Ionic Liquids as Starch Plasticizers: The State of the Art
Abstract
1. Introduction
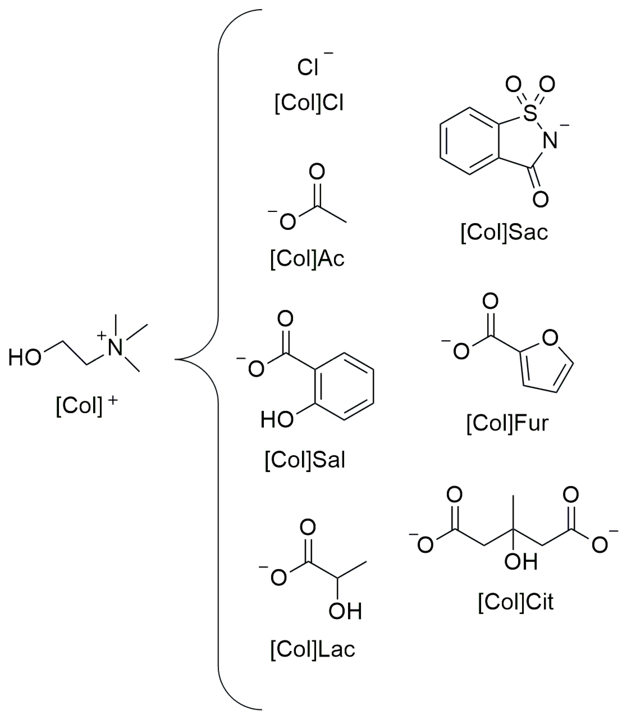
1.1. Starch Plasticized by Imidazolium Ionic Liquids
1.2. Starch Plasticized by Bio Ionic Liquids

2. Conclusions
Funding
Institutional Review Board Statement
Informed Consent Statement
Data Availability Statement
Conflicts of Interest
References
- Mezzetta, A.; Guglielmero, L.; Mero, A.; Tofani, G.; D’Andrea, F.; Pomelli, C.S.; Guazzelli, L. Expanding the Chemical Space of Benzimidazole Dicationic Ionic Liquids. Molecules 2021, 26, 4211. [Google Scholar] [CrossRef] [PubMed]
- Billeci, F.; D’Anna, F.; Feroci, M.; Cancemi, P.; Feo, S.; Forlino, A.; Tonnelli, F.; Seddon, K.R.; Gunaratne, H.N.; Plechkova, N.V. When functionalization becomes useful: Ionic liquids with a “sweet” appended moiety demonstrate drastically reduced toxicological effects. ACS Sustain. Chem. Eng. 2019, 8, 926–938. [Google Scholar] [CrossRef]
- Pandolfi, F.; Bortolami, M.; Feroci, M.; Fornari, A.; Scarano, V.; Rocco, D. Recent advances in imidazolium-based dicationic ionic liquids as organocatalysts: A mini-review. Materials 2022, 15, 866. [Google Scholar] [CrossRef] [PubMed]
- Rocco, D.; Folgueiras-Amador, A.A.; Brown, R.C.; Feroci, M. First example of organocatalysis by cathodic N-heterocyclic carbene generation and accumulation using a divided electrochemical flow cell. Beil. J. Org. Chem. 2022, 18, 979–990. [Google Scholar] [CrossRef]
- Zhao, H.; Xia, S.; Ma, P. Use of ionic liquids as “green” solvents for extractions. J. Chem. Technol. Biotechnol. 2005, 80, 1089–1096. [Google Scholar] [CrossRef]
- Dietz, M.L. Ionic liquids as extraction solvents: Where do we stand? Sep. Sci. Technol. 2006, 41, 2047–2063. [Google Scholar] [CrossRef]
- Flieger, J.; Grushka, E.B.; Czajkowska-Zelazko, A. Ionic liquids as solvents in separation processes. Austin J. Anal. Pharm. Chem. 2014, 1, 1–8. [Google Scholar]
- MacFarlane, D.R.; Tachikawa, N.; Forsyth, M.; Pringle, J.M.; Howlett, P.C.; Elliott, G.D.; Davis, J.H., Jr.; Watanabe, M.; Simon, P.; Angell, C.A. Energy applications of ionic liquids. Energy Environ. Sci. 2014, 7, 232–250. [Google Scholar] [CrossRef]
- Lo Schiavo, S.; De Leo, F.; Urzì, C. Present and future perspectives for biocides and antifouling products for stone-built cultural heritage: Ionic liquids as a challenging alternative. Appl. Sci. 2020, 10, 6568. [Google Scholar] [CrossRef]
- Biswas, A.; Shogren, R.L.; Stevenson, D.G.; Willett, J.L.; Bhowmik, P.K. Ionic Liquids as Solvents for Biopolymers: Acylation of Starch and Zein Protein. Carbohydr. Polym. 2006, 66, 546–550. [Google Scholar] [CrossRef]
- El Seoud, O.A.; Koschella, A.; Fidale, L.C.; Dorn, S.; Heinze, T. Applications of Ionic Liquids in Carbohydrate Chemistry: A Window of Opportunities. Biomacromol. 2007, 8, 2629–2647. [Google Scholar] [CrossRef] [PubMed]
- Wilpiszewska, K.; Spychaj, T. Ionic Liquids: Media for Starch Dissolution, Plasticization and Modification. Carbohydr. Polym. 2011, 86, 424–428. [Google Scholar] [CrossRef]
- Zakrzewska, M.E.; Bogel-Łukasik, E.; Bogel-Łukasik, R. Solubility of Carbohydrates in Ionic Liquids. Energy Fuels 2010, 24, 737–745. [Google Scholar] [CrossRef]
- Xie, F.; Pollet, E.; Halley, P.J.; Avérous, L. Starch-based nano-biocomposites. Prog. Polym. Sci. 2013, 38, 1590–1628. [Google Scholar] [CrossRef]
- Wang, Q.; Xu, Y.; Xu, P.; Yang, W.; Chen, M.; Dong, W.; Ma, P. Crystallization of microbial polyhydroxyalkanoates: A review. Int. J. Biol. Macromol. 2022, 209, 330–343. [Google Scholar] [CrossRef]
- Baranwal, J.; Barse, B.; Fais, A.; Delogu, G.L.; Kumar, A. Biopolymer: A sustainable material for food and medical applications. Polymers 2022, 14, 983. [Google Scholar] [CrossRef]
- Khan, B.; Bilal Khan Niazi, M.; Samin, G.; Jahan, Z. Thermoplastic starch: A possible biodegradable food packaging material—A review. J. Food Proc. Eng. 2017, 40, e12447. [Google Scholar] [CrossRef]
- Mohammadi Nafchi, A.; Moradpour, M.; Saeidi, M.; Alias, A.K. Thermoplastic starches: Properties, challenges, and prospects. Starch 2013, 65, 61–72. [Google Scholar] [CrossRef]
- Liu, H.; Xie, F.; Yu, L.; Chen, L.; Li, L. Thermal processing of starch-based polymers. Prog. Polym. Sci. 2009, 34, 1348–1368. [Google Scholar] [CrossRef]
- Laohakunjit, N.; Noomhorm, A. Effect of plasticizers on mechanical and barrier properties of rice starch film. Starch–Stärke 2004, 56, 348–356. [Google Scholar] [CrossRef]
- Pushpadass, H.A.; Marx, D.B.; Hanna, M.A. Effects of extrusion temperature and plasticizers on the physical and functional properties of starch films. Starch–Stärke 2008, 60, 527–538. [Google Scholar] [CrossRef]
- Montilla-Buitrago, C.E.; Gómez-López, R.A.; Solanilla-Duque, J.F.; Serna-Cock, L.; Villada-Castillo, H.S. Effect of Plasticizers on Properties, Retrogradation, and Processing of Extrusion-Obtained Thermoplastic Starch: A Review. Starch/Staerke 2021, 73, 2100060. [Google Scholar] [CrossRef]
- Arakelyan, L.A.; Arkhipova, D.M.; Seitkalieva, M.M.; Vavina, A.V.; Sahharova, L.T.; Kurbanalieva, S.K.; Posvyatenko, A.V.; Egorova, K.S.; Ananikov, V.P. A Comprehensive Dataset on Cytotoxicity of Ionic Liquids. Sci. Data 2024, 11, 1379. [Google Scholar] [CrossRef] [PubMed]
- Ptak, S.; Zarski, A.; Kapusniak, J. The importance of ionic liquids in the modification of starch and processing of starch-based materials. Materials 2020, 13, 4479. [Google Scholar] [CrossRef] [PubMed]
- Ning, W.; Xingxiang, Z.; Haihui, L.; Benqiao, H. 1-Allyl-3-methylimidazolium chloride plasticized-corn starch as solid biopolymer electrolytes. Carbohydr. Polym. 2009, 76, 482–484. [Google Scholar] [CrossRef]
- Ma, X.F.; Yu, J.G.; He, K. Thermoplastic starch plasticized by glycerol as solid polymer electrolytes. Macromol. Mat. Eng. 2006, 291, 1407–1413. [Google Scholar] [CrossRef]
- Yang, J.H.; Yu, J.G.; Ma, X.F. Preparation of a novel thermoplastic starch (TPS). Material using ethylenebisformamide as the plasticizer. Starch 2006, 58, 330–337. [Google Scholar] [CrossRef]
- Sankri, A.; Arhaliass, A.; Dez, I.; Gaumont, A.C.; Grohens, Y.; Lourdin, D.; Pillin, I.; Rolland-Sabaté, A.; Leroy, E. Thermoplastic starch plasticized by an ionic liquid. Carbohydr. Polym. 2010, 82, 256–263. [Google Scholar] [CrossRef]
- Heng, H.; Deng, Q.; Yang, Y.; Wang, F. Recent research progress of ionic liquid dissolving silks for biomedicine and tissue engineering applications. Int. J. Mol. Sci. 2022, 23, 8706. [Google Scholar] [CrossRef]
- Hanke, C.G.; Atamas, N.A.; Lynden-Bell, R.M. Solvation of small molecules in imidazolium ionic liquids: A simulation study. Green Chem. 2002, 4, 107–111. [Google Scholar] [CrossRef]
- Zdanowicz, M.; Spychaj, T. Ionic liquids as starch plasticizers or solvents. Polimery 2011, 56, 861–864. [Google Scholar] [CrossRef]
- Kong, L.; Lee, C.; Kim, S.H.; Ziegler, G.R. Characterization of Starch Polymorphic Structures Using Vibrational Sum Frequency Generation Spectroscopy. J. Phys. Chem. B 2014, 118, 1775–1783. [Google Scholar] [CrossRef] [PubMed]
- Shamshina, J.L.; Berton, P. Renewable Biopolymers Combined with Ionic Liquids for the Next Generation of Supercapacitor Materials. Int. J. Mol. Sci. 2023, 24, 7866. [Google Scholar] [CrossRef] [PubMed]
- Ning, W.; Xingxiang, Z.; Haihui, L.; Na, H. Ionically Conducting Polymers Based on Ionic Liquid-Plasticized Starch Containing Lithium Chloride. Polym. Polym. Compos. 2010, 18, 53–58. [Google Scholar] [CrossRef]
- Liew, C.W.; Ramesh, S.; Ramesh, K.; Arof, A.K. Preparation and characterization of lithium ion conducting ionic liquid-based biodegradable corn starch polymer electrolytes. J. Solid State Electrochem. 2012, 16, 1869–1875. [Google Scholar] [CrossRef]
- Bendaoud, A.; Chalamet, Y. Effects of relative humidity and ionic liquids on the water content and glass transition of plasticized starch. Carbohydr. Polym. 2013, 97, 665–675. [Google Scholar] [CrossRef]
- Xie, F.; Flanagan, B.M.; Li, M.; Sangwan, P.; Truss, R.W.; Halley, P.J.; Strounina, E.V.; Whittaker, A.K.; Gidley, M.J.; Dean, K.M.; et al. Characteristics of starch-based films plasticised by glycerol and by the ionic liquid 1-ethyl-3-methylimidazolium acetate: A comparative study. Carbohydr. Polym. 2014, 111, 841–848. [Google Scholar] [CrossRef]
- Cheetham, N.W.H.; Tao, L. Variation in crystalline type with amylose content in maize starch granules: An X-ray powder diffraction study. Carbohydr. Polym. 1998, 36, 277–284. [Google Scholar] [CrossRef]
- Tan, I.; Flanagan, B.M.; Halley, P.J.; Whittaker, A.K.; Gidley, M.J. A methodfor estimating the nature and relative proportions of amorphous, single, and double-helical components in starch granules by13C CP/MAS NMR. Biomacromolecules 2007, 8, 885–891. [Google Scholar] [CrossRef]
- Pérez, S.; Bertoft, E. The Molecular Structures of Starch Components and Their Contribution to the Architecture of Starch Granules: A Comprehensive Review. Starch 2010, 62, 389–420. [Google Scholar] [CrossRef]
- Xie, F.; Flanagan, B.M.; Li, M.; Truss, R.W.; Halley, P.J.; Gidley, M.J.; McNally, T.; Shamshina, J.L.; Rogers, R.D. Characteristics of starch-based films with different amylose contents plasticised by 1-ethyl-3-methylimidazolium acetate. Carbohydr. Polym. 2015, 122, 160–168. [Google Scholar] [CrossRef] [PubMed]
- Zhang, Y.; Rempel, C. Retrogradation and Antiplasticization of Thermoplastic Starch. In Thermoplastic Elastomers; InTech: London, UK, 2012. [Google Scholar]
- Zhang, B.; Xie, F.; Shamshina, J.L.; Rogers, R.D.; McNally, T.; Wang, D.K.; Halley, P.J.; Truss, R.W.; Zhao, S.; Chen, L. Facile preparation of starch-based electroconductive films with ionic liquid. ACS Sus. Chem. Eng. 2017, 5, 5457–5467. [Google Scholar] [CrossRef]
- Liu, D.; Qi, Z.; Zhang, Y.; Xu, J.; Guo, B. Poly (butylene succinate)(PBS)/ionic liquid plasticized starch blends: Preparation, characterization, and properties. Starch 2015, 67, 802–809. [Google Scholar] [CrossRef]
- Zhao, Z.; Lei, B.; Du, W.; Zhang, X. The effects of inorganic salts with different anions on the structure and properties of starch/poly (butylene succinate) blends plasticized with ionic liquid. Polymers 2019, 11, 2004. [Google Scholar] [CrossRef]
- Bendaoud, A.; Chalamet, Y. Effect of a supercritical fluid on starch-based polymer processed with ionic liquid. Eur. Polym. J. 2015, 63, 237–246. [Google Scholar] [CrossRef]
- Ayoub, A.; Rizvi, S.S. Reactive supercritical fluid extrusion for development of moisture resistant starch-based foams. J. Appl. Polym. Sci. 2011, 120, 2242–2250. [Google Scholar] [CrossRef]
- Ren, J.; Zhang, W.; Lou, F.; Wang, Y.; Guo, W. Characteristics of starch-based films produced using glycerol and 1-butyl-3-methylimidazolium chloride as combined plasticizers. Starch 2017, 69, 1600161. [Google Scholar] [CrossRef]
- Ismail, S.; Mansor, N.; Majeed, Z.; Man, Z. Effect of water and [Emim][OAc] as plasticizer on gelatinization of starch. Procedia Eng. 2016, 148, 524–529. [Google Scholar] [CrossRef]
- Edhirej, A.; Sapuan, S.M.; Jawaid, M.; Zahari, N.I. Effect of various plasticizers and concentration on the physical, thermal, mechanical, and structural properties of cassava-starch-based films. Starch 2017, 69, 1500366. [Google Scholar] [CrossRef]
- Ismail, S.; Mansor, N.; Man, Z. A Study on Thermal Behaviour of Thermoplastic Starch Plasticized by [Emim] Ac and by [Emim] Cl. Procedia Eng. 2017, 184, 567–572. [Google Scholar] [CrossRef]
- Domene-López, D.; Delgado-Marín, J.J.; Martin-Gullon, I.; García-Quesada, J.C.; Montalbán, M.G. Comparative study on properties of starch films obtained from potato, corn and wheat using 1-ethyl-3-methylimidazolium acetate as plasticizer. Int. J. Biol. Macromol. 2019, 135, 845–854. [Google Scholar] [CrossRef] [PubMed]
- Zhang, B.; Zhao, Y.; Li, X.; Zhang, P.; Li, L.; Xie, F.; Chen, L. Effects of amylose and phosphate monoester on aggregation structures of heat-moisture treated potato starches. Carbohydr. Polym. 2014, 103, 228–233. [Google Scholar] [CrossRef] [PubMed]
- Abera, G.; Woldeyes, B.; Demash, H.D.; Miyake, G. The effect of plasticizers on thermoplastic starch films developed from the indigenous Ethiopian tuber crop Anchote (Coccinia abyssinica) starch. Int. J. Biol. Macromol. 2020, 155, 581–587. [Google Scholar] [CrossRef] [PubMed]
- Romano, S.; De Santis, S.; Martinelli, A.; Rocchi, L.A.; Rocco, D.; Sotgiu, G.; Orsini, M. Starch films plasticized by imidazolium-based ionic liquids: Effect of mono-and dicationic structures and different anions. ACS Appl. Polym. Mat. 2023, 5, 8859–8868. [Google Scholar] [CrossRef]
- Rocco, D.; Chiarotto, I.; D’Anna, F.; Mattiello, L.; Pandolfi, F.; Rizzo, C.; Feroci, M. Cathodic behaviour of dicationic imidazolium bromides: The role of the spacer. ChemElectroChem 2019, 6, 4275–4283. [Google Scholar] [CrossRef]
- Colomines, G.; Decaen, P.; Lourdin, D.; Leroy, E. Biofriendly Ionic Liquids for Starch Plasticization: A Screening Approach. RSC Adv. 2016, 6, 90331–90337. [Google Scholar] [CrossRef]
- Decaen, P.; Rolland-Sabaté, A.; Guilois, S.; Jury, V.; Allanic, N.; Colomines, G.; Lourdin, D.; Leroy, E. Choline Chloride vs Choline Ionic Liquids for Starch Thermoplasticization. Carbohydr. Polym. 2017, 177, 424–432. [Google Scholar] [CrossRef]
- Myllymaki, O.; Eerikainen, T.; Suortti, T.; Forssell, P.; Linko, P.; Poutanen, K. Depolymerization of barley starch during extrusion in water glycerol mixtures. Food Sci. Technol. 1997, 30, 351–358. [Google Scholar] [CrossRef]
- van den Einde, R.M.; Akkermans, C.; van der Goot, A.J.; Boom, R.M. Molecular breakdown of corn starch by thermal and mechanical effects. Carbohydr. Polym. 2004, 56, 415–422. [Google Scholar] [CrossRef]
- Sciarini, L.S.; Rolland-Sabate, A.; Guilois, S.; Decaen, P.; Leroy, E.; Le Bail, P. Understanding the destructuration of starch in water-ionic liquid mixtures. Green Chem. 2015, 17, 291–299. [Google Scholar] [CrossRef]
- Decaen, P.; Rolland-Sabaté, A.; Colomines, G.; Guilois, S.; Lourdin, D.; Della Valle, G.; Leroy, E. Influence of Ionic Plasticizers on the Processing and Viscosity of Starch Melts. Carbohydr. Polym. 2020, 230, 115591. [Google Scholar] [CrossRef] [PubMed]
- Crucean, D.; Pontoire, B.; Debucquet, G.; Le-Bail, A.; Le-Bail, P. Influence of the Presence of Choline Chloride on the Classical Mechanism of “Gelatinization” of Starch. Polymers 2021, 13, 1509. [Google Scholar] [CrossRef] [PubMed]
- Luchese, C.L.; Uranga, J.; Spada, J.C.; Tessaro, I.C.; de la Caba, K. Valorisation of blueberry waste and use of compression to manufacture sustainable starch films with enhanced properties. Int. J. Biol. Macromol. 2018, 115, 955–960. [Google Scholar] [CrossRef] [PubMed]
- Verbeek, C.J.; Van Den Berg, L.E. Extrusion processing and properties of protein-based thermoplastics. Macromol. Mater. Eng. 2010, 295, 10–21. [Google Scholar] [CrossRef]
- Pushpadass, H.A.; Marx, D.B.; Wehling, R.L.; Hanna, M.A. Extrusion and characterization of starch films. Cereal Chem. 2009, 86, 44–51. [Google Scholar] [CrossRef]










| IL | Starch Crystallinity | Tg (°C) a | Tdeg (°C) b | Young Modulus (MPa) | Tensile Strength (MPa) | Elongation at Break (%) | σ (S cm−1) c | Conditions d | Ref. |
|---|---|---|---|---|---|---|---|---|---|
![]() | A-type | - | - | - | - | - | 10−1.6 (30%) | RH = 50% SC | [22] |
| −49 (30%) −62 (40%) | - | - | - | - | - | RH = 35% TC | [33] | ||
![]() | A-type | −28 (30%) −59 (40%) | - | - | - | - | - | RH = 35% TC | [33] |
| - | 261 (40%) | 14 (40%) | 1 (40%) | 22 (40%) | 10−5 (40%) | RH = 50% SC | [52] | ||
![]() | A-type | −28 (30%) −59 (40%) | - | - | - | - | - | RH = 35% TC | [33] |
| B-type | - | 266 (30%) | 50 (30%) | 5 (30%) | 20 (30%) | - | RH = 52% TC | [34] | |
| A-type | - | 266 (30%) | 50 (30%) | 5 (30%) | 65 (30%) | - | RH = 52% TC | [34] | |
| A-type | - | 265 (30%) | 150 (30%) | 10 (30%) | 80 (30%) | - | RH = 33% TC | [38] | |
| B-type | - | 260 (30%) 260 (40%) | 105 (30%) 50 (40%) | 6 (30%) 4 (40%) | 49 (30%) 43 (40%) | - | RH = 50% SC | [51] | |
| A-type | - | 269 (40%) | 53 (40%) | 3 (40%) | 42 (40%) | 10−6 (40%) | RH = 50% SC | [52] | |
![]() | A-type | −13 (30%) | - | 0.5 (30%) | 0.6 (30%) | 392 (30%) | 10−4.6 (30%) | RH = 50% TC | [25] |
| −60 (30%) −87 (40%) | - | - | - | - | - | RH = 35% TC | [33] | ||
| - | - | - | 1.5 (30%) | 316 (30%) | - | RH = 33% TC | [45] | ||
| - | 255 (30%) | - | 0.8 (30%) | 350 (30%) | - | RH = 52% TC | [45] | ||
![]() | A-type | −22 (30%) | - | - | - | - | 10−4 (30%) | RH = nr e SC | [32] |
Disclaimer/Publisher’s Note: The statements, opinions and data contained in all publications are solely those of the individual author(s) and contributor(s) and not of MDPI and/or the editor(s). MDPI and/or the editor(s) disclaim responsibility for any injury to people or property resulting from any ideas, methods, instructions or products referred to in the content. |
© 2025 by the authors. Licensee MDPI, Basel, Switzerland. This article is an open access article distributed under the terms and conditions of the Creative Commons Attribution (CC BY) license (https://creativecommons.org/licenses/by/4.0/).
Share and Cite
Romano, S.; De Santis, S.; Frezza, C.; Orsini, M.; Sotgiu, G.; Feroci, M.; Rocco, D. Ionic Liquids as Starch Plasticizers: The State of the Art. Molecules 2025, 30, 1035. https://doi.org/10.3390/molecules30051035
Romano S, De Santis S, Frezza C, Orsini M, Sotgiu G, Feroci M, Rocco D. Ionic Liquids as Starch Plasticizers: The State of the Art. Molecules. 2025; 30(5):1035. https://doi.org/10.3390/molecules30051035
Chicago/Turabian StyleRomano, Susanna, Serena De Santis, Chiara Frezza, Monica Orsini, Giovanni Sotgiu, Marta Feroci, and Daniele Rocco. 2025. "Ionic Liquids as Starch Plasticizers: The State of the Art" Molecules 30, no. 5: 1035. https://doi.org/10.3390/molecules30051035
APA StyleRomano, S., De Santis, S., Frezza, C., Orsini, M., Sotgiu, G., Feroci, M., & Rocco, D. (2025). Ionic Liquids as Starch Plasticizers: The State of the Art. Molecules, 30(5), 1035. https://doi.org/10.3390/molecules30051035






