Improving the Long-Range Intramolecular Proton Transfer—Further Molecular Design of the Successful Molecular Switch 8-(Benzo[d]thiazol-2-yl)quinolin-7-ol (HQBT)
Abstract
1. Introduction
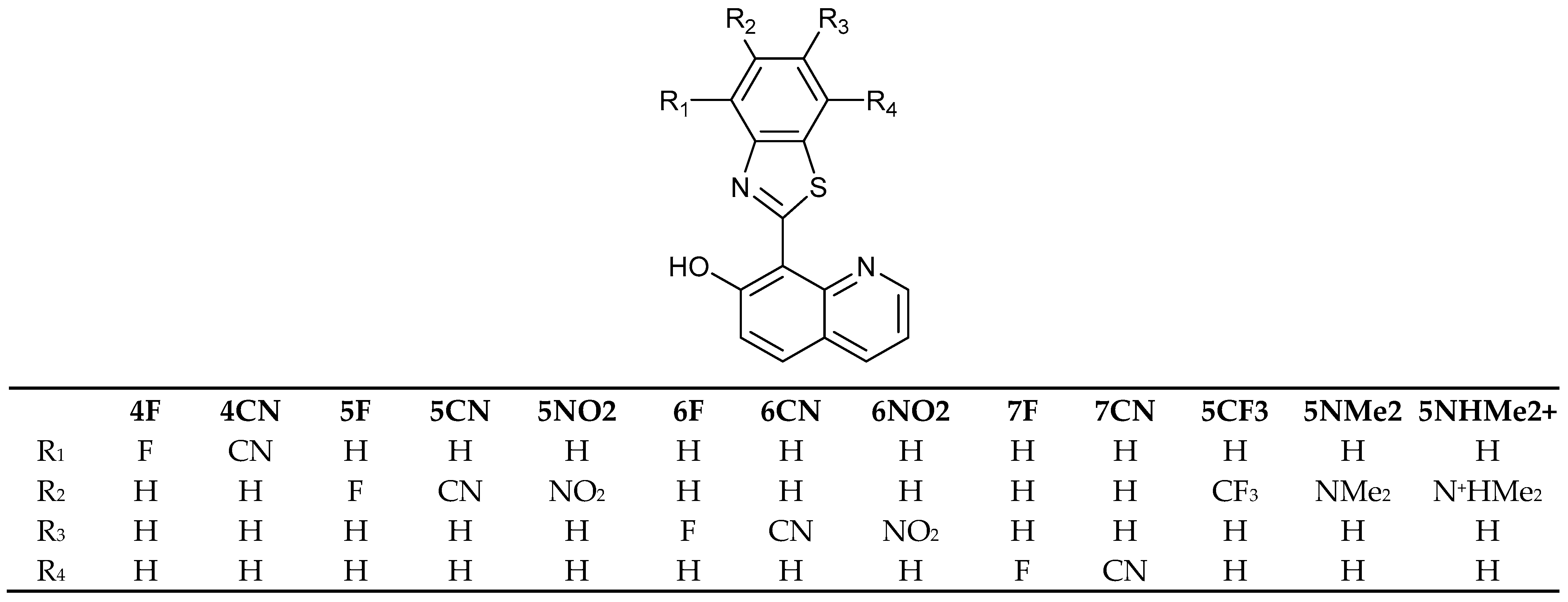
2. Results and Discussion
- The off-state (E) should be only present initially, which defines that the energy stabilization in respect to the rest of the tautomers (KE,KK,K) should be substantial to prevent their appearance under the equilibrium conditions.
- The on-state K should be substantially more stable than KK in order to assume full transition from the latter to the former.
- The twisting barrier in respect of KK should be large enough to assure predominant and efficient GSIPT to K.
- The GSIPT barriers (TS(E-KE) and TS(KK-K)) should be as low as possible to prevent KE and KK from being trapped.
- The ESIPT process should lead to simultaneous twisting in order to get predominantly twisted instead of a planar KE*.
3. Theoretical Methodology
4. Conclusions
Supplementary Materials
Author Contributions
Funding
Institutional Review Board Statement
Informed Consent Statement
Data Availability Statement
Conflicts of Interest
References
- Gilli, G.; Gilli, P. The Nature of the Hydrogen Bond: Outline of a Comprehensive Hydrogen Bond Theory; IUCr Monographs on Crystallography; 1st ed in Paperback; Oxford University Press: Oxford, UK, 2013; ISBN 978-0-19-967347-6. [Google Scholar]
- Guerrero-Corella, A.; Fraile, A.; Alemán, J. Intramolecular Hydrogen-Bond Activation: Strategies, Benefits, and Influence in Catalysis. ACS Org. Inorg. Au 2022, 2, 197–204. [Google Scholar] [CrossRef]
- Jabłoński, M. Intramolecular Hydrogen Bonding 2021. Molecules 2021, 26, 6319. [Google Scholar] [CrossRef] [PubMed]
- Baker, E.N. Hydrogen Bonding in Biological Macromolecules. In International Tables for Crystallography; Rossmann, M.G., Arnold, E., Eds.; International Union of Crystallography: Chester, UK, 2006; Volume F, pp. 546–552. ISBN 978-0-7923-6857-1. [Google Scholar]
- Jeffrey, G.A.; Saenger, W. Hydrogen Bonding in Biological Structures; Springer: Berlin/Heidelberg, Germany, 1991; ISBN 978-3-540-57903-8. [Google Scholar]
- Pairas, G.N.; Tsoungas, P.G. H-Bond: Τhe Chemistry-Biology H-Bridge. ChemistrySelect 2016, 1, 4520–4532. [Google Scholar] [CrossRef]
- Caron, G.; Kihlberg, J.; Ermondi, G. Intramolecular Hydrogen Bonding: An Opportunity for Improved Design in Medicinal Chemistry. Med. Res. Rev. 2019, 39, 1707–1729. [Google Scholar] [CrossRef]
- Kuhn, B.; Mohr, P.; Stahl, M. Intramolecular Hydrogen Bonding in Medicinal Chemistry. J. Med. Chem. 2010, 53, 2601–2611. [Google Scholar] [CrossRef] [PubMed]
- Hutchins, K.M. Functional Materials Based on Molecules with Hydrogen-Bonding Ability: Applications to Drug Co-Crystals and Polymer Complexes. R. Soc. Open Sci. 2018, 5, 180564. [Google Scholar] [CrossRef]
- Wan, Q.; Thompson, B.C. Control of Properties through Hydrogen Bonding Interactions in Conjugated Polymers. Adv. Sci. 2024, 11, 2305356. [Google Scholar] [CrossRef] [PubMed]
- Deng, Y.; Zhang, Q.; Qu, D.-H. Emerging Hydrogen-Bond Design for High-Performance Dynamic Polymeric Materials. ACS Mater. Lett. 2023, 5, 480–490. [Google Scholar] [CrossRef]
- Shi, X.; Bao, W. Hydrogen-Bonded Conjugated Materials and Their Application in Organic Field-Effect Transistors. Front. Chem. 2021, 9, 723718. [Google Scholar] [CrossRef]
- Hynes, J.T.; Klinman, J.P.; Limbach, H.-H.; Schowen, R.L. (Eds.) Hydrogen-Transfer Reactions; Wiley-VCH Verlag GmbH & Co. KGaA: Weinheim, Germany, 2006; ISBN 978-3-527-61154-6. [Google Scholar]
- Joshi, H.C.; Antonov, L. Excited-State Intramolecular Proton Transfer: A Short Introductory Review. Molecules 2021, 26, 1475. [Google Scholar] [CrossRef]
- Kwon, J.E.; Park, S.Y. Advanced Organic Optoelectronic Materials: Harnessing Excited-State Intramolecular Proton Transfer (ESIPT) Process. Adv. Mater. 2011, 23, 3615–3642. [Google Scholar] [CrossRef]
- Tsutsui, M.; Taniguchi, M. Single Molecule Electronics and Devices. Sensors 2012, 12, 7259–7298. [Google Scholar] [CrossRef]
- Sakai, K.; Tsuzuki, T.; Itoh, Y.; Ichikawa, M.; Taniguchi, Y. Using Proton-Transfer Laser Dyes for Organic Laser Diodes. Appl. Phys. Lett. 2005, 86, 081103. [Google Scholar] [CrossRef]
- Chen, K.-Y.; Hsieh, C.-C.; Cheng, Y.-M.; Lai, C.-H.; Chou, P.-T. Extensive Spectral Tuning of the Proton Transfer Emission from 550 to 675 Nm via a Rational Derivatization of 10-Hydroxybenzo[h]Quinoline. Chem. Commun. 2006, 4395. [Google Scholar] [CrossRef] [PubMed]
- Demchenko, A.P.; Tang, K.-C.; Chou, P.-T. Excited-State Proton Coupled Charge Transfer Modulated by Molecular Structure and Media Polarization. Chem. Soc. Rev. 2013, 42, 1379–1408. [Google Scholar] [CrossRef] [PubMed]
- Chen, C.-L.; Chen, Y.-T.; Demchenko, A.P.; Chou, P.-T. Amino Proton Donors in Excited-State Intramolecular Proton-Transfer Reactions. Nat. Rev. Chem. 2018, 2, 131–143. [Google Scholar] [CrossRef]
- Minkin, V.I.; Tsukanov, A.V.; Dubonosov, A.D.; Bren, V.A. Tautomeric Schiff Bases: Iono-, Solvato-, Thermo- and Photochromism. J. Mol. Struct. 2011, 998, 179–191. [Google Scholar] [CrossRef]
- Nikolaeva, O.G.; Popova, O.S.; Dubonosova, I.V.; Karlutova, O.Y.; Dubonosov, A.D.; Bren, V.A.; Minkin, V.I. Spectral-Luminescent and Ionochromic Properties of Azomethine Imine-Coumarin Conjugates. Russ. J. Gen. Chem. 2022, 92, 841–849. [Google Scholar] [CrossRef]
- Sedgwick, A.C.; Wu, L.; Han, H.-H.; Bull, S.D.; He, X.-P.; James, T.D.; Sessler, J.L.; Tang, B.Z.; Tian, H.; Yoon, J. Excited-State Intramolecular Proton-Transfer (ESIPT) Based Fluorescence Sensors and Imaging Agents. Chem. Soc. Rev. 2018, 47, 8842–8880. [Google Scholar] [CrossRef]
- Li, Y.; Dahal, D.; Abeywickrama, C.S.; Pang, Y. Progress in Tuning Emission of the Excited-State Intramolecular Proton Transfer (ESIPT)-Based Fluorescent Probes. ACS Omega 2021, 6, 6547–6553. [Google Scholar] [CrossRef]
- Chen, L.; Fu, P.; Wang, H.; Pan, M. Excited-State Intramolecular Proton Transfer (ESIPT) for Optical Sensing in Solid State. Adv. Opt. Mater. 2021, 9, 2001952. [Google Scholar] [CrossRef]
- Shekhovtsov, N.A.; Vorob’eva, S.; Nikolaenkova, E.B.; Ryadun, A.A.; Krivopalov, V.P.; Gourlaouen, C.; Bushuev, M.B. Complexes on the Base of a Proton Transfer Capable Pyrimidine Derivative: How Protonation and Deprotonation Switch Emission Mechanisms. Inorg. Chem. 2023, 62, 16734–16751. [Google Scholar] [CrossRef]
- Shekhovtsov, N.A.; Nikolaenkova, E.B.; Ryadun, A.A.; Vorobyeva, S.N.; Krivopalov, V.P.; Bushuev, M.B. Dual Emission of ESIPT-Capable 2-(2-Hydroxyphenyl)-4-(1 H -Pyrazol-1-Yl)Pyrimidines: Interplay of Fluorescence and Phosphorescence. New J. Chem. 2023, 47, 6361–6377. [Google Scholar] [CrossRef]
- Fu, P.-Y.; Yi, S.-Z.; Pan, M.; Su, C.-Y. Excited-State Intramolecular Proton Transfer (ESIPT) Based Metal–Organic Supramolecular Optical Materials: Energy Transfer Mechanism and Luminescence Regulation Strategy. Acc. Mater. Res. 2023, 4, 939–952. [Google Scholar] [CrossRef]
- Shekhovtsov, N.A.; Ryadun, A.A.; Plyusnin, V.F.; Nikolaenkova, E.B.; Tikhonov, A.Y.; Bushuev, M.B. First 1-Hydroxy-1 H -Imidazole-Based ESIPT Emitter with an O–H⋯O Intramolecular Hydrogen Bond: ESIPT-Triggered TICT and Speciation in Solution. New J. Chem. 2022, 46, 22804–22817. [Google Scholar] [CrossRef]
- Shekhovtsov, N.A.; Nikolaenkova, E.B.; Berezin, A.S.; Plyusnin, V.F.; Vinogradova, K.A.; Naumov, D.Y.; Pervukhina, N.V.; Tikhonov, A.Y.; Bushuev, M.B. Tuning ESIPT-Coupled Luminescence by Expanding π-Conjugation of a Proton Acceptor Moiety in ESIPT-Capable Zinc(II) Complexes with 1-Hydroxy-1H-Imidazole-Based Ligands. Dalton Trans. 2022, 51, 15166–15188. [Google Scholar] [CrossRef] [PubMed]
- Trannoy, V.; Léaustic, A.; Gadan, S.; Guillot, R.; Allain, C.; Clavier, G.; Mazerat, S.; Geffroy, B.; Yu, P. A Highly Efficient Solution and Solid State ESIPT Fluorophore and Its OLED Application. New J. Chem. 2021, 45, 3014–3021. [Google Scholar] [CrossRef]
- Shekhovtsov, N.A.; Ryadun, A.A.; Bushuev, M.B. Luminescence of a Zinc(II) Complex with a Protonated 1-Hydroxy-1H-imidazole ESIPT Ligand: Direct Excitation of a Tautomeric Form. ChemistrySelect 2021, 6, 12346–12350. [Google Scholar] [CrossRef]
- Shekhovtsov, N.A.; Nikolaenkova, E.B.; Berezin, A.S.; Plyusnin, V.F.; Vinogradova, K.A.; Naumov, D.Y.; Pervukhina, N.V.; Tikhonov, A.Y.; Bushuev, M.B. A 1-Hydroxy-1H-imidazole ESIPT Emitter Demonstrating anti-Kasha Fluorescence and Direct Excitation of a Tautomeric Form. ChemPlusChem 2021, 86, 1436–1441. [Google Scholar] [CrossRef]
- Petdee, S.; Chaiwai, C.; Benchaphanthawee, W.; Nalaoh, P.; Kungwan, N.; Namuangruk, S.; Sudyoadsuk, T.; Promarak, V. Imidazole-Based Solid-State Fluorophores with Combined ESIPT and AIE Features as Self-Absorption-Free Non-Doped Emitters for Electroluminescent Devices. Dye. Pigment. 2021, 193, 109488. [Google Scholar] [CrossRef]
- Long, Y.; Mamada, M.; Li, C.; Dos Santos, P.L.; Colella, M.; Danos, A.; Adachi, C.; Monkman, A. Excited State Dynamics of Thermally Activated Delayed Fluorescence from an Excited State Intramolecular Proton Transfer System. J. Phys. Chem. Lett. 2020, 11, 3305–3312. [Google Scholar] [CrossRef] [PubMed]
- Smith, T.P.; Zaklika, K.A.; Thakur, K.; Walker, G.C.; Tominaga, K.; Barbara, P.F. Ultrafast Studies on Proton Transfer in Photostabilizers. J. Photochem. Photobiol. Chem. 1992, 65, 165–175. [Google Scholar] [CrossRef]
- Ewing, G.W.; Steck, E.A. Absorption Spectra of Heterocyclic Compounds. I. Quinolinols and Isoquinolinols 1. J. Am. Chem. Soc. 1946, 68, 2181–2187. [Google Scholar] [CrossRef]
- Mason, S.F. The Tautomerism of N-Heteroaromatic Hydroxy-Compounds. Part I. Infrared Spectra. J. Chem. Soc. Resumed 1957, 4874–4880. [Google Scholar] [CrossRef]
- Mason, S.F. The Tautomerism of N-Heteroaromatic Hydroxy-Compounds. Part II. Ultraviolet Spectra. J. Chem. Soc. Resumed 1957, 5010–5017. [Google Scholar] [CrossRef]
- Mason, S.F.; Philp, J.; Smith, B.E. Prototropic Equilibria of Electronically Excited Molecules. Part II. 3-, 6-, and 7-Hydroxyquinoline. J. Chem. Soc. Inorg. Phys. Theor. 1968, 3051–3056. [Google Scholar] [CrossRef]
- Lee, S.-I.; Jang, D.-J. Proton Transfers of Aqueous 7-Hydroxyquinoline in the First Excited Singlet, Lowest Triplet, and Ground States. J. Phys. Chem. 1995, 99, 7537–7541. [Google Scholar] [CrossRef]
- García-Ochoa, I.; Bisht, P.B.; Sánchez, F.; Martinez-Atáz, E.; Santos, L.; Tripathi, H.B.; Douhal, A. Experimental and Theoretical Studies of the Proton-Hopping Reaction of 7-Hydroxyquinoline in Viscous Hydroxylic Media. J. Phys. Chem. A 1998, 102, 8871–8880. [Google Scholar] [CrossRef]
- Chou, P.-T.; Wei, C.-Y.; Chris Wang, C.-R.; Hung, F.-T.; Chang, C.-P. Proton-Transfer Tautomerism of 7-Hydroxyquinolines Mediated by Hydrogen-Bonded Complexes. J. Phys. Chem. A 1999, 103, 1939–1949. [Google Scholar] [CrossRef]
- Kwon, O.-H.; Lee, Y.-S.; Yoo, B.K.; Jang, D.-J. Excited-State Triple Proton Transfer of 7-Hydroxyquinoline along a Hydrogen-Bonded Alcohol Chain: Vibrationally Assisted Proton Tunneling. Angew. Chem. Int. Ed. 2006, 45, 415–419. [Google Scholar] [CrossRef]
- Park, S.-Y.; Lee, Y.-S.; Kwon, O.-H.; Jang, D.-J. Proton Transport of Water in Acid–Base Reactions of 7-Hydroxyquinoline. Chem. Commun. 2009, 926. [Google Scholar] [CrossRef] [PubMed]
- Park, S.-Y.; Jang, D.-J. Excited-State Hydrogen Relay along a Blended-Alcohol Chain as a Model System of a Proton Wire: Deuterium Effect on the Reaction Dynamics. Phys. Chem. Chem. Phys. 2012, 14, 8885. [Google Scholar] [CrossRef] [PubMed]
- Kumpulainen, T.; Lang, B.; Rosspeintner, A.; Vauthey, E. Ultrafast Elementary Photochemical Processes of Organic Molecules in Liquid Solution. Chem. Rev. 2017, 117, 10826–10939. [Google Scholar] [CrossRef]
- Vetokhina, V.; Nowacki, J.; Pietrzak, M.; Rode, M.F.; Sobolewski, A.L.; Waluk, J.; Herbich, J. 7-Hydroxyquinoline-8-Carbaldehydes. 1. Ground- and Excited-State Long-Range Prototropic Tautomerization. J. Phys. Chem. A 2013, 117, 9127–9146. [Google Scholar] [CrossRef]
- Fang, W.-H. Ab Initio Study of the Triple-Proton-Transfer Reactions of Ground and Excited States of 7-Hydroxyquinoline in Methanol Solution. J. Am. Chem. Soc. 1998, 120, 7568–7576. [Google Scholar] [CrossRef]
- Fang, W.-H. Theoretical Characterization of the Structures and Reactivity of 7-Hydroxyquinoline−(H2O)n(n = 1−3) Complexes. J. Phys. Chem. A 1999, 103, 5567–5573. [Google Scholar] [CrossRef]
- Tanner, C. Probing the Threshold to H Atom Transfer Along a Hydrogen-Bonded Ammonia Wire. Science 2003, 302, 1736–1739. [Google Scholar] [CrossRef] [PubMed]
- Fernández-Ramos, A.; Martínez-Núñez, E.; Vázquez, S.A.; Ríos, M.A.; Estévez, C.M.; Merchán, M.; Serrano-Andrés, L. Hydrogen Transfer vs Proton Transfer in 7-Hydroxy-Quinoline·(NH3)3: A CASSCF/CASPT2 Study. J. Phys. Chem. A 2007, 111, 5907–5912. [Google Scholar] [CrossRef]
- Al-Lawatia, N.; Husband, J.; Steinbrecher, T.; Abou-Zied, O.K. Tautomerism in 7-Hydroxyquinoline: A Combined Experimental and Theoretical Study in Water. J. Phys. Chem. A 2011, 115, 4195–4201. [Google Scholar] [CrossRef]
- Bekçioğlu, G.; Allolio, C.; Ekimova, M.; Nibbering, E.T.J.; Sebastiani, D. Competition between Excited State Proton and OH− Transport via a Short Water Wire: Solvent Effects Open the Gate. Phys. Chem. Chem. Phys. 2014, 16, 13047–13051. [Google Scholar] [CrossRef]
- Kerdpol, K.; Daengngern, R.; Meeprasert, J.; Namuangruk, S.; Kungwan, N. Theoretical Insights into Photoinduced Proton Transfer of 7-Hydroxyquinoline via Intermolecular Hydrogen-Bonded Wire of Mixed Methanol and Water. Theor. Chem. Acc. 2016, 135, 208. [Google Scholar] [CrossRef]
- Fang, H.; Kim, Y. Hydrogen-Bonded Channel-Dependent Mechanism of Long-Range Proton Transfer in the Excited-State Tautomerization of 7-Hydroxyquinoline: A Theoretical Study. Theor. Chem. Acc. 2017, 136, 28. [Google Scholar] [CrossRef]
- Mori, Y. Reaction Pathway and H/D Kinetic Isotope Effects of the Triple Proton Transfer in a 7-Hydroxyquinoline-Methanol Complex in the Ground State: A Computational Approach. J. Phys. Org. Chem. 2018, 31, e3747. [Google Scholar] [CrossRef]
- Miura, M.; Harada, J.; Ogawa, K. Temperature-Induced Reversal of Proton Tautomerism: Role of Hydrogen Bonding and Aggregation in 7-Hydroxyquinolines. J. Phys. Chem. A 2007, 111, 9854–9858. [Google Scholar] [CrossRef] [PubMed]
- Sekine, M.; Nagai, Y.; Sekiya, H.; Nakata, M. Photoinduced Hydrogen-Atom Eliminations of 6-Hydroxyquinoline and 7-Hydroxyquinoline Studied by Low-Temperature Matrix-Isolation Infrared Spectroscopy and Density-Functional-Theory Calculations. J. Phys. Chem. A 2009, 113, 8286–8298. [Google Scholar] [CrossRef]
- Nagai, Y.; Saita, K.; Sakota, K.; Nanbu, S.; Sekine, M.; Nakata, M.; Sekiya, H. Electronic Spectra of Two Long-Lived Photoproducts: Double-Proton Transfer in 7-Hydroxyquinoline Dimer in a 2-Methyltetrahydrofuran Glass Matrix. J. Phys. Chem. A 2010, 114, 5041–5048. [Google Scholar] [CrossRef]
- Lim, H.; Park, S.-Y.; Jang, D.-J. Excited-State Double Proton Transfer Dynamics of Model DNA Base Pairs: 7-Hydroxyquinoline Dimers. J. Phys. Chem. A 2010, 114, 11432–11435. [Google Scholar] [CrossRef] [PubMed]
- Sekine, M.; Nagai, Y.; Sekiya, H.; Nakata, M. Electronic Absorption Spectra of Photoreaction Intermediates of 7-Hydroxyquinoline Monomer in a Low-Temperature Argon Matrix and Time-Dependent Density-Functional-Theory Calculations. Chem. Phys. Lett. 2010, 490, 46–49. [Google Scholar] [CrossRef]
- Konijnenberg, J.; Ekelmans, G.B.; Huizer, A.H.; Varma, C.A.G.O. Mechanism and Solvent Dependence of the Solvent-Catalysed Pseudo-Intramolecular Proton Transfer of 7-Hydroxyquinoline in the First Electronically Excited Singlet State and in the Ground State of Its Tautomer. J. Chem. Soc. Faraday Trans. 2 1989, 85, 39–51. [Google Scholar] [CrossRef]
- Tang, K.-C.; Chen, C.-L.; Chuang, H.-H.; Chen, J.-L.; Chen, Y.-J.; Lin, Y.-C.; Shen, J.-Y.; Hu, W.-P.; Chou, P.-T. A Genuine Intramolecular Proton Relay System Undergoing Excited-State Double Proton Transfer Reaction. J. Phys. Chem. Lett. 2011, 2, 3063–3068. [Google Scholar] [CrossRef]
- Kumar, G.; Paul, K.; Luxami, V. Deciphering the Excited State Intramolecular Charge-Coupled Double Proton Transfer in an Asymmetric Quinoline–Benzimidazole System. New J. Chem. 2020, 44, 12866–12874. [Google Scholar] [CrossRef]
- Jalink, C.J.; van Ingen, W.M.; Huizer, A.H.; Varma, C.A.G.O. Prospects for Using Photoinduced Intramolecular Proton Transfer to Study the Dynamics of Conformational Changes in Flexible Molecular Chains. J. Chem. Soc. Faraday Trans. 1991, 87, 1103. [Google Scholar] [CrossRef]
- Jalink, C.J.; Huizer, A.H.; Varma, C.A.G.O. Rate-Limiting Action of a Proton Crane in Long-Range Intramolecular Proton Transfer. J. Chem. Soc. Faraday Trans. 1992, 88, 2655–2659. [Google Scholar] [CrossRef]
- Rehhagen, C.; Argüello Cordero, M.A.; Kamounah, F.S.; Deneva, V.; Angelov, I.; Krupp, M.; Svenningsen, S.W.; Pittelkow, M.; Lochbrunner, S.; Antonov, L. Reversible Switching Based on Truly Intramolecular Long-Range Proton Transfer─Turning the Theoretical Concept into Experimental Reality. J. Am. Chem. Soc. 2024, 146, 2043–2053. [Google Scholar] [CrossRef]
- van der Loop, T.H.; Ruesink, F.; Amirjalayer, S.; Sanders, H.J.; Buma, W.J.; Woutersen, S. Unraveling the Mechanism of a Reversible Photoactivated Molecular Proton Crane. J. Phys. Chem. B 2014, 118, 12965–12971. [Google Scholar] [CrossRef] [PubMed]
- Slavova, S.; Antonov, L. Theoretical Understanding of the Long-Range Proton Transfer Mechanism in 7-Hydroxy Quinoline-Based Molecular Switches: Varma’s Proton Crane and Its Analogues. J. Phys. Chem. A 2024, 128, 1280–1287. [Google Scholar] [CrossRef]
- Lapinski, L.; Nowak, M.J.; Nowacki, J.; Rode, M.F.; Sobolewski, A.L. A Bistable Molecular Switch Driven by Photoinduced Hydrogen-Atom Transfer. ChemPhysChem 2009, 10, 2290–2295. [Google Scholar] [CrossRef]
- Rode, M.F.; Sobolewski, A.L. Effect of Chemical Substituents on the Energetical Landscape of a Molecular Photoswitch: An Ab Initio Study. J. Phys. Chem. A 2010, 114, 11879–11889. [Google Scholar] [CrossRef]
- Csehi, A.; Illés, L.; Halász, G.J.; Vibók, Á. The Effect of Chemical Substituents on the Functionality of a Molecular Switch System: A Theoretical Study of Several Quinoline Compounds. Phys. Chem. Chem. Phys. 2013, 15, 18048–18054. [Google Scholar] [CrossRef]
- Csehi, A.; Halász, G.J.; Vibók, Á. Molecular Switch Properties of 7-Hydroxyquinoline Compounds. Int. J. Quantum Chem. 2014, 114, 1135–1145. [Google Scholar] [CrossRef]
- Slavova, S.; Antonov, L. Azaindolizine Proton Cranes Attached to 7-Hydroxyquinoline and 3-Hydroxypyridine: A Comparative Theoretical Study. Phys. Chem. Chem. Phys. 2024, 26, 7177–7189. [Google Scholar] [CrossRef] [PubMed]
- Zaharieva, L.; Nedeltcheva-Antonova, D.; Antonov, L. 8-(Pyridin-2-Yl)Quinolin-7-Ol and Beyond: Theoretical Design of Tautomeric Molecular Switches with Pyridine as a Proton Crane Unit. Chemistry 2024, 6, 1608–1621. [Google Scholar] [CrossRef]
- Zaharieva, L.; Angelov, I.; Antonov, L. Stationary External Electric Field—Mimicking the Solvent Effect on the Ground-State Tautomerism and Excited-State Proton Transfer in 8-(Benzo[d]Thiazol-2-Yl)Quinolin-7-Ol. Molecules 2024, 29, 3506. [Google Scholar] [CrossRef]
- Georgiev, A.; Yordanov, D.; Ivanova, N.; Deneva, V.; Vassilev, N.; Kamounah, F.S.; Pittelkow, M.; Crochet, A.; Fromm, K.M.; Antonov, L. 7-OH Quinoline Schiff Bases: Are They the Long Awaited Tautomeric Bistable Switches? Dye. Pigment. 2021, 195, 109739. [Google Scholar] [CrossRef]
- Woolfe, G.J.; Melzig, M.; Schneider, S.; Dörr, F. The Role of Tautomeric and Rotameric Species in the Photophysics of 2-(2′-Hydroxyphenyl)Benzoxazole. Chem. Phys. 1983, 77, 213–221. [Google Scholar] [CrossRef]
- Barbatti, M.; Aquino, A.J.A.; Lischka, H.; Schriever, C.; Lochbrunner, S.; Riedle, E. Ultrafast Internal Conversion Pathway and Mechanism in 2-(2′-Hydroxyphenyl)Benzothiazole: A Case Study for Excited-State Intramolecular Proton Transfer Systems. Phys. Chem. Chem. Phys. 2009, 11, 1406–1415. [Google Scholar] [CrossRef] [PubMed]
- Lochbrunner, S. Femtosecond Pump–Probe Spectroscopy of Photoinduced Tautomerism. In Tautomerism; Antonov, L., Ed.; Wiley: Hoboken, NJ, USA, 2013; pp. 79–102. ISBN 978-3-527-33294-6. [Google Scholar]
- LeGourriérec, D.; Kharlanov, V.A.; Brown, R.G.; Rettig, W. Excited-State Intramolecular Proton Transfer (ESIPT) in 2-(2′-Hydroxyphenyl)-Oxazole and -Thiazole. J. Photochem. Photobiol. Chem. 2000, 130, 101–111. [Google Scholar] [CrossRef]
- Frisch, M.J.; Trucks, G.W.; Schlegel, H.B.; Scuseria, G.E.; Robb, M.A.; Cheeseman, J.R.; Scalmani, G.; Barone, V.; Petersson, G.A.; Nakatsuji, H.; et al. Gaussian 16 Rev. C.01. Gaussian Inc.: Wallingford, CT, USA, 2016. [Google Scholar]
- Tomasi, J.; Mennucci, B.; Cammi, R. Quantum Mechanical Continuum Solvation Models. Chem. Rev. 2005, 105, 2999–3094. [Google Scholar] [CrossRef]
- Peng, C.; Ayala, P.Y.; Schlegel, H.B.; Frisch, M.J. Using Redundant Internal Coordinates to Optimize Equilibrium Geometries and Transition States. J. Comput. Chem. 1996, 17, 49–56. [Google Scholar] [CrossRef]
- Weinhold, F.; Landis, C.R. Valency and Bonding: A Natural Bond Orbital Donor-Acceptor Perspective; Cambridge University Press: Cambridge, UK; New York, NY, USA, 2005; ISBN 978-0-521-83128-4. [Google Scholar]
- Zhao, Y.; Truhlar, D.G. Density Functionals with Broad Applicability in Chemistry. Acc. Chem. Res. 2008, 41, 157–167. [Google Scholar] [CrossRef]
- Zhao, Y.; Truhlar, D.G. The M06 Suite of Density Functionals for Main Group Thermochemistry, Thermochemical Kinetics, Noncovalent Interactions, Excited States, and Transition Elements: Two New Functionals and Systematic Testing of Four M06-Class Functionals and 12 Other Functionals. Theor. Chem. Acc. 2008, 120, 215–241. [Google Scholar] [CrossRef]
- Weigend, F.; Ahlrichs, R. Balanced Basis Sets of Split Valence, Triple Zeta Valence and Quadruple Zeta Valence Quality for H to Rn: Design and Assessment of Accuracy. Phys. Chem. Chem. Phys. 2005, 7, 3297–3305. [Google Scholar] [CrossRef]
- Kawauchi, S.; Antonov, L. Description of the Tautomerism in Some Azonaphthols. J. Phys. Org. Chem. 2013, 26, 643–652. [Google Scholar] [CrossRef]
- Rayne, S.; Forest, K. A Comparative Examination of Density Functional Performance against the ISOL24/11 Isomerization Energy Benchmark. Comput. Theor. Chem. 2016, 1090, 147–152. [Google Scholar] [CrossRef]
- Antonov, L. Tautomerism in Azo and Azomethyne Dyes: When and If Theory Meets Experiment. Molecules 2019, 24, 2252. [Google Scholar] [CrossRef]
- Deneva, V.; Vassilev, N.G.; Hristova, S.; Yordanov, D.; Hayashi, Y.; Kawauchi, S.; Fennel, F.; Völzer, T.; Lochbrunner, S.; Antonov, L. Chercher de l’eau: The Switching Mechanism of the Rotary Switch Ethyl-2-(2-(Quinolin-8-Yl)Hydrazono)-2-(Pyridin-2-Yl)Acetate. Comput. Mater. Sci. 2020, 177, 109570. [Google Scholar] [CrossRef]
- Bauernschmitt, R.; Ahlrichs, R. Treatment of Electronic Excitations within the Adiabatic Approximation of Time Dependent Density Functional Theory. Chem. Phys. Lett. 1996, 256, 454–464. [Google Scholar] [CrossRef]
- Improta, R. UV-Visible Absorption and Emission Energies in Condensed Phase by PCM/TD-DFT Methods. In Computational Strategies for Spectroscopy; Barone, V., Ed.; John Wiley & Sons, Inc.: Hoboken, NJ, USA, 2011; pp. 37–75. ISBN 978-1-118-00872-0. [Google Scholar]
- Liu, J.; Liang, W. Analytical Approach for the Excited-State Hessian in Time-Dependent Density Functional Theory: Formalism, Implementation, and Performance. J. Chem. Phys. 2011, 135, 184111. [Google Scholar] [CrossRef]
- Yanai, T.; Tew, D.P.; Handy, N.C. A New Hybrid Exchange–Correlation Functional Using the Coulomb-Attenuating Method (CAM-B3LYP). Chem. Phys. Lett. 2004, 393, 51–57. [Google Scholar] [CrossRef]
- Li, R.; Zheng, J.; Truhlar, D.G. Density Functional Approximations for Charge Transfer Excitations with Intermediate Spatial Overlap. Phys. Chem. Chem. Phys. 2010, 12, 12697. [Google Scholar] [CrossRef]
- Wang, J.; Durbeej, B. How Accurate Are TD-DFT Excited-state Geometries Compared to DFT Ground-state Geometries? J. Comput. Chem. 2020, 41, 1718–1729. [Google Scholar] [CrossRef] [PubMed]
- Mahato, B.; Panda, A.N. Assessing the Performance of DFT Functionals for Excited-State Properties of Pyridine-Thiophene Oligomers. J. Phys. Chem. A 2021, 125, 115–125. [Google Scholar] [CrossRef] [PubMed]
- Sarkar, R.; Boggio-Pasqua, M.; Loos, P.-F.; Jacquemin, D. Benchmarking TD-DFT and Wave Function Methods for Oscillator Strengths and Excited-State Dipole Moments. J. Chem. Theory Comput. 2021, 17, 1117–1132. [Google Scholar] [CrossRef] [PubMed]
- Louant, O.; Champagne, B.; Liégeois, V. Investigation of the Electronic Excited-State Equilibrium Geometries of Three Molecules Undergoing ESIPT: A RI-CC2 and TDDFT Study. J. Phys. Chem. A 2018, 122, 972–984. [Google Scholar] [CrossRef]
- Rode, M.F.; Nedeltcheva-Antonova, D.; Antonov, L. Long-Range Proton Transfer in 7-Hydroxy-Quinoline-Based Azomethine Dyes: A Hidden Reason for the Low Efficiency. Molecules 2022, 27, 8225. [Google Scholar] [CrossRef]
- Guo, Y.; Riplinger, C.; Becker, U.; Liakos, D.G.; Minenkov, Y.; Cavallo, L.; Neese, F. Communication: An Improved Linear Scaling Perturbative Triples Correction for the Domain Based Local Pair-Natural Orbital Based Singles and Doubles Coupled Cluster Method [DLPNO-CCSD(T)]. J. Chem. Phys. 2018, 148, 011101. [Google Scholar] [CrossRef]
- Berraud-Pache, R.; Neese, F.; Bistoni, G.; Izsák, R. Unveiling the Photophysical Properties of Boron-Dipyrromethene Dyes Using a New Accurate Excited State Coupled Cluster Method. J. Chem. Theory Comput. 2020, 16, 564–575. [Google Scholar] [CrossRef]
- Becke, A.D. Density-functional Thermochemistry. III. The Role of Exact Exchange. J. Chem. Phys. 1993, 98, 5648–5652. [Google Scholar] [CrossRef]
- Nedeltcheva-Antonova, D.; Antonov, L. Ground-State Tautomerism and Excited-State Proton Transfer in 7-Hydroxy-4-Methyl-8-((Phenylimino)Methyl)-2H-Chromen-2-One as a Potential Proton Crane. Physchem 2024, 4, 91–105. [Google Scholar] [CrossRef]






| Tautomer | O | Nthiazolyl | Nquinolyl |
|---|---|---|---|
| E | −0.662 | −0.505 | −0.444 |
| KE | −0.685 | −0.511 | −0.461 |
| KK | −0.642 | −0.522 | −0.504 |
| K | −0.634 | −0.532 | −0.479 |
| E | TS(E-KE) | KE | TS(KE-KK) | KK | TS(KK-K) | K | |
|---|---|---|---|---|---|---|---|
| HQBT | 0.00 | 3.97 | 5.08 | 31.85 | 6.44 | 8.26 | 5.87 |
| 4F | 0.00 | 4.90 | 6.12 | 33.53 | 6.76 | 7.79 | 4.99 |
| 4CN | 0.00 | 5.70 | 6.78 | 35.89 | 6.69 | 7.21 | 3.55 |
| 5F | 0.00 | 4.33 | 5.56 | 33.21 | 6.70 | 8.17 | 5.32 |
| 5CF3 | 0.00 | 4.56 | 5.81 | 34.87 | 7.32 | 8.73 | 5.63 |
| 5CN | 0.00 | 4.95 | 6.03 | 35.04 | 7.10 | 8.28 | 5.12 |
| 5NO2 | 0.00 | 5.19 | 6.28 | 35.71 | 7.12 | 8.22 | 4.84 |
| 5NMe2 | 0.00 | 3.19 | 4.48 | 29.58 | 5.78 | 8.12 | 6.99 |
| 5NHMe2+ | 0.00 | - | - | 40.90 | 9.23 | 9.77 | 5.34 |
| 6F | 0.00 | 4.51 | 5.74 | 33.17 | 7.11 | 8.67 | 5.79 |
| 6CN | 0.00 | 4.74 | 5.85 | 35.07 | 7.12 | 8.38 | 5.44 |
| 6NO2 | 0.00 | 4.79 | 5.96 | 35.74 | 7.16 | 8.34 | 5.32 |
| 7F | 0.00 | 4.45 | 5.67 | 33.67 | 7.12 | 8.51 | 5.97 |
| 7CN | 0.00 | 4.96 | 6.13 | 35.39 | 7.80 | 9.08 | 5.76 |
| 5NMe2 | HQBT | 5NO2 | ||||
|---|---|---|---|---|---|---|
| ΔE | ΔG | ΔE | ΔG | ΔE | ΔG | |
| E* | 0.0 (1.45) | 0.55 (1.93) | 1.62 (2.82) | 2.35 (3.23) | 1.26 (2.42) | 2.35 (2.81) |
| TS(E*-KE*) | 3.80 (4.30) | 1.20 (2.12) | 3.87 (4.84) | 1.74 (2.67) | 3.62 (4.58) | 1.44 (2.29) |
| KE* | 0.52 (0.0) | 0.0 (0.0) | 0.0 (0.0) | 0.0 (0.0) | 0.0 (0.0) | 0.0 (0.0) |
Disclaimer/Publisher’s Note: The statements, opinions and data contained in all publications are solely those of the individual author(s) and contributor(s) and not of MDPI and/or the editor(s). MDPI and/or the editor(s) disclaim responsibility for any injury to people or property resulting from any ideas, methods, instructions or products referred to in the content. |
© 2025 by the authors. Licensee MDPI, Basel, Switzerland. This article is an open access article distributed under the terms and conditions of the Creative Commons Attribution (CC BY) license (https://creativecommons.org/licenses/by/4.0/).
Share and Cite
Nedeltcheva-Antonova, D.; Antonov, L. Improving the Long-Range Intramolecular Proton Transfer—Further Molecular Design of the Successful Molecular Switch 8-(Benzo[d]thiazol-2-yl)quinolin-7-ol (HQBT). Molecules 2025, 30, 1935. https://doi.org/10.3390/molecules30091935
Nedeltcheva-Antonova D, Antonov L. Improving the Long-Range Intramolecular Proton Transfer—Further Molecular Design of the Successful Molecular Switch 8-(Benzo[d]thiazol-2-yl)quinolin-7-ol (HQBT). Molecules. 2025; 30(9):1935. https://doi.org/10.3390/molecules30091935
Chicago/Turabian StyleNedeltcheva-Antonova, Daniela, and Liudmil Antonov. 2025. "Improving the Long-Range Intramolecular Proton Transfer—Further Molecular Design of the Successful Molecular Switch 8-(Benzo[d]thiazol-2-yl)quinolin-7-ol (HQBT)" Molecules 30, no. 9: 1935. https://doi.org/10.3390/molecules30091935
APA StyleNedeltcheva-Antonova, D., & Antonov, L. (2025). Improving the Long-Range Intramolecular Proton Transfer—Further Molecular Design of the Successful Molecular Switch 8-(Benzo[d]thiazol-2-yl)quinolin-7-ol (HQBT). Molecules, 30(9), 1935. https://doi.org/10.3390/molecules30091935

