Regioselective Pd-Catalyzed Hydroalkynylation of Allenyl-Containing α-Amino Acid Derivatives with Terminal Alkynes
Abstract
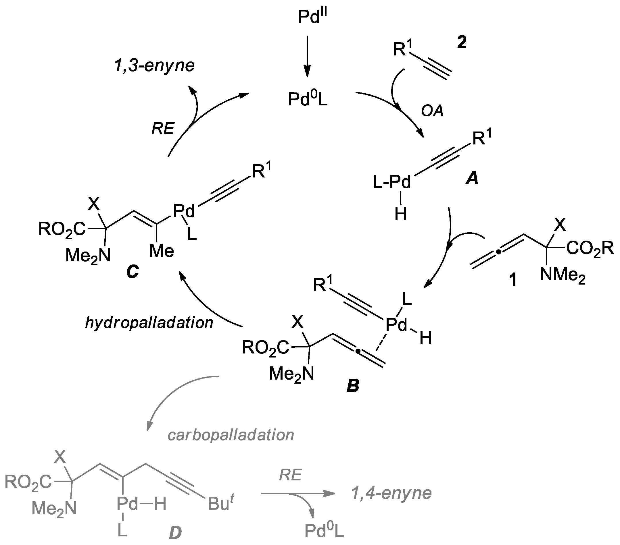
1. Introduction
2. Results
3. Materials and Methods
3.1. General Information
3.2. General Procedure for Hydroalkynylation of Allenes with Terminal Alkynes
3.3. General Procedure for Preparation of 5-Amino-1,2,3-Triazole Derivatives 5a and 5b via Dipolar Azide–Nitrile Cycloaddition (DCR)
3.4. Characterization Data of New Compounds
4. Conclusions
Supplementary Materials
Author Contributions
Funding
Institutional Review Board Statement
Informed Consent Statement
Data Availability Statement
Acknowledgments
Conflicts of Interest
References
- Nicolaou, K.C.; Edmonds, D.J.; Bulger, P.G. Cascade reactions in total synthesis. Angew. Chem. Int. Ed. 2006, 45, 7134–7186. [Google Scholar] [CrossRef]
- Enders, D.; Grondal, C.; Huttl, M.R. Asymmetric organocatalytic domino reactions. Angew. Chem. Int. Ed. 2007, 46, 1570–1581. [Google Scholar] [CrossRef]
- Moyano, A.; Rios, R. Asymmetric organocatalytic cyclization and cycloaddition reactions. Chem. Rev. 2011, 111, 4703–4832. [Google Scholar] [CrossRef] [PubMed]
- Volla, C.M.; Atodiresei, I.; Rueping, M. Catalytic C-C bond-forming multi-component cascade or domino reactions: Pushing the boundaries of complexity in asymmetric organocatalysis. Chem. Rev. 2014, 114, 2390–2431. [Google Scholar] [CrossRef] [PubMed]
- Davies, H.M.L.; Sorensen, E.J. Rapid complexity generation in natural product total synthesis. Chem. Soc. Rev. 2009, 38, 2981–2982. [Google Scholar] [CrossRef]
- Trost, B.M. Atom Economy—A Challenge for Organic Synthesis: Homogeneous Catalysis Leads the Way. Angew. Chem. Int. Ed. Engl. 2003, 34, 259–281. [Google Scholar] [CrossRef]
- Nicolaou, K.C.; Dai, W.M.; Tsay, S.C.; Estevez, V.A.; Wrasidlo, W. Designed enediynes: A new class of DNA-cleaving molecules with potent and selective anticancer activity. Science 1992, 256, 1172–1178. [Google Scholar] [CrossRef]
- Trost, B.M. The atom economy—A search for synthetic efficiency. Science 1991, 254, 1471–1477. [Google Scholar] [CrossRef]
- Fontana, A.; d’Ippolito, G.; D’Souza, L.; Mollo, E.; Parameswaram, P.S.; Cimino, G. New acetogenin peroxides from the Indian sponge Acarnus bicladotylota. J. Nat. Prod. 2001, 64, 131–133. [Google Scholar] [CrossRef]
- Campbell, K.; Kuehl, C.J.; Ferguson, M.J.; Stang, P.J.; Tykwinski, R.R. Coordination-driven self-assembly: Solids with bidirectional porosity. J. Am. Chem. Soc. 2002, 124, 7266–7267. [Google Scholar] [CrossRef]
- Kim, H.; Lee, H.; Lee, D.; Kim, S.; Kim, D. Asymmetric total syntheses of (+)-3-(z)-laureatin and (+)-3-(z)-isolaureatin by “lone pair-lone pair interaction-controlled” isomerization. J. Am. Chem. Soc. 2007, 129, 2269–2274. [Google Scholar] [CrossRef]
- Wessig, P.; Muller, G. The dehydro-Diels-Alder reaction. Chem. Rev. 2008, 108, 2051–2063. [Google Scholar] [CrossRef] [PubMed]
- Trost, B.M.; Kottirsch, G. Novel allene-acetylene cross-condensation catalyzed by palladium complexes. J. Am. Chem. Soc. 2002, 112, 2816–2818. [Google Scholar] [CrossRef]
- Yamaguchi, M.; Omata, K.; Hirama, M. Rhodium-catalyzed cross coupling of unactivated allenes and 1-alkynes. Tetrahedron Lett. 1994, 35, 5689–5692. [Google Scholar] [CrossRef]
- Bruyere, D.; Grigg, R.; Hinsley, J.; Hussain, R.K.; Korn, S.; Orgaz De La Cierva, C.; Sridharan, V.; Wang, J. Highly regioselective palladium/copper-catalysed cross-coupling reactions of terminal alkynes and allenes. Tetrahedron Lett. 2003, 44, 8669–8672. [Google Scholar] [CrossRef]
- Jeanne-Julien, L.; Masson, G.; Kouoi, R.; Regazzetti, A.; Genta-Jouve, G.; Gandon, V.; Roulland, E. Stereoselective Access to (E)-1,3-Enynes through Pd/Cu-Catalyzed Alkyne Hydrocarbation of Allenes. Org. Lett. 2019, 21, 3136–3141. [Google Scholar] [CrossRef]
- Blieck, R.; Taillefer, M.; Monnier, F. Metal-Catalyzed Intermolecular Hydrofunctionalization of Allenes: Easy Access to Allylic Structures via the Selective Formation of C-N, C-C, and C-O Bonds. Chem. Rev. 2020, 120, 13545–13598. [Google Scholar] [CrossRef]
- Liu, Z.K.; Yang, Y.; Zhan, Z.P. Preparation of (E)-1,3-Enyne Derivatives through Palladium Catalyzed Hydroalkynylation of Allenes. J. Org. Chem. 2022, 87, 1589–1597. [Google Scholar] [CrossRef]
- Pradhan, T.R.; Park, J.K. Intermolecular Allene–Alkyne Coupling: A Significantly Useful Synthetic Transformation. ACS Catal. 2024, 14, 7814–7845. [Google Scholar] [CrossRef]
- Guo, X.-X.; Sawano, T.; Nishimura, T.; Hayashi, T. Rhodium-catalyzed enantioselective alkynylative cyclization of allenyl aldehydes with terminal alkynes. Tetrahedron Asymmetry 2010, 21, 1730–1736. [Google Scholar] [CrossRef]
- Nishimura, T.; Guo, X.X.; Hayashi, T. Rhodium-catalyzed asymmetric addition of terminal alkynes to diarylphosphinylallenes. Chem. Asian J. 2008, 3, 1505–1510. [Google Scholar] [CrossRef]
- Yamaguchi, M.; Kido, Y.; Omata, K.; Hirama, M. Synthesis of Exo-enynes by Ruthenium-Catalyzed Cross Coupling Reaction of Hydroxy Allenes and 1-Alkynes. Synlett 1995, 1995, 1181–1182. [Google Scholar] [CrossRef]
- Sawano, T.; Ou, K.; Nishimura, T.; Hayashi, T. Cobalt-catalyzed asymmetric addition of silylacetylenes to 1,1-disubstituted allenes. J. Org. Chem. 2013, 78, 8986–8993. [Google Scholar] [CrossRef]
- Rubin, M.; Markov, J.; Chuprakov, S.; Wink, D.J.; Gevorgyan, V. Highly regiocontrolled Pd-catalyzed cross-coupling reaction of terminal alkynes and allenylphosphine oxides. J. Org. Chem. 2003, 68, 6251–6256. [Google Scholar] [CrossRef] [PubMed]
- Pradhan, T.R.; Kim, H.W.; Park, J.K. Regiodivergent Synthesis of 1,3- and 1,4-Enynes through Kinetically Favored Hydropalladation and Ligand-Enforced Carbopalladation. Angew. Chem. Int. Ed. 2018, 57, 9930–9935. [Google Scholar] [CrossRef] [PubMed]
- Li, P.; Zheng, E.; Li, G.; Luo, Y.; Huo, X.; Ma, S.; Zhang, W. Stereodivergent access to non-natural alpha-amino acids via enantio- and Z/E-selective catalysis. Science 2024, 385, 972–979. [Google Scholar] [CrossRef] [PubMed]
- Kaiser, J.; Kinderman, S.S.; van Esseveldt, B.C.; van Delft, F.L.; Schoemaker, H.E.; Blaauw, R.H.; Rutjes, F.P. Synthetic applications of aliphatic unsaturated alpha-H-alpha-amino acids. Org. Biomol. Chem. 2005, 3, 3435–3467. [Google Scholar] [CrossRef]
- Rutjes, F.P.J.T.; Wolf, L.B.; Schoemaker, H.E. Applications of aliphatic unsaturated non-proteinogenic a-H-a-amino acids. J. Chem. Soc. Perkin Trans. 2000, 1, 4197–4212. [Google Scholar] [CrossRef]
- Vorobyeva, D.V.; Petropavlovskikh, D.A.; Godovikov, I.A.; Nefedov, S.E.; Osipov, S.N. Rh(III)-Catalyzed C−H Activation/Annulation of Aryl Hydroxamates with CF3-Containing α-Propargyl α-Amino Acid Derivatives. Eur. J. Org. Chem. 2021, 2021, 1883–1890. [Google Scholar] [CrossRef]
- Mailyan, A.K.; Peregudov, A.S.; Dixneuf, P.H.; Bruneau, C.; Osipov, S.N. Cyclobutene ring-opening of bicyclo [4.2.0]octa-1,6-dienes: Access to CF3-substituted 5,6,7,8-tetrahydro-1,7-naphthyridines. J. Org. Chem. 2012, 77, 8518–8526. [Google Scholar] [CrossRef]
- Philippova, A.N.; Vorobyeva, D.V.; Monnier, F.; Osipov, S.N. Synthesis of alpha-CF(3)-substituted E-dehydroornithine derivatives via copper(i)-catalyzed hydroamination of allenes. Org. Biomol. Chem. 2020, 18, 3274–3280. [Google Scholar] [CrossRef] [PubMed]
- Vorobyeva, D.V.; Bubnova, A.S.; Godovikov, I.A.; Smol’yakov, A.F.; Osipov, S.N. Rh(III)-Catalyzed Annulation of (Het)aryl Amides with α-Allenyl-Containing α-Amino Acid Derivatives. Asian J. Org. Chem. 2024, 14, e202400476. [Google Scholar] [CrossRef]
- Bubnova, A.S.; Philippova, A.N.; Gribanov, P.S.; Smol’yakov, A.F.; Osipov, S.N.; Vorobyeva, D.V. Pd(II)-catalyzed regioselective hydroarylation of allenyl-containing alpha-amino acid derivatives with aryl boronic acids. Org. Biomol. Chem. 2025, 23, 5396–5400. [Google Scholar] [CrossRef]
- Smits, R.; Cadicamo, C.D.; Burger, K.; Koksch, B. Synthetic strategies to alpha-trifluoromethyl and alpha-difluoromethyl substituted alpha-amino acids. Chem. Soc. Rev. 2008, 37, 1727–1739. [Google Scholar] [CrossRef]
- Moschner, J.; Stulberg, V.; Fernandes, R.; Huhmann, S.; Leppkes, J.; Koksch, B. Approaches to Obtaining Fluorinated alpha-Amino Acids. Chem. Rev. 2019, 119, 10718–10801. [Google Scholar] [CrossRef]
- Mei, H.; Han, J.; White, S.; Graham, D.J.; Izawa, K.; Sato, T.; Fustero, S.; Meanwell, N.A.; Soloshonok, V.A. Tailor-Made Amino Acids and Fluorinated Motifs as Prominent Traits in Modern Pharmaceuticals. Chem. Eur. J. 2020, 26, 11349–11390. [Google Scholar] [CrossRef]
- Vorobyeva, D.V.; Mailyan, A.K.; Peregudov, A.S.; Karimova, N.M.; Vasilyeva, T.P.; Bushmarinov, I.S.; Bruneau, C.; Dixneuf, P.H.; Osipov, S.N. Synthesis of functionalized CF3-containing heterocycles via [2,3]-sigmatropic rearrangement and sequential catalytic carbocyclization. Tetrahedron 2011, 67, 3524–3532. [Google Scholar] [CrossRef]
- Krishna, P.M.; Ramachary, D.B.; Peesapati, S. Azide–acetonitrile “click” reaction triggered by Cs2CO3: The atom-economic, high-yielding synthesis of 5-amino-1,2,3-triazoles. RSC Adv. 2015, 5, 62062–62066. [Google Scholar] [CrossRef]
- Gribanov, P.S.; Philippova, A.N.; Topchiy, M.A.; Lypenko, D.A.; Dmitriev, A.V.; Tokarev, S.D.; Smol’yakov, A.F.; Rodionov, A.N.; Asachenko, A.F.; Osipov, S.N. Synthesis of 5-(Aryl)amino-1,2,3-triazole-containing 2,1,3-Benzothiadiazoles via Azide-Nitrile Cycloaddition Followed by Buchwald-Hartwig Reaction. Molecules 2024, 29, 2151. [Google Scholar] [CrossRef] [PubMed]





![]() | ||||
|---|---|---|---|---|
| Entry | Catalyst (mol%) | Ligand (mol%) | Solvent | Yield (%) a |
| 1 | Pd(OAc)2 (5) | PPh3 (10) | toluene | 80(71 b) |
| 2 | Pd(OAc)2 (5) | PPh3 (10) | 1,4-dioxane | 87 |
| 3 | Pd(OAc)2 (5) | dppf (5) | 1,4-dioxane | 95 |
| 4 | Pd(OAc)2 (5) | (4-CF3Ph)3P (5) | 1,4-dioxane | 82 |
| 5 | Pd(OAc)2 (5) | Xantphos (5) | 1,4-dioxane | 82 |
| 6 | Pd(OAc)2 (5) | BrettPhos (5) | 1,4-dioxane | NR |
| 7 | PdCl2(PPh3)2 (5) | - | toluene | NR |
| 8 | Pd(OAc)2 (2) | dppf (2) | 1,4-dioxane | 93 |
| 9 | Pd(OAc)2 (1) | dppf (1) | 1,4-dioxane | 95 c |
| 10 | Pd(OAc)2 (2) | PPh3 (4) | 1,4-dioxane | 89(82 b) |
| 11 | Pd(OAc)2 (1) | PPh3 (2) | 1,4-dioxane | 94 c |
| 12 | Pd(OAc)2 (2) | PPh3 (4) | toluene | 84 |
| 13 | Pd(OAc)2 (2) | PPh3 (4) | 2-MeTHF | 88 d |
Disclaimer/Publisher’s Note: The statements, opinions and data contained in all publications are solely those of the individual author(s) and contributor(s) and not of MDPI and/or the editor(s). MDPI and/or the editor(s) disclaim responsibility for any injury to people or property resulting from any ideas, methods, instructions or products referred to in the content. |
© 2025 by the authors. Licensee MDPI, Basel, Switzerland. This article is an open access article distributed under the terms and conditions of the Creative Commons Attribution (CC BY) license (https://creativecommons.org/licenses/by/4.0/).
Share and Cite
Bubnova, A.S.; Vorobyeva, D.V.; Godovikov, I.A.; Philippova, A.N.; Gribanov, P.S.; Antoshkina, E.P.; Osipov, S.N. Regioselective Pd-Catalyzed Hydroalkynylation of Allenyl-Containing α-Amino Acid Derivatives with Terminal Alkynes. Molecules 2025, 30, 3623. https://doi.org/10.3390/molecules30173623
Bubnova AS, Vorobyeva DV, Godovikov IA, Philippova AN, Gribanov PS, Antoshkina EP, Osipov SN. Regioselective Pd-Catalyzed Hydroalkynylation of Allenyl-Containing α-Amino Acid Derivatives with Terminal Alkynes. Molecules. 2025; 30(17):3623. https://doi.org/10.3390/molecules30173623
Chicago/Turabian StyleBubnova, Alexandra S., Daria V. Vorobyeva, Ivan A. Godovikov, Anna N. Philippova, Pavel S. Gribanov, Evgenia P. Antoshkina, and Sergey N. Osipov. 2025. "Regioselective Pd-Catalyzed Hydroalkynylation of Allenyl-Containing α-Amino Acid Derivatives with Terminal Alkynes" Molecules 30, no. 17: 3623. https://doi.org/10.3390/molecules30173623
APA StyleBubnova, A. S., Vorobyeva, D. V., Godovikov, I. A., Philippova, A. N., Gribanov, P. S., Antoshkina, E. P., & Osipov, S. N. (2025). Regioselective Pd-Catalyzed Hydroalkynylation of Allenyl-Containing α-Amino Acid Derivatives with Terminal Alkynes. Molecules, 30(17), 3623. https://doi.org/10.3390/molecules30173623


