,2,4]triazine Derivatives. Molecules, 6(6), 519-527. https://doi.org/10.3390/60600519
