Sulfated Polyhydroxysteroids from the Antartic Ophiuroid Gorgonocephalus Chilensis
Abstract
:Introduction
Experimental
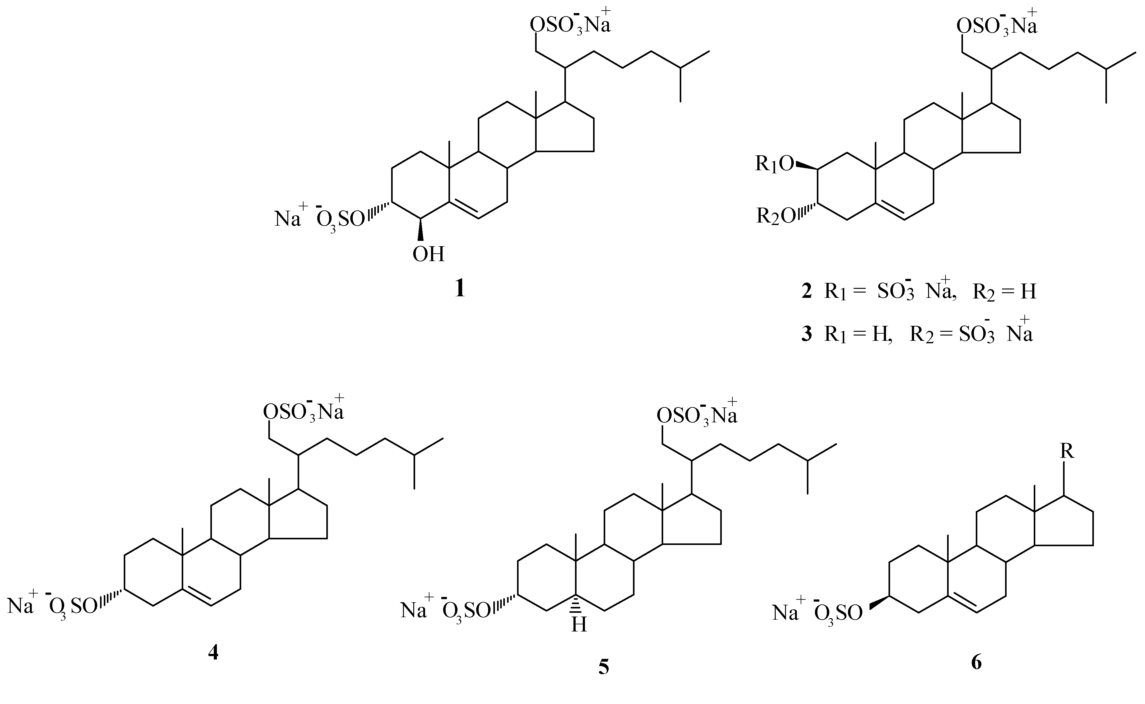
Results and Discussion

Acknowledgements:
References and Notes
- McKee, T.C.; Cardellina, J.H.; Riccio, R.; D´Auria, M.V.; Iorizzi, M.; Minale, L.; Moran, R.A.; Gulakowski, R.J.; McMahon, J.B.; Buckheit, R.W.; Snader, K.M.; Boyd, M.R. J. Med. Chem. 1994, 37, 793. [PubMed]
- Roccatagliata, A.J.; Maier, M.S.; Seldes, A.M.; Pujol, C.A.; Damonte, E.B. J. Nat. Prod. 1996, 59, 887. [PubMed]
- Roccatagliata, A.J.; Maier, M.S.; Seldes, A.M. J. Nat. Prod. 1998, 61, 370. [PubMed]
- Comin, M.J.; Maier, M.S.; Roccatagliata, A.J.; Pujol, C.A.; Damonte, E.B. Steroids 1999, 64, 335. [PubMed]
Share and Cite
Maier, M.S.; Araya, E.; Seldes, A.M. Sulfated Polyhydroxysteroids from the Antartic Ophiuroid Gorgonocephalus Chilensis. Molecules 2000, 5, 348-349. https://doi.org/10.3390/50300348
Maier MS, Araya E, Seldes AM. Sulfated Polyhydroxysteroids from the Antartic Ophiuroid Gorgonocephalus Chilensis. Molecules. 2000; 5(3):348-349. https://doi.org/10.3390/50300348
Chicago/Turabian StyleMaier, M. S., E. Araya, and A. M. Seldes. 2000. "Sulfated Polyhydroxysteroids from the Antartic Ophiuroid Gorgonocephalus Chilensis" Molecules 5, no. 3: 348-349. https://doi.org/10.3390/50300348
APA StyleMaier, M. S., Araya, E., & Seldes, A. M. (2000). Sulfated Polyhydroxysteroids from the Antartic Ophiuroid Gorgonocephalus Chilensis. Molecules, 5(3), 348-349. https://doi.org/10.3390/50300348
