Synthesis of Lignocellulose-Based Poly(Butylene 3-Propyladipate-Co-Furanoate): Replacing Adipate
Abstract
1. Introduction
2. Results and Discussion
2.1. Chain Structure and Sequence of Copolyesters
2.2. Thermal Properties
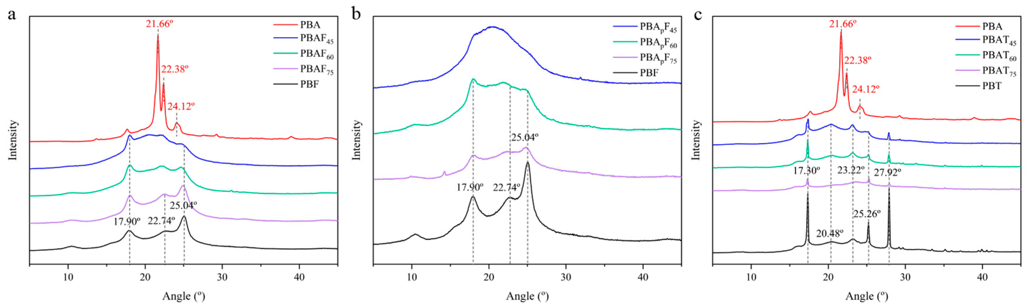
2.3. Crystal Structures
2.4. Mechanical Properties
2.5. Rheological Properties
2.6. Enzymatic Degradation
3. Experimental Procedure
3.1. Materials
3.2. Synthesis of Copolyesters
3.3. Characterization
3.4. Biodegradation Analysis
4. Conclusions
Supplementary Materials
Author Contributions
Funding
Institutional Review Board Statement
Informed Consent Statement
Data Availability Statement
Conflicts of Interest
References
- Gandini, A. The irruption of polymers from renewable resources on the scene of macromolecular science and technology. Green Chem. 2011, 13, 1061–1083. [Google Scholar] [CrossRef]
- Gallezot, P. Conversion of biomass to selected chemical products. Chem. Soc. Rev. 2012, 41, 1538–1558. [Google Scholar] [CrossRef]
- Moreau, C.; Belgacem, M.N.; Gandini, A. Recent catalytic advances in the chemistry of substituted furans from carbohydrates and in the ensuing polymers. Top. Catal. 2004, 27, 11–30. [Google Scholar] [CrossRef]
- Gandini, A. Furans as offspring of sugars and polysaccharides and progenitors of a family of remarkable polymers: A review of recent progress. Polym. Chem. 2010, 1, 245–251. [Google Scholar] [CrossRef]
- Okada, M.; Tachikawa, K.; Aoi, K. Biodegradable polymers based on renewable resources. III. copolyesters composed of 1,4:3,6-dianhydro-D-glucitol, 1,1-bis(5-carboxy-2-furyl)ethane and aliphatic dicarboxylic acid units. J. Appl. Polym. Sci. 2015, 74, 3342–3350. [Google Scholar] [CrossRef]
- Mialon, L.; Pemba, A.G.; Miller, S.A. Biorenewable polyethylene terephthalate mimics derived from lignin and acetic acid. Green Chem. 2010, 12, 1704–1706. [Google Scholar] [CrossRef]
- Gandini, A. Polymers from Renewable Resources: A Challenge for the Future of Macromolecular Materials. Macromolecules 2008, 41, 9491–9504. [Google Scholar] [CrossRef]
- Corma, A.; Iborra, S.; Velty, A. Chemical Routes for the Transformation of Biomass into Chemicals. ChemInform 2007, 38, 2411–2502. [Google Scholar] [CrossRef]
- Mitiakoudis, A.; Gandini, A. Synthesis and characterization of furanic polyamides. Macromolecules 1991, 24, 830–835. [Google Scholar] [CrossRef]
- Gandini, A.; Belgacem, M.N. Furan Derivatives and Furan Chemistry at the Service of Macromolecular Materials. In Monomers, Polymers and Composites from Renewable Resources; Elsevier: Amsterdam, The Netherlands, 2008; pp. 115–152. [Google Scholar] [CrossRef]
- Papageorgiou, G.Z.; Papageorgiou, D.G.; Terzopoulou, Z.; Bikiaris, D.N. Production of bio-based 2,5-furan dicarboxylate polyesters: Recent progress and critical aspects in their synthesis and thermal properties. Eur. Polym. J. 2016, 83, 202–229. [Google Scholar] [CrossRef]
- Werpy, T.; Petersen, G.; Aden, A.; Bozell, J.; Holladay, J.; White, J.; Manheim, A.; Elliot, D.; Lasure, L.; Jones, S.; et al. Top Value Added Chemicals from Biomass; NATO Advanced Science Institutes: Gallipoli, Italy, 2004. [Google Scholar] [CrossRef]
- Bozell, J.J.; Petersen, G.R. Technology development for the production of biobased products from biorefinery carbohydrates—The US Department of Energy’s “Top 10” revisited. Green Chem. 2010, 12, 539–554. [Google Scholar] [CrossRef]
- Tong, X.; Ma, Y.; Li, Y. Biomass into chemicals: Conversion of sugars to furan derivatives by catalytic processes. Appl. Catal. A Gen. 2010, 385, 1–13. [Google Scholar] [CrossRef]
- Casanova, O.; Iborra, S.; Corma, A. Biomass into chemicals: Aerobic oxidation of 5-hydroxymethyl-2-furfural into 2,5-furandicarboxylic acid with gold nanoparticle catalysts. Chemsuschem 2009, 2, 1138–1144. [Google Scholar] [CrossRef] [PubMed]
- Gupta, N.K.; Nishimura, S.; Takagaki, A.; Ebitani, K. Hydrotalcite-supported gold-nanoparticle-catalyzed highly efficient base-free aqueous oxidation of 5-hydroxymethylfurfural into 2,5-furandicarboxylic acid under atmospheric oxygen pressure. Green Chem. 2011, 13, 824–827. [Google Scholar] [CrossRef]
- Ribeiro, M.L.; Schuchardt, U. Cooperative effect of cobalt acetylacetonate and silica in the catalytic cyclization and oxidation of fructose to 2,5-furandicarboxylic acid. Catal. Commun. 2003, 4, 83–86. [Google Scholar] [CrossRef]
- Moore, J.A.; Kelly, J.E. Polyesters Derived from Furan and Tetrahydrofuran Nuclei. Macromolecules 1978, 11, 568–573. [Google Scholar] [CrossRef]
- Moore, J.; Kelly, J. Polymerization of furandicarbonyl chloride with bisphenol A poly(2,5-furandiylcarbonyloxy-1,4-phenylenedimethylmethylene-1,4-phenyleneoxycarbonyl). Polymer 1979, 20, 627–628. [Google Scholar] [CrossRef]
- Gomes, M.; Gandini, A.; Silvestre, A.J.D.; Reis, B. Synthesis and characterization of poly(2,5-furan dicarboxylate)s based on a variety of diols. J. Polym. Sci. Part A Polym. Chem. 2011, 49, 3759–3768. [Google Scholar] [CrossRef]
- Gandini, A.; Coelho, D.; Gomes, M.; Reis, B.; Silvestre, A. Materials from renewable resources based on furan monomers and furan chemistry: Work in progress. J. Mater. Chem. 2009, 19, 8656–8664. [Google Scholar] [CrossRef]
- Jiang, M.; Liu, Q.; Zhang, Q.; Ye, C.; Zhou, G. A series of furan-aromatic polyesters synthesized via direct esterification method based on renewable resources. J. Polym. Sci. Part A Polym. Chem. 2011, 50, 1026–1036. [Google Scholar] [CrossRef]
- Kröger, M.; Prüße, U.; Vorlop, K. A new approach for the production of 2,5-furandicarboxylic acid by in situ oxidation of 5-hydroxymethylfurfural starting from fructose. Top. Catal. 2000, 13, 237–242. [Google Scholar] [CrossRef]
- Koopman, F.; Wierckx, N.; de Winde, J.H.; Ruijssenaars, H.J. Efficient whole-cell biotransformation of 5-(hydroxymethyl)furfural into FDCA, 2,5-furandicarboxylic acid. Bioresour. Technol. 2010, 101, 6291–6296. [Google Scholar] [CrossRef]
- Eerhart, A.J.J.E.; Faaij, A.P.C.; Patel, M.K. Replacing fossil based PET with biobased PEF; process analysis, energy and GHG balance. Energy Environ. Sci. 2012, 5, 6407–6422. [Google Scholar] [CrossRef]
- Sousa, A.F.; Guigo, N.; Pożycka, M.; Delgado, M.; Soares, J.; Mendonça, P.V.; Coelho, J.F.J.; Sbirrazzuoli, N.; Silvestre, A.J.D. Tailored design of renewable copolymers based on poly(1,4-butylene 2,5-furandicarboxylate) and poly(ethylene glycol) with refined thermal properties. Polym. Chem. 2017, 9, 722–731. [Google Scholar] [CrossRef]
- De Clercq, R.; Dusselier, M.; Sels, B.F. Heterogeneous catalysis for bio-based polyester monomers from cellulosic biomass: Advances, challenges and prospects. Green Chem. 2017, 19, 5012–5040. [Google Scholar] [CrossRef]
- Moore, J.A.; Kelly, J.E. Polyhydroxymethylfuroate [poly(2,5-furandiylcarbonyloxymethylene)]. J. Polym. Sci. Polym. Chem. Ed. 1984, 22, 863–864. [Google Scholar] [CrossRef]
- Zhu, J.; Cai, J.; Xie, W.; Chen, P.-H.; Gazzano, M.; Scandola, M.; Gross, R.A. Poly(butylene 2,5-furan dicarboxylate), a Biobased Alternative to PBT: Synthesis, Physical Properties, and Crystal Structure. Macromolecules 2013, 46, 796–804. [Google Scholar] [CrossRef]
- Ma, J.; Yu, X.; Xu, J.; Pang, Y. Synthesis and crystallinity of poly(butylene 2,5-furandicarboxylate). Polymer 2012, 53, 4145–4151. [Google Scholar] [CrossRef]
- Witt, U.; Yamamoto, M.; Seeliger, U.; Müller, R.J.; Warzelhan, V. Biodegradable Polymeric Materials-Not the Origin but the Chemical Structure Determines Biodegradability. Angew. Chem. Int. Ed. 1999, 38, 1438–1442. [Google Scholar] [CrossRef]
- Witt, U.; Müller, R.J.; Deckwer, W.-D. Biodegradation of polyester copolymers containing aromatic compounds. J. Macromol. Sci. Part A 1995, 32, 851–856. [Google Scholar] [CrossRef]
- Moustafa, H.; Guizani, C.; Dupont, C.; Martin, V.; Jeguirim, M.; Dufresne, A. Utilization of Torrefied Coffee Grounds as Reinforcing Agent To Produce High-Quality Biodegradable PBAT Composites for Food Packaging Applications. ACS Sustain. Chem. Eng. 2017, 5, 1906–1916. [Google Scholar] [CrossRef]
- Touchaleaume, F.; Martin-Closas, L.; Angellier-Coussy, H.; Chevillard, A.; Cesar, G.; Gontard, N.; Gastaldi, E. Performance and environmental impact of biodegradable polymers as agricultural mulching films. Chemosphere 2016, 144, 433–439. [Google Scholar] [CrossRef]
- Santana-Melo, G.F.; Rodrigues, B.V.; da Silva, E.; Ricci, R.; Marciano, F.R.; Webster, T.J.; Vasconcellos, L.M.; Lobo, A.O. Electrospun ultrathin PBAT/nHAp fibers influenced the in vitro and in vivo osteogenesis and improved the mechanical properties of neoformed bone. Colloids Surf. B Biointerfaces 2017, 155, 544–552. [Google Scholar] [CrossRef] [PubMed]
- Herrera, R.; Franco, L.; Rodríguez-Galán, A.; Puiggalí, J. Characterization and degradation behavior of poly(butylene adipate-co-terephthalate)s. J. Polym. Sci. Part A Polym. Chem. 2002, 40, 4141–4157. [Google Scholar] [CrossRef]
- Zhao, L.; Gan, Z. Effect of copolymerized butylene terephthalate chains on polymorphism and enzymatic degradation of poly(butylene adipate). Polym. Degrad. Stab. 2006, 91, 2429–2436. [Google Scholar] [CrossRef]
- Jian, J.; Xiangbin, Z.; Xianbo, H. An Overview on Synthesis, Properties and Applications of Poly(butylene-adipate-co-terephthalate)–PBAT. Adv. Ind. Eng. Polym. Res. 2020, 3, 19–26. [Google Scholar] [CrossRef]
- Zhou, W.; Wang, X.; Yang, B.; Xu, Y.; Zhang, W.; Zhang, Y.; Ji, J. Synthesis, physical properties and enzymatic degradation of bio-based poly(butylene adipate-co-butylene furandicarboxylate) copolyesters. Polym. Degrad. Stab. 2013, 98, 2177–2183. [Google Scholar] [CrossRef]
- Kim, H.; Kim, T.; Choi, S.; Jeon, H.; Oh, D.X.; Park, J.; Eom, Y.; Hwang, S.Y.; Koo, J.M. Remarkable elasticity and enzymatic degradation of bio-based poly(butylene adipate-co-furanoate): Replacing terephthalate. Green Chem. 2020, 22, 7778–7787. [Google Scholar] [CrossRef]
- Lin-Vien, D.; Colthup, N.B.; Fateley, W.G.; Grasselli, J.G. The Handbook of Infrared and Raman Characteristic Frequencies of Organic Molecules; Academic Press, Inc.: Boston, MA, USA, 1991; Chapter 17. [Google Scholar] [CrossRef]
- Neng, W.-B.; Xie, W.-G.; Lu, B.; Zhen, Z.-C.; Zhao, J.-L.; Wang, G.-X.; Ji, J.-H. Biodegradable thermoplastic copolyester elastomers: Methyl branched PBAmT. e-Polymers 2021, 21, 336–345. [Google Scholar] [CrossRef]
- Gan, Z.; Kuwabara, K.; Yamamoto, M.; Abe, H.; Doi, Y. Solid-state structures and thermal properties of aliphatic–aromatic poly(butylene adipate-co-butylene terephthalate) copolyesters. Polym. Degrad. Stab. 2004, 83, 289–300. [Google Scholar] [CrossRef]
- Randall, J.C. Polymer Sequence Determination; Academic Press: Cambridge, MA, USA, 1977. [Google Scholar]
- Yasuniwa, M.; Tsubakihara, S.; Ohoshita, K.; Tokudome, S. X-ray studies on the double melting behavior of poly(butylene terephthalate). J. Polym. Sci. Part B Polym. Phys. 2001, 39, 2005–2015. [Google Scholar] [CrossRef]
- Gan, Z.; Abe, H.; Doi, Y. Temperature-induced polymorphic crystals of poly(butylene adipate). Macromol. Chem. Phys. 2002, 203, 2369–2374. [Google Scholar] [CrossRef]
- Nikolic, M.S.; Djonlagic, J. Synthesis and characterization of biodegradable poly(butylene succinate-co-butylene adipate)s. Polym. Degrad. Stab. 2001, 74, 263–270. [Google Scholar] [CrossRef]
- Tserki, V.; Matzinos, P.; Pavlidou, E.; Vachliotis, D.; Panayiotou, C. Biodegradable aliphatic polyesters. Part I. Properties and biodegradation of poly(butylene succinate-co-butylene adipate). Polym. Degrad. Stab. 2005, 91, 367–376. [Google Scholar] [CrossRef]
- Kuwabara, K.; Gan, Z.; Nakamura, T.; Abe, H.; Doi, Y. Crystalline/amorphous phase structure and molecular mobility of biodegradable poly(butylene adipate-co-butylene terephthalate) and related polyesters. Biomacromolecules 2002, 3, 390–396. [Google Scholar] [CrossRef]
- Zhu, K.; Zhu, W.; Gu, Y.; Shen, Z.; Chen, W.; Zhu, G. Synthesis and characterization of poly(butylene adipate-co- terephthalate) catalyzed by rare earth stearates. Chin. J. Chem. 2007, 25, 1581–1583. [Google Scholar] [CrossRef]
- Han, Y.; Um, J.W.; Im, S.S.; Kim, B.C. Synthesis and characterization of high molecular weight branched PBA. J. Polym. Sci. Part A Polym. Chem. 2001, 39, 2143–2150. [Google Scholar] [CrossRef]
- Polanský, R.; Mentlík, V.; Prosr, P.; Sušír, J. Influence of thermal treatment on the glass transition temperature of thermosetting epoxy laminate. Polym. Test. 2009, 28, 428–436. [Google Scholar] [CrossRef]
- Foreman, J.; Sauerbrunn, S.R.; Marcozzi, C.L.; Exploring the Sensitivity of Thermal Analysis Techniques to the Glass Transition. TA Instruments: Applications Library Search [Online]. Available online: https://www.tainstruments.com/pdf/literature/TA082.pdf (accessed on 31 August 2000).
- Eom, Y.; Kim, B.C. Solubility parameter-based analysis of polyacrylonitrile solutions in N,N-dimethyl formamide and dimethyl sulfoxide. Polymer 2014, 55, 2570–2577. [Google Scholar] [CrossRef]
- Yoon, J.H.; Kim, S.-M.; Eom, Y.; Koo, J.M.; Cho, H.-W.; Lee, T.J.; Lee, K.G.; Park, H.J.; Kim, Y.K.; Yoo, H.-J.; et al. Extremely Fast Self-Healable Bio-Based Supramolecular Polymer for Wearable Real-Time Sweat-Monitoring Sensor. ACS Appl. Mater. Interfaces 2019, 11, 46165–46175. [Google Scholar] [CrossRef] [PubMed]
- Bikiaris, D.N.; Papageorgiou, G.Z.; Achilias, D.S. Synthesis and comparative biodegradability studies of three poly(alkylene succinate)s. Polym. Degrad. Stab. 2006, 91, 31–43. [Google Scholar] [CrossRef]







| GPC | 1H NMR | |||||||
|---|---|---|---|---|---|---|---|---|
| Sample | Mn | Mw | PDI | FDCA or TPA mol% in Copolyesters | Sequence Length b | R c | ||
| Feed | Calculated a | Ln,BAp (Ln,BA) | Ln,BF (Ln,BT) | |||||
| PBAPF45 | 22,986 | 41,419 | 1.80 | 45 | 43.01 | 1.84 | 1.61 | 1.16 |
| PBAPF60 | 17,021 | 31,567 | 1.85 | 60 | 58.14 | 1.45 | 2.28 | 1.13 |
| PBAPF75 | 18,709 | 35,114 | 1.88 | 75 | 70.42 | 1.35 | 4.33 | 0.97 |
| PBAF45 | 24,616 | 44,902 | 1.82 | 45 | 39.92 | 1.79 | 1.64 | 1.17 |
| PBAF60 | 19,834 | 38,003 | 1.92 | 60 | 54.20 | 1.49 | 2.29 | 1.11 |
| PBAF75 | 16,167 | 37,504 | 1.94 | 75 | 68.49 | 1.27 | 3.72 | 1.06 |
| PBAT45 | - | - | - | 45 | 42.96 | 2.51 | 1.60 | 1.02 |
| PBAT60 | - | - | - | 60 | 57.72 | 1.93 | 1.92 | 1.04 |
| PBAT75 | - | - | - | 75 | 69.08 | 1.65 | 2.35 | 1.03 |
| Sample | TGA | DSC | |||||
|---|---|---|---|---|---|---|---|
| Td,5% a (°C) | Td,max b (°C) | R600 c (%) | Second Heating | Cooling | |||
| Tm (°C) | Tcc d (°C) | Tg (°C) | Tc e (°C) | ||||
| PBAp | 305 | 371 | 0.995 | - | - | −58.01 | - |
| PBA | 332 | 403 | 0.966 | 56.24 | - | - | 32.42 |
| PBF | 336 | 366 | 6.6 | 165.77 | - | 31.22 | 120.70 |
| PBT | 289 | 392 | 5.384 | 221.63 | - | 46.01 | 197.87 |
| PBApF45 | 333 | 386 | 3.765 | - | - | −30.32 | - |
| PBApF60 | 331 | 377 | 5.902 | 113.02 | - | −17.74 | - |
| PBApF75 | 335 | 377 | 8.136 | 134.99 | 77.05 | −2.84 | 64.11 |
| PBAF45 | 344 | 385 | 5.593 | - | - | −28.69 | - |
| PBAF60 | 342 | 380 | 8.280 | 115.22 | 78.50 | −12.06 | - |
| PBAF75 | 340 | 377 | 8.529 | 139.33 | 73.15 | 8.41 | 75.31 |
| PBAT45 | 353 | 397 | 3.982 | 103.85 | 64.51 | −40.30 | 67.80 |
| PBAT60 | 315 | 394 | 5.024 | 135.45 | - | −27.09 | 108.36 |
| PBAT75 | 290 | 393 | 4.398 | 151.68 | - | −19.08 | 124.29 |
| Sample | σmax (MPa) | εmax (%) | E (MPa) |
|---|---|---|---|
| PBAF45 | 13.17 ± 0.15 | 1250 ± 6 | 31.45 ± 0.26 |
| PBAF60 | 26.42 ± 0.19 | 837 ± 5 | 190.26 ± 2.24 |
| PBAF75 | 32.35 ± 0.13 | 565 ± 2 | 404.69 ± 5.68 |
| PBApF45 | 10.88 ± 0.17 | 1865 ± 11 | 22.64 ± 0.33 |
| PBApF60 | 15.83 ± 0.23 | 1095 ± 5 | 55.34 ± 2.57 |
| PBApF75 | 24.22 ± 0.14 | 881 ± 3 | 309.08 ± 3.10 |
| PBAT45 | 13.37 ± 0.08 | 1101 ± 5 | 55.17 ± 2.43 |
| PBAT60 | 27.44 ± 0.15 | 765 ± 3 | 228.76 ± 3.58 |
| PBAT75 | 34.00 ± 0.12 | 430 ± 3 | 412.01 ± 6.85 |
Disclaimer/Publisher’s Note: The statements, opinions and data contained in all publications are solely those of the individual author(s) and contributor(s) and not of MDPI and/or the editor(s). MDPI and/or the editor(s) disclaim responsibility for any injury to people or property resulting from any ideas, methods, instructions or products referred to in the content. |
© 2025 by the authors. Licensee MDPI, Basel, Switzerland. This article is an open access article distributed under the terms and conditions of the Creative Commons Attribution (CC BY) license (https://creativecommons.org/licenses/by/4.0/).
Share and Cite
Hu, R.; Li, W.; Zhou, X.; Yi, S.; Zheng, X.; Mo, Q.; Liu, W. Synthesis of Lignocellulose-Based Poly(Butylene 3-Propyladipate-Co-Furanoate): Replacing Adipate. Molecules 2025, 30, 878. https://doi.org/10.3390/molecules30040878
Hu R, Li W, Zhou X, Yi S, Zheng X, Mo Q, Liu W. Synthesis of Lignocellulose-Based Poly(Butylene 3-Propyladipate-Co-Furanoate): Replacing Adipate. Molecules. 2025; 30(4):878. https://doi.org/10.3390/molecules30040878
Chicago/Turabian StyleHu, Ruijia, Weihao Li, Xi Zhou, Shunmin Yi, Xingfu Zheng, Qiufeng Mo, and Wanyu Liu. 2025. "Synthesis of Lignocellulose-Based Poly(Butylene 3-Propyladipate-Co-Furanoate): Replacing Adipate" Molecules 30, no. 4: 878. https://doi.org/10.3390/molecules30040878
APA StyleHu, R., Li, W., Zhou, X., Yi, S., Zheng, X., Mo, Q., & Liu, W. (2025). Synthesis of Lignocellulose-Based Poly(Butylene 3-Propyladipate-Co-Furanoate): Replacing Adipate. Molecules, 30(4), 878. https://doi.org/10.3390/molecules30040878

