Next Article in Journal
Teorethical Studies of the Stability of 8a-Alkyll-1,2,3,4,6,8ahexahydronaphtalen-1-ones Using Semiempirical Methods
Previous Article in Journal
A New Rearranged Non-Aromatic Salpichrolide from Salpichroa Origanifolia
 
 
Font Type:
Arial Georgia Verdana
Font Size:
Aa Aa Aa
Line Spacing:
Column Width:
Background:
Abstract

Reactivity Comparison of D–Glucose–Derived Dienophiles. Analysis of the Conformational and Electronic Properties

by
S. C. Pellegrinet
1,
M. T. Baumgartner
2,* and
R. A. Spanevello
1
1
Instituto de Química Orgánica de Síntesis (IQUIOS)- CONICET; Facultad de Ciencias Bioquímicas y Farmacéuticas-U.N.R. Suipacha 531, Rosario (2000), Argentina
2
INFIQC - Departamento de Químíca Orgánica, Fac. Ciencias Químicas- U.N.C. Ciudad Universitaria, (5000) Córdoba, Argentina
*
Author to whom correspondence should be addressed.
Molecules 2000, 5(3), 451-452; https://doi.org/10.3390/50300451
Published: 22 March 2000

Abstract

:
Semiempirical calculations were performed to carry out a conformational analysis for carbohydrate-derived dienophiles 1-4. For α,β-unsaturated carbonylic compounds 2-4, a good correlation between Diels-Alder reactivity with calculated values for LUMO energies was observed.

Introduction

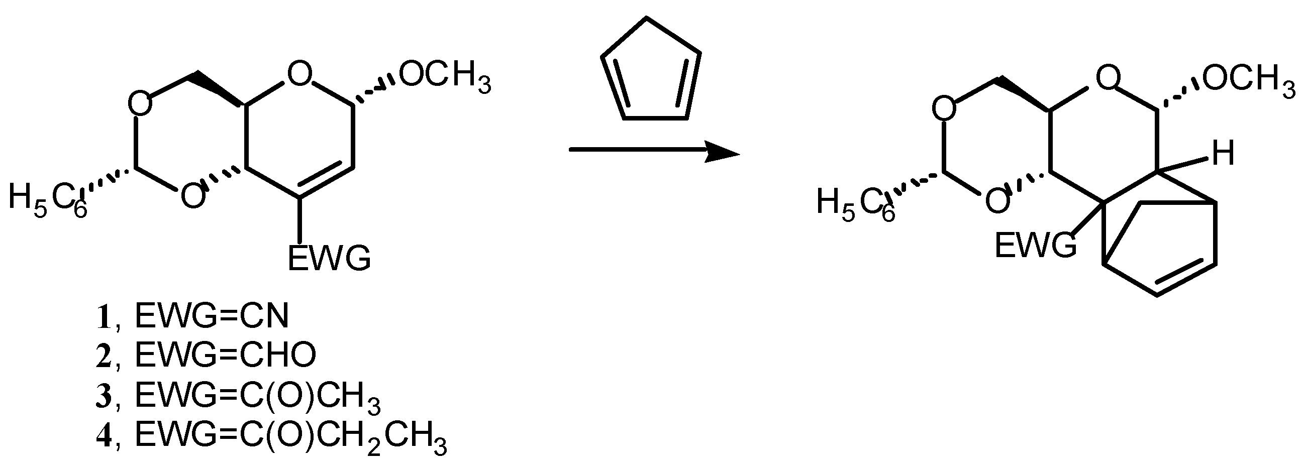
As part of our studies on the Diels–Alder reactions of D–glucose–derived dienophiles with cyclo- pentadiene,[1,2] we undertook a theoretical investigation on the conformational and electronic prop- erties of the dienophilic structures 1-4.
Molecules 05 00451 i001
The application of the frontier molecular orbital theory could be of interest since the reactivity of the dienophiles in normal Diels–Alder reaction could be correlated with their LUMO energies. This kind of theoretical treatment has been used to make important qualitative studies on the reactivity and outcome of cycloaddition reactions in different dienophilic systems, including some sugar–derived di-enophiles.[3]

Experimental

The search for the minimum on the potential energy surface for the dienophiles 1-4 and cyclopenta-diene were carried out using the semiempirical program AMPAC version 2.1. The calculations were performed at the Restricted Hartree–Fock (RHF) AM1 level of theory. The stationary points were ob-tained through adequate algorithms and characterized through a hessian matrix calculation. Finally, the relative stability and the LUMO values of the different conformers corresponding to each dienophile were analyzed.

Results and Discussion

The comparison of the energy differences between HOMOdiene-LUMOdienophile versus HOMO-dienophile- LUMOdiene demonstrated that the frontier molecular orbitals for the processes under study were the HOMO of the diene and the LUMO of the dienophile . These results confirmed that the Diels–Alder reactions were normal ones. A comparative analysis of the LUMO energies for the series of α,β-unsaturated carbonylic dienophiles showed that longer side chain favored the existence of no coplanar structures, and this effect is in concordance with the spectroscopic data recorded from these compounds. Furthermore it was observed an increased of the LUMO energies, thus, diminishing the reaction rate. This fact is sustained by the experimental results which indicated that longer side chains correspond to lower dienophile reactivity.

Acknowledgements

CONICET, International Foundation for Science, Universidad Nacional de Ro-sario, Agencia Nacional de Promoción Científica y Tecnológica, CONICOR y SECyT-U.N.C.

References and Notes

  1. Pellegrinet, S. C.; Spanevello, R. A. Tetrahedron Asymmetry 1997, 8, 1983–1986.
  2. Pellegrinet, S. C.; Spanevello, R. A. Tetrahedron Lett. 1997, 50, 8623–8626.
  3. Fraser-Reid, B.; Underwood, R.; Osterhout, M.; Grossman, J. A.; Liotta, D. J. Org. Chem. 1986, 51, 2152–2155. [CrossRef] Dauben, W. G.; Kowalczyk, B. A.; Lichtenthaler, F. W. J. Org. Chem. 1990, 55, 2391–2398. [CrossRef]

Share and Cite

MDPI and ACS Style

Pellegrinet, S.C.; Baumgartner, M.T.; Spanevello, R.A. Reactivity Comparison of D–Glucose–Derived Dienophiles. Analysis of the Conformational and Electronic Properties. Molecules 2000, 5, 451-452. https://doi.org/10.3390/50300451

AMA Style

Pellegrinet SC, Baumgartner MT, Spanevello RA. Reactivity Comparison of D–Glucose–Derived Dienophiles. Analysis of the Conformational and Electronic Properties. Molecules. 2000; 5(3):451-452. https://doi.org/10.3390/50300451

Chicago/Turabian Style

Pellegrinet, S. C., M. T. Baumgartner, and R. A. Spanevello. 2000. "Reactivity Comparison of D–Glucose–Derived Dienophiles. Analysis of the Conformational and Electronic Properties" Molecules 5, no. 3: 451-452. https://doi.org/10.3390/50300451

APA Style

Pellegrinet, S. C., Baumgartner, M. T., & Spanevello, R. A. (2000). Reactivity Comparison of D–Glucose–Derived Dienophiles. Analysis of the Conformational and Electronic Properties. Molecules, 5(3), 451-452. https://doi.org/10.3390/50300451

Article Metrics

Back to TopTop