Next Article in Journal
Bis-Porphyrin Racks with Space-Separated Co-Planar Porphyrin Rings
Previous Article in Journal
Synthesis of the New Type of Water-Soluble Ligand N,N-Bis-(diphenylphosphinomethyl)-2-aminoethylphosphonic Acid (Ph2PCH2)2NCH2CH2PO3H2 and Its Sodium Salt
 
 
Font Type:
Arial Georgia Verdana
Font Size:
Aa Aa Aa
Line Spacing:
Column Width:
Background:
Article

Synthesis of Some Potentially Bioactive Compounds From Visnaginone

by
O. M. Abdel Hafez
*,
Kh. M. Ahmed
and
E. E. Haggag
National Research Centre, Natural Products and Microbiology Department, Cairo, Egypt
*
Author to whom correspondence should be addressed.
Molecules 2001, 6(4), 396-405; https://doi.org/10.3390/60400396
Submission received: 7 November 2000 / Revised: 19 February 2001 / Accepted: 2 March 2001 / Published: 31 March 2001

Abstract

:
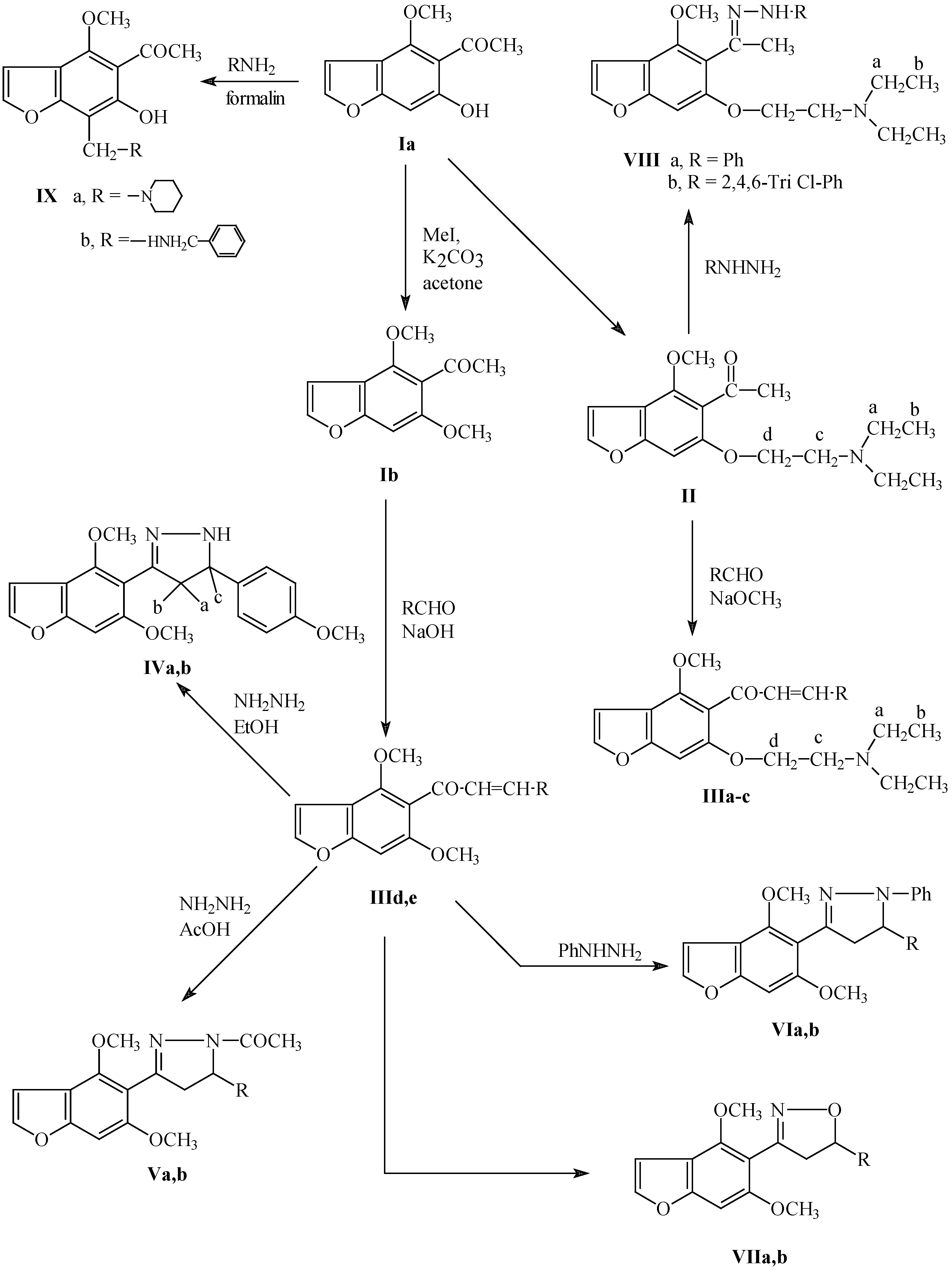
The reaction of 5-acetyl-6-hydroxy-4-methoxybenzo[b]furan (visnaginone Ia) with 2-diethylaminoethylchloride led to the formation of 5-acetyl-6-diethylamino-ethoxy-4-methoxybenzo[b]furan (II), whereas condensation of compound II with some aromatic aldehydes afforded the corresponding chalcones IIIa-c. Methylation of visnaginone (Ia) gave 5-acetyl-4,6-dimethoxybenzo[b]furan (Ib), which in turn reacted with some aromatic aldehydes to give the corresponding chalcones IIId,e. The reaction of chalcones IIId,e with hydrazine hydrate in alcohol gave the pyrazoline derivatives IVa,b, whereas when the same reaction was carried out in acetic acid it afforded the N-acetylpyrazoline derivatives Va,b. Similarly, the reaction of IIId,e with phenyl hydrazine in acetic acid led to the formation of phenylpyrazoline derivatives VIa,b, whereas condensation of chalcones IIId,e with hydroxyl amine hydrochloride gave the isoxazoline derivatives VIIa,b. The reaction of compound II with phenylhydrazine and 2,4,6-trichlorophenylhydrazine afforded the corresponding phenyl hydrazone derivatives VIIIa,b. Mannich bases IXa,b were synthesized by the reaction of visnaginone (Ia) with piperidine and benzylamine in the presence of formaline.

Introduction

Benzofuran derivatives have been reported to possess biological activities [1,2,3,4,5]. Some derivatives of 6-aminoalkoxy-5-cinnamoyl-4,7-di-methoxybenzofuran have vasodialating and hypotensive effects [6]. Also, 5-acetyl-6-hydroxy-4-methoxy-7-morpholinomethylbenzofuran has hypotensive and arrhythimic activities [7]. The biological activity of Mannich bases as antiamoebic and antiinflammatory agents has also been reported [8]. Some pyrazoline derivatives were used as bacteriostatic, fungicidal and anticancer agents [9]. Also, isoxazoline compounds have been shown to have antituberculosis and antibiotic activities [10,11,12]. Our plan was to incorporate these active cinnamoyl, pyrazoline and isoxazoline groups and Mannich bases into the structure of the parent compound visnaginone (Ia), with the aim of increasing its biological activity.

Results and Discussion

As shown in Scheme 1, visnaginone (Ia) was reacted with diethylaminoethyl chloride in acetone to afford 4-methoxy-5-acetyl-6-diethylamino-ethoxybenzofuran (II). The reaction of II with some aromatic aldehydes, namely, benzaldehyde, anisaldehyde and 4-chlorobenzaldehyde in dry methanol in the presence of sodium methoxide afforded the cinnamoyl derivatives IIIa-c. Methylation of visnaginone (Ia) with methyl iodide in dry acetone led to the formation of 6-methoxy visnaginone (Ib). The reaction of (Ib) with benzaldehyde and anisaldehyde afforded the corresponding chalcones IIId,e. The action of hydrazines on chalcones IIId,e was studied and it was found that when compounds IIId,e were reacted with one equivalent hydrazine hydrate in alcohol, they afforded the pyrazoline derivatives Iva,b, and when the same reaction was carried out in acetic acid the N-acetylpyrazolinyl derivatives Va,b were obtained. The reaction of IIId,e with phenyl hydrazine was carried out in boiling acetic acid to afford the phenyl pyrazolinyl derivatives VIa,b. On the other hand, the isoxazolinyl derivatives VIIa,b were obtained when chalcones IIId,e were reacted with hydroxylamine hydrochloride. Visnaginone Ia reacted with phenyl hydrazine and 2,4,6-trichlorophenyl hydrazine to yield the corresponding hydrazones VIIIa,b. Also, visnaginone was reacted with piperidine and benzylamine under Mannich conditions to afford the corresponding Mannich bases IXa,b.

Experimental 

General

Melting points are uncorrected. 1H-NMR spectra were run using TMS as internal reference on a Jeol EX-270 NMR spectrometer. IR spectra were recorded on a FT/IR Jasco 300 E instrument. The prepared compounds were analyzed for C, H and N and the microanalytical data is in full agreement with the suggested structures (Table 1). Compound Ia was prepared according to Musante [13].
Compound Ib was prepared according to Schonberg [14] and compound IXa was prepared according to Ragab [7]. The biological activity of the prepared compounds is under investigation and will be published separately in near future.
Scheme 1.
Scheme 1.
Molecules 06 00396 g001
III-VII, a,d, R = Ph; b,e, R = C6H4-OCH3 (p); c, R = C6H4-Cl (p)

Preparation of 5-acetyl-6-diethylaminoethoxy-4-methoxybenzo[b]furan (II).

A mixture of visnaginone (0.2 mole), potassium carbonate (5.4g) and diethylaminoethyl chloride (0.47 mole) in acetone (340 mL) was refluxed with stirring for 10 hrs. The acetone mixture was filtered off and filtrate was evaporated under reduced pressure, and extracted with chloroform, the chloroform washed with sodium hydroxide solution (5%), then with water, the chloroform extract was dried over anhydrous sodium sulphate and evaporated under reduced pressure to give 5-acetyl-6-diethylamino-ethoxy benzofuran (II) as yellowish white oil. IR (KBr) cm-1 2950 (CH-alkyl), 1750 (C=O), 1225 (C-N) and 1150 (C-O-C); 1H-NMR (CDCl3) ppm: δ 1.05 (6H, t, CH3-b), 2.45 (3H, s, COCH3), 2.55 (4H, q, 2CH2-a), 2.8 (2H, t, CH2-c), 2.95 (2H, t, CH2-d), 4.00 (3H, s, OCH3), 6.75 (1H, s, C-7 aromatic), 6.9 (1H, d, H3-furan) and 7.45 (1H, d, H2-furan).

General procedure for the preparation of 5-substituted cinnamoyl-6-(2-diethylaminoethoxy)-4-methoxy benzo[b]furans (IIIa-c).

Compound II (0.3 mole) was reacted with a mixture of the appropriate aromatic aldehyde (0.3 mole), dry methanol (30 mL) and sodium methoxide (from 3g Na and 30 mL methanol) with stirring at room temperature for 4 hrs., then water (750 mL) was added and the mixture extracted with ethyl acetate. The organic layer washed with water, dried over anhydrous sodium sulphate, concentrated and crystallized from methanol.
5-cinnamoyl-6-(diethylaminoethoxy)-4-methoxybenzo[b]furan (IIIa): Yield 95%, m.p. 110°C. IR: (KBr) cm-1, 3000 (C-H), 1730 (C=O), 1615 (cinnamoyl C=C) and 1135 (C-O-C); 1H-NMR (DMSO-d6) ppm: δ at 1.0 (6H, t, CH3-a), 2.45 (4H, q, CH2-b), 2.7 (2H, t, CH2-c), 3.57 (2H, t, CH2-d), 4.0 (3H, s, OCH3 aromatic), 4.20 (3H, s, OCH3-C4), 6.9-7.4 (6H, m, benzene ring), 7.55 (1H, d, H3 furan) and 7.7 (1H, d, H2-furan).
5-(4-Methoxycinnamoyl-6-(diethylaminoethoxy)-4-methoxybenzo[b]furan (IIIb): Yield 90%, m.p. 116°C. IR: (KBr) cm-1, 3110 (C-H), 1620 (cinnamoyl C=C), 1635 (C=O) and 1130 (C-O-C); 1H-NMR (DMSO-d6) ppm: δ 0.9 (6H, t, CH3-a), 2.4 (4H, q, CH2-b), 2.6 (2H, t, CH2-c), 3.5 (2H, t, CH2-d), 4.00 (3H, s, OCH3-aromatic), 4.10 (3H, s, OCH3-C4), 7.2, 7.9 (1H, dd, 2H-cinnamoyl), 6.95, 7.40 (4H, dd, aromatic protons), 7.45 (1H, s, C-7 aromatic), 7.5 (1H, d, H3-furan), and 7.7 (1H, d, H2-furan).
5-(4-Chlorocinnamoyl-6-(diethylaminoethoxy)-4-methoxybenzo[b]furan (IIIc): Yield 85%, m.p. 209°C. IR: (KBr) cm-1, 3050 (C-H), 1600 (cinnamoyl C=C), 1700 (C=O), 1120 (C-O-C), 1220 (C-N) and 730 (C-Cl); 1H-NMR (DMSO-d6) ppm: δ 0.95 (6H, t, CH2-a), 2.4 (4H, q, CH2-b), 2.75 (2H, t, CH2-c), 3.3 (2H, t, CH2-d), 4.00 (3H, s, OCH3), 6.8-7.3 (6H, m, aromatic protons + aliphatic system), 7.5 (1H, s, H-7), 7.8 (1H, d, H-3, furan) and at 7.9 (1H, d, H-2 furan).

General procedure for the preparation of 5-substituted cinnamoyl-4,6-dimethoxybenzo[b]furans (IIId,e).

6-Methoxy visnaginone Ib (0.1 mole) was dissolved in ethyl alcohol (15 mL). The appropriate aromatic aldehyde (0.1 mole) was added, followed by the addition of a solution of sodium hydroxide (30%, 12 mL). The mixture was stirred and allowed to stand at room temperature for 24 hrs., then diluted with water (270 mL) and acidified with dilute solution HCl. The precipitate formed was filtered off and crystallized from ethyl alcohol.
5-Cinnamoyl-4,6-dimethoxybenzo[b]furan (IIId): Yield 97%, m.p. 106°C. IR: (KBr) cm-1, 3000 (C-H), 1680 (C=O), 1620 (C=C) and 1165 (C-O-C); 1H-NMR (DMSO-d6) ppm: δ 3.8 (2H, s, OCH3-C4), 3.95 (3H, s, OCH3-C4), 6.8 (1H, d, H3 furan), 6.9, 7.6 (2H, dd, 2H cinnamoyl), 7.1-7.5 (5H, m, aromatic), 7.8 (1H, d, H-3, furan) and at 7.9 (1H, d, H-2 furan).
5-(4-Methoxycinnamoyl-6-(diethylaminoethoxy)-4-methoxybenzo[b]furan (IIIe): Yield 90%, m.p. 108°C. IR: (KBr) cm-1, 3040 (C-H), 1700 (C=O), 1625 (C=C) and 1150 (C-O-C); 1H-NMR (DMSO-d6) ppm: δ at 0.90 (6H, t, CH3-a), 2.4 (4H, q, CH2-b), 2.60 (2H, t, CH2-c), 3.5 (2H, t, CH2-d), 4.00 (3H, s, OCH3 aromatic), 4.10 (3H, s, OCH3-C4), 7.2, 7.7 (1H, dd, 2H cinnamoyl), 6.95-7.4 (5H, m, aromatic protons), 7.45 (1H, s, H-7, aromatic), 7.5 (1H, d, H-3, furan) and at 7.9 (1H, d, H-2 furan).

General procedure for the preparation of 4,6-dimethoxy-5-(aryl-2-pyrazolin-3-yl)benzo[b]furans (IVa,b).

Chalcones IIId,e (0.01 mole) were dissolved in ethyl alcohol (10 mL) and refluxed with hydrazine hydrate (0.5 mL) for 10 hrs. The reaction mixture was diluted with water (50 mL) and the solid formed was filtered off and crystallized from ethyl alcohol.
4,6-Dimethoxy-5-(phenyl-3-pyrazolin-3-yl)benzo[b]furan (Iva): Yield 55%; m.p. 131°C. IR: (KBr) cm-1, 3230 (NH), 1620 (C=C), 1590 (C=N) and 1150 (C-O-C); 1H-NMR (DMSO-d6) ppm: δ 2.8 (1H, dd, Ha, Jvic = 8 Hz, Jgem=15 Hz), 3.6 (1H, dd, He, Jvic = 8 Hz, Jgem = 10 Hz), 3.9 (3H, s, OCH3, C-6), 4.00 (3H, s, OCH3-C-4), 5.4 (1H, dd, Hc pyrazolinyl, Jvic = 10 Hz, Jgem = 15 Hz), 6.6 (1H, d, H3-furan), 6.95-7.40 (4H, m, aromatic), 7.5 (1H, s, C-7), 7.9 (1H, d, H2-furan), and 9.6 (1H, s, NH, exchangeable with D2O).
4,6-Dimethoxy-5-(4-methoxyphenyl-2-pyrazolin-3-yl)benzo[b]furan (IVb): Yield 60; m.p. 64°C. IR: (KBr) cm-1, 3210 (NH), 1700 (C=O), 1625 (C=C), 1590 (C=N) and 1155 (C-O-C); 1H-NMR (DMSO-d6) ppm: δ 2.9 (1H, dd, Ha), 3.6 (1H, dd, He), 3.8 (3H, s, OCH3, aromatic), 3.9 (3H, s, OCH3-C-6), 4.0 (3H, s, OCH3, C-4), 5.4 (1H, dd, He pyrazolinyl), 6.65 (1H, d, H3-furan), 6.95, 7.65 (4H, dd, aromatic), 7.5 (1H, s, C-7), 7.9 (1H, d, H2-furan), and 9.6 (1H, s, NH, exchangeable with D2O).

General procedure for the preparation of 4,6-dimethoxy-5-(1-acetyl-5-aryl-2-pyrazolin-3-yl)benzo[b]furans (Va,b).

Chalcones IIId,e (0.01 mole) were dissolved in acetic acid (10 mL) and refluxed with hydrazine hydrate (0.5 mL) for 12 hrs. The reaction mixture was poured onto water. The solid formed was filtered off and crystallized from ethanol.
4,6-Dimethoxy-5-(1-acetylphenyl-2-pyrazolin-3-yl)benzo[b]furan (Va): Yield 90%; m.p. 170°C. IR: (KBr) cm-1, 1670 (keto amide), 1635 (C=N) and observed disappearance of NH band; 1H-NMR (DMSO-d6) ppm: δ 2.2 (3H, s, COCH3), 2.7 (1H, dd, Ha, Jvic = 6 Hz, Jgem= 18 Hz), 3.5 (1H, dd, He, Jvic = 6 Hz, Jgem = 12 Hz), 3.9, 4.00 (3H, s, OCH3, C-4,6), 6.0 (1H, dd, Hc pyrazolinyl, Jvic = 12 Hz, Jgem = 18 Hz), 6.9 (1H, d, H3-furan), 7.1-7.3 (5H, m, aromatic), 7.6 (1H, s, C-7) and 7.95 (1H, d, H2-furan).
4,6-Dimethoxyacetyl-5-(4-methoxyphenyl-2-pyrazolin-3-yl)benzo[b]furan (Vb): Yield 85%; m.p. 170°C. IR: (KBr) cm-1, 1660 (keto amide), 1635 (C=N); 1H-NMR (DMSO-d6) ppm: δ 2.1 (3H, s, N-COCH3), 2.8 (1H, dd, Ha), 3.6 (1H, dd, Hc), 3.75 (3H, s, OCH3-aromatic), 3.9, 4.00 (3H, s, OCH3, C-4,6), 5.9 (1H, dd, He), 6.9 (1H, d, H3-furan), 7.1-7.3 (4H, m, aromatic), 7.4 (1H, s, C-7), and 7.95 (1H, d, H2-furan).

General procedure for the preparation of 4,6-dimethoxy-5-(5-aryl-1-phenyl-2-pyrazolin-3-yl)benzo[b]furans (VIa,b).

Chalcones IIId,e, (0.01 mole) were dissolved in glacial acetic acid (10 mL) and refluxed with phenyl hydrazine (1.1 mL) for 8 hrs. The reaction mixture was cooled and poured onto water. The precipitate thus formed was filtered off and crystallized from ethyl alcohol.
4,6-Dimethoxy-5-(5-diphenyl-2-pyrazolin-benzo[b]furan (VIa): Yield 75%; m.p. 120°C; 1H-NMR (DMSO-d6) ppm: δ 2.8 (1H, dd, Ha, Jvic = 8 Hz, Jgem= 18 Hz), 3.6 (1H, dd, He, Jvic = 12 Hz, Jgem = 18 Hz), 3.8 (3H, s, OCH3, C-6), 400 (3H, s, OCH3, C-4), 5.85 (1H, dd, Hc, Jvic = 8 Hz, Jgem = 18 Hz), 6.95 (1H, d, H3-furan), 7.2-7.5 (10H, m, aromatic), 7.6 (1H, s, C-7) and 7.9 (1H, d, H2-furan).
4,6-Dimethoxy-1-phenyl-5-(4-methoxyphenyl)pyrazolin-3-yl)-benzo[b]furan (VIb): Yield 75% (ethanol), m.p. 120°C. 1H-NMR (DMSO-d6) ppm: δ 2.9 (1H, dd, Ha), 3.7 (1H, dd, He), 3.75 (3H, s, OCH3-aromatic), 3.8 (3H, s, OCH3-C-6), 4.00 (3H, s, OCH3-C-4), 5.85 (1H, dd, Hc), 6.9 (1H, d, H3-furan), 7.1-7.4 (9H, m, aromatic), 7.45 (1H, s, C-7), 7.9 (1H, d, H2-furan).

General procedure for the preparation of 4,6-dimethoxy-5-(5-aryl-2-isoxazolin-3-yl)benzo[b]furans (VIIa,b).

Chalcones IIId,e (0.01 mole) were dissolved in ethanol (10 mL) and a mixture of hydroxylamine hydrochloride (0.8g) in ethanol (8 mL) and water (2 mL) was added, followed by few drops of potassium hydroxide (50%). The reaction mixture was refluxed for 9 hrs. The solid formed was filtered off and crystallized from ethyl alcohol.
4,6-Dimethoxy-5-(phenyl-2-isoxazolin-3-yl)benzo[b]furan (VIIa): Yield 80%; m.p. 138°C; IR: (KBr) cm-1, 1635 (C=N), 1600 (C=C), and 1030 (C-O-C); 1H-NMR (DMSO-d6) ppm: δ at 2.45 (1H, dd, Ha, Jvic = 6 Hz, Jgem= 18 Hz), 3.8, 3.9 (3H, s, OCH3, C-4,6), 4.1 (1H, dd, He, Jvic = 6 Hz, Jgem = 12 Hz), 5.5 (1H, dd, Hc, Jvic = 12 Hz, Jgem = 18 Hz), 6.9 (1H, d, H3-furan), 7.2-7.4 (5H, m, aromatic), 7.5 (1H, s, C-7) and 7.9 (1H, d, H2-furan).
4,6-Dimethoxy-5-(4-methoxyphenyl)-2-isoxazolin-3-yl)benzo[b]-furan (VIb): Yield 70%; m.p. 70°C. IR: (KBr) cm-1, 1635 (C=N), 1620 (C=C), and 1030 (C-O-C); 1H-NMR (DMSO-d6) ppm: δ 2.4 (1H, dd, Ha), 3.8 (3H, s, OCH3, aromatic), 3.9, 4.00 (3H, s, OCH3-C-4,6), 4.3 (1H, dd, He), 5.5 (1H, dd, Hc), 6.8 (1H, d, H3-furan), 7.1-7.4 (4H, dd, aromatic, J = 8 Hz), 7.45 (1H, s, C-7), 7.9 (1H, d, H2-furan).

General procedure for the preparation of 5-(1-arylhydrazono-ethyl)-6-(2-diethylaminoethoxy)-4-methyl benzo[b]furans (VIIIa,b).

Compound II (0.01 mole) was dissolved in ethyl alcohol (10 mL), 0.1 mole of a hydrazine was added (phenyl hydrazine in case of VIIIa and 2,4,6-trichlorophenyl hydrazine in case of VIIIb), followed by the addition of few drops of acetic acid and the reaction mixture was refluxed for 5 hrs. and then cooled. The solid material was filtered off and crystallized from ethyl alcohol.
5-(2-Phenyhydrazonethyl)-6-diethylaminoethyl)-4-methoxy-benzo[b]furan (VIIIa): Yield 70%; m.p. 125°C; IR: (KBr) cm-1, 3150 (NH), 1630 (C=C), 1597 (C=N), 1320 (C-N), and 1106 (C-O-C); 1H-NMR (DMSO-d6) ppm: δ 0.9 (6H, t, 2CH3-b), 2.5 (4H, q, 2CH2-a), 3.3 (2H, t, 2CH2-d), 3.9 (3H, s, OCH3), 7.1 (1H, d, H3-furan), 7.4 (5H, m, aromatic), 7.6 (1H, s, C-7), 7.7 (1H, d, H2-furan), 10.0 (1H, s, NH exchangeable with D2O).
5-(2,4,6-Trichloro-1-phenyhydrazonoethyl)-6-(diethylamino-ethyl)-4-methoxybenzo[b]furan (VIIIb): Yield 75%; m.p. 130°C; IR: (KBr) cm-1, 3175 (NH), 1630 (C=C), 1597 (C=N), 1320 (C-N), and 1106 (C-O-C); 1H-NMR (DMSO-d6) ppm: δ 1.00 (6H, t, 2CH3-b), 2.6 (4H, q, 2CH2-a), 3.2 (2H, t, CH2-d), 3.9 (3H, s, OCH3), 7.2 (1H, d, H3-furan), 7.4 (2H, s, aromatic), 7.6 (1H, s, C-7), 7.7 (1H, d, H2-furan), 10.0 (1H, s, NH, exchangeable with D2O).

General procedure for the preparation of 5-acetyl-6-hydroxy-4-methoxy-7-substituted methyl benzo[b]furans (IXa,b).

Visnaginone (Ia, 0.01 mole) was dissolved in ethyl alcohol (20 mL). Formalin (0.5 mL) and the appropriate amine (0.01 mole) were added. The reaction mixture was refluxed for 3 hrs., and then cooled. The precipitate formed was filtered off and crystallized from ethyl alcohol.
5-Acetyl-6-hydroxy-4-methoxy-7-piperidinomethylbenzo[b]furan (IXa): Yield 80%; m.p. 105°C; IR: (KBr) cm-1, 3400 (broad OH), 3200 (NH), and 1320 (C-N); 1H-NMR (DMSO-d6) ppm: δ 2.3 (CH2-N), 3.9 (3H, s, COCH3), 4.0 (3H, s, OCH3), 4.8-5.2 (10H, m, piperidine), 6.9 (1H, d, H3-furan), 7.9 (1H, d, H2-furan), 12.1 (1H, bs, OH).
5-Acetyl-6-hydroxy-4-methoxy-7-benzylaminoethylbenzo[b]furan (IXb): Yield 90%; m.p. 120°C; IR: (KBr) cm-1, 3400 (broad OH), 3150 (NH), 1350 (C-N); 1H-NMR (DMSO-d6) ppm: δ at 2.4 (2H, s, CH2-N), 2.6 (2H, s, CH2-Ph), 3.9 (3H, s, COCH3), 4.00 (3H, s, OCH3), 6.9 (1H, d, H3-furan), 7.1-7.3 (5H, m, aromatic), 7.9 (1H, d, H2-furan), 12.1 (1H, br.s, OH).
Table 1. Physical data for the prepared benzo[b]furan (IIIa-IXb)
Table 1. Physical data for the prepared benzo[b]furan (IIIa-IXb)
Molecules 06 00396 i001
No.X
Y
Z
M.P. °C (Yield,%)Mol. Formula Mol. wt.CHN Analysis % Calc.-Found
IIIaCinnamoyl
2-diethylaminoethyl
H
110
95
C24H27NO4
393
73.28
6.87
3.56
73.45
6.62
3.25
IIIbp-methoxycinnamoyl
2-diethylaminoethyl
H
116
90
C25H29NO5
423
70.92
6.86
3.31
70.73
6.91
3.16
IIIc4-chlorocinnamoyl
2-diethylaminoethyl
H
190
90
C24H26NO4Cl
427.5
67.37
6.08
3.27
67.13
6.24
3.43
IIIdcinnamoyl
methyl
H
106
97
C19H16O4
308
74.03
5.19
74.35
5.28
IIIep-methoxycinnamoyl
methyl
H
108
90
C20H18O5
338
71.06
5.33
70.52
5.17
IVa5-phenyl-2-pyrazolin-3-yl
methyl
H
131
55
C19H18N2O3
322
70.81
5.59
8.69
70.54
5.36
8.35
IVb4-methoxyphenyl-2-pyrazolin-3-yl
methyl
H
64
60
C20H20N2O4
352
68.18
5.68
7.95
68.39
5.79
8.24
Va1-acetylphenyl-2-pyrazolin-3-yl
methyl
170
90
C21H20N2O4
364
69.23
5.49
7.69
69.51
5.61
7.93
Vb1-acetyl-5-(4-methoxy-phenyl)pyrazolin-3-yl
methyl
173
85
C22H22N2O5
394
67.00
5.58
7.10
67.26
5.36
7.38
VIa1,5-diphenyl-2-pyrazolin-3-yl
methyl
H
121
70
C25H22N2O3
398
75.38
5.53
7.04
75.16
5.29
7.32
VIb1-phenyl-5-(4-methoxy phenyl)-2-pyrazolin-3-yl
methyl
H
120
75
C26H24N2O4
428
72.89
5.61
6.54
72.53
5.89
6.98
VIIa5-phenyl-2-isoxazoline-3-yl
methyl
H
138
80
C19H17NO4
323
70.59
5.26
4.33
70.28
4.83
4.11
VIIb5-(4-methoxyphenyl)-2-isoxazoline-3-yl
methyl
H
102
70
C20H19NO5
353
67.99
5.38
3.97
67.68
5.21
3.71
VIIIa2-phenylhydrazonoethyl
2-diethylaminoethyl
H
125
70
C23H29N3O3
395
69.87
7.34
10.63
69.71
7.26
10.41
VIII b2,4,6-trichloro-1-phenyl-hydrazonoethyl
2-diethylaminoethyl
H
130
75
C23H26N3O3Cl3
498.5
55.37
5.22
8.42
55.51
5.35
8.66
IXaacetyl
H
piperidinomethyl
105
80
C17H21NO4
303
67.33
6.93
4.62
67.76
6.84
4.38
IXbacetyl
H
benzylaminoethyl
120
90
C19H19NO4
325
70.15
5.85
4.31
75.38
5.98
4.71

References

  1. Fauran, C.; Eberele, J.; Raymaud, G.; Pourrias, B.; Baurgey, G. Fr. Demande, 2,142 648, 09 Mar 1973.
  2. Khan, M.S.Y; Sharma, P. Indian J. Chem. 1993, 22B, 374.
  3. Fauran, C.; Eberele, J.; Berthon, D. Chimie Therapeutique 1973, No. 4, 475.
  4. Bourgerg, G.; Dostert, P.; Lacour, A.; Longlois, M.; Pourrias, B.; Vesailles, J. T. J. Med. Chem. 1981, 24, 159.
  5. Fauran, C.; Eberele, J.; Raynaud, G.; Dorme, N. Fr. Demande 2,178,815, 21 Dec. 1973.
  6. Fauran, C.; Eberele, J.; Raynaud, G.; Pourrias, B. Ger. Offen, 2, 238, 115; (C. A. 78, 147775, 1973),
  7. Ragab, F. A.; El-Ansary, S. L.; Hassan, A. B. Egypt. J. Pharm. Sci. 1992, 33, 931.
  8. Burckhalter, J. H.; Tendick, F. H.; Jones, E. M.; Jones, P. A.; Holcomb, W. F.; Rawlins, A. L. J. Am. Chem. Soc. 1948, 70, 1363. [PubMed]
  9. Clinton, R. O.; Manson, A. J.; Stonner, F. W.; Beyler, A. L.; Potts, G. O. J. Am. Chem. Soc. 1995, 81, 1513.
  10. Doyle, F. P.; Nayler, J. H. C. U.S. Pat. 2, 996,501 (1014, 1961); (C. A., 56, 5971h, 1962),
  11. Katritzky, A. K. Advanced Heterocyclic Chemistry; Academic Press: New York and London, 1966; vol. 6, p. 347. [Google Scholar]
  12. Fawzy, N. M. Mans. Sci. Bull. 1997, 24, 101.
  13. Musante, C.; Fabbrini, L.; Franchi, A. Farmaco (Pavia), Ed. Sci. 1962, 17, 526.
  14. Schonberg, A; Badran, N.; Starkowsky, N. A. J. Am. Chem. Soc. 1953, 75, 4992.
  • Sample Availability: Samples of compounds IIIe, IVa, IVb, Va, VIa, VIb, IXa and IXb are available from MDPI.

Share and Cite

MDPI and ACS Style

Abdel Hafez, O.M.; Ahmed, K.M.; Haggag, E.E. Synthesis of Some Potentially Bioactive Compounds From Visnaginone. Molecules 2001, 6, 396-405. https://doi.org/10.3390/60400396

AMA Style

Abdel Hafez OM, Ahmed KM, Haggag EE. Synthesis of Some Potentially Bioactive Compounds From Visnaginone. Molecules. 2001; 6(4):396-405. https://doi.org/10.3390/60400396

Chicago/Turabian Style

Abdel Hafez, O. M., Kh. M. Ahmed, and E. E. Haggag. 2001. "Synthesis of Some Potentially Bioactive Compounds From Visnaginone" Molecules 6, no. 4: 396-405. https://doi.org/10.3390/60400396

APA Style

Abdel Hafez, O. M., Ahmed, K. M., & Haggag, E. E. (2001). Synthesis of Some Potentially Bioactive Compounds From Visnaginone. Molecules, 6(4), 396-405. https://doi.org/10.3390/60400396

Article Metrics

Back to TopTop