Tuning Supramolecular Structure in Trimethylglycine Cocrystals: Competition Between Hydrogen and Halogen Bonding upon Cl/Br Substitution
Abstract
1. Introduction
2. Results
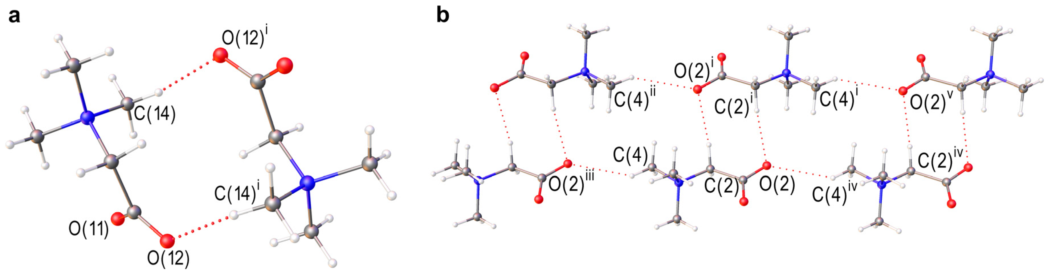
2.1. Crystal Structures
2.2. Periodic DFT Calculations Followed by Bader Analysis of the Crystalline Electron Density
3. Discussion
| Contact | Naphthalene (b) | Anthracene (c) | ||
|---|---|---|---|---|
| Contribution in % | ||||
| Bader | 2D-Diagram | Bader | 2D-Diagram | |
| C∙∙∙H | 38.0 | 45.0 | 39.0 | 51.0 |
| H∙∙∙H | 62.0 | 54.0 | 61.0 | 48.0 |
| Other | 0.0 | 1.0 | 0.0 | 1.0 |
| Water ice II (d) | Formic acid (e) | |||
| H∙∙∙O | 96.0 | 49.5 | 83.5 | 74.2 |
| H∙∙∙H | 0.0 | 49.9 | 0.0 | 10.3 |
| O∙∙∙O | 4.0 | 0.6 | 5.0 | 5.7 |
| H∙∙∙C | - | - | 0.0 | 6.1 |
4. Methods
4.1. Materials
4.2. Synthesis
4.3. Single-Crystal XRD
4.4. Computational Details
4.5. 2D Fingerprint Plot
5. Conclusions
Supplementary Materials
Author Contributions
Funding
Institutional Review Board Statement
Informed Consent Statement
Data Availability Statement
Acknowledgments
Conflicts of Interest
References
- Mäkelä, P. Agro-Industrial Uses of Glycinebetaine. Sugar Tech 2004, 6, 207–212. [Google Scholar] [CrossRef]
- Turck, D.; Castenmiller, J.; De Henauw, S.; Hirsch-Ernst, K.I.; Kearney, J.; Maciuk, A.; Mangelsdorf, I.; McArdle, H.J.; Naska, A.; Pelaez, C.; et al. Safety of Betaine as a Novel Food Pursuant to Regulation (EU) 2015/2283. EFSA J. 2019, 17, e05658. [Google Scholar] [CrossRef]
- Nicander, I.; Rantanen, I.; Rozell, B.L.; Söderling, E.; Ollmar, S. The Ability of Betaine to Reduce the Irritating Effects of Detergents Assessed Visually, Histologically and by Bioengineering Methods. Ski. Res. Technol. 2003, 9, 50–58. [Google Scholar] [CrossRef]
- Zhao, G.; He, F.; Wu, C.; Li, P.; Li, N.; Deng, J.; Zhu, G.; Ren, W.; Peng, Y. Betaine in Inflammation: Mechanistic Aspects and Applications. Front. Immunol. 2018, 9, 1070. [Google Scholar] [CrossRef] [PubMed]
- Arumugam, M.K.; Paal, M.C.; Donohue, T.M.; Ganesan, M.; Osna, N.A.; Kharbanda, K.K. Beneficial Effects of Betaine: A Comprehensive Review. Biology 2021, 10, 456. [Google Scholar] [CrossRef] [PubMed]
- Wang, Z.; Wang, M.; Tao, Q.; Li, Y.; Wang, H.; Zhang, M.; Liu, X.; Zhang, J. Betaine–Salicylic Acid Cocrystal for Enhanced Skincare and Acne Treatment. RSC Med. Chem. 2025, 16, 1705–1714. [Google Scholar] [CrossRef] [PubMed]
- Oliveira, P.V.; Aguiar, G.P.S.; Siebel, A.M.; Müller, L.G.; Lerin, L.A.; Botti, G.; Bianchi, A.; Bernardi, T.; Gentili, V.; Rizzo, R.; et al. Synthesis of Naringenin-Betaine Cocrystal by Gas Antisolvent Technique and Cell Models for in Vitro Permeation Studies. J. Drug Deliv. Sci. Technol. 2024, 96, 105671. [Google Scholar] [CrossRef]
- Li, Q.; Li, S.; Wang, Z.; Yang, S.; Xie, Y.; Yang, D.; Zhang, L.; Lu, Y. New Co-Crystals of Betaine: Significant Improvements in Hygroscopicity. Crystals 2024, 14, 917. [Google Scholar] [CrossRef]
- Churakov, A.V.; Medvedev, A.G.; Frolov, N.E.; Vener, M.V. An Overlooked Supramolecular Synthon in Multicomponent Trimethylglycine Crystals: Moderate Hydrogen Bonding Between Carboxylate and H-N Groups of Guanidine Species. Crystals 2024, 14, 1050. [Google Scholar] [CrossRef]
- Sun, Y.; Li, S.; Liu, R.; Ma, N.; Zhao, X.; He, X. A Novel Daidzein-Betaine Cocrystal Alleviates Obesity by Improving Lipid Metabolism, Modulating Inflammation, and Reshaping Gut Microbiota. Food Biosci. 2025, 69, 106834. [Google Scholar] [CrossRef]
- Kavuru, P.; Aboarayes, D.; Arora, K.K.; Clarke, H.D.; Kennedy, A.; Marshall, L.; Ong, T.T.; Perman, J.; Pujari, T.; Wojtas, Ł.; et al. Hierarchy of Supramolecular Synthons: Persistent Hydrogen Bonds Between Carboxylates and Weakly Acidic Hydroxyl Moieties in Cocrystals of Zwitterions. Cryst. Growth Des. 2010, 10, 3568–3584. [Google Scholar] [CrossRef]
- Ashworth, R.B.; Cormier, M.J. Isolation of 2,6-Dibromophenol from the Marine Hemichordate, Balanoglossus biminiensis. Science 1967, 155, 1558–1559. [Google Scholar] [CrossRef]
- Polyakova, O.V.; Filatova, O.A.; Fedutin, I.D.; Litovka, D.I.; Bukenov, B.; Artaev, V.B.; Humston-Fulmer, E.M.; Binkley, J.; Kosyakov, D.S.; Lebedev, A.T. Solving the Mystery of the Chukotka Stinky Gray Whales. Chemosphere 2023, 315, 137785. [Google Scholar] [CrossRef] [PubMed]
- Berger, R.S. 2,6-Dichlorophenol, Sex Pheromone of the Lone Star Tick. Science 1972, 177, 704–705. [Google Scholar] [CrossRef] [PubMed]
- Jaime-Adán, E.; Hernández-Ortega, S.; Toscano, R.; Germán-Acacio, J.; Sánchez-Pacheco, A.; Hernández-Vergara, M.; Barquera, J.; Valdés-Martínez, J. Competition of Hydrogen Bonds, Halogen Bonds, and π–π Interactions in Crystal Structures: Exploring the Effect of One Atom Substitution. Cryst. Growth Des. 2024, 24, 1888–1897. [Google Scholar] [CrossRef]
- Metrangolo, P.; Resnati, G. Halogen Versus Hydrogen. Science 2008, 321, 918–919. [Google Scholar] [CrossRef]
- Bartashevich, E.V.; Tsirelson, V.G. Interplay between Non-Covalent Interactions in Complexes and Crystals with Halogen Bonds. Russ. Chem. Rev. 2014, 83, 1181–1203. [Google Scholar] [CrossRef]
- Mikherdov, A.S.; Novikov, A.S.; Boyarskiy, V.P.; Kukushkin, V.Y. The Halogen Bond with Isocyano Carbon Reduces Isocyanide Odor. Nat. Commun. 2020, 11, 2921. [Google Scholar] [CrossRef]
- Koivuporras, A.; Mailman, A.; Guo, H.; Priimagi, A.; Puttreddy, R. Halogen Bonding in Halothiophene Building Blocks. Cryst. Growth Des. 2023, 23, 8889–8896. [Google Scholar] [CrossRef]
- Medvedev, A.G.; Medved’ko, A.V.; Vener, M.V.; Churakov, A.V.; Prikhodchenko, P.V.; Vatsadze, S.Z. Dioxygen–Halogen Bonding Exemplified by Crystalline Peroxosolvates of N,N′-Bis(Haloacetyl) Bispidines. Phys. Chem. Chem. Phys. 2024, 26, 5195–5206. [Google Scholar] [CrossRef]
- Liang, J.; Gan, F.; Zhang, G.; Shen, C.; Qiu, H. Halogen Bond-Modulated Solid-State Reordering and Symmetry Breaking of Azahelicenes. Nat. Commun. 2025, 16, 3788. [Google Scholar] [CrossRef]
- Awwadi, F.; Taher, D.; Haddad, S.; Turnbull, M. Competition between Hydrogen and Halogen Bonding Interactions: Theoretical and Crystallographic Studies. Cryst. Growth Des. 2014, 14, 1961–1971. [Google Scholar] [CrossRef]
- Lombard, J.; le Roex, T.; Haynes, D. Competition between Hydrogen and Halogen Bonds: The Effect of Solvent Volume. Cryst. Growth Des. 2020, 20, 7384–7391. [Google Scholar] [CrossRef]
- Mukherjee, A.; Tothadi, S.; Desiraju, G.R. Halogen Bonds in Crystal Engineering: Like Hydrogen Bonds yet Different. Acc. Chem. Res. 2014, 47, 2514–2524. [Google Scholar] [CrossRef]
- Bieszczad, B.; Pawlędzio, S.; Polak, K.; Antonowicz, J.; Mieczkowski, A.; Trzybiński, D. Influence of Halogen Size on the Supramolecular and Energy Landscape of the THF Solvates of the Halogen Derivatives of Dianthranilide. CrystEngComm 2020, 22, 5389–5399. [Google Scholar] [CrossRef]
- Ziemniak, M.; Zawadzka-Kazimierczuk, A.; Pawlędzio, S.; Malinska, M.; Sołtyka, M.; Trzybiński, D.; Koźmiński, W.; Skora, S.; Zieliński, R.; Fokt, I.; et al. Experimental and Computational Studies on Structure and Energetic Properties of Halogen Derivatives of 2-Deoxy-D-Glucose. Int. J. Mol. Sci. 2021, 22, 3720. [Google Scholar] [CrossRef] [PubMed]
- Ravi, S.; Karthikeyan, S.; Pannipara, M.; Al-Sehemi, A.G.; Moon, D.; Anthony, S.P. Halogen atom substitution effect on the carbazole fluorescence properties and supramolecular interactions in the solid-state. CrystEngComm 2024, 26, 1773–1778. [Google Scholar] [CrossRef]
- Bombicz, P.; May, N.V.; Fegyverneki, D.; Saranchimeg, A.; Bereczki, L. Methods for Easy Recognition of Isostructurality–Lab Jack-like Crystal Structures of Halogenated 2-Phenylbenzimidazoles. CrystEngComm 2020, 22, 7193–7203. [Google Scholar] [CrossRef]
- Fotović, L.; Bedeković, N.; Stilinović, V. Isostructural Halogen Exchange and Halogen Bonds: The Case of N-(4-Halogenobenzyl)-3-halogenopyridinium Halogenides. Cryst. Growth Des. 2022, 22, 1333–1344. [Google Scholar] [CrossRef]
- Mandal, K.; Bhandary, S.; Indulekha, K.P.; Fathima Nida, P.S.R.; Dey, D.; Chopra, D. Quantitative Evaluation of Isostructurality in Solid-State Structures of Halogen-Substituted Phenyl Benzoates. Cryst. Growth Des. 2025, 25, 10069–10086. [Google Scholar] [CrossRef]
- Seaton, C.C.; Parkin, A. Making Benzamide Cocrystals with Benzoic Acids: The Influence of Chemical Structure. Cryst. Growth Des. 2011, 11, 1502–1511. [Google Scholar] [CrossRef]
- Manin, A.N.; Voronin, A.P.; Shishkina, A.V.; Vener, M.V.; Churakov, A.V.; Perlovich, G.L. Influence of Secondary Interactions on the Structure, Sublimation Thermodynamics, and Solubility of Salicylate: 4-Hydroxybenzamide Cocrystals: Combined Experimental and Theoretical Study. J. Phys. Chem. B 2015, 119, 10466–10477. [Google Scholar] [CrossRef]
- Suponitsky, K.Y.; Smol’yakov, A.F.; Ananyev, I.V.; Khakhalev, A.V.; Gidaspov, A.A.; Sheremetev, A.B. 3,4-Dinitrofurazan: Structural Nonequivalence of Ortho-Nitro Groups as a Key Feature of the Crystal Structure and Density. ChemistrySelect 2020, 5, 14543–14548. [Google Scholar] [CrossRef]
- Gospodinov, I.; Domasevitch, K.V.; Unger, C.C.; Klapötke, T.M.; Stierstorfer, J. Midway between Energetic Molecular Crystals and High-Density Energetic Salts: Crystal Engineering with Hydrogen Bonded Chains of Polynitro Bipyrazoles. Cryst. Growth Des. 2020, 20, 755–764. [Google Scholar] [CrossRef]
- Muravyev, N.V.; Suponitsky, K.Y.; Fedyanin, I.V.; Fomenkov, I.V.; Pivkina, A.N.; Dalinger, I.L. Bis-(2-Difluoroamino-2,2-Dinitroethyl)nitramine—Energetic Oxidizer and High Explosive. Chem. Eng. J. 2022, 449, 137816. [Google Scholar] [CrossRef]
- Frolov, N.E.; Shishkina, A.V.; Vener, M.V. Specific Proton-Donor Properties of Glycine Betaine: Metric Parameters and Enthalpy of Noncovalent Interactions in Its Dimer, Water Complexes and Crystalline Hydrate. Int. J. Mol. Sci. 2023, 24, 12971. [Google Scholar] [CrossRef]
- Topić, N.B.; Dash, S.; Topić, E.; Arhangelskis, M.; Cinčić, D. Perhalogenated Anilines as Bifunctional Donors of Hydrogen and Halogen Bonds in Cocrystals with Ditopic Nitrogen-Containing Acceptors. Cryst. Growth Des. 2024, 24, 5078–5088. [Google Scholar] [CrossRef] [PubMed]
- Hou, L.; Gao, L.; Zhang, W.; Yang, X.; Wu, B. Quaternary Cocrystals Based on Halide-Binding Foldamers through Both Hydrogen and Halogen Bonding. Cryst. Growth Des. 2021, 21, 2837–2843. [Google Scholar] [CrossRef]
- Grounds, O.; Zeller, M.; Rosokha, S. Halogen Bonding versus Nucleophilic Substitution in the Co-Crystallization of Halomethanes and Amines. Crystals 2024, 14, 124. [Google Scholar] [CrossRef]
- Spackman, M.A.; Jayatilaka, D. Hirshfeld Surface Analysis. CrystEngComm 2009, 11, 19–32. [Google Scholar] [CrossRef]
- Spackman, M.A.; McKinnon, J.J. Fingerprinting Intermolecular Interactions in Molecular Crystals. CrystEngComm 2002, 4, 378–392. [Google Scholar] [CrossRef]
- Prashanth, J.; Voronin, A.P.; Surov, A.O.; Balasubramanian, S. Design of Pyrazine Cocrystals of Enzalutamide: A Lead from 1,4-Dioxane Solvates. CrystEngComm 2024, 26, 3851–3866. [Google Scholar] [CrossRef]
- Dey, P.; Islam, S.; Das, P.; Seth, S.K. Structural and Computational Insights into Two Trimethylenedipyridine Co-Crystals: Inputs from X-Ray Diffraction, Hirshfeld Surface, PIXEL, QTAIM and NCI Plots. J. Mol. Struct. 2024, 1296, 136820. [Google Scholar] [CrossRef]
- Voronin, A.P.; Simonova, O.R.; Volkova, T.V.; Perlovich, G.L. Sublimation of Pyridine Derivatives: Fundamental Aspects and Application for Two-Component Crystal Screening. Phys. Chem. Chem. Phys. 2024, 26, 22558–22571. [Google Scholar] [CrossRef] [PubMed]
- Hoser, A.A.; Kamiński, D.M.; Matwijczuk, A.; Niewiadomy, A.; Gagoś, M.; Woźniak, K. On Polymorphism of 2-(4-Fluorophenylamino)-5-(2,4-Dihydroxybenzeno)-1,3,4-Thiadiazole (FABT) DMSO Solvates. CrystEngComm 2013, 15, 1978. [Google Scholar] [CrossRef]
- Jarzembska, K.N.; Hoser, A.A.; Varughese, S.; Kamiński, R.; Malinska, M.; Stachowicz, M.; Pedireddi, V.R.; Woźniak, K. Structural and Energetic Analysis of Molecular Assemblies in a Series of Nicotinamide and Pyrazinamide Cocrystals with Dihydroxybenzoic Acids. Cryst. Growth Des. 2017, 17, 4918–4931. [Google Scholar] [CrossRef]
- Tao, Q.; Hao, Q.-Q.; Voronin, A.P.; Dai, X.-L.; Huang, Y.; Perlovich, G.L.; Lu, T.-B.; Chen, J.-M. Polymorphic Forms of a Molecular Salt of Phenazopyridine with 3,5-Dihydroxybenzoic Acid: Crystal Structures, Theoretical Calculations, Thermodynamic Stability, and Solubility Aspects. Cryst. Growth Des. 2019, 19, 5636–5647. [Google Scholar] [CrossRef]
- Krichen, F.; Walha, S.; Abdelmouleh, M. Hirshfeld Surface Analysis of the Intermolecular Interaction Networks in Cellulose Iα and Iβ. Carbohydr. Res. 2022, 518, 108600. [Google Scholar] [CrossRef] [PubMed]
- Romanenko, A.S.; Ananyev, I.V. Critical Assessment of QTAIM Descriptors of Intermolecular Interactions at the Promolecular Level. Struct. Chem. 2025, 36, 1649–1666. [Google Scholar] [CrossRef]
- Bader, R.F.W. A Quantum Theory of Molecular Structure and Its Applications. Chem. Rev. 1991, 91, 893–928. [Google Scholar] [CrossRef]
- Spackman, P.R.; Turner, M.J.; McKinnon, J.J.; Wolff, S.K.; Grimwood, D.J.; Jayatilaka, D.; Spackman, M.A. CrystalExplorer: A Program for Hirshfeld Surface Analysis, Visualization and Quantitative Analysis of Molecular Crystals. J. Appl. Crystallogr. 2021, 54, 1006–1011. [Google Scholar] [CrossRef] [PubMed]
- Medvedev, A.G.; Churakov, A.V.; Navasardyan, M.A.; Prikhodchenko, P.V.; Lev, O.; Vener, M.V. Fast Quantum Approach for Evaluating the Energy of Non-Covalent Interactions in Molecular Crystals: The Case Study of Intermolecular H-Bonds in Crystalline Peroxosolvates. Molecules 2022, 27, 4082. [Google Scholar] [CrossRef]
- Groom, C.R.; Bruno, I.J.; Lightfoot, M.P.; Ward, S.C. The Cambridge Structural Database. Acta Crystallogr. B Struct. Sci. Cryst. Eng. Mater. 2016, 72, 171–179. [Google Scholar] [CrossRef] [PubMed]
- Vener, M.V.; Shishkina, A.V.; Rykounov, A.A.; Tsirelson, V.G. Cl⋯Cl Interactions in Molecular Crystals: Insights from the Theoretical Charge Density Analysis. J. Phys. Chem. A 2013, 117, 8459−8467. [Google Scholar] [CrossRef]
- Steiner, T. The Hydrogen Bond in the Solid State. Angew. Chem. Int. Ed. 2002, 41, 48–76. [Google Scholar] [CrossRef]
- Majerz, I.; Sawka-Dobrowolska, W.; Sobczyk, L. The Structure and IR Spectrum of the Hydrogen-Bonded Adduct of 2,6-Dichloro-4-Nitrophenol with 3,4-Dimethylpyridine. J. Mol. Struct. 1994, 319, 1–9. [Google Scholar] [CrossRef]
- Kong, S.; Shenderovich, I.G.; Vener, M.V. Density Functional Study of the Proton Transfer Effect on Vibrations of Strong (Short) Intermolecular O−H···N/O−···H−N+ Hydrogen Bonds in Aprotic Solvents. J. Phys. Chem. A 2010, 114, 2393–2399. [Google Scholar] [CrossRef]
- Medvedev, A.G.; Prikhodchenko, P.V.; Dalinger, I.L.; Vener, M.V.; Churakov, A.V. Combined X-Ray Crystallographic and Periodic DFT Study of Supramolecular Organization and Intermolecular Interactions in Crystalline Peroxosolvates of (Nitropyrazolyl)Furazans. Cryst. Growth Des. 2025, 25, 1394–1405. [Google Scholar] [CrossRef]
- Voronin, A.P.; Surov, A.O.; Churakov, A.V.; Vener, M.V. Supramolecular Organization in Salts of Riluzole with Dihydroxybenzoic Acids—The Key Role of the Mutual Arrangement of OH Groups. Pharmaceutics 2023, 15, 878. [Google Scholar] [CrossRef]
- Tuma, C.; Boese, A.D.; Handy, N.C. Predicting the binding energies of H-bonded complexes: A comparative DFT study. Phys. Chem. Chem. Phys. 1999, 1, 3939–3947. [Google Scholar] [CrossRef]
- Scheiner, S. Weak H-Bonds. Comparisons of CH⋯O to NH⋯O in Proteins and PH⋯N to Direct P⋯N Interactions. Phys. Chem. Chem. Phys. 2011, 13, 13860. [Google Scholar] [CrossRef] [PubMed]
- Voronin, A.P.; Volkova, T.V.; Ilyukhin, A.B.; Trofimova, T.P.; Perlovich, G.L. Structural and Energetic Aspects of Adamantane and Memantine Derivatives of Sulfonamide Molecular Crystals: Experimental and Theoretical Characterisation. CrystEngComm 2018, 20, 3476–3489. [Google Scholar] [CrossRef]
- Churakov, A.V.; Anokhin, D.V.; Kalle, P.; Kiseleva, M.A.; Vener, M.V.; Kuz’mina, L.G. Crystal Structures of Sulfobetaine-8 Solvates: Bend Hydrophobic Chains and Doubly Charge-Assisted Hydrogen Bonds N+CH⋯−O3S. Crystals 2024, 14, 1062. [Google Scholar] [CrossRef]
- Karamertzanis, P.G.; Day, G.M.; Welch, G.W.A.; Kendrick, J.; Leusen, F.J.J.; Neumann, M.A.; Price, S.L. Modeling the interplay of inter- and intramolecular hydrogen bonding in conformational polymorphs. J. Chem. Phys. 2008, 128, 244708. [Google Scholar] [CrossRef] [PubMed]
- Voronin, A.P.; Surov, A.O.; Churakov, A.V.; Parashchuk, O.D.; Rykounov, A.A.; Vener, M.V. Combined X-ray Crystallographic, IR/Raman Spectroscopic, and Periodic DFT Investigations of New Multicomponent Crystalline Forms of Anthelmintic Drugs: A Case Study of Carbendazim Maleate. Molecules 2020, 25, 2386. [Google Scholar] [CrossRef]
- Surov, A.O.; Vasilev, N.A.; Churakov, A.V.; Parashchuk, O.D.; Artobolevskii, S.V.; Alatortsev, O.A.; Makhrov, D.E.; Vener, M.V. Two faces of water in the formation and stabilization of multicomponent crystals of zwitterionic drug-like compounds. Symmetry 2021, 13, 425. [Google Scholar] [CrossRef]
- Vener, M.V.; Medvedev, A.G.; Stash, A.I.; Mikhaylov, A.A.; Prikhodchenko, P.V.; Baravikov, D.E.; Dalinger, I.L.; Churakov, A.V.; Dolgushin, F.M. The First Experimental Charge Density Studies and Comparative Periodic DFT Calculations for Crystalline Hydrogen Peroxide Adducts: Peculiarities of the HO–OH Covalent Bond. J. Phys. Chem. Lett. 2024, 15, 10316–10323. [Google Scholar] [CrossRef]
- Singh, M.P.; Hazarika, A.; Baruah, J.B. Are supramolecular synthons stable as discrete units? Results from a series of salts of 4-(4-hydroxyphenylazo)benzoic acid and its derivatives with aminopyridines. Phys. Chem. Chem. Phys. 2025, 27, 22173–22186. [Google Scholar] [CrossRef]
- Finch, E.D.; Rabideau, S.W.; Wenzel, R.G.; Nereson, N.G. Neutron-Diffraction Study of Ice Polymorphs. II. Ice II. J. Chem. Phys. 1968, 49, 4361–4365. [Google Scholar] [CrossRef]
- McKinnon, J.J.; Jayatilaka, D.; Spackman, M.A. Towards Quantitative Analysis of Intermolecular Interactions with Hirshfeld Surfaces. Chem. Commun. 2007, 37, 3814–3816. [Google Scholar] [CrossRef] [PubMed]
- Sheldrick, G.M. Program for Scaling and Correction of Area Detector Data; University of Göttingen: Göttingen, Germany, 1997. [Google Scholar]
- Sheldrick, G.M. A Short History of SHELX. Acta Cryst. Sect. A. Found. Crystallogr. 2008, 64, 112–122. [Google Scholar] [CrossRef]
- Dovesi, R.; Erba, A.; Orlando, R.; Zicovich-Wilson, C.M.; Civalleri, B.; Maschio, L.; Rérat, M.; Casassa, S.; Baima, J.; Salustro, S.; et al. Quantum-Mechanical Condensed Matter Simulations with CRYSTAL. WIREs Comput. Mol. Sci. 2018, 8, e1360. [Google Scholar] [CrossRef]
- Perdew, J.P.; Burke, K.; Ernzerhof, M. Generalized Gradient Approximation Made Simple. Phys. Rev. Lett. 1996, 77, 3865–3868. [Google Scholar] [CrossRef]
- Becke, A.D. Density-Functional Thermochemistry. III. The Role of Exact Exchange. J. Chem. Phys. 1993, 98, 5648–5652. [Google Scholar] [CrossRef]
- Lee, C.; Yang, W.; Parr, R.G. Development of the Colle-Salvetti Correlation-Energy Formula into a Functional of the Electron Density. Phys. Rev. B 1988, 37, 785–789. [Google Scholar] [CrossRef] [PubMed]
- Laun, J.; Vilela Oliveira, D.; Bredow, T. Consistent Gaussian Basis Sets of Double- and Triple-zeta Valence with Polarization Quality of the Fifth Period for Solid-state Calculations. J. Comput. Chem. 2018, 39, 1285–1290. [Google Scholar] [CrossRef]
- Goerigk, L.; Grimme, S. A Thorough Benchmark of Density Functional Methods for General Main Group Thermochemistry, Kinetics, and Noncovalent Interactions. Phys. Chem. Chem. Phys. 2011, 13, 6670. [Google Scholar] [CrossRef] [PubMed]
- Katsyuba, S.A.; Vener, M.V.; Zvereva, E.E.; Brandenburg, J.G. The Role of London Dispersion Interactions in Strong and Moderate Intermolecular Hydrogen Bonds in the Crystal and in the Gas Phase. Chem. Phys. Lett. 2017, 672, 124–127. [Google Scholar] [CrossRef]
- Merten, C. Modelling Solute–Solvent Interactions in VCD Spectra Analysis with the Micro-Solvation Approach. Phys. Chem. Chem. Phys. 2023, 25, 29404–29414. [Google Scholar] [CrossRef]
- Grimme, S.; Ehrlich, S.; Goerigk, L. Effect of the Damping Function in Dispersion Corrected Density Functional Theory. J. Comput. Chem. 2011, 32, 1456–1465. [Google Scholar] [CrossRef]
- Zhang, F.; Wang, H.-W.; Tominaga, K.; Hayashi, M. Mixing of intermolecular and intramolecular vibrations in optical phonon modes: Terahertz spectroscopy and solid-state density functional theory. WIREs Comput. Mol. Sci. 2016, 6, 386–409. [Google Scholar] [CrossRef]
- Rogers, F.J.M.; Radhanpura, K.; Horvat, J.; Farrant, D. On the use of a volume constraint to account for thermal expansion effects on the low-frequency vibrations of molecular crystals. Phys. Chem. Chem. Phys. 2022, 24, 10408–10419. [Google Scholar] [CrossRef] [PubMed]
- Gatti, C.; Casassa, S. TOPOND-2013: An Electron Density Topological Program for Systems Periodic in N (N = 0–3) Dimensions; User’s Manual—CNR-CSRSRC: Milano, Italy, 2013. [Google Scholar]
- Mata, I.; Alkorta, I.; Espinosa, E.; Molins, E. Relationships between Interaction Energy, Intermolecular Distance and Electron Density Properties in Hydrogen Bonded Complexes under External Electric Fields. Chem. Phys. Lett. 2011, 507, 185–189. [Google Scholar] [CrossRef]
- Frisch, M.J.; Trucks, G.W.; Schlegel, H.B.; Scuseria, G.E.; Robb, M.A.; Cheeseman, J.R.; Scalmani, G.; Barone, V.; Mennucci, B.; Petersson, G.A.; et al. Gaussian 09, Rev. D.01; Gaussian Inc.: Wallingford, CT, USA, 2009. [Google Scholar] [CrossRef]
- Weigend, F.; Ahlrichs, R. Balanced Basis Sets of Split Valence, Triple Zeta Valence and Quadruple Zeta Valence Quality for H to Rn: Design and Assessment of Accuracy. Phys. Chem. Chem. Phys. 2005, 7, 3297–3305. [Google Scholar] [CrossRef]
- Lu, T. A Comprehensive Electron Wavefunction Analysis Toolbox for Chemists, Multiwfn. J. Chem. Phys. 2024, 161, 082503. [Google Scholar] [CrossRef] [PubMed]
- Humphrey, W.; Dalke, A.; Schulten, K. VMD—Visual Molecular Dynamics. J. Mol. Graphics 1996, 14, 33–38. [Google Scholar] [CrossRef]





| Fragment/Bond (a) | X-ray (b) | B3LYP | PBE-D3 |
|---|---|---|---|
| [TMG•2,6-dichlorophenol] (1:1) | |||
| O(1)–H∙∙∙O(11)/H∙∙∙O(11) | 2.512(1)/1.64(2) [163(2)] | 2.517/1.52 [162] | 2.485/1.49 [163] |
| C(14)–H∙∙∙O(12)/H∙∙∙O(12) | 3.343(2)/2.45(2) [157(1)] | 3.285/2.25 [157] | 3.309/2.27 [157] |
| Cl(1)∙∙∙O(11) | 3.252(1) | 3.268 | 3.231 |
| Cl(1)∙∙∙Cl(2) | 3.4543(5) | 3.436 | 3.429 |
| H(152)∙∙∙H(5′) | 2.43 | 2.29 | 2.30 |
| [TMG•2,6-dibromophenol] (1:2) | |||
| O(11)–H∙∙∙O(1) | 2.624(2)/1.90(3) [166(3)] | 2.609/1.61 [168] | 2.586/1.57 [167] |
| O(12)–H∙∙∙O(2) | 2.617(2)/1.90(3) [163(3)] | 2.618/1.67 [158] | 2.597/1.64 [156] |
| C(2)–H∙∙∙O(2)/H∙∙∙O(2) | 3.419(3)/2.48 [158] | 3.345/2.42 [156] | 3.359/2.42 [156] |
| Br(4)∙∙∙O(1) | 3.005(2) | 3.020 | 3.010 |
| Br(2)∙∙∙Br(4) | 3.9097(4) | 3.903 | 3.899 |
| H(32)∙∙∙H(32″) | 2.34 | 2.36 | 2.36 |
| Fragment (b) | B3LYP | PBE-D3 | ||||
|---|---|---|---|---|---|---|
| ρb (a.u.) | ∇2ρb (a.u.) | Eint (kJ/mol) | ρb (a.u.) | ∇2ρb (a.u.) | Eint (kJ/mol) | |
| O(1)–H∙∙∙O(11 | 0.07137 | 0.15851 | 59.3 | 0.08823 | 0.12948 | 68.4 |
| C1(4)–H∙∙∙O(12) | 0.01558 | 0.04464 | 12.6 | 0.01510 | 0.04217 | 11.8 |
| Cl(1)∙∙∙O(11) | 0.00843 | 0.03092 | 7.4 | 0.00902 | 0.03307 | 7.9 |
| Cl(2)∙∙∙H(131) | 0.00815 | 0.028045 | 6.3 | 0.00886 | 0.02983 | 6.8 |
| Cl(1)∙∙∙Cl(2) | 0.00741 | 0.02893 | 6.2 | 0.00747 | 0.02857 | 6.1 |
| C(2)∙∙∙H(143) | 0.00871 | 0.02598 | 6.1 | 0.00864 | 0.02549 | 6.0 |
| C(2)∙∙∙C(l2′) | 0.00457 | 0.01389 | 3.1 | 0.00464 | 0.01418 | 3.2 |
| C(5)∙∙∙C(5′) | 0.00404 | 0.01321 | 2.9 | 0.00427 | 0.01383 | 3.0 |
| H(152)∙∙∙H(5′) | 0.00591 | 0.02296 | 4.8 | 0.00587 | 0.02224 | 4.7 |
Disclaimer/Publisher’s Note: The statements, opinions and data contained in all publications are solely those of the individual author(s) and contributor(s) and not of MDPI and/or the editor(s). MDPI and/or the editor(s) disclaim responsibility for any injury to people or property resulting from any ideas, methods, instructions or products referred to in the content. |
© 2026 by the authors. Licensee MDPI, Basel, Switzerland. This article is an open access article distributed under the terms and conditions of the Creative Commons Attribution (CC BY) license.
Share and Cite
Churakov, A.V.; Medvedev, A.G.; Shishkina, A.V.; Frolov, N.E.; Vener, M.V. Tuning Supramolecular Structure in Trimethylglycine Cocrystals: Competition Between Hydrogen and Halogen Bonding upon Cl/Br Substitution. Molecules 2026, 31, 1047. https://doi.org/10.3390/molecules31061047
Churakov AV, Medvedev AG, Shishkina AV, Frolov NE, Vener MV. Tuning Supramolecular Structure in Trimethylglycine Cocrystals: Competition Between Hydrogen and Halogen Bonding upon Cl/Br Substitution. Molecules. 2026; 31(6):1047. https://doi.org/10.3390/molecules31061047
Chicago/Turabian StyleChurakov, Andrei V., Alexander G. Medvedev, Anastasia V. Shishkina, Nikita E. Frolov, and Mikhail V. Vener. 2026. "Tuning Supramolecular Structure in Trimethylglycine Cocrystals: Competition Between Hydrogen and Halogen Bonding upon Cl/Br Substitution" Molecules 31, no. 6: 1047. https://doi.org/10.3390/molecules31061047
APA StyleChurakov, A. V., Medvedev, A. G., Shishkina, A. V., Frolov, N. E., & Vener, M. V. (2026). Tuning Supramolecular Structure in Trimethylglycine Cocrystals: Competition Between Hydrogen and Halogen Bonding upon Cl/Br Substitution. Molecules, 31(6), 1047. https://doi.org/10.3390/molecules31061047

