Evaluation of Cyclotron Solid Target Produced Gallium-68 Chloride for the Labeling of [68Ga]Ga-PSMA-11 and [68Ga]Ga-DOTATOC
Abstract
1. Introduction
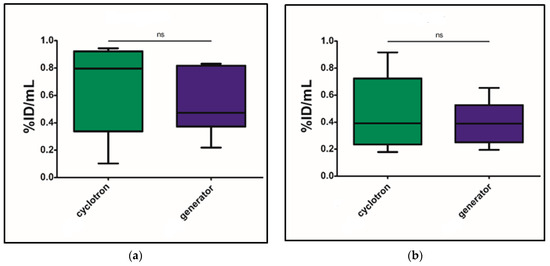
2. Results
3. Discussion
4. Materials and Methods
4.1. Reagents
4.2. Cyclotron Production of Gallium-68 Chloride Solution for Radiolabeling
4.3. Labeling Procedure for [68Ga]Ga-PSMA-11 and [68Ga]Ga-DOTATOC
4.3.1. [68Ga]Ga-PSMA-11 (Precursors A and B)
4.3.2. [68Ga]Ga-PSMA-11 (Precursor C)
4.3.3. [68Ga]Ga-DOTATOC (Precursors D and E)
4.3.4. [68Ga]Ga-DOTATOC (Precursors F)
4.4. Labeling Procedure for [68Ga]Ga-PSMA-11 and [68Ga]Ga-DOTATOC for In Vivo Study
4.5. Quality Control
4.5.1. High-Performance Liquid Chromatography
4.5.2. Thin Layer Chromatography
4.6. Cell Cultures
4.7. Animal Models
4.8. PET/CT Measurements
5. Conclusions
Supplementary Materials
Author Contributions
Funding
Institutional Review Board Statement
Informed Consent Statement
Data Availability Statement
Conflicts of Interest
References
- Ashhar, Z.; Ahmad Fadzil, M.F.; Othman, M.F. Cyclotron Production of Gallium-68 Radiopharmaceuticals Using the 68Zn(p,n)68Ga Reaction and Their Regulatory Aspects. Pharmaceutics 2023, 15, 70. [Google Scholar] [CrossRef] [PubMed]
- Fendler, W.P.; Eiber, M.; Beheshti, M.; Bomanji, J.; Calais, J.; Ceci, F.; Cho, S.Y.; Fanti, S.; Giesel, F.L.; Goffin, K.; et al. PSMA PET/CT: Joint EANM procedure guideline/SNMMI procedure standard for prostate cancer imaging 2.0. Eur. J. Nucl. Med. Mol. Imaging 2023, 50, 1466–1486. [Google Scholar] [CrossRef] [PubMed]
- Kos-Kudła, B.; Foltyn, W.; Malczewska, A.; Bednarczuk, T.; Bolanowski, M.; Borowska, M.; Chmielik, E.; Ćwikła, J.B.; Gisterek, I.; Handkiewicz-Junak, D.; et al. Update of the diagnostic and therapeutic guidelines for gastro-entero-pancreatic neuroendocrine neoplasms (recommended by the Polish Network of Neuroendocrine Tumours). Endokrynol. Pol. 2022, 73, 387–454. [Google Scholar] [CrossRef] [PubMed]
- FDA. Letter of Approval for NETSPOT™. Available online: https://www.accessdata.fda.gov/drugsatfda_docs/appletter/2016/208547Orig1s000ltr.pdf (accessed on 25 June 2025).
- European Medicines Agency. Product Information for SomaKit TOC®. Available online: https://www.ema.europa.eu/en/documents/product-information/somakit-toc-epar-product-information_en.pdf (accessed on 30 June 2025).
- Hennrich, U.; Benešová, M. [68Ga]Ga-DOTA-TOC: The First FDA-Approved 68Ga Radiopharmaceutical for PET Imaging. Pharmaceuticals 2020, 13, 38. [Google Scholar] [CrossRef]
- FDA. Letter of Approval for Illuccix®. Available online: https://www.accessdata.fda.gov/drugsatfda_docs/nda/2022/214032Orig1s000Approv.pdf (accessed on 30 June 2025).
- FDA. Letter of Approval for LOCAMETZ®. Available online: https://www.accessdata.fda.gov/drugsatfda_docs/appletter/2022/215841Orig1s000ltr.pdf (accessed on 30 June 2025).
- European Medicines Agency. Product Information for Locametz®. Available online: https://www.ema.europa.eu/en/documents/product-information/locametz-epar-product-information_en.pdf (accessed on 30 June 2025).
- Kumar, K. The Current Status of the Production and Supply of Gallium-68. Cancer Biother. Radiopharm. 2020, 35, 163–168. [Google Scholar] [CrossRef]
- Talip, Z.; Favaretto, C.; Geistlich, S.; Meulen, N.P.V. A Step-by-Step Guide for the Novel Radiometal Production for Medical Applications: Case Studies with 68Ga, 44Sc, 177Lu and 161Tb. Molecules 2020, 25, 966. [Google Scholar] [CrossRef]
- Rodnick, M.E.; Sollert, C.; Stark, D.; Clark, M.; Katsifis, A.; Hockley, B.G.; Parr, D.C.; Frigell, J.; Henderson, B.D.; Abghari-Gerst, M.; et al. Cyclotron-Based Production of 68Ga, [68Ga]GaCl3, and [68Ga]Ga-PSMA-11 from a Liquid Target. EJNMMI Radiopharm. Chem. 2020, 5, 25. [Google Scholar] [CrossRef]
- Nelson, B.J.B.; Wilson, J.; Richter, S.; Duke, M.J.M.; Wuest, M.; Wuest, F. Taking cyclotron 68Ga production to the next level: Expeditious solid target production of 68Ga for preparation of radiotracers. Nucl. Med. Biol. 2020, 80, 24–31. [Google Scholar] [CrossRef]
- Becker, K.V.; Chernysheva, M.; Barnhart, T.E.; Gagnon, K.; Engle, J.W. A Review of Accelerator-Produced Ga-68 with Solid Targets. Curr. Radiopharm. 2021, 14, 315–324. [Google Scholar] [CrossRef]
- GalliUC. Resumo das Características do Medicamento ICNAS-Produção Unipessoal, Lda. Available online: https://extranet.infarmed.pt/INFOMED-fo/detalhes-medicamento.xhtml (accessed on 25 June 2025).
- Characteristic of Medicinal Product of V-Ga68. Available online: https://rejestry.ezdrowie.gov.pl/rpl/ (accessed on 25 June 2025).
- Gallium (68Ga) Chloride (Accelerator-Produced) Solution for Radiolabelling, Monograph 3109. Ph. Eur. Suppl. 11.8. Stras-bourg, France: Council of Europe. 2025. Available online: https://faq.edqm.eu/pages/viewpage.action?pageId=1377105#:~:text=The%20official%20abbreviation%20is%20%E2%80%98Ph.%20Eur.%E2%80%99%20The%20following,Suppl.%2011.8.%20Strasbourg%2C%20France%3A%20Council%20of%20Europe%3B%202025 (accessed on 30 June 2025).
- Kumar, D.; Mathur, A.; Prashant, V.; Mirapurkar, S.; Das, S.; Kumar, S.; Murhekar, V.V. Regular production and supply of ready-to-use gallium-68 radiopharmaceuticals: Centralized radiopharmacy concept with supply experience of 300 doses. J. Radioanal. Nucl. Chem. 2021, 330, 83–90. [Google Scholar] [CrossRef]
- Bauwens, M.; Chekol, R.; Vanbilloen, H.; Bormans, G.; Verbruggen, A. Optimal buffer choice of the radiosynthesis of (68)Ga-Dotatoc for clinical application. Nucl. Med. Commun. 2010, 31, 753–758. [Google Scholar] [CrossRef]
- Reverchon, J.; Khayi, F.; Roger, M.; Moreau, A.; Kryza, D. Optimization of the radiosynthesis of [68Ga]Ga-PSMA-11 using a Trasis MiniAiO synthesizer: Do we need to heat and purify? Nucl. Med. Com. 2020, 41, 977–985. [Google Scholar] [CrossRef]
- Eder, M.; Neels, O.; Müller, M.; Bauder-Wüst, U.; Remde, Y.; Schäfer, M.; Hennrich, U.; Eisenhut, M.; Afshar-Oromieh, A.; Haberkorn, U.; et al. Novel Preclinical and Radiopharmaceutical Aspects of [68Ga]Ga-PSMA-HBED-CC: A New PET Tracer for Imaging of Prostate Cancer. Pharmaceuticals 2014, 7, 779–796. [Google Scholar] [CrossRef]
- Gallium (68Ga) PSMA-11 Injection, Monograph 3044. Ph. Eur. Suppl. 11.8. Strasbourg, France: Council of Europe. 2025. Available online: https://faq.edqm.eu/pages/viewpage.action?pageId=1377105#:~:text=The%20official%20abbreviation%20is%20%E2%80%98Ph.%20Eur.%E2%80%99%20The%20following,Suppl.%2011.8.%20Strasbourg%2C%20France%3A%20Council%20of%20Europe%3B%202025 (accessed on 30 June 2025).
- Gallium (68Ga) Edotreotide Injection, monograph 2482. Ph. Eur. Suppl. 11.8. Strasbourg, France: Council of Europe. 2025. Available online: https://faq.edqm.eu/pages/viewpage.action?pageId=1377105#:~:text=The%20official%20abbreviation%20is%20%E2%80%98Ph.%20Eur.%E2%80%99%20The%20following,Suppl.%2011.8.%20Strasbourg%2C%20France%3A%20Council%20of%20Europe%3B%202025 (accessed on 30 June 2025).
- Maruk, A.; Larenkov, A. Determination of ionic 68Ga impurity in radiopharmaceuticals: Major revision of radio-HPLC methods. J. Radioanal. Nucl. Chem. 2019, 323, 189–195. [Google Scholar] [CrossRef]
- Larenkov, A.; Maruk, A.; Kodina, G. Intricacies of the determination of the radiochemical purity of 68Ga preparations: Possibility of sorption of ionic 68Ga species on reversed-phase columns. Radiochemistry 2018, 60, 625–633. [Google Scholar] [CrossRef]
- GalliaPharm 1.11—3.70 GBq Radionuclide Generator—Summary of Product Characteristics. Available online: https://www.ema.europa.eu/system/files/documents/product-information/ema-combined-h-6053-en.pdf (accessed on 30 June 2025).
- International Atomic Energy Agency. Gallium-68 Cyclotron Production; IAEA-TECDOC-1863; IAEA: Vienna, Austria, 2019. [Google Scholar]
- Tieu, W.; Hollis, C.A.; Kuan, K.K.W.; Takhar, P.; Stuckings, M.; Spooner, N.; Malinconico, M. Rapid and automated production of [68Ga]gallium chloride and [68Ga]Ga-DOTA-TATE on a medical cyclotron. Nucl. Med. Biol. 2019, 74, 12–18. [Google Scholar] [CrossRef]
- Lin, M.; Paolillo, V.; Ta, R.T.; Damasco, J.; Rojo, R.D.; Carl, J.C.; Melancon, M.P.; Ravizzini, G.C.; Le, D.B.; Santos, E.B. Fully automated preparation of 68Ga PSMA 11 at curie level quantity using cyclotron-produced 68Ga for clinical applications. Appl. Rad. Isot. 2020, 155, 108936. [Google Scholar] [CrossRef]
- Thisgaard, H.; Kumlin, J.; Langkjær, N.; Chua, J.; Hook, B.; Jensen, M.; Kassaian, A.; Zeisler, S.; Borjian, S.; Cross, M.; et al. Multi-Curie Production of Gallium-68 on a Biomedical Cyclotron and Automated Radiolabelling of PSMA-11 and DOTATATE. EJNMMI Radiopharm. Chem. 2021, 6, 1. [Google Scholar] [CrossRef] [PubMed]
- Svedjehed, J.; Pärnaste, M.; Gagnon, K. Demystifying solid targets: Simple and rapid distribution-scale production of [68Ga]GaCl3 and [68Ga]Ga-PSMA-11. Nucl. Med. Biol. 2022, 104, 1–10. [Google Scholar] [CrossRef] [PubMed]
- Jussing, E.; Milton, S.; Samén, E.; Moein, M.M.; Bylund, L.; Axelsson, R.; Siikanen, J.; Tran, T.A. Clinically Applicable Cyclotron-Produced Gallium-68 Gives High-Yield Radiolabeling of DOTA-Based Tracers. Biomolecules 2021, 11, 1118. [Google Scholar] [CrossRef]
- Wang, I.E.; Brooks, A.F.; Clark, M.; Morrissette, L.J.; Scott, P.J.H. Improved purification of cyclotron [68Ga]GaCl3 for the production of 68Ga radiopharmaceuticals. Nucl. Med. Biol. 2024, 130, 108892. [Google Scholar] [CrossRef]
- Martinez, J.; Subramanian, K.; Huicochea Castellanos, S.; Thomas, C.; Choudhury, A.R.; Muench, B.; Tagawa, S.T.; Pillarsetty, N.V.K.; Osborne, J.R. Cyclotron vs. generator-produced 68Ga-PSMA: A single-institution, prospective clinical trial. Transl. Oncol. 2023, 28, 101593. [Google Scholar] [CrossRef]
- Tremblay, S.; Beaudoin, J.F.; Benesty, O.B. 68Ga-DOTATATE Prepared from Cyclotron Produced Gallium-68: An Integrated Solution from Cyclotron Vault to Safety Assessment and Diagnostic Efficacy in Neuroendocrine Cancer Patients. J. Nucl. Med. 2022, 64, 232–238. [Google Scholar] [CrossRef] [PubMed]
- Chattopadhyay, S.; Ash, S.; Mahesh, D.G.; Barua, L.; Mitra, A.; Das, S.S.; Singha, S.; Nayer, M.A.; Madhusmita; Kumar, U.; et al. Preparation of [68Ga]Ga-Chloride from 68Zn solid target for the synthesis of pharmaceutical grade [68Ga]Ga-PSMA-11 and [68Ga]Ga-DOTA-TATE. Appl. Radiat. Isot. 2023, 195, 110744. [Google Scholar] [CrossRef] [PubMed]
- Rodnick, M.E.; Sollert, C.; Stark, D. Synthesis of 68Ga-radiopharmaceuticals using both generator-derived and cyclotron-produced 68Ga as exemplified by [68Ga]Ga-PSMA-11 for prostate cancer PET imaging. Nat. Protoc. 2022, 17, 980–1003. [Google Scholar] [CrossRef] [PubMed]



| Precursor A | Precursor B | Precursor C | ||
|---|---|---|---|---|
| Peptide mass [µg] | 10 | 40 | 20 | |
| Appearance | Clear colorless | Clear colorless | Clear colorless | |
| pH 1 | 4.05 ± 0.04 | 4.08 ± 0.04 | 4.37 ± 0.03 | |
| Radiochemical purity 1 TLC method [%] | 99.75 ± 0.04 | 99.55 ± 0.38 | 98.75 ± 0.39 | |
| Radiochemical purity 1 HPLC method [%] | 99.77 ± 0.20 | 99.30 ± 0.81 | 98.33 ± 0.22 | |
| Activity [MBq] | Run 1 | 2520 | 2090 | 2200 |
| Run 2 | 2080 | 1660 | 2200 | |
| Run 3 | 1090 | 3095 | 1850 | |
| Precursor D | Precursor E | Precursor F | ||
|---|---|---|---|---|
| Peptide mass [µg] | 50 | 50 | 40 | |
| Appearance | Clear colorless | Clear colorless | Clear colorless | |
| pH 1 | 4.12 ± 0.05 | 4.18 ± 0.01 | 3.28 ± 0.02 | |
| Radiochemical purity 1 TLC method [%] | 98.18 ± 0.83 | 98.14 ± 1.22 | 98.22 ± 0.15 | |
| Radiochemical purity 1 HPLC method [%] | 99.51 ± 0.61 | 99.53 ± 0.62 | 99.39 ± 0.07 | |
| Run 1 | Activity [MBq] | 1140 | 834 | 1210 |
| Yield [%] | 61.29 | 53.81 | N.A. | |
| Run 2 | Activity [MBq] | 440 | 232 | 715 |
| Yield [%] | 58.67 | 54.59 | N.A. | |
| Run 3 | Activity [MBq] | 475 | 392 | 490 |
| Yield [%] | 62.50 | 54.07 | N.A. | |
| Yield 1 [%] | 60.81 ± 1.96 | 54.15 ± 0.40 | N.A. | |
Disclaimer/Publisher’s Note: The statements, opinions and data contained in all publications are solely those of the individual author(s) and contributor(s) and not of MDPI and/or the editor(s). MDPI and/or the editor(s) disclaim responsibility for any injury to people or property resulting from any ideas, methods, instructions or products referred to in the content. |
© 2025 by the authors. Licensee MDPI, Basel, Switzerland. This article is an open access article distributed under the terms and conditions of the Creative Commons Attribution (CC BY) license (https://creativecommons.org/licenses/by/4.0/).
Share and Cite
Jagodziński, M.; Boratyński, J.; Hamankiewicz, P.; Cheda, Ł.; Uhrynowski, W.; Girstun, A.; Trzcińska-Danielewicz, J.; Rogulski, Z.; Pilch-Kowalczyk, M. Evaluation of Cyclotron Solid Target Produced Gallium-68 Chloride for the Labeling of [68Ga]Ga-PSMA-11 and [68Ga]Ga-DOTATOC. Molecules 2025, 30, 3458. https://doi.org/10.3390/molecules30173458
Jagodziński M, Boratyński J, Hamankiewicz P, Cheda Ł, Uhrynowski W, Girstun A, Trzcińska-Danielewicz J, Rogulski Z, Pilch-Kowalczyk M. Evaluation of Cyclotron Solid Target Produced Gallium-68 Chloride for the Labeling of [68Ga]Ga-PSMA-11 and [68Ga]Ga-DOTATOC. Molecules. 2025; 30(17):3458. https://doi.org/10.3390/molecules30173458
Chicago/Turabian StyleJagodziński, Michał, Jakub Boratyński, Paulina Hamankiewicz, Łukasz Cheda, Witold Uhrynowski, Agnieszka Girstun, Joanna Trzcińska-Danielewicz, Zbigniew Rogulski, and Marek Pilch-Kowalczyk. 2025. "Evaluation of Cyclotron Solid Target Produced Gallium-68 Chloride for the Labeling of [68Ga]Ga-PSMA-11 and [68Ga]Ga-DOTATOC" Molecules 30, no. 17: 3458. https://doi.org/10.3390/molecules30173458
APA StyleJagodziński, M., Boratyński, J., Hamankiewicz, P., Cheda, Ł., Uhrynowski, W., Girstun, A., Trzcińska-Danielewicz, J., Rogulski, Z., & Pilch-Kowalczyk, M. (2025). Evaluation of Cyclotron Solid Target Produced Gallium-68 Chloride for the Labeling of [68Ga]Ga-PSMA-11 and [68Ga]Ga-DOTATOC. Molecules, 30(17), 3458. https://doi.org/10.3390/molecules30173458

