Abstract
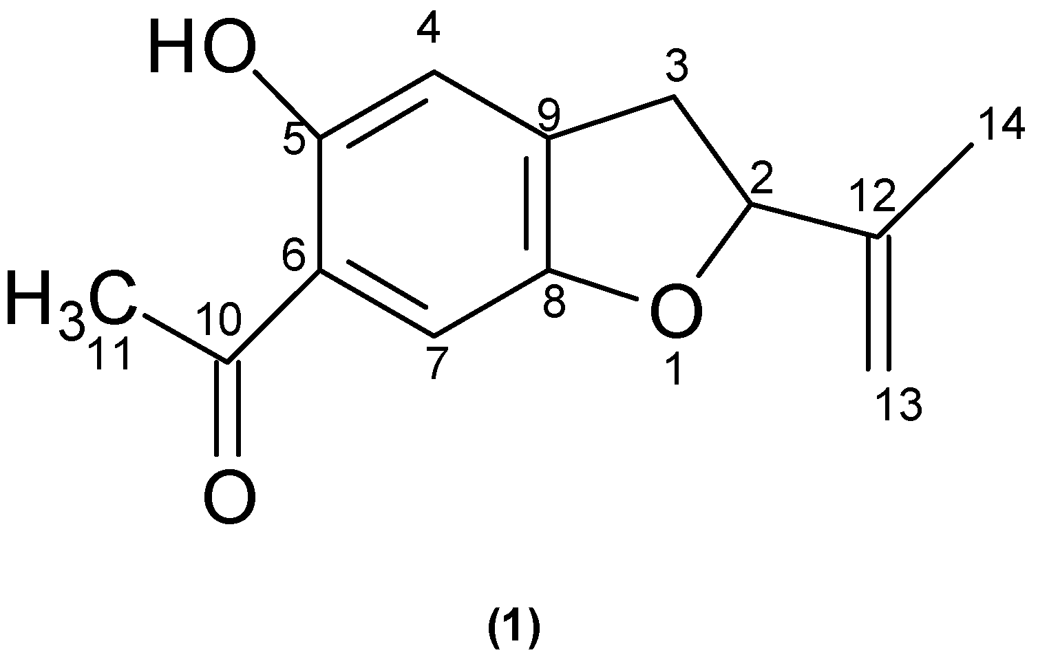
Phytotoxic Activity of the 6-acetyl-5-hydroxy-2isopropenyl-2,3-dihydrobenzo- furane (1) isolated from Trichocline reptans (Asteraceae) was investigated in two weed spe- cies. Results indicate that the best growth inhibition effect ocurres on Chenopodium album weed. Phythotoxic effect of the T. reptans chloroformic extract and of the benzofurane are discussed and compared in the two weed species.
  Introduction
In previous phytochemical study in Trichocline reptans (Asteraceae) collected in Salta, Argentina, we identified benzofurane 1, linear furanocoumarins and coumarins [].

Regarding the importance of benefical or toxic biochemical interactions that ocurrs between higher plants, where Allelopatie is the reference [], we evaluated the phytotoxic effect of both the extract of T. reptans and the benzofurane on two weed species that affect our country cultivars, Chenopodium album and Sorghum halepense. We tested the inhibitory effect on radicle and leaf growth [].
Experimental
Dihydrobenzofurane 1 was  isolated  from the Cl3CH extract  by “dry  column  chromatography” method. The structure of this compound was elucidated by spectroscopic methods: UV, IR, 1H- RMN , 13C- RMN and EM.
The Phytotoxic Assay [], was carried out on Chenopodium album and Sorghum halepense with aqueous solutions (80 ppm) of the HCCl3 extract and the dihydrobenzofurane. The data were taken af- ter 7 days of incubation. Examination and summaries of data are based on analyses of variance ( block design ANOVA).
Results and Discussion
The results of phytotoxic assay, led us to suggest that 1 produces significant effect on the growth of Dicotiledoneous weed Ch. album, where there is a marked radicle inhibition (>50%) than on the Monocotiledoneous weed S. halepense. We compared the treatments with the extract and the pure compound and the selectivity of their phytotoxic action.
References and Notes
- Alarcón, S.R.; de la Fuente, J.R.; Novara L y Sosa, V.E. An. Asoc. Qca. Arg. 1998, 86, 248.
 - Molisch, H. Der Einfluss einer Pflanze auf die andere Allelopathie; Gustav Fischer: Jena, 1937. [Google Scholar]
 - Vaccarini, C.E.; Palacios, S.M.; Meragelmann, K.M.; Sosa, V.E. Phytochemistry 1999, 50, 227.