Applications of Olefination Reactions to Cassiol Synthesis
Abstract
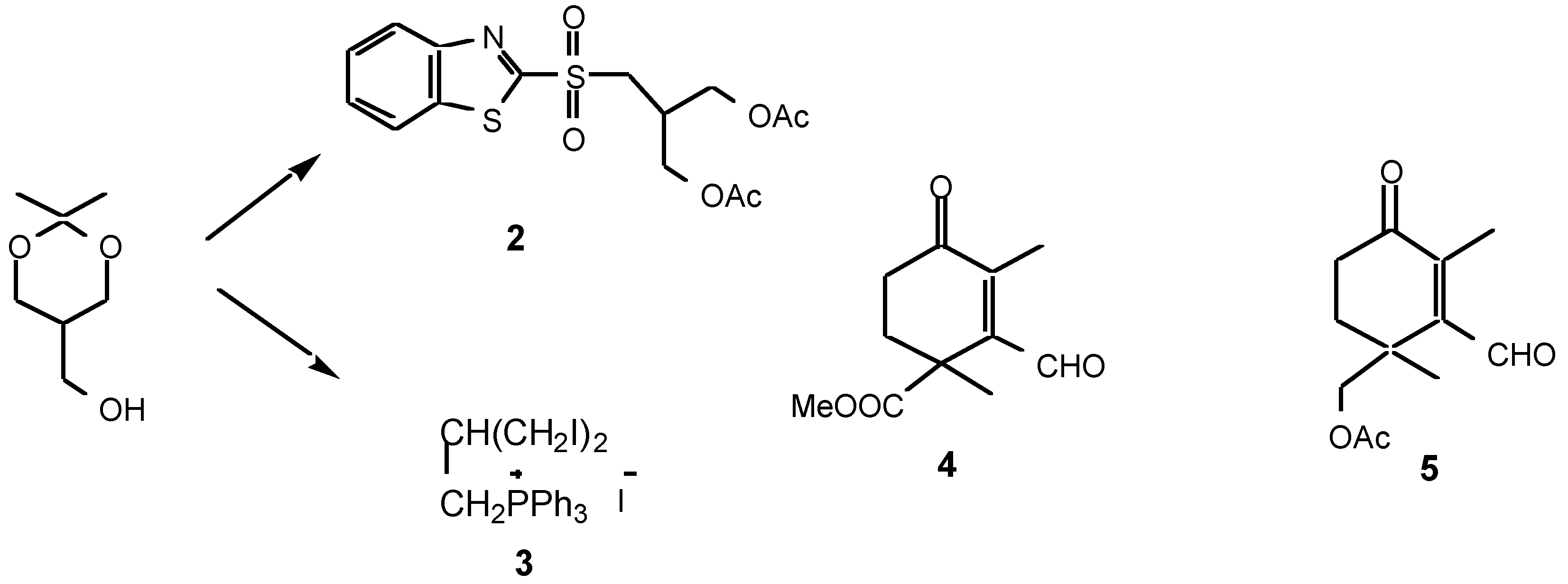
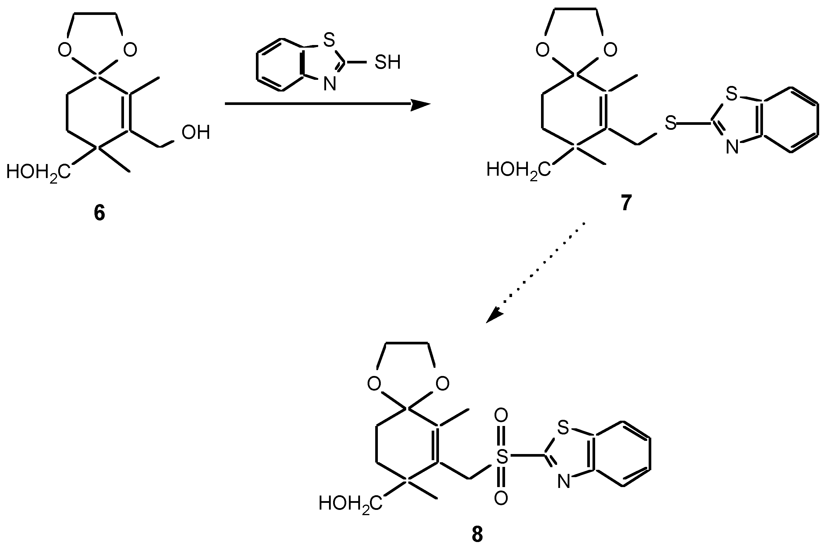
:Introduction

Experimental

Discussion

Acknowledgements
References and Notes
- Colombo, M.I.; Rúveda, E.A. J. Braz. Chem. Soc. 1998, 9, 303. [CrossRef]
- Entwistle, D. Contemporary Organic Synthesis 1997, 4, 40.
- Colombo, M.I.; Bacigaluppo, J.A.; Rúveda, E.A. An. Asoc. Quim. Argent. 1998, 86, 312.
- Hart, D.J.; Li, J.; Wu, W-L.; Kozikowski, A.P. J. Org. Chem. 1997, 62, 5023. [CrossRef]
Share and Cite
Colombo, M.I.; Bacigaluppo, J.A.; Mischne, M.P.; Zinczuk, J.; Rúveda, E.A. Applications of Olefination Reactions to Cassiol Synthesis. Molecules 2000, 5, 327-329. https://doi.org/10.3390/50300327
Colombo MI, Bacigaluppo JA, Mischne MP, Zinczuk J, Rúveda EA. Applications of Olefination Reactions to Cassiol Synthesis. Molecules. 2000; 5(3):327-329. https://doi.org/10.3390/50300327
Chicago/Turabian StyleColombo, María I., Jose A. Bacigaluppo, Mirta P. Mischne, Juán Zinczuk, and Edmundo A. Rúveda. 2000. "Applications of Olefination Reactions to Cassiol Synthesis" Molecules 5, no. 3: 327-329. https://doi.org/10.3390/50300327
APA StyleColombo, M. I., Bacigaluppo, J. A., Mischne, M. P., Zinczuk, J., & Rúveda, E. A. (2000). Applications of Olefination Reactions to Cassiol Synthesis. Molecules, 5(3), 327-329. https://doi.org/10.3390/50300327