Next Article in Journal
Recent Advances in the Substitution Reactions of Triorganylstannyl Ions with Aromatic Compounds by the SRN1 Mechanism. Synthetic Applications
Previous Article in Journal
Synthesis and Fungicidal Activity of 2-Imino-3-(4-arylthiazol-2-yl)-thiazolidin-4-ones and Their 5-Arylidene Derivatives
 
 
Font Type:
Arial Georgia Verdana
Font Size:
Aa Aa Aa
Line Spacing:
Column Width:
Background:
Article

Swern Oxidation of Bicyclo[2.2.1]hept-5-ene-2,3-diol and Its Pyrazine-fused Derivatives: An Improved Synthesis of Bicyclo[2.2.1]hept-5-ene-2,3-dione and An Unexpected Ring-Opening Reaction

by
Tomoshige Kobayashi
* and
Sayuri Kobayashi
Department of Chemistry, Faculty of Science, Shinshu University, Matsumoto 390-8621, Japan
*
Author to whom correspondence should be addressed.
Molecules 2000, 5(9), 1062-1067; https://doi.org/10.3390/50901062
Submission received: 14 August 2000 / Accepted: 6 September 2000 / Published: 9 September 2000

Abstract

:
An improved synthesis of bicyclo[2.2.1]hept-5-ene-2,3-dione by Swern oxidation of bicyclo[2.2.1]hept-5-ene-2,3-diol, and an unexpected ring-opening reaction by the Swern oxida-tion of pyrazine-fused congeners are described.

Introduction

Bicyclo[2.2.1]heptane skeletons have been a useful building block for the construction of molecular archi-tectures with a concavity [1]. In the course of our studies to synthesize a host molecule utilizing a negative electrostatic potential filed of pyrazine rings, a general method to prepare norobornene-2,3-dione and its py-razine-fused derivatives was required. We describe here an improved synthesis of bicyclo[2.2.1]hept-5-ene-2,3-dione (3) by Swern oxidation of bicyclo[2.2.1]hept-5-ene-2,3-diol (6). We also report that a similar Swern oxidation reaction of pyrazine-fused congeners 10 and 11 was found to undergo an unexpected rring- opening reaction.

Results and Discussion

Previously, bicyclo[2.2.1]hept-5-ene-2,3-dione (3) was prepared by the Diels-Alder reaction of cyclo-pentadiene with dichlorovinylene carbonate (1) giving the adduct 2, followed by hydrolysis [2]. Dichlorovinyl- ene carbonate (1) can be prepared by the reductive dechlorination reaction of tetrachloroethylene carbonate [3]. However, the synthesis of tetrachloroethylene carbonate is troublesome because the use of a large amount of chlorine gas is required [3]. Furthermore, we could not reproduce the reported yield of the Diels-Alder re-action of 1 with cyclopentadiene: the adduct 2 was obtained only in 40-50% yields whereas 65-70% yields were claimed in the literature [3]. Thus, we report here an improved synthesis of 1 starting from more readily available vinylene carbonate (4) [4].
Bicyclo[2.2.1]hept-5-ene-2,3-diol (6) was prepared by the Diels-Alder reaction of vinylene carbonate (4) and cyclopentadiene followed by the hydrolysis as described in the literature [5]. The total yield for the two steps was 78%. The Swern oxidation of 6 with dimethyl sulfoxide and oxalyl chloride provided 3 in 61% yield. A similar Swern oxidation by the use of trifluoroacetic anhydride instead of oxalyl chloride increased the yield of 3 to 73%. The overall yield of 3 from 4 was 57% yield, which is much higher than that from 1 (38% by our hands).
Scheme 1.
Scheme 1.
Molecules 05 01062 sch001
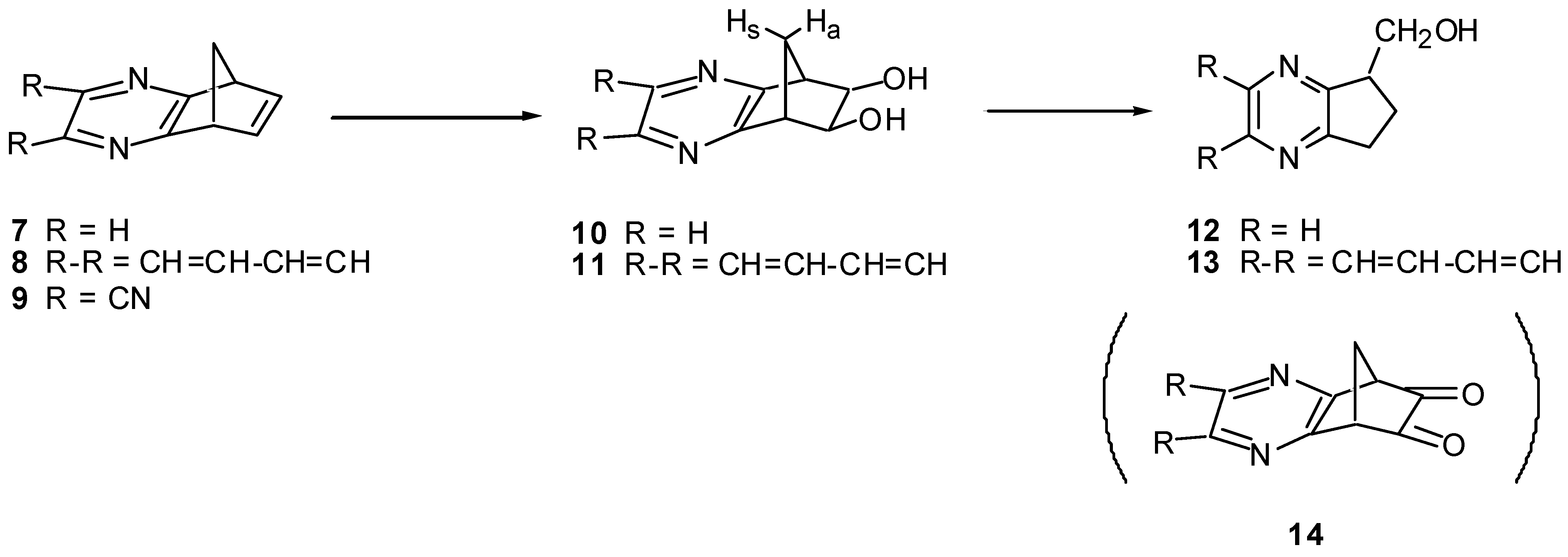
We next tried to apply the Swern oxidation to prepare pyrazine-fused norbornenediones 14. 5,6,7,8-Tetrahydro-5,8-methanoquinoxaline-6-exo,7-exo-diol (10) was prepared in 90% yield by the oxidation of pyrazine-fused norbornadiene 7 [6] with osmium tetroxide in the presence of N-methylmorpholine N-oxide. A similar oxidation of 8 [6] provided 1,2,3,4-tetrahydro-1,4-methanophenazine-2-exo,3-exo-diol (11) in 89% yield. However, treatment of the dicyanopyrazine-fused norbornadiene 9 [6] with osmium tetroxide resulted in the recovery of 9. The electron-deficient pyrazine ring with cyano substituents would retard the oxidation at the remote olefinic moiety [7].
When the exo-cis diol 10 was treated with dimethyl sulfoxide and trifluoroacetic anhydride, (6,7-dihydro- 5H-cyclopentapyrazin-5-yl)methanol (12) was obtained in 75% yield. A similar treatment of 11 provided (2,3-dihydro-1H-cyclopenta[b]quinolin-1-yl)methanol (13) in 63% yield. The Swern oxidation of 11 by the use of oxalyl chloride instead of trifluoroacetic anhydride also produced 13 in 63% yield. We could observe no evidence for the formations of expected α-diketones 14. When we were monitoring the reaction by TLC, a spot initially formed on the TLC plate was disappeared after the work-up with aqueous sodium hydroxide solution. Unfortunately, our attempts to isolate the intermediate corresponding to this spot were unsuccessful.
Scheme 2.
Scheme 2.
Molecules 05 01062 sch002
A plausible mechanism for the present reaction was illustrated in Scheme 3. The initially formed sulfonium ion 15 would undergo the C-C bond cleavage by the abstraction of hydroxyl proton with triethylamine, and the intramolecular Cannizzaro reaction under alkaline conditions followed by decarboxylation could give the products 12 and 13.
Scheme 3.
Scheme 3.
Molecules 05 01062 sch003
However, the Cannizzaro reaction is well recognized to proceed for aldehydes with no α-hydrogen [8]. Furthermore, the Swern oxidations of vicinal diols 18 [9], 19 [10] and 20 [11] have all been reported to give the corresponding α-diketones, as did the oxidation reaction of 6. Thus, from our results we did not obtain evidence to discriminate between those reaction pathways and other potential mechanisms for the present re- action might be considered.
Scheme 4.
Scheme 4.
Molecules 05 01062 sch004

Conclusion

We have presented a facile route for the synthesis of the norbornenedione 3 and an unusual ring-opening reaction by Swern oxidation of the pyrazine-fused norbornenediols 10 and 11.

Experimental

General

All the melting points were determined with a Yanagimoto hot-stage apparatus. IR spectra were obtained with a JEOL Diamond-20 spectrometer. NMR spectra were recorded either with JEOL JNM-LA400 (1H: 400 MHz; 13C: 100 MHz) spectrometer using TMS as internal standard. J-Values are given in Hz. Assign-ments of the 1H and 13C signals are based on DEPT, H-H COSY, and C-H COSY measurements. Mass spectra were measured with a Shimadzu GCMS-QP1000EX spectrometer operating in the electron impact mode (70eV). High-resolution mass spectra (HR-MS) were taken with a JEOL JMS-SX102A spectrometer operating in the FAB+ method. Elemental analyses were performed with a Perkin-Elmer Model 240 appara-tus. Solvents were dried and purified by standard methods. Yields are based on isolated products with suffi- cient purity.

Bicyclo[2.2.1]hept-5-ene-2,3-dione (3)

Trifluoroacetic anhydride (35.92 g, 171 mmol) was added dropwise over 40 min to a solution of dimethyl sulfoxide (14.79 g, 189 mmol) in dichloromethane (100 mL) cooled with a dry ice-acetone bath. To this solu-tion was added a solution of bicyclo[2.2.1]hept-5-ene-2-endo,3-endo-diol (6) (7.50 g, 60 mmol) in dichlo- romethane (30 mL) over 10 min. The mixture was further stirred at -78°C for 2 h. Triethylamine (31.98 g, 316 mmol) was added to the solution. The mixture was stirred for 3 h and allowed to warm up to room tem-perature. 2M Hydrochloric acid was added and the product was extracted with dichloromethane. The organic phase was dried with sodium sulfate. After removal of the solvent, the resulting yellow oil was distilled under vacuum to give 3 (5.31 g, 73%) as a yellow oil which solidified after cooling: bp 129°C (10 Torr); mp 40°C (lit [3] mp 43°C) ; 1H NMR (CDCl3) δ=2.49 (1H, d, J=11, 7-H), 3.00 (1H, dt, J=11 and 2, 7-H), 3.32 (2H, m, 1-H and 4-H), 6.51 (2H, br s, 5-H and 6-H); 13C NMR (CDCl3) δ=43.6 (C-7), 51.4 (C-1 and C-4), 137.7 (C-5 and C-6), 195.6 (C-2 and C-3); IR (KBr) 1765 cm-1; MS m/z 122 (9; M+), 95 (16; M - C2H3), 66 (100, C5H6).
A similar reaction of 6 (0.65 g, 5.8 mmol) with dimethyl sulfoxide (1.19 g, 15 mmol) and oxalyl chloride (1.65 g, 13 mmol), followed by the addition of triethylamine (2.70 g, 27 mmol) provided 3 (0.43 g, 61%).

5,6,7,8-Tetrahydro-5,8-methanoquinoxaline-6-exo,-7-exo-diol (10)

To a solution of osmium tetroxide (1 mg, 0.004 mmol) and N-methylmorpholine N-oxide (246 mg, 2.1 mmol) in a mixture of acetone ( 5 mL) and water (10 mL) was added the norbornadiene-fused pyrazine 7 (100 mg, 0.7 mmol) and the mixture was stirred at room temperature for 68 h. Sodium sulfite (3 mg, 0.03 mmol) and florisil (0.5 g) was added to the reaction mixture and insoluble materials were filtered through celite. Aqueous sodium hydroxide solution was added to the filtrate and products were extracted with dichlo- romethane (6 ° 20 mL). The combined organic phases were dried over sodium sulfate. After removal of the solvent, the residue was purified by column chromatography (silica gel, ethyl acetate), and the resulting solid was recrystallized from chloroform to give 10 (112 mg, 90%) as a white solid: mp 186-187°C; 1H NMR (CDCl3) δ=2.17 (1H, dm, J=14, 9-Hs), 3.00 (1H, dt, J=14 and 2, 9-Ha), 3.45 (2H, t, J=2, 5-H and 8-H), 3.99 (2H, br s, 6-H and 7-H), 4.15 (2H, s, OH, disappeared by D2O addition), 8.16 (2H, s, 2-H and 3-H); 13C NMR (CDCl3) δ=41.2 (C-5 and C-8), 51.4 (C-9), 69.7 (C-2 and C-3), 141.7 (C-6 and C-7), 161.1 (C-4a and C-8a); IR (KBr) 3490, 3097, 1365, 1160 cm-1; MS m/z 178 (33; M+), 149 (31; M - CHO), 119 (100, M - 2CHO - H). Anal. Found: C, 60.52; H, 5.96; N, 15.67%. Calcd for C9H10N2O2: C, 60.66; H, 5.66; N, 15.72%.

1,2,3,4-Tetrahydro-1,4-methanophenazine-2-exo,3-exo-diol (11)

By a similar procedure as described for 10, the norbornadiene-fused quinoxaline 8 (349 mg, 1.8 mmol) provided 11 (366 mg, 89%) as a white solid after recrystallization from chloroform: mp 183-184°C; 1H NMR (CDCl3) δ=2.23 (1H, dm, J=11, 11-Hs), 2.65 (1H, d, J=11, 11-Ha), 3.58 (2H, s, 1-H and 4-H), 3.77 (2H, s, OH, disappeared by D2O addition), 4.14 (2H, s, 2-H and 3-H), 7.70 (2H, m, 7-H and 8-H), 8.00 (2H, m, 6-H and 9-H); 13C NMR (CDCl3) δ=39.0 (C-1 and C-4), 51.3 (C-11), 76.3 (C-2 and C-3), 128.7 (C-7 and C-8), 129.4 (C-6 and C-9), 141.4 (C-5a and C-9a), 160.8 (C-4a and C-10a); IR (KBr) 3430, 3074, 1076 cm-1; MS m/z 228 (59; M+), 199 (31; M - CHO), 169 (100, M - 2CHO - H). Anal. Found: C, 68.41; H, 5.30; N, 12.27%. Calcd for C13H12N2O2: C, 68.68, H, 5.21; N, 12.01%.

The Swern Oxidation of 10

To a cooled (-78°C) solution of dimethyl sulfoxide (125 mg, 1.6 mmol) in dichloromethane (10 mL) was added trifluoroacetic anhydride (315 mg, 1.5 mmol) over 5 min. A solution of 10 (89 mg, 0.5 mmol) in a 1:1 mixture (5 mL) of dichloromethane and dimethyl sulfoxide was added over 10 min and the mixture was stirred at -78°C for 3 h. Triethylamine (268 mg, 2.7 mmol) was introduced to the solution. The mixture was stirred at -78°C for 1.5 h and allowed to warm up to room temperature. Aqueous sodium hydroxide solution was added and the product was extracted with dichloromethane (6 ° 20 mL). The combined organic phase was washed with water and dried over sodium sulfate. After removal of the solvent, the residue was separated by column chromatography (silica gel, ethyl acetate) to give (6,7-dihydro-5H-cyclopentapyrazin-5-yl)methanol (12) (56 mg, 75%) as a colorless liquid: 1H NMR (CDCl3) δ=1.98 (1H, ddd, J=19, 11 and 9, 6-H), 2.37 (1H, ddd, J=19, 8 and 6, 6-H), 3.07 (2H, dd, J=9 and 6, 7-H), 3.43 (1H, m, 5-H), 3.80-4.01 (3H, m, CH2OH and OH), 8.24 (1H, br s, 2-H or 3-H), 8.30 (1H, br s, 3-H or 2-H); 13C NMR (CDCl3) δ=24.2 (C-6), 30.8 (C-7), 45.1 (C-5), 64.9 (CH2OH), 141.6 (C-2 or C-3), 142.7 (C-3 or C-2), 159.9, 160.2; IR (KBr) 3347, 2946, 1388, 1160 cm-1; MS m/z 150 (2; M+), 119 (100, M - CH2OH). HR-MS (FAB+) found: 151.0899 (M + 1). Calcd for C8H10N2O: 151.0872 (M + 1).

The Swern Oxidation of 11

By a similar procedure as described for the oxidation of 10, the norbornadiene-fused quinoxaline 11 (114 mg, 0.5 mmol) provided (2,3-dihydro-1H-cyclopenta[b]quinolin-1-yl)methanol (13) (58 mg, 63%) as a white solid after recrystallization from hexane: mp 83-84°C; 1H NMR (CDCl3) δ=1.97 (1H, ddd, J=18, 13, and 9, 2-H), 2.47 (1H, ddd, J=18, 8, and 5, 2-H), 3.02 (1H, s, OH), 3.22 (2H, dd, J=9 and 5, 3-H), 3.58 (1H, m, 1-H), 3.98 (1H, dd, J=11 and 8, CH2OH), 4.09 (1H, dd, J=11 and 5, CH2OH), 7.62 (2H, m), 8.02 (2H, m); 13C NMR (CDCl3) δ=24.3 (C-2), 31.3 (C-3), 45.0 (C-1), 65.1 (CH2OH), 128.7, 128.8, 128.9, 129.1, 141.0, 141.9, 160.6, 161.8; IR (KBr) 3241, 2964, 1342 cm-1; MS m/z 200 (5; M+), 182 (16, M M - H2O), 169 (100, M - CH2OH). HR-MS (FAB+) found: 201.1055 (M + 1). Calcd for C12H12N2O: 201.1028 (M + 1).
A similar Swern oxidation of 11 (68 mg, 0.3 mmol) by the use of oxalyl chloride (114 mg, 0.9 mmol) in-stead of trifluoroacetic anhydride also afforded 13 (38 mg, 63%).

References and Notes

  1. Kamieth, M.; Burkert, U.; Corbin, P. S.; Dell, S. J.; Zimmerman, S. C.; Klämer, F.-G. Eur. J. Org. Chem. 1999, 2741–2749, (and references cited therein).
  2. Scharf, H.-D.; Küsters, W. Chem. Ber. 1972, 105, 564–574.
  3. Scharf, H.-D.; Pinske, W.; Feilen, M.-H.; Droste, W. Chem. Ber. 1972, 105, 554–563.
  4. Newman, M. S.; Addor, R. W. J. Am. Chem. Soc. 1953, 75, 1263–1264.
  5. Newman, M. S.; Addor, R. W. J. Am. Chem. Soc. 1955, 77, 3789–3793.
  6. Kobayashi, T.; Miki, K. Bull. Chem. Soc. Jpn. 1998, 71, 1443–1449.
  7. Kobayashi, T.; Miki, K.; Nikaeen, B.; Baba, H. Tetrahedron 1999, 55, 13179–13192.
  8. March, J. Advanced Organic Chemistry, 3 rd ed.; John Wiley & Sons: New York, 1985; p. 1117. [Google Scholar]
  9. Russell, R. A.; Harrison, P. A.; Warrener, R. N. Aust. J. Chem. 1984, 37, 1035–1041.
  10. Wright, M. W.; Welker, M. E. J. Org. Chem. 1996, 61, 133–141.
  11. Christl, M.; Kraft, A. Angew. Chem., Int. Ed. Engl. 1988, 27, 1369–1370.
  • Samples Availability: Available from the authors and from MDPI.

Share and Cite

MDPI and ACS Style

Kobayashi, T.; Kobayashi, S. Swern Oxidation of Bicyclo[2.2.1]hept-5-ene-2,3-diol and Its Pyrazine-fused Derivatives: An Improved Synthesis of Bicyclo[2.2.1]hept-5-ene-2,3-dione and An Unexpected Ring-Opening Reaction. Molecules 2000, 5, 1062-1067. https://doi.org/10.3390/50901062

AMA Style

Kobayashi T, Kobayashi S. Swern Oxidation of Bicyclo[2.2.1]hept-5-ene-2,3-diol and Its Pyrazine-fused Derivatives: An Improved Synthesis of Bicyclo[2.2.1]hept-5-ene-2,3-dione and An Unexpected Ring-Opening Reaction. Molecules. 2000; 5(9):1062-1067. https://doi.org/10.3390/50901062

Chicago/Turabian Style

Kobayashi, Tomoshige, and Sayuri Kobayashi. 2000. "Swern Oxidation of Bicyclo[2.2.1]hept-5-ene-2,3-diol and Its Pyrazine-fused Derivatives: An Improved Synthesis of Bicyclo[2.2.1]hept-5-ene-2,3-dione and An Unexpected Ring-Opening Reaction" Molecules 5, no. 9: 1062-1067. https://doi.org/10.3390/50901062

APA Style

Kobayashi, T., & Kobayashi, S. (2000). Swern Oxidation of Bicyclo[2.2.1]hept-5-ene-2,3-diol and Its Pyrazine-fused Derivatives: An Improved Synthesis of Bicyclo[2.2.1]hept-5-ene-2,3-dione and An Unexpected Ring-Opening Reaction. Molecules, 5(9), 1062-1067. https://doi.org/10.3390/50901062

Article Metrics

Back to TopTop