You are currently viewing a new version of our website. To view the old version click .
Molecules
  • Article
  • Open Access

10 June 2000

The Prognostication of Columnar Mesophases - Synthesis and Mesomorphism of Some Porphyrin Derivatives

and
1
Ivanovo State University, 39, Ermak st., Ivanovo, 153000, Russian Federation
2
Institute of the Solution Chemistry of Russian Academy of Sciences, Akademicheskaya, 1, 153045, Ivanovo, Russian Federation
*
Author to whom correspondence should be addressed.
This article belongs to the Special Issue Porphyrin Chemistry

Abstract

The existence of columnar mesophases (CM) for a new series of the porphyrin derivatives is predicted. With this purpose, the computation of molecular parameters (K, Kc, Ks, Kp, Mm, Mr) is carried out for eighty five molecules, including materials with a small number of peripheral substitutes. For verification of the existence of CM in the series of materials examined, some of them are synthesized and their mesomorphism is investigated.

Introduction

Columnar mesophases were discovered in 1977 [1]. The synthesis of porphyrin derivatives (poly- substituted phthalocyanine I and porphyrins II, III, Figure 1) with liquid crystal properties began to develop quickly, beginning in the 1980s [2,3]. A first example of such one-dimensional liquid- crystalline conductors, was reported in reference [3]. To date, about 200 such compounds with colum- nar and other types of mesophases have been synthesized [4,5,6,7,8,9]. Known methods of synthesis and puri- fication of these materials are multistep and difficult.
Figure 1.
Therefore the problem of prognosis of the existence of columnar mesophases, based on the analysis of quantitative differences in a molecular structure of mesogenic and nonmesogenic compounds there- fore is an interesting topic. Such an approach is considered in references [9,10,11,12,13]. To continue previous work in this direction, we consider here a new series of materials I - III of known architectures with detected (investigated) mesomorphic properties and also some hypothetical molecules not yet synthe- sized.

Results and Discussion

The basic research method is a calculation and analysis of values of molecular parameters (MP). The technique calculation did not differ from that proposed in [9,10,11,12,13]. Structures of molecules were optimized by a molecular-mechanics method (MM+ force field). Optimization of geometry was fin- ished at a gradient 0.01 kcal/mol. Three types of parameters were calculated: parameters which take into account anisomeric properties of a molecule and its parts (K = Lmax / s, Kc = lc / bc, Kp = lc / 2lp); parameters which is takes into account a ratio of the peripheral substituents in the nucleus to the maximum possible number of substituents (Ks = N / Nmax, where N- number of the substituents in the molecule, Nmax- the maximum possible number of substituents); parameters which take into account a ratio of weights of the central fragment and the peripheral substituents (Mm = Mc / Mp, Mr = Mm · Ks ). A numeric series received earlier [9,10,11,12,13,14] from the MP analysis of more than 500 compounds with CM presence or absence served as a discogenic criterion for the tested molecules. This series looks as fol- lows: K = 2.00 - 8.50, Kc = 1.00 - 2.60, Ks = 0.25 - 1.00, Kp = 0.25 - 0.70, Mm = 0.30 - 0.80, Mr = 0.15 - 0.80 [14], Kar = 0.080 - 0.300 [9]. Structures which have a values of the parameters in these ranges are potentially discotic mesogens. It is necessary to note that the reliability of prediction is reduced as one approaches the boundaries of the ranges. It is revealed that if even one of the parameters falls out- side the limits for this series, the probability of CM existence for such structures is very small.
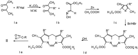
Syntheses of the porphyrin derivatives was also used to test the results of the prognosis. Compounds II (18, 25-27, 29, 30) and compounds III-a (5, 7) and III-b (18, 19, 22) were synthesized as shown in Scheme 1 and Scheme 2.
Scheme 1.
Scheme 2.
Step Ia was carried out using a modification of the method described in [17], the solvent DMF was replaced by methylethylketone. The method described in [19] was applied for synthesis of pyrrole de- rivatives (Step Ib), but the reaction time was increased. Synthesis of 3,3 -4,4 -dialkyl-5,5 -dicarbethoxydipyrrolylmethane (Step Ic) was carried out using a known condensation method [18]. The techniques of isolation and purification of the final product differed from that given in [18]: the isolated ester was hydrolyzed by a 12% solution of NaOH in ethanol. Isolation was accomplished by adjusting the pH of the solution. Detailed synthetic techniques for the various stages of the reactions (Scheme 1 and Scheme 2) are listed at the end of the paper. The results of CM prognosis and mesomorphism of materials of a series I are considered in [9]. The information on the CM prognosis of this series is only for materials with four hydrophobic substitutes (Table 1 and Table 2). In another paper [7] mesomor- phism for only eight homologs of series I has been studied and supermolecular structures were not identified. All other materials are hypothetical (Table 1 and Table 2).
Table 1. Calculated values of molecular parameters of known and hypothetical structures of com- pound with structure I [9] (R = C(O)OCnH2n+1; M = Cu; Kc = 1, Ks = 0.25).
Table 2. Calculated values of molecular parameters of hypothetical and known structures I in view of their possible dimerization (R = C(O)OCnH2n+1; M = Cu; Kc = 1, Ks = 0.25).
The shaded area - value of molecular parameters, based on which it is possible to refer to com- pounds as discotic mesogenes. None of structures defined by a parameter K falls into the division of compounds with CM.
Their molecular parameters are also computed and their values are shown in the Table 3 and Table 4. The data in the mesophase prognosis and experimental data columns are essentially different for com- pounds I and II, III. If the prognosis for compounds II, III is well correlated to an experimental result, than such correlation with experiment for structures I is reached only on the assumption of dimeriza- tion of molecules, which are packed up in columns.
Table 3. Calculated values of molecular parameters of hypothetical structures II [(1, 3-5) R’ =R’’= CnH2n+1, n = 5, 8, 10, 15; R = H; (6-10) R’= H, R = R’’ = CnH 2n+1 , n = 5, 7, 8, 10, 15; (11, 12, 17-20) R’ = H, R’’ = CnH2n+1, n = 4, 8, 16, R = CmH2m+1, m = 6, 7, 11; (13 -16) R’ = H, R’’ = CnH2n+1, n= 4, 8, R = OC6H4OC9H19 ; (23) R’ = H, R’’ = C8H17 , R = OC6H5 or C6H5 (27, 28); (25, 26, 29, 30) R’ = H, R’’ = CnH2n+1,n = 4, 8, R = C6H4OC9H19; (31-33) R’ = H, R’’ = OCnH2n+1, n =7, 6, R = C5H11, C6H13; II (34, 35) R = R’ = CnH2n+1, n=1, 6, R’’ = CnH2n+1, n = 2, 5; M = 2H or Zn; Kc = 1.02-1.42 ; Ks = 0.83 (1-28) , Ks = 1.00 (34-35)].
Table 4. Calculated values of molecular parameters of hypothetical structures III (IIIa: R = C6H4- O(O)C-CnH2n+1, n = 1-12; IIIb: R = C6H4O(O)C-C6H4OCnH2n+1, n = 1-12; M = 2H, Cu, Ni, Zn, Co; M = 2H, Cu, Ni, Zn, Co).
More careful analysis of the data from Table 1 and Table 4 shows the absence of correlation of the CM prognosis with experiment results for metallophthalocyanines and metalloporphyrins. For metal-free analogues a good agreement between prognosis and experiment is observed. It is necessary to note also, that the values of molecular parameters of metallocomplexes and their metal-free analogues differ from each other a little. Probably, in this case it is necessary to introduce additional molecular pa- rameters, which would permit us to distinguish between metallocomplexes and metal-free analogues by their values. This will be a subject for future research.
Liquid-crystalline properties were determined using thermopolarizing optical microscopy and dif- ferential thermal analysis. The phases were identified by their characteristic textures [19]. Only two compounds synthesized by us (II-30-Zn8/BC9 - Table 3 and IIIb-12Co - Table 4), were liquid- crystalline. The rest are not mesomorphic. This correlates well with the results of prognosis.
According to our prognosis metalloporphyrin IIIb-12-Co is not mesomorphic, but upon observation with crossed polarization a sample melting at T = 190°C shows an ungeometrical texture, which is kept up to T = 220°C. Such texture is also observed for copper carboxylate - columnar liquid crystals [15]. Near phase transition to isotropic liquid finger-like species are observed that is characteristic for co- lumnar hexagonal packing [16] (Figure 2a).
Figure 2a. Finger-like texture of compound IIIb-12Co near to phase transition - a mesophase - iso- tropic liquid, 219°C, crossed polarization, magnification x2000.
Upon cooling a sample a considerable delay of transition in the mesophase with a simultaneous vit-rification down to room temperatures is observed (Figure 2b). For metal-free analogues the melting tem- perature is much lower than for a complex (Table 4). This points to a friability of its structure. This metal-free porphyrin was also investigated with the help of differential-thermal analysis. Upon heating a sample some solid phases of transitions, which are not visible at the thermopolarising studies are ob- served. Upon cooling these transitions are stretched out and weakly pronounced. In a cooling cycle un- der crossed polarization the growth of star-shaped of crystals with tetradic symmetry is seen. However by changing the cooling rate it is possible to fix a branchy dendritic texture, which is typical of an in- clined rectangular columnar phase [20]. Therefore there is no unequivocal answer to the question of mesomorphism of compounds IIIb-12.
Figure 2b. Vitrification texture mesophase of compound IIIb-12Co at 140°C, crossed polarization.

Conclusion

The proposed earlier method of predicting columnar Mesophases applied to a large number of disk- like molecules, can be used to consider the materials in this study, but for compounds with a small number of the peripheral substitutes, especially for metallocomplexes, it will be necessary to introduce of new additional parameters, which will take into account the peculiarities of their structures.

Experimental

General

The electronic absorption spectra (Table 5) were recorded on a Specord UV-VIS spectro- photometer. Elemental analysis was carried out using a PUMV device (Table 6). Texture observations were performed with a MIN-8 polarizing microscope equipped with a hot stage of an original design. Thermograms were taken using a Poulik derivatograph (Hungary)
Table 5. Electronic absorption spectra of compounds II, III.
Table 6. Elemental analysis data of compounds II, III.

5,15-Dialkyl- or 5,15-diaryl-2,8,12,18-tetraalkyl-3,7,13,17-tetramethylporphyrin, zinc complexes (II-18, 26, 28, 30)

They were obtained by placing in a 20 mL ampoule dicarboxydipyrrolyl-methane (~0.2 g), dis- solved in dry pyridine (8-12 mL) and dried zinc acetate (0.6 g). Then the appropriate aldehyde (1.1 mmol) and nitrobenzene (0.5 mL) were added. After the ampoule was sealed and heated in an oil-bath at T=180°C for a determined amount of time (ranging from 8 to 19 hours for different aldehydes). After cooling the ampoule was opened and the reaction mixture was poured onto a six-fold excess vol- ume of water and boiled until the pyridine smell disappeared (1.5 - 2 hours), dried, dissolved in small quantity of dry chloroform and purified by chromatography on silica (40/100) eluting with a mixture of chloroform and benzene or hexane or sometimes only benzene to give the target compounds in isolated yields of ca. 10-30%. The zinc complexes were crystalline substances which varied in colour from red - brown, red - cherry up to violet. All them dissolve in chloroform, benzene, hexane and dichlo- romethane. Only compound II-29-8/BC9 (Table 3) dissolved well in alcohol. Other compounds of this series dissolved in alcohol upon heating. Compound 26-Zn4/BC9 and its metal-free analogue were isolated as violet lamellar crystals. All new compounds have been characterised by elemental micro- analysis (Table 5) and electronic spectroscopy (Table 6).

5,10,15,20-Tetra(p-hydroxyphenyl)porphyrin (Scheme 2, step 1)

It was obtained by adding p-hydroxyphenylbenzaldehyde (0.072 mol) and pyrrole (5 mL). to 250 mL boiling propionic acid. The mixture was boiled for 0.5 hours and then cooled. The product was filtered off, washed with methanol and dried. The product was then purified by chromatography on silica with chloroform elution; isolated yields were 15-20%.
Tetra(p'-dodecyloxy-p-benzoyloxyphenyl)porphyrin - IIIb-12 (Scheme 2, step 2) was obtained by adding to a solution of 5,10,15,20-tetra(p-hydroxyphenyl)porphyrin (0.1g, 0.3 mmol) in pyridine (30 mL a solution of p-dodecyloxybenzoyl chloride ( 0.60 g, 1.8 mmol) in pyridine (50 mL)) over 0.5 hours. The mixture was stirred with heating for 6 h, cooled, diluted with 150 mL of water and then left overnight. The precipitate was filtered off, washed with water and dried, then sometimes also washed with hot ethanol for complete removal of acidic impurities. The remaining product was then purified by chromatography on aluminium oxide (neutral) with chloroform elution; isolated yields: 80%.

Copper and cobalt metallocomplexes IIIb-12Cu, IIIb-12Co

They were obtained by refluxing anhydrous chloride copper and acetate cobalt with compounds IIIb-12 in chloroform for 1-2 h. The end of reaction defined by spectroscopy based on the disappear- ance of the absorption bands of the metal-free porphyrin. Then the products were filtered, the filtrate was steamed and purified by chromatography on aluminium oxide (neutral) with chloroform, then with a mixture of hexane-chloroform; isolated yields were 60% The correct fractions were selected based on spectroscopic analyses.

Acknowledgements:

We thank The Competition Centre for Fundamental Natural Sciences at St. Pe- tersburg State University for financial support through Grant 2 97- 0- 9.3 - 385.

References and Notes

  1. Chandrasakhar, S.; Shadashiva, B. K.; Suresh, K. A. Pramana 1977, 9, 471.
  2. Goodby, J.W.; Gray, G.W. Mol. Cryst. Liq. Cryst. 1980, 56, 303–309. [CrossRef]
  3. Piechocki, C.; Simon, J.; Skoulios; Guillon, D.; Weber, P. J. Am. Chem. Soc. 1980, 102, 5245.
  4. Piechocki, C.; Simon, J. Nouv. J. Chim. 1985, 9, 159–166.
  5. Shimizu, Y.; Higashiyama, T. Proceedings of SPIE. Liq. Cryst.: Chemistry and Structure 1997, 3319, 177.
  6. Shimizu, Y.; Santiago, J.; Tantrawong, S.; Sugino, T. Abs. CCMM’98; Bayreuth: Germany, 1998; p. L.28. [Google Scholar]
  7. Usol’tseva, N. V.; Bykova, V. V.; Ananieva, G. A.; Maizlish, V. E.; Kudrik, E. V.; Shaposhnikov, G. P. Abs. CCMM’98; Bayreuth: Germany, 1998; p. L 27. [Google Scholar]
  8. Bykova, V. V.; Usol’tseva, N. V.; Ananieva, G. A.; Shaposhnikov, G. P.; Maizlish, V. E. Izvves- tiya Akademii nauk SSSR. Seriya phizitcheskaya 1998, 62, 1647–1651.
  9. Akopova, O. B.; Zdanovich, S. A.; Akopov, A. A.; Kotovich, L. N.; Usol’tseva, N. V. Izvvestiya Akademii nauk. Seriya phizitcheskaya 1997, 61, 623.
  10. Akopova, O. B.; Bobrov, V. I.; Erikalov, U. G. Russian J. of Physical Chem. 1990, 64, 1460.
  11. Akopova, O. B.; Jukova, L. V.; Chabichev, L. S. Russian J. of Physical Chem. 1995, 69, 96.
  12. Akopova, O. B.; Bronnikova, A. A.; Kruvchinnski, A.; Kotovich, L. N.; Chabichev, L. S.; Valk- ova, L. A. Russian J. Struct. Chem. 1998, 39, 464–472.
  13. Akopova, O. B.; Bronnikova, A. A. Russian J. Struct. Chem. 1998, 39, 473–477.
  14. Akopova, O. B.; Akopov, D. A.; Usol’tseva, N. V. Russian J. Physical Chem. 1999. (in print).
  15. Akopova, O. B.; Bobrov, V. I.; Chabichev, L. S.; Onichenko, A. A. Russian J. of Physical Chem. 1992, 66, 292–299.
  16. Billard, J.; Dubois, J. C.; Tinh, N. H.; Zann, A. Nouv. J. Chim. 1979, 2, 535–540.
  17. Zdanovich, S. A.; Mamardashvili, N. Zh.; Golubchikov, O. A. Russian J. of Organic Chem. 1996, 32, 788–792.
  18. Kuzmin, N. G.; Semeikin, A. S.; Koiphman, O. I. Izv. VUZov. Chimia i chim. technolog. 1988, 31, 39–44.
  19. Fischer, H.; Orth, H. Die chemie des Pyrrols; Leipzig: Akad. Verlages, 1934; Vol. 1, p. 766. [Google Scholar]
  20. Gray, G. W.; Goodby, W. Smectic Liquid Crystals: Textures and Structures; Leonard Hill: Glas- gow, 1984. [Google Scholar]
  • Samples Availability: Available from the authors.

Article Metrics

Citations

Article Access Statistics

Multiple requests from the same IP address are counted as one view.