Next Article in Journal
Chitosan as an Elicitor in Plant Tissue Cultures: Methodological Challenges
Previous Article in Journal
Comparative Phytochemical Analysis of Gastrodiae Rhizoma Peel and Core and Their Lifespan-Extending Potential in Caenorhabditis elegans
Previous Article in Special Issue
Molecular Modification Strategies for Enhancing CO2 Electroreduction
 
 
Font Type:
Arial Georgia Verdana
Font Size:
Aa Aa Aa
Line Spacing:
Column Width:
Background:
Article

Grain Boundary Engineering in 3D Porous Silver Electrocatalysts for Enhanced CO2-to-CO Conversion

1
Jiangsu Key Laboratory of Electrochemical Energy Storage Technologies, College of Materials Science and Technology, Nanjing University of Aeronautics and Astronautics, Nanjing 210016, China
2
Research Unit of Sustainable Chemistry, Faculty of Technology, University of Oulu, 90014 Oulu, Finland
3
Department of Physics, Durham University, Lower Mountjoy, South Rd, Durham DH1 3LE, UK
*
Authors to whom correspondence should be addressed.
Molecules 2025, 30(17), 3475; https://doi.org/10.3390/molecules30173475
Submission received: 18 July 2025 / Revised: 8 August 2025 / Accepted: 22 August 2025 / Published: 24 August 2025
(This article belongs to the Special Issue Functional Materials for Small Molecule Electrocatalysis)

Abstract

Silver is a promising electrocatalyst for electrochemical CO2 reduction reaction owing to its high selectivity and efficiency for CO production. However, it still faces a fundamental trade-off between reaction activity and stability. Here, we developed a three-dimensional coral-like porous silver (CP-Ag) catalyst through seed-assisted nanoparticle attachment synthesis, which creates a unique architecture featuring interconnected pores and stable grain boundaries (GBs) between constituent Ag nanoparticles (Ag NPs). Compared to normal Ag NPs, CP-Ag demonstrates superior catalytic performance, maintaining >90% Faradaic efficiency (FE) for CO across a wide potential range (−0.6 to −1.0 V vs. RHE) while achieving 2-times higher current density. Importantly, CP-Ag demonstrated an impressive long-term stability by sustaining nearly 90% FE for CO approximately 40 h at a current density of −50 mA cm−2 in a flow cell. The enhanced catalytic performance arises from three factors: (1) the three-dimensional coral-like morphology increases accessible active sites and promotes charge transfer efficiency; (2) stable GBs between interconnected nanoparticles increase reaction activity; (3) more moderate binding on Ag (100) preferentially promotes *CO intermediate formation. Our findings highlight the importance of simultaneously engineering both morphological and crystallographic features to optimize silver catalysts for CO2 conversion.

1. Introduction

Electrochemical CO2 reduction (CO2RR) has emerged as a highly promising approach for converting CO2 into value-added chemical products, particularly CO. As a crucial intermediate in chemical manufacturing, CO production via CO2RR exhibits distinct advantages, including relatively simple reaction pathways and lower overpotentials in most catalytic systems, thereby significantly improving the energy efficiency of the CO2RR process [1,2,3,4,5]. The electrochemical reduction of CO2 to CO typically follows a well-established reaction pathway involving multiple sequential steps, as comprehensively outlined in the recent literature [6]. This process begins with the adsorption of reactants onto the electrocatalyst surface, followed by a critical proton-coupled electron transfer (PCET) event that drives chemical conversion, and concludes with the desorption of products to regenerate active sites. Within this general framework, a well-defined pathway for CO formation from CO2 proceeds via a sequence of surface-bound intermediates: *COOH, *CO, and *H, where * signifies an adsorbed species or catalyst surface vacancy. This mechanism specifically involves four key mini-steps: First, an adsorbed CO2 molecule undergoes an initial electron transfer, forming a surface-bound *CO2 intermediate. This highly reactive species is pivotal for the subsequent steps. Second, the resulting *CO2 intermediate is then protonated by H+, largely from H2O, leading to the formation of a *COOH intermediate. This protonation is crucial for stabilizing the intermediate and directing the reaction pathway. Third, the *COOH intermediate subsequently undergoes a critical dehydration step directly on the catalyst surface. This intramolecular elimination of water efficiently generates the pivotal surface-bound *CO intermediate. Finally, to complete the catalytic cycle and obtain the desired product, the newly formed *CO intermediate desorbs from the catalyst surface, releasing the CO product and regenerating the active sites for continuous operation [7,8].
As is well-known, Ag and Au noble metal catalysts exhibit exceptional electrocatalytic activity for CO2-to-CO conversion, opening up significant prospects for practical applications. Their high efficiency in this crucial reduction reaction contributes to addressing the escalating carbon emission dilemma [9,10,11,12]. Among these, Ag-based catalysts have garnered particular attention due to their cost advantage over Au, while demonstrating comparable catalytic performance. This positions Ag as a more economically viable and sustainable option for large-scale implementation. However, conventional Ag catalysts face two critical limitations. Firstly, achieving acceptable reaction rates necessitates high overpotentials, severely hindering energy efficiency. Such high overpotential requirements lead to increased energy consumption, impacting overall economic viability and sustainability. Secondly, at these elevated potentials, the competing hydrogen evolution reaction (HER) becomes increasingly dominant, significantly compromising CO selectivity. The enhanced HER not only diminishes the yield of the target product, CO, but also complicates separation and purification processes [13,14,15,16]. These limitations stem from the inherent stability of CO2 molecules and suboptimal binding energies of reaction intermediates on conventional catalyst surfaces, leading to inefficient reaction pathways and undesirable side reactions. Therefore, designing and developing novel Ag catalysts to overcome these intrinsic barriers remains a crucial challenge in the current CO2 reduction field.
Nanoporous architectures overcome these challenges through two synergistic mechanisms: (1) hierarchical pore networks that markedly increase the density of catalytically active sites, and (2) engineered surface electronic states combined with optimized mass transport properties that effectively suppress the competing hydrogen evolution reaction (HER) [17,18,19]. Lu et al. [20] prepared a nanoporous silver electrocatalyst, which can reduce CO2 to CO with a selectivity of about 92% at a moderate overpotential of 0.50 V, and its current density is more than 3000 times higher than that of a polycrystalline silver catalyst. The high performance was attributed to the larger electrochemical surface area and highly active curved surface inherent to the porous structure. Beyond morphological control, crystallographic engineering emerges as a powerful strategy for optimizing Ag catalysts [21,22,23,24]. A higher grain boundaries (GBs) density within the catalysts enhances CO2-to-CO conversion and suppressed HER, owing to GBs-induced atomic disorder that lowers activation barriers and stabilizes key *COOH intermediates [25]. These findings establish that synergistic combination of nanoscale porosity and crystallographic control represents the most promising path forward for developing practical CO2RR catalysts, achieving both the high activity required for industrial relevance and the selectivity needed for energy-efficient operation.
Herein, we developed a three-dimensional coral-like porous silver (CP-Ag) catalyst via a seed-assisted nanoparticle assembly approach, creating an interconnected porous structure with abundant GBs. The CP-Ag catalyst exhibits exceptional CO2 reduction performance, achieving 96% FE for CO at −1.0 V vs. RHE, doubling conventional Ag NPs’ performance. Notably, CP-Ag maintained nearly 90% FE for CO approximately 40 h of continuous operation at a current density of −50 mA cm−2 in a flow cell, showcasing exceptional long-term stability. Theoretical calculation demonstrates that the performance improvement arises from the 3D porous network’s increased active site availability and grain boundaries’ dual role in lowering activation energies and stabilizing *COOH intermediates. Our results demonstrate that simultaneous control over nanoscale morphology and crystallographic orientation can significantly boost silver catalysts’ CO2-to-CO conversion, providing a design strategy for high-performance electrocatalysts through combined structural and facet engineering.

2. Results and Discussion

Three-dimensional porous silver nanostructures were constructed via a seed-mediated morphological evolution from discrete Ag NPs to an interconnected network architecture, while maintaining comparable particle dimensions (Figure S2). The structural evolution was accomplished through a precisely controlled synthesis protocol involving a reaction mixture comprising silver nitrate, trisodium citrate (acting as stabilizer), and ascorbic acid (serving as reducing agent). Subsequent introduction of sodium borohydride initiated nanoparticle interconnection, ultimately yielding the three-dimensional porous architecture (Figure 1a). Scanning electron microscopy (SEM) analysis revealed a morphological transition from dispersed AgNPs to an interconnected porous structure, denoted as CP-Ag (coral-like porous Ag) (Figure 1b and Figure S3). The high-resolution Transmission electron microscopy (HRTEM) analysis (Figure 1c–e) further reveals the formation of coral-like architectures with distinct grain boundaries between crystalline domains, where lattice spacings of 0.22 nm and 0.25 nm correspond to the (100) and (111) planes of face-centered cubic silver, respectively [26,27,28]. The corresponding elemental mapping (Figure 1f) confirms the uniform elemental dispersion of Ag and O. All these morphology results manifest the transition from dispersed AgNPs to interconnected porous CP-Ag.
The phase structure was then studied by the X-ray diffraction (XRD) and X-ray photoelectron spectroscopy (XPS) analysis. XRD analysis definitively confirmed the face-centered cubic (fcc) crystalline structure for both the initial AgNP precursors and the final interconnected CP-Ag architectures (Figure 2a) [29]. There are 2θ characteristic peaks at 38.1°, 44.3°, 64.4°, and 77.5°, corresponding to the (111), (200), (220), and (311) crystal planes, respectively. Significantly, no new peaks or substantial shifts in existing peak positions were detected in the CP-Ag sample following sodium borohydride treatment and subsequent morphological evolution. This remarkable finding, coupled with the maintenance of identical relative peak intensities, provides compelling evidence that the underlying crystalline structure of silver is robustly preserved despite the morphological changes (e.g., interconnection and pore formation) observed via TEM. This structural integrity is crucial for maintaining the intrinsic properties of the silver material. XPS probed the electronic structure evolution during the morphological transformation (Figure 2b). The high-resolution Ag 3d spectra of AgNPs exhibited two distinct peaks at 374.10 eV and 368.10 eV, corresponding to the 3d3/2 and 3d5/2 spin–orbit components, respectively. After sodium borohydride treatment, CP-Ag showed Ag 3d3/2 and 3d5/2 peaks at 374.00 eV and 367.96 eV, respectively. Analysis of AgNPs and CP-Ag revealed shifts in their Ag 3d3/2 and 3d5/2 peaks, suggesting potential surface oxidation. However, the electronic valence state of Ag remains essentially unchanged before and after the reaction, with both forms predominantly existing as metallic silver. This indicates that while partial surface oxidation may occur, the bulk Ag retains its metallic character. Collectively, these comprehensive morphological and crystallographic results compellingly demonstrate the successful and controlled transition from discrete Ag NPs to a highly interconnected and porous CP-Ag nanostructure, paving the way for potential applications leveraging its unique structural attributes.
To quantify the exposed low-index facets of silver, we employed cyclic voltammetry (CV) in CO2-saturated 0.1 M KHCO3 electrolyte (50 mV/s scan rate). This methodology is particularly powerful as the adsorption behavior of HCO3 (bicarbonate ions) is well-established to be facet-dependent and occurs at distinct potential windows for different silver crystal planes [30,31]. Both CP-Ag and AgNP electrodes displayed three characteristic redox peaks (Figure 2c,d): Ag (110) (−1.15 to −0.89 V), Ag (100) (−0.67 to −0.43 V), and Ag (111) (−0.43 to −0.35 V vs. Ag/AgCl). Structural analysis revealed that the (100) facet consistently exhibited the highest peak intensity among all identified crystal planes specifically in the CP-Ag catalyst. This remarkable signal enhancement correlated well with charge distribution measurements, which demonstrated that the (100) plane possessed the highest charge density. These observations strongly indicate that the (100) facet serves as the predominant active site in the CP-Ag catalyst, where its unique atomic configuration and electronic properties synergistically contribute to the observed catalytic performance. In addition, Table 1 further demonstrated the electrochemical properties of different crystal planes of CP-Ag and AgNPs. The capacitance and proportion of the (100) plane of CP-Ag is the largest. The strategic exposure and stabilization of the highly reactive Ag (100) facets, achieved via our controlled synthesis, fundamentally optimizes CP-Ag as an exceptional catalyst. This enhancement is directly correlated with the predominant presence of Ag (100) facets, which exhibit a strong propensity for the preferential adsorption of critical reaction ions and intermediates. To further elucidate the origin of this enhanced activity, CV curves were obtained at different scanning speeds (10, 20, 40, 60, 80, 100, 120, 140 mV s−1) (Figure S4), and the electrochemical active area of CP-Ag and AgNP was evaluated by calculating the electrochemical surface area (ECSA) and double-layer capacitance (Cdl). ECSA measurements revealed that CP-Ag (1.61 mF cm−2) possesses a 18% larger double-layer capacitance (Cdl) than AgNPs (1.36 mF cm−2) (Figure 2e,f), attributable to its three-dimensional porous architecture [32]. However, the facet-dependent CV results clearly demonstrate that the improved catalytic performance stems primarily from the intrinsic catalytic properties of the dominant (100) facets, rather than being solely a consequence of increased surface area.
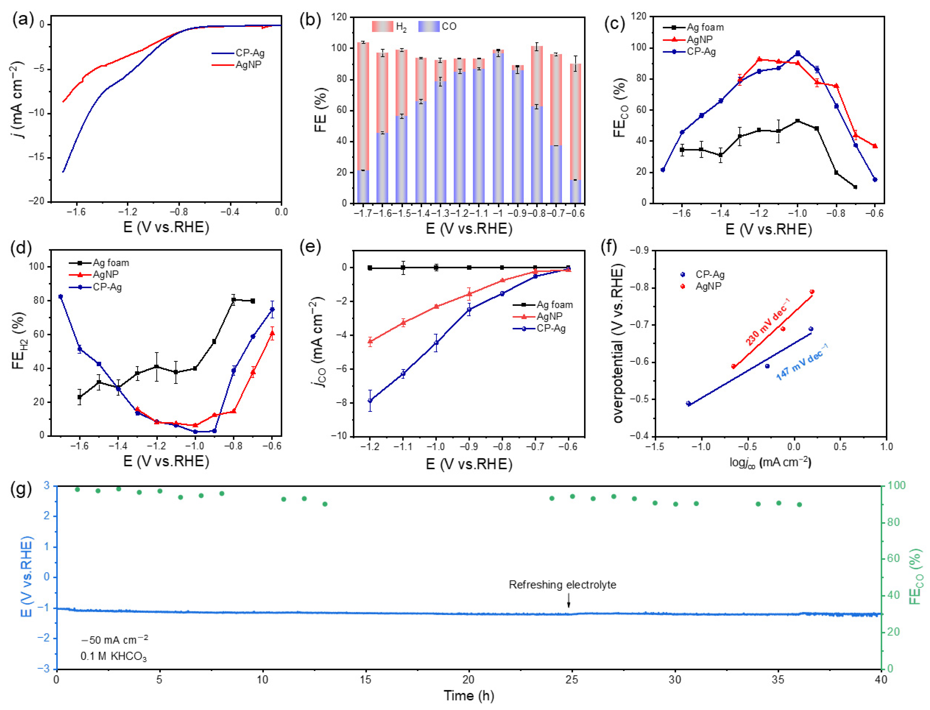
The electrocatalytic performance of CP-Ag was evaluated in a CO2-saturated 0.1 M KHCO3 electrolyte (pH = 6.8) using an H-type electrolyzer, with Ag foam and AgNPs as controls. Figure 3a shows the linear sweep voltammetry (LSV) curves of CP-Ag and AgNP in CO2-saturated electrolytes with a scan rate of 10 mV s−1. The LSV revealed that CP-Ag exhibited significantly enhanced cathodic kinetics, achieving a current density of −16.41 mA cm−2 at −1.7 V vs. RHE, approximately twice that of AgNPs (−8.56 mA cm−2) (Figure 3a). Product analysis revealed outstanding CO selectivity for the CP-Ag catalyst, which maintained FECO exceeding 90% across an extensive potential range from −0.6 to −1.0 V vs. RHE, peaking at an exceptional 96.6% FE at −1.0 V vs. RHE and no detectable liquid products (Figure S5). In stark contrast, AgNPs and Ag foam exhibited inferior performance (Figure 3b–d and Figure S6). More importantly, electrochemical measurements showed that the CO partial current density of CP-Ag doubled that of AgNPs, unambiguously confirming its superior CO2RR activity. This remarkable performance enhancement can be attributed to the unique structural characteristics of CP-Ag, including its optimized crystal facet exposure and favorable electronic structure, which collectively promote CO2 activation and CO desorption.
To reveal the mechanism behind the performance enhancement, the reaction kinetics of the catalyst in the electrocatalytic reduction of CO2 were studied. Building upon these performance results, Tafel analysis further revealed a significantly lower Tafel slope of 147 mV dec−1 for CP-Ag compared to 230 mV dec−1 for AgNP. This suggests faster reaction kinetics and higher catalytic activity of CP-Ag (Figure 3f) [33]. In a further comparison of the conductivity of the CP-Ag, AgNP and Ag foam catalysts, the electrochemical impedance spectra (EIS) of CP-Ag, AgNP and Ag foam were determined in a CO2-saturated 0.1 M KHCO3 electrolyte. As shown in Figure S7, the CP-Ag exhibited a smaller equivalent series resistance than that of AgNP and Ag foam, illustrating faster catalytic kinetics. As is well known, the flow cell configuration offers distinct advantages for CO2RR by enabling high current densities through enhanced mass transport and efficient gas–liquid-solid interfaces. In our tests, the CP-Ag sustained approximately 90% FE for CO about 40 h of continuous operation at a current density of −50 mA cm−2 in a flow cell, demonstrating outstanding long-term stability (Figure 3g). The combined structural and electronic effects enable CP-Ag to simultaneously suppress the competing hydrogen evolution reaction while promoting CO2-to-CO conversion. Additionally, the CP-Ag catalyst exhibits superior CO2RR performance among the Ag-based catalysts reported in previous studies (Table S1). These results collectively establish CP-Ag as a highly efficient and tunable electrocatalyst for the reduction of CO2 to CO, offering significant promise for electrocatalytic applications.
To evidence the origin of electrocatalysis activity, we performed density functional theory (DFT) to explain the reaction kinetics. The *COOH intermediate is an important intermediate towards the production of CO products. Therefore, we calculated the adsorption energies of the key intermediate *COOH (Eads(*COOH)) using surfaces of Ag (100) and Ag (111). The configurations with adsorbed intermediates are given in Figure 4a,b. The adsorption energies corresponding to the adsorption patterns for Ag (100) and Ag (111) are listed in Table S2. DFT calculations reveal distinct facet-dependent adsorption characteristics for *COOH on silver surfaces, with binding energies of −1.57 eV on Ag (100) and −1.62 eV on Ag (111). This energetic difference leads to different adsorption energy: the stronger adsorption on Ag (111) likely elevates the activation barrier for *COOH dissociation, while the more moderate binding on Ag (100) preferentially promotes the desorption of *CO intermediate, thereby enhancing the rate of CO2RR [34,35,36].

3. Experimental Section

3.1. Materials

Silver foam (99.9%), Silver nitrate (AgNO3), sodium borohydride (NaBH4), KHCO3 (99.9%), CO2 (99.998%), Ar (99.998%) and N2 (99.99%) were provided by Nanjing Analytical (Nanjing, China). Carbon Paper (CP, 19 × 19 cm) and Nafion N-115 membrane (0.180 mm thick, ≥0.90 meg/g exchange capacity) were purchased from Nanjing Chemical Reagent (Nanjing, China). Gas diffusion layer (28BC of Freudenberg, Weinheim, Germany), membrane (Nafion 117, Chemours, Wilmington, DE, USA), Nafion (Aladdin, Shanghai, China, 5%), isopropyl alcohol (C3H8O, Maklin, Shanghai, China, AR 98%) were used for electrochemical CO2 measurements. Ultrapure water (18.2 MΩ·cm−1) was obtained from an ELGA ultrapure water purification system. All chemicals were used without further purification.

3.2. Synthesis of CP-Ag Catalysts

With stirring at room temperature, in a 20 mL vial, 11 mL of the mixed solution containing 0.11 mM silver nitrate and 2.05 mM trisodium citrate was prepared, following by the addition of 100 μL 5 mM sodium borohydride solution. After stirring for 10 min, the solution was left for aging at room temperature for 5 h to obtain Ag seed solution. Under stirring at room temperature, 0.2 mL of Ag seed solution, 7.5 mL of trisodium citrate (30 mM) and 3 mL of silver nitrate (50 mM) were sequentially added to a 100 mL beaker, and the solution turned milky white. Then 62.5 mL of ascorbic acid (1 mM) was slowly added to the mixed solution. After the dropwise addition, 12 mL of sodium borohydride (1 M) was added to the mixed solution at one time, and the solution reacted violently with the generation of bubbles. The reaction continued for 5 min, the stirring was stopped, the solution was allowed to stand in the dark for 1 h, then the solution was removed to obtain a precipitate and the precipitate was freeze-dried to obtain a product designated as CP-Ag.

3.3. Synthesis of Ag NPs

Under stirring at room temperature, 0.2 mL of Ag seed, 7.5 mL of trisodium citrate (30 mM) and 3 mL of silver nitrate (50 mM) were sequentially added to a 100 mL beaker, and the solution turned milky white. Then 62.5 mL of ascorbic acid (1 mM) was slowly added to the mixed solution. After the dropwise addition, the mixed solution was centrifuged and freeze-dried to obtain silver nanoparticles (Ag NPs).

3.4. Materials Characterization

Scanning electron microscopy (SEM, Regulus 8100 apparatus) and transmission electron microscopy (TEM, FEI Tecnai G2 F20, Hillsboro, OR, USA) equipped with energy dispersive spectrometer (EDS) were used to analyze the sample morphology and element distribution. X-ray diffraction (XRD, Bruker D8 ADVANCE, Karlsruhe, Germany, Cu Kα) patterns were used to study the catalyst constitution and phase. X-ray photoelectron spectroscopy (XPS, Escalab 250Xi electron spectrometer, Thermo Fisher Scientific, Altrincham, UK) results were collected to analyze the catalyst element valences.

3.5. Electrochemical CO2 Reduction

All electrochemical measurements were conducted under ambient temperature and pressure conditions using a CS2350H electrochemical workstation (Wuhan Corrtest Instruments Corp., Ltd., Wuhan, China) with either an H-type cell or flow cell configuration. For H-cell measurements, a two-compartment electrolytic cell (cathodic and anodic chambers) separated by a Nafion 117 proton exchange membrane was employed. The cell was filled with 0.1 M KHCO3 electrolyte saturated with CO2, equipped with a KCl-saturated Ag/AgCl reference electrode in the cathodic compartment and a platinum sheet counter electrode in the anodic compartment. In flow cell experiments, both anolyte and catholyte were continuously recirculated through their respective compartments at a constant flow rate of 50 mL·min−1 using two identical peristaltic pumps (Kamoer LLS PLUS, Shanghai, China), while CO2 was introduced at a flow rate of 22 mL·min−1. The gaseous effluent from the cathodic chamber was monitored in real-time using online gas chromatography. The working electrode was prepared by dip-coating 100 μL of catalyst ink onto a 1 cm × 1 cm carbon cloth substrate (Toray TGP-H-060, Tokyo, Japan). The catalyst ink was formulated by dispersing 7 mg of catalyst with 50 μL Nafion solution in 950 μL isopropanol, followed by 30 min of sonication to achieve homogeneous dispersion.
Electrochemical characterization included linear sweep voltammetry (LSV) performed within a potential window of −0.6 to −2.4 V vs. Ag/AgCl at a scan rate of 50 mV·s−1. All current densities reported throughout this work were calculated based on geometric electrode area normalization. Potentials were measured against a KCl-saturated Ag/AgCl reference electrode and subsequently converted to the reversible hydrogen electrode (RHE) scale according to the Nernst equation: E(vs. RHE) = E(vs. Ag/AgCl) + 0.197 V + (0.0591 × pH), where E(vs. Ag/AgCl) represents the experimentally measured potential. Unless specifically noted, all potential values presented in both the main text and Supplementary Materials are reported versus the RHE reference without iR compensation. This potential conversion was consistently applied to ensure standardized reporting of electrochemical data across all experiments.

3.6. Product Quantifications

Gas-phase products from the cathodic compartment were directly vented into a gas chromatograph (Fuli GC9790 II, Zhejiang Fuli Analytical Instrument Co., Ltd., Taizhou, China) using a flame ionization detector (FID) and a thermal conductivity detector (TCD) during the electroreduction tests and analyzed online. FID was used for CO quantification (as well as CH4, C2H4 and C2H6), while TCD was used for H2 quantification. All faradaic efficiencies reported were based on at least five different GC runs. High purity argon (99.999%) was used as the GC carrier gas. In all the CO2 electrolysis tests, only H2 and CO were the gas-phase products, and their faradaic efficiencies were calculated as follows:
FE   =   j x j total   =   n x   ×   z x   ×   v gas   ×   F j total   ×   V   ×   100 %
where jx denotes the partial current density of the product, jtotal represents the total current density, nx indicates the amount of substance of a specific product (mol), zx corresponds to the number of electrons transferred per mole of product generated, vgas signifies the CO2 flow rate (m3 s−1), F is the Faraday constant (96,485 C mol−1), and V represents the injection volume (m3).
The electrochemical active surface area (ECSA) refers to the effective area participating in electrochemical reactions. Here, we employed the commonly used double-layer capacitance method to determine the ECSA. First, a non-faradaic potential window was selected, within which cyclic voltammetry (CV) tests were performed at different scan rates (CV curves at various scan rates are shown in Figure S4). The absolute difference between the anodic and cathodic currents at the midpoint potential of the CV curves was calculated, and half of this value was plotted on the y-axis, with the corresponding scan rate on the x-axis. The slope obtained from the linear fitting of this plot (Figure 2f) represents the double-layer capacitance. Subsequently, the ECSA values of the two samples were calculated using the formula:
ECSA   =   C d l C s
where Cs is the specific capacitance, and a commonly cited value of 40 μF cm−2 was adopted from literature [37,38].

3.7. Computational Details

All DFT calculations were conducted using the Vienna ab initio simulation package (VASP, https://www.vasp.at/). The electronic exchange was described by a generalized gradient approximation method [34]. We constructed Ag (100) and Ag (111) oriented surfaces and performed optimization. These two surface orientations were chosen because they are the most catalytically active surfaces. Before constructing the surfaces, we first optimized the bulk structure of all materials, then created the surfaces and further performed ionic optimization. To generate the surfaces, we used the supercell slab technique, adding a sufficient vacuum layer along the Z-direction to avoid periodic interactions between images.
The adsorption energies (Eads) for *COOH was calculated by the following equation:
E ads   =   E adsorbate + surf     ( E adsorbate   +   E surf )
where Eadsorbate+surf is the total free energy of the surface with the functional attached to it, Eadsorbate is the single-point energy of the free standing functional, and Esurf is the total free energy of the pristine surface without the functional. With these definitions, a more negative Eads reflects a stronger surface adsorption interaction. For *COOH is calculated as the energy of free standing *COOH molecules. The distance of the adsorbate after optimization from the surface is calculated in Angstrom units.

4. Conclusions

In this work, we demonstrated a rational synthesis of three-dimensional porous CP-Ag with abundant GBs through sodium borohydride-mediated transformation of seed-grown AgNPs. The CP-Ag catalyst exhibited exceptional CO2 reduction performance, achieving 96% FE for CO at −1.0 V vs. RHE, which is double that of the seed-grown Ag NPs, demonstrating its superior activity and selectivity. Significantly, CP-Ag demonstrated outstanding long-term stability by sustaining a nearly 90% FE for CO over about 40 h of continuous operation at a current density of −50 mA cm−2 in a flow cell. The enhanced CO2 reduction performance of the CP-Ag catalyst can be attributed to its unique coral-like architecture that increases active site density and improves electron transfer. DFT calculations reveal that facet-dependent *COOH adsorption energies influence the activation of key intermediates, with the moderate binding on Ag (100) favoring *CO formation and overall catalytic efficiency. These findings highlight the importance of rationally designing morphological and crystallographic features in electrocatalysts to attain high performance. Future efforts should focus on tailoring such nanostructures and facets to further optimize catalytic efficiency, demonstrating that the strategic engineering of microstructure and surface chemistry in silver-based catalysts holds significant potential for advancing CO2 conversion technologies and broadening the scope of catalytic material development in electrocatalysis research.
  • Entry for the Table of Contents
    Molecules 30 03475 i001
A 3D coral-like porous silver catalyst was synthesized with interconnected pores and stable grain boundaries between Ag NPs. It achieves over 90% Faradaic efficiency for CO across −0.6 to −1.0 V vs. RHE, and 40 h stability at −50 mA cm−2. The performance benefited from its porous structure for improved active sites and Ag (100) facets that preferentially stabilize the *CO intermediate.

Supplementary Materials

The following supporting information can be downloaded at: https://www.mdpi.com/article/10.3390/molecules30173475/s1. Figure S1. Flow chart of the Ag NPs and CP-Ag preparation. Figure S2. (a) AgNP diameter distribution; (b) CP-Ag diameter distribution. Figure S3. The SEM image of Ag NPs. Figure S4. (a) CV plots of CP-Ag at different scan rates; (b) CV plots of AgNP at different scan rates. Figure S5. The 1H NMR spectra of the electrolyte after CO2RR electrolysis for CP-Ag at −1.0 V vs. RHE. Figure S6. The FE of CO and H2 for (a) Ag foam; (b) AgNP. Figure S7. The electrochemical impedance spectra of Ag foam, AgNP, and CP-Ag. Table S1. The key parameters of CO2RR performance on CP-Ag and catalysts reported in previous studies. Table S2. The adsorption energies (Eads) of Ag (100) and Ag (111).

Author Contributions

Data curation, formal analysis, and writing—original draft preparation, X.X.; investigation, methodology, and validation, S.Y.; investigation and validation, Y.W.; investigation and validation, Y.C.; theoretical calculations, A.A.S.D.; conceptualization, resources, and supervision, F.H. All authors have read and agreed to the published version of the manuscript.

Funding

The authors are grateful to the NMR facility at the Center for Microscopy and Analysis, Nanjing University of Aeronautics and Astronautics (NUAA), and also acknowledge the computational resources provided by the CSC–IT Center for Science in Finland.

Institutional Review Board Statement

Not applicable.

Informed Consent Statement

Not applicable.

Data Availability Statement

All data generated or analyzed during this study are included in the published article and its Supplementary Materials.

Conflicts of Interest

The authors declare no conflicts of interest.

References

  1. Lee, H.; Kim, S.-K.; Ahn, S.H. Electrochemical preparation of Ag/Cu and Au/Cu foams for electrochemical conversion of CO2 to CO. J. Ind. Eng. Chem. 2017, 54, 218–225. [Google Scholar] [CrossRef]
  2. Li, G.; Pei, L.; Wu, Y.; Zhu, B.; Hu, Q.; Yang, H.; Zhang, Q.; Liu, J.; He, C. Facile synthesis of polyacrylonitrile-based N/S-codoped porous carbon as an efficient oxygen reduction electrocatalyst for zinc-air batteries. J. Mater. Chem. A 2019, 7, 11223–11233. [Google Scholar] [CrossRef]
  3. Li, Y.; Yang, H.; Hu, X.; Tian, H.; Gao, M.; Zhang, D.; Li, Z.; Yang, D. Surface modification of tin dioxide via (Bi, S) co-doping for photoelectrocatalytic reduction of CO2 to formate. ChemElectroChem 2019, 6, 3782–3790. [Google Scholar] [CrossRef]
  4. Lin, R.; Ma, X.; Cheong, W.-C.; Zhang, C.; Zhu, W.; Pei, J.; Zhang, K.; Wang, B.; Liang, S.; Liu, Y.; et al. PdAg bimetallic electrocatalyst for highly selective reduction of CO2 with low COOH* formation energy and facile CO desorption. Nano Res. 2019, 12, 2866–2871. [Google Scholar] [CrossRef]
  5. Liu, X.; Fang, J.; Guan, J.; Wang, S.; Xiong, Y.; Mao, J. Substance migration in the synthesis of single-atom catalysts. Chem. Commun. 2025, 61, 1800–1817. [Google Scholar] [CrossRef] [PubMed]
  6. Zhao, S.; Li, S.; Guo, T.; Zhang, S.; Wang, J.; Wu, Y.; Chen, Y. Advances in Sn-Based Catalysts for Electrochemical CO2 Reduction. Nano-Micro Lett. 2019, 11, 62. [Google Scholar] [CrossRef]
  7. Guo, S.; Liu, Y.; Murphy, E.; Ly, A.; Xu, M.; Matanovic, I.; Pan, X.; Atanassov, P. Robust palladium hydride catalyst for electrocatalytic formate formation with high CO tolerance. Appl. Catal. B-Environ. 2022, 316, 121659–121670. [Google Scholar] [CrossRef]
  8. Birdja, Y.Y.; Pérez-Gallent, E.; Figueiredo, M.C.; Göttle, A.J.; Calle-Vallejo, F.; Koper, M.T.M. Advances and challenges in understanding the electrocatalytic conversion of carbon dioxide to fuels. Nat. Energy 2019, 4, 732–745. [Google Scholar] [CrossRef]
  9. Zhou, L.Q.; Ling, C.; Jones, M.; Jia, H. Selective CO2 reduction on a polycrystalline Ag electrode enhanced by anodization treatment. Chem. Commun. 2015, 51, 17704–17707. [Google Scholar] [CrossRef]
  10. Zhou, Y.; Zhou, R.; Zhu, X.; Han, N.; Song, B.; Liu, T.; Hu, G.; Li, Y.; Lu, J.; Li, Y. Mesoporous PdAg nanospheres for stable electrochemical CO2 reduction to formate. Adv. Mater. 2020, 32, 2000992. [Google Scholar] [CrossRef]
  11. Wang, M.; Luo, J. A coupled electrochemical system for CO2 capture, conversion and product purification. Escience 2023, 3, 100155. [Google Scholar] [CrossRef]
  12. Zhang, D.; Wang, Y.; Peng, Y.; Luo, Y.; Liu, T.; He, W.; Chen, F.; Ding, M. Novel high-entropy perovskite-type symmetrical electrode for efficient and durable carbon dioxide reduction reaction. Adv. Powder Mater. 2023, 2, 100129. [Google Scholar] [CrossRef]
  13. Mistry, H.; Choi, Y.W.; Bagger, A.; Scholten, F.; Bonifacio, C.S.; Sinev, I.; Divins, N.J.; Zegkinoglou, I.; Jeon, H.S.; Kisslinger, K.; et al. Enhanced carbon dioxide electroreduction to carbon monoxide over defect-rich plasma-activated silver catalysts. Angew. Chem. Int. Ed. 2017, 56, 11394–11398. [Google Scholar] [CrossRef] [PubMed]
  14. Mou, S.; Li, Y.; Yue, L.; Liang, J.; Luo, Y.; Liu, Q.; Li, T.; Lu, S.; Asiri, A.M.; Xiong, X.; et al. Cu2Sb decorated Cu nanowire arrays for selective electrocatalytic CO2 to CO conversion. Nano Res. 2021, 14, 2831–2836. [Google Scholar] [CrossRef]
  15. Nguyen, T.N.; Salehi, M.; Le, Q.V.; Seifitokaldani, A.; Dinh, C.T. Fundamentals of electrochemical CO2 reduction on single-metal-atom catalysts. ACS Catal. 2020, 10, 10068–10095. [Google Scholar] [CrossRef]
  16. Padmos, J.D.; Boudreau, R.T.M.; Weaver, D.F.; Zhang, P. Impact of protecting ligands on surface structure and antibacterial activity of silver nanoparticles. Langmuir 2015, 31, 3745–3752. [Google Scholar] [CrossRef]
  17. Zhu, M.; Chen, J.; Huang, L.; Ye, R.; Xu, J.; Han, Y.F. Covalently grafting cobalt porphyrin onto carbon nanotubes for efficient CO2 electroreduction. Angew. Chem. Int. Ed. 2019, 58, 6595–6599. [Google Scholar] [CrossRef]
  18. Zhou, J.H.; Yuan, K.; Zhou, L.; Guo, Y.; Luo, M.Y.; Guo, X.Y.; Meng, Q.Y.; Zhang, Y.W. Boosting electrochemical reduction of CO2 at a low overpotential by amorphous Ag-Bi-S-O decorated Bi0 nanocrystals. Angew. Chem. Int. Ed. 2019, 58, 14197–14201. [Google Scholar] [CrossRef]
  19. Yetri, N.Y.; Ivandini, T.A.; Gunlazuardi, J. Preparation of copper oxide modified boron-doped diamond electrodes and its preliminary study for CO2 reduction. IOP Conf. Ser. Mater. Sci. Eng. 2017, 188, 012011. [Google Scholar] [CrossRef]
  20. Lu, Q.; Rosen, J.; Zhou, Y.; Hutchings, G.S.; Kimmel, Y.C.; Chen, J.G.; Jiao, F. A selective and efficient electrocatalyst for carbon dioxide reduction. Nat. Commun. 2014, 5, 3242–3247. [Google Scholar] [CrossRef]
  21. Wang, W.; Gong, S.; Liu, J.; Ge, Y.; Wang, J.; Lv, X. Ag-Cu aerogel for electrochemical CO2 conversion to CO. J. Colloid Interface Sci. 2021, 595, 159–167. [Google Scholar] [CrossRef]
  22. Wang, Y.; Zheng, X.; Wang, D. Design concept for electrocatalysts. Nano Res. 2021, 15, 1730–1752. [Google Scholar] [CrossRef]
  23. Wang, D.; Mao, J.; Zhang, C.; Zhang, J.; Li, J.; Zhang, Y.; Zhu, Y. Modulating microenvironments to enhance CO2 electroreduction performance. Escience 2023, 3, 100119. [Google Scholar] [CrossRef]
  24. Hu, F.; Xu, X.; Sun, Y.; Hu, C.; Shen, S.; Wang, Y.; Gong, L.; Li, L.; Peng, S. Reaction pathway regulation for gaseous and liquid products of electrocatalytic CO2 reduction under adsorbate interactions. Angew. Chem. Int. Ed. 2024, 64, e202419456. [Google Scholar] [CrossRef]
  25. Feng, X.; Jiang, K.; Fan, S.; Kanan, M.W. Grain-boundary-dependent CO2 electroreduction activity. J. Am. Chem. Soc. 2015, 137, 4606–4609. [Google Scholar] [CrossRef]
  26. Zhang, Y.; Liu, L.; Shi, L.; Yang, T.; Niu, D.; Hu, S.; Zhang, X. Enhancing CO2 electroreduction on nanoporous silver electrode in the presence of halides. Electrochim. Acta 2019, 313, 561–569. [Google Scholar] [CrossRef]
  27. Park, H.; Choi, J.; Kim, H.; Hwang, E.; Ha, D.-H.; Ahn, S.H.; Kim, S.-K. AgIn dendrite catalysts for electrochemical reduction of CO2 to CO. Appl. Catal. B Environ. 2017, 219, 123–131. [Google Scholar] [CrossRef]
  28. Hu, F.; Abeyweera, S.C.; Yu, J.; Zhang, D.; Wang, Y.; Yan, Q.; Sun, Y. Quantifying Electrocatalytic Reduction of CO2 on Twin Boundaries. Chem 2020, 6, 3007–3021. [Google Scholar] [CrossRef]
  29. Zhang, S.; Zhao, S.; Qu, D.; Liu, X.; Wu, Y.; Chen, Y.; Huang, W. Electrochemical reduction of CO2 toward C2 valuables on Cu@Ag core-shell tandem catalyst with tunable shell thickness. Small 2021, 17, 2102293. [Google Scholar] [CrossRef] [PubMed]
  30. Peng, X.; Karakalos, S.G.; Mustain, W.E. Preferentially oriented Ag nanocrystals with extremely high activity and faradaic efficiency for CO2 electrochemical reduction to CO. ACS Appl. Mater. Interfaces 2018, 10, 1734–1742. [Google Scholar] [CrossRef] [PubMed]
  31. Clark, E.L.; Ringe, S.; Tang, M.; Walton, A.; Hahn, C.; Jaramillo, T.F.; Chan, K.; Bell, A.T. Influence of atomic surface structure on the activity of Ag for the electrochemical reduction of CO2 to CO. ACS Catal. 2019, 9, 4006–4014. [Google Scholar] [CrossRef]
  32. Liu, S.; Wang, X.-Z.; Tao, H.; Li, T.; Liu, Q.; Xu, Z.; Fu, X.-Z.; Luo, J.-L. Ultrathin 5-fold twinned sub-25 nm silver nanowires enable highly selective electroreduction of CO2 to CO. Nano Energy 2018, 45, 456–462. [Google Scholar] [CrossRef]
  33. Jianping, Q.; Juntao, T.; Jie, S.; Cuiwei, W.; Mengqian, Q.; Zhiqiao, H.; Jianmeng, C.; Song, S. Preparation of a silver electrode with a three-dimensional surface and its performance in the electrochemical reduction of carbon dioxide. Electrochim. Acta 2016, 203, 99–108. [Google Scholar] [CrossRef]
  34. Hao, Y.; Sun, Y.; Wang, H.; Xue, J.; Ren, J.; Devi, A.A.S.; Maximov, M.Y.; Hu, F.; Peng, S. Self-supported copper selenide nanosheets for electrochemical carbon dioxide conversion to syngas with a broad H2-to-CO ratio. Electrochim. Acta 2023, 449, 142213. [Google Scholar] [CrossRef]
  35. Wannakao, S.; Jumpathong, W.; Kongpatpanich, K. Tailoring metalloporphyrin frameworks for an efficient carbon dioxide electroreduction: Selectively stabilizing key intermediates with H-bonding pockets. Inorg. Chem. 2017, 56, 7200–7209. [Google Scholar] [CrossRef]
  36. Wu, X.; Guo, Y.; Sun, Z.; Xie, F.; Guan, D.; Dai, J.; Yu, F.; Hu, Z.; Huang, Y.-C.; Pao, C.-W.; et al. Fast operando spectroscopy tracking in situ generation of rich defects in silver nanocrystals for highly selective electrochemical CO2 reduction. Nat. Commun. 2021, 12, 660. [Google Scholar] [CrossRef] [PubMed]
  37. Yoon, Y.; Yan, B.; Surendranath, Y. Suppressing ion transfer enables versatile measurements of electrochemical surface area for intrinsic activity comparisons. J. Am. Chem. Soc. 2018, 140, 2397–2400. [Google Scholar] [CrossRef] [PubMed]
  38. Connor, P.; Schuch, J.; Kaiser, B.; Jaegermann, W. The determination of electrochemical active surface area and specific capacity revisited for the system MnOx as an oxygen evolution catalyst. Z. Phys. Chem. 2020, 234, 979–994. [Google Scholar] [CrossRef]
Figure 1. (a) Schematics of the synthesis route; (b) the SEM images of CP-Ag; (ce) TEM image of CP-Ag; The red dotted line represents the area with grain boundary. (f) HAADF and EDS mapping images of CP-Ag.
Figure 1. (a) Schematics of the synthesis route; (b) the SEM images of CP-Ag; (ce) TEM image of CP-Ag; The red dotted line represents the area with grain boundary. (f) HAADF and EDS mapping images of CP-Ag.
Molecules 30 03475 g001
Figure 2. (a) XRD patterns of AgNP and CP-Ag; (b) XPS spectra of AgNP and CP-Ag for Ag 3d; Cyclic voltammograms at a scan rate of 50 mV/s for (c) AgNP and (d) CP-Ag; The peak intensities of red, blue, and green represent Ag (110), (100), and (111) crystal planes, respectively. (e) ECSA plots of CP-Ag and AgNP; (f) Cdl plots of CP-Ag and AgNP.
Figure 2. (a) XRD patterns of AgNP and CP-Ag; (b) XPS spectra of AgNP and CP-Ag for Ag 3d; Cyclic voltammograms at a scan rate of 50 mV/s for (c) AgNP and (d) CP-Ag; The peak intensities of red, blue, and green represent Ag (110), (100), and (111) crystal planes, respectively. (e) ECSA plots of CP-Ag and AgNP; (f) Cdl plots of CP-Ag and AgNP.
Molecules 30 03475 g002
Figure 3. (a) A comparison of current density versus potential; (b) the FE of CO and H2 for CP-Ag; (c) the FE of CO for CP-Ag, AgNP and Ag foam; (d) the FE of H2 for CP-Ag, AgNP and Ag foam; (e) CO partial current density of CP-Ag and AgNP; (f) overpotential versus CO production partial current density AgNP and CP-Ag; (g) the long-term stability test of CP-Ag in GDE-based flow cell with 0.1 M KHCO3.
Figure 3. (a) A comparison of current density versus potential; (b) the FE of CO and H2 for CP-Ag; (c) the FE of CO for CP-Ag, AgNP and Ag foam; (d) the FE of H2 for CP-Ag, AgNP and Ag foam; (e) CO partial current density of CP-Ag and AgNP; (f) overpotential versus CO production partial current density AgNP and CP-Ag; (g) the long-term stability test of CP-Ag in GDE-based flow cell with 0.1 M KHCO3.
Molecules 30 03475 g003
Figure 4. (a) The adsorption configuration of Ag (100) + *COOH; (b) the adsorption configuration of Ag (111) + *COOH; (c) the Eads(*COOH) of Ag (100) and Ag (111) (Ag: gray).
Figure 4. (a) The adsorption configuration of Ag (100) + *COOH; (b) the adsorption configuration of Ag (111) + *COOH; (c) the Eads(*COOH) of Ag (100) and Ag (111) (Ag: gray).
Molecules 30 03475 g004
Table 1. Comparison of electrochemical properties between CP-Ag and AgNPs on different crystal facets.
Table 1. Comparison of electrochemical properties between CP-Ag and AgNPs on different crystal facets.
MaterialCP-AgAgNPs
Crystal Facet110100111110100111
Area (×10−3 cm2)4.112.36.311.115.80.148
Capacitance (mF)0.430.660.020.200.340.22
Proportion (%)38.859.51.725.944.828.3
Disclaimer/Publisher’s Note: The statements, opinions and data contained in all publications are solely those of the individual author(s) and contributor(s) and not of MDPI and/or the editor(s). MDPI and/or the editor(s) disclaim responsibility for any injury to people or property resulting from any ideas, methods, instructions or products referred to in the content.

Share and Cite

MDPI and ACS Style

Xu, X.; Yang, S.; Wang, Y.; Chen, Y.; Devi, A.A.S.; Hu, F. Grain Boundary Engineering in 3D Porous Silver Electrocatalysts for Enhanced CO2-to-CO Conversion. Molecules 2025, 30, 3475. https://doi.org/10.3390/molecules30173475

AMA Style

Xu X, Yang S, Wang Y, Chen Y, Devi AAS, Hu F. Grain Boundary Engineering in 3D Porous Silver Electrocatalysts for Enhanced CO2-to-CO Conversion. Molecules. 2025; 30(17):3475. https://doi.org/10.3390/molecules30173475

Chicago/Turabian Style

Xu, Xiaoqian, Song Yang, Yixiang Wang, Ying Chen, Assa Aravindh Sasikala Devi, and Feng Hu. 2025. "Grain Boundary Engineering in 3D Porous Silver Electrocatalysts for Enhanced CO2-to-CO Conversion" Molecules 30, no. 17: 3475. https://doi.org/10.3390/molecules30173475

APA Style

Xu, X., Yang, S., Wang, Y., Chen, Y., Devi, A. A. S., & Hu, F. (2025). Grain Boundary Engineering in 3D Porous Silver Electrocatalysts for Enhanced CO2-to-CO Conversion. Molecules, 30(17), 3475. https://doi.org/10.3390/molecules30173475

Article Metrics

Back to TopTop