State of the Art and Challenges in Complete Benzene Oxidation: A Review
Abstract
1. Introduction
1.1. Short Overview of VOC Abatement Technologies
1.2. Recent Progress in Development of VOC Oxidation Catalysts
2. Properties and Sources of Benzene
3. Catalysts for Complete Benzene Oxidation
3.1. Noble Metal-Based Catalysts
3.1.1. Platinum-Based Catalysts
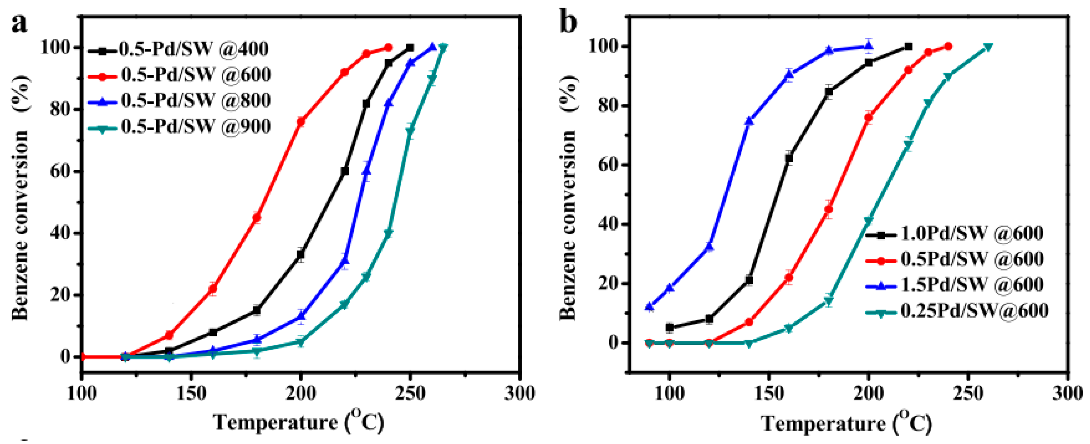
3.1.2. Palladium-Based Catalysts
3.1.3. Gold-Based Catalysts
3.1.4. Silver-Based Catalysts
3.1.5. Other Noble Metal-Based Catalysts
3.2. Non-Noble Metal-Based Catalysts
3.2.1. Manganese Oxide-Based Catalysts
3.2.2. Cobalt Oxide-Based Catalysts
3.2.3. Copper Oxide-Based Catalysts
3.2.4. Ceria-Based Catalysts
3.2.5. Mixed Metal Oxides Catalysts
4. Benzene Oxidation in Mixtures
5. Benzene Oxidation Mechanism
6. Effect of Water Vapor and Other Impurities on Benzene Removal Efficiency
7. Conclusions and Future Directions
Funding
Institutional Review Board Statement
Informed Consent Statement
Data Availability Statement
Acknowledgments
Conflicts of Interest
References
- Ivanova, S.; Pérez, A.; Centeno, M.Á.; Odriozola, J.A. Structured catalysts for volatile organic compound removal. In New and Future Developments in Catalysis: Catalysis for Remediation and Environmental Concerns, 1st ed.; Suib, S., Ed.; Elsevier B.V.: Amsterdam, The Netherlands, 2013; pp. 233–256. [Google Scholar]
- Rochard, G.; Olivet, L.; Tannous, M.; Poupin, C.; Siffert, S.; Cousin, R. Recent advances in the catalytic treatment of volatile organic compounds: A review based on the mixture effect. Catalysts 2021, 11, 1218. [Google Scholar] [CrossRef]
- Directive, E.U. Directive 2004/42/EC of the European Parliament and of the council of 21 April 2004 on the limitation of emissions of volatile organic compounds due to the use of organic solvents in certain paints and varnishes and vehicle refinishing products and amending Directive 1999/13/EC4. Off. J. Eur. Union L 2014, 143, 87–96. [Google Scholar]
- Mozaffar, A.; Zhang, Y.-L. Atmospheric volatile organic compounds (VOCs) in China: A review. Curr. Pollut. Rep. 2020, 6, 250–263. [Google Scholar] [CrossRef]
- Tran, H.M.; Tsai, F.J.; Lee, Y.L.; Chang, J.H.; Chang, L.T.; Chang, T.Y.; Chung, K.F.; Kuo, H.P.; Lee, K.Y.; Chuang, K.J.; et al. The impact of air pollution on respiratory diseases in an era of climate change: A review of the current evidence. Sci. Total Environ. 2023, 898, 166340. [Google Scholar] [CrossRef] [PubMed]
- Cheng, C.A.; Ching, T.C.; Tsai, S.W.; Chuang, K.J.; Chuang, H.C.; Chang, T.Y. Exposure and health risk assessment of indoor volatile organic compounds in a medical university. Environ. Res. 2022, 213, 113644. [Google Scholar] [CrossRef]
- Huang, H.; Xu, Y.; Feng, Q.; Leung, D.Y.C. Low temperature catalytic oxidation of volatile organic compounds: A review. Catal. Sci. Technol. 2015, 5, 2649–2669. [Google Scholar] [CrossRef]
- Gelles, T.; Krishnamurthy, A.; Adebayo, B.; Rownaghi, A.; Rezaei, F. Abatement of gaseous volatile organic compounds: A material perspective. Catal. Today 2020, 350, 3–18. [Google Scholar] [CrossRef]
- Krishnamurthy, A.; Adebayo, B.; Gelles, T.; Rownaghi, A.; Rezaei, F. Abatement of gaseous volatile organic compounds: A process perspective. Catal. Today 2020, 350, 100–119. [Google Scholar] [CrossRef]
- Zhang, R.; He, H.; Tang, Y.; Zhang, Z.; Zhou, H.; Yu, J.; Zhang, L.; Dai, B. A Review on Fe2O3-based catalysts for toluene oxidation: Catalysts design and optimization with the formation of abundant oxygen vacancies. ChemCatChem 2024, 16, e202400396. [Google Scholar] [CrossRef]
- Li, D.; Wang, L.; Lu, Y.; Deng, H.; Zhang, Z.; Wang, Y.; Ma, Y.; Pan, T.; Zhao, Q.; Shan, Y.; et al. New insights into the catalytic mechanism of VOCs abatement over Pt/Beta with active sites regulated by zeolite acidity. Appl. Catal. B Environ. 2023, 334, 122811. [Google Scholar] [CrossRef]
- Tao, C.; He, L.; Zhou, X.; Li, H.; Ren, Q.; Han, H.; Hu, S.; Su, S.; Wang, Y.; Xiang, J. Review of emission characteristics and purification methods of volatile organic compounds (VOCs) in cooking oil fume. Processes 2023, 11, 705. [Google Scholar] [CrossRef]
- Moores, F.C. Climate change and air pollution: Exploring the synergies and potential for mitigation in industrializing countries. Sustainability 2009, 1, 43–54. [Google Scholar] [CrossRef]
- Manisalidis, I.; Stavropoulou, E.; Stavropoulos, A.; Bezirtzoglou, E. Environmental and Health Impacts of Air Pollution: A Review. Front. Public Health 2020, 8, 14. [Google Scholar] [CrossRef]
- COP28 Agreement Signals. Available online: https://unfccc.int/news/cop28-agreement-signals-beginning-of-the-end-of-the-fossil-fuel-era (accessed on 1 July 2024).
- Li, X.; Zhang, J.; Zhang, Y.; Liu, B.; Liang, P. Catalytic oxidation of volatile organic compounds over manganese-based catalysts: Recent trends and challenges. J. Environ. Chem. Eng. 2022, 10, 108638. [Google Scholar] [CrossRef]
- Li, T.; Li, H.; Li, C. A review and perspective of recent research in biological treatment applied in removal of chlorinated volatile organic compounds from waste air. Chemosphere 2020, 250, 126338. [Google Scholar] [CrossRef]
- Rybarczyk, P. Removal of Volatile Organic Compounds (VOCs) from Air: Focus on Biotrickling Filtration and Process Modeling. Processes 2022, 10, 2531. [Google Scholar] [CrossRef]
- Almaie, S.; Vatanpour, V.; Rasoulifard, M.H.; Koyuncu, I. Volatile organic compounds (VOCs) removal by photocatalysts: A review. Chemosphere 2022, 306, 135655. [Google Scholar] [CrossRef]
- Wang, J.; Wang, P.; Wu, Z.; Yu, T.; Abudula, A.; Sun, M.; Ma, X.; Guan, G. Mesoporous catalysts for catalytic oxidation of volatile organic compounds: Preparations, mechanisms and applications. Rev. Chem. Eng. 2023, 39, 541–565. [Google Scholar] [CrossRef]
- Gao, W.; Tang, X.; Yi, H.; Jiang, S.; Yu, Q.; Xie, X.; Zhuang, R. Mesoporous molecular sieve-based materials for catalytic oxidation of VOC: A review. J. Environ. Sci. 2023, 125, 112–134. [Google Scholar] [CrossRef]
- Zhou, H.; Su, W.; Xing, Y.; Wang, J.; Zhang, W.; Jia, H.; Su, W.; Yue, T. Progress of catalytic oxidation of VOCs by manganese-based catalysts. Fuel 2024, 366, 131305. [Google Scholar] [CrossRef]
- Baskaran, D.; Dhamodharan, D.; Behera, U.S.; Byun, H. A comprehensive review and perspective research in technology integration for the treatment of gaseous volatile organic compounds. Environ. Res. 2024, 251, 118472. [Google Scholar] [CrossRef] [PubMed]
- Blin, J.-L.; Michelin, L.; Lebeau, B.; Naydenov, A.; Velinova, R.; Kolev, H.; Gaudin, P.; Vidal, L.; Dotzeva, A.; Tenchev, K.; et al. Co–Ce oxides supported on SBA-15 for VOCs oxidation. Catalysts 2021, 11, 366. [Google Scholar] [CrossRef]
- Liu, R.; Wu, H.; Shi, J.; Xu, X.; Zhao, D.; Ng, Y.H.; Zhang, M.; Liu, S.; Ding, H. Recent progress on catalysts for catalytic oxidation of volatile organic compounds: A review. Catal. Sci. Technol. 2022, 12, 6945–6991. [Google Scholar] [CrossRef]
- Zhang, K.; Ding, H.; Pan, W.; Mu, X.; Qiu, K.; Ma, J.; Zhao, Y.; Song, J.; Zhang, Z. Research progress of a composite metal oxide catalyst for VOC degradation. Environ. Sci. Technol. 2022, 56, 9220–9236. [Google Scholar] [CrossRef]
- Kamal, M.S.; Razzak, S.A.; Hossain, M.M. Catalytic oxidation of volatile organic compounds (VOCs)—A review. Atmos. Environ. 2016, 140, 117–134. [Google Scholar] [CrossRef]
- Zang, M.; Zhao, C.; Wang, Y.; Chen, S. A review of recent advances in catalytic combustion of VOCs on perovskite-type catalysts. J. Saudi Chem. Soc. 2019, 23, 645–654. [Google Scholar] [CrossRef]
- Yang, C.; Miao, G.; Pi, Y.; Xia, Q.; Wu, J.; Li, Z.; Xiao, J. Abatement of various types of VOCs by adsorption/catalytic oxidation: A review. Chem. Eng. J. 2019, 370, 1128–1153. [Google Scholar] [CrossRef]
- Li, S.; Chen, Y. Catalytic oxidation of volatile organic compounds. In Environmental Functional Nanomaterials; Wang, Q., Zhong, Z., Eds.; De Gruyter: Berlin, Germany, 2020; pp. 41–88. [Google Scholar]
- Lee, J.E.; Ok, Y.S.; Tsang, D.C.W.; Song, J.; Jung, S.C.; Park, Y.K. Recent advances in volatile organic compounds abatement by catalysis and catalytic hybrid processes: A critical review. Sci. Total Environ. 2020, 719, 137405. [Google Scholar] [CrossRef]
- Guo, Y.; Wen, M.; Li, G.; An, T. Recent advances in VOC elimination by catalytic oxidation technology onto various nanoparticles catalysts: A critical review. Appl. Catal. B Environ. 2021, 281, 119447. [Google Scholar] [CrossRef]
- Brummer, V.; Teng, S.Y.; Jecha, D.; Skryja, P.; Vavrcikova, V.; Stehlik, P. Contribution to cleaner production from the point of view of VOC emissions abatement: A review. J. Clean. Prod. 2022, 361, 132112. [Google Scholar] [CrossRef]
- Sui, C.; Zeng, S.; Ma, X.; Zhang, Y.; Zhang, J.; Xie, X. Research progress of catalytic oxidation of volatile organic compounds over Mn-based catalysts—A review. Rev. Inorg. Chem. 2023, 43, 1–12. [Google Scholar] [CrossRef]
- Wang, D.; Yuan, C.; Yang, C.; Wang, P.; Zhan, Y.; Guo, N.; Jiang, L.; Wang, Z.; Wang, Z. Recent advances in catalytic removal of volatile organic compounds over metal–organic framework–derived catalysts: A review. Separ. Purif. Technol. 2023, 326, 124765. [Google Scholar] [CrossRef]
- He, C.; Cheng, J.; Zhang, X.; Douthwaite, M.; Pattisson, S.; Hao, Z. Recent advances in the catalytic oxidation of volatile organic compounds: A review based on pollutant sorts and sources. Chem. Rev. 2019, 119, 4471–4568. [Google Scholar] [CrossRef] [PubMed]
- Li, J.; Liu, H.; Deng, Y.; Liu, G.; Chen, Y.; Yang, J. Emerging nanostructured materials for the catalytic removal of volatile organic compounds. Nanotechnol. Rev. 2016, 5, 147–181. [Google Scholar] [CrossRef]
- Wang, P.; Wang, L.; Zhao, Y.; Zhang, B.; Wang, D. Progress in degradation of volatile organic compounds by catalytic oxidation: A review based on the kinds of active components of catalysts. Water Air Soil Pollut. 2024, 235, 7. [Google Scholar] [CrossRef]
- Liotta, L.F. Catalytic oxidation of volatile organic compounds on supported noble metals. Appl. Catal. B Environ. 2010, 100, 403–412. [Google Scholar] [CrossRef]
- Morales-Torres, S.; Carrasco-Marín, F.; Pérez-Cadenas, A.F.; Maldonado-Hódar, F.J. Coupling noble metals and carbon supports in the development of combustion catalysts for the abatement of BTX compounds in air streams. Catalysts 2015, 5, 774–799. [Google Scholar] [CrossRef]
- Song, S.; Zhang, S.; Zhang, X.; Verma, P.; Wen, M. Advances in catalytic oxidation of volatile organic compounds over Pd-supported catalysts: Recent trends and challenges. Front. Mater. 2020, 7, 595667. [Google Scholar] [CrossRef]
- Kim, H.-S.; Kim, H.-J.; Kim, J.-H.; Kang, S.-H.; Ryu, J.-H.; Park, N.-K.; Yun, D.-S.; Bae, J.-W. Noble-metal-based catalytic oxidation technology trends for volatile organic compound (VOC) removal. Catalysts 2022, 12, 63. [Google Scholar] [CrossRef]
- Chu, S.; Wang, E.; Feng, F.; Zhang, C.; Jiang, J.; Zhang, Q.; Wang, F.; Bing, L.; Wang, G.; Han, D. A review of noble metal catalysts for catalytic removal of VOCs. Catalysts 2022, 12, 1543. [Google Scholar] [CrossRef]
- Scirè, S.; Liotta, L.F. Supported gold catalysts for the total oxidation of volatile organic compounds. Appl. Catal. B Environ. 2012, 125, 222–246. [Google Scholar] [CrossRef]
- Barakat, T.; Rooke, J.C.; Genty, E.; Cousin, R.; Siffert, S.; Su, B.L. Gold catalysts in environmental remediation and water-gas shift technologies. Energy Environ. Sci. 2013, 6, 371–391. [Google Scholar] [CrossRef]
- Carabineiro, S.A.C.; Chen, X.; Martynyuk, O.; Bogdanchikova, N.; Avalos-Borja, M.; Pestryakov, A.; Tavares, P.B.; Órfão, J.J.M.; Pereira, M.F.R.; Figueiredo, J.L. Gold supported on metal oxides for volatile organic compounds total oxidation. Catal. Today 2015, 244, 103–114. [Google Scholar] [CrossRef]
- Gaálová, J.; Topka, P. Gold and ceria as catalysts for VOC abatement: A review. Catalysts 2021, 11, 789. [Google Scholar] [CrossRef]
- Carabineiro, S.A.C. Environmental catalysis by gold nanoparticles. In Catalysis for a Sustainable Environment: Reactions, Processes and Applied Technologies; Pombeiro, A.J.L., Sutradhar, M., Alegria, E.C.B.A., Eds.; Wiley Online Library: Hoboken, NJ, USA, 2024; pp. 481–514. [Google Scholar]
- Piumetti, M.; Fino, D.; Russo, N. Mesoporous manganese oxides prepared by solution combustion synthesis as catalysts for the total oxidation of VOCs. Appl. Catal. B Environ. 2015, 163, 277–287. [Google Scholar] [CrossRef]
- Pan, H.; Jian, Y.; Chen, C.; He, C.; Hao, Z.; Shen, Z.; Liu, H. Sphere-shaped Mn3O4 catalyst with remarkable low temperature activity for methyl–ethyl–ketone combustion. Environ. Sci. Technol. 2017, 51, 6288–6297. [Google Scholar] [CrossRef] [PubMed]
- Topka, P.; Dvořáková, M.; Kšírová, P.; Perekrestov, R.; Čada, M.; Balabánová, J.; Koštejn, J.; Jirátová, K.; Kovanda, F. Structured cobalt oxide catalysts for VOC abatement: The effect of preparation method. Environ. Sci. Pollut. Res. 2019, 27, 7608–7617. [Google Scholar] [CrossRef]
- Todorova, S.; Blin, J.L.; Naydenov, A.; Lebeau, B.; Kolev, H.; Gaudin, P.; Dotzeva, A.; Velinova, R.; Filkova, D.; Ivanova, I.; et al. Co3O4-MnOx oxides supported on SBA-15 for CO and VOCs oxidation. Catal. Today 2020, 357, 602–612. [Google Scholar] [CrossRef]
- Wang, J.; Yoshida, A.; Wang, P.; Yu, T.; Wang, Z.; Hao, X.; Abudula, A.; Guan, G. Catalytic oxidation of volatile organic compound over cerium modified cobalt-based mixed oxide catalysts synthesized by electrodeposition method. Appl. Catal. B Environ. 2020, 271, 118941. [Google Scholar] [CrossRef]
- Jonas, F.; Lebeau, B.; Siffert, S.; Michelin, L.; Poupin, C.; Cousin, R.; Josien, L.; Vidal, L.; Mallet, M.; Gaudin, P.; et al. Nanoporous CeO2–ZrO2 oxides for oxidation of volatile organic compounds. ACS Appl. Nano Mater. 2021, 4, 1786–1797. [Google Scholar] [CrossRef]
- Bratan, V.; Vasile, A.; Chesler, P.; Hornoiu, C. Insights into the redox and structural properties of CoOx and MnOx: Fundamental factors affecting the catalytic performance in the oxidation process of VOCs. Catalysts 2022, 12, 1134. [Google Scholar] [CrossRef]
- Ye, C.; Fang, T.; Long, X.; Wang, H.; Chen, S.; Zhou, J. Non-thermal plasma synthesis of supported Cu-Mn-Ce mixed oxide catalyst towards highly improved catalytic performance for volatile organic compound oxidation. Environ. Sci. Pollut. Res. Int. 2022, 30, 11994–12004. [Google Scholar] [CrossRef] [PubMed]
- Grahovski, B.; Velinova, R.; Shestakova, P.; Naydenov, A.; Kolev, H.; Yordanova, I.; Ivanov, G.; Tenchev, K.; Todorova, S. Catalytic oxidation of VOC over cobalt-loaded hierarchical MFI zeolite. Catalysts 2023, 13, 834. [Google Scholar] [CrossRef]
- Wang, Q.; Yeung, K.L.; Bañares, M.A. Ceria and its related materials for VOC catalytic combustion: A review. Catal. Today 2020, 356, 141–154. [Google Scholar] [CrossRef]
- Wu, T.; Guo, R.-T.; Li, C.-F.; Pan, W.-G. Recent progress of CeO2-based catalysts with special morphologies applied in air pollutants abatement: A review. J. Environ. Chem. Eng. 2023, 11, 109136. [Google Scholar] [CrossRef]
- Žumbar, T.; Arčon, I.; Djinović, P.; Aquilanti, G.; Žerjav, G.; Pintar, A.; Ristić, A.; Dražić, G.; Volavšek, J.; Mali, G.; et al. Winning combination of Cu and Fe oxide clusters with an alumina support for low-temperature catalytic oxidation of volatile organic compounds. ACS Appl. Mater. Interfaces 2023, 15, 28747–28762. [Google Scholar] [CrossRef]
- Ye, Y.; Xu, J.; Gao, L.; Zang, S.; Chen, L.; Wang, L.; Mo, L. CuO/CeO2 catalysts prepared by modified impregnation method for ethyl acetate oxidation. Chem. Eng. J. 2023, 471, 144667. [Google Scholar] [CrossRef]
- Yu, Q.; Li, C.; Ma, D.; Zhao, J.; Liu, X.; Liang, C.; Zhu, Y.; Zhang, Z.; Yang, K. Layered double hydroxides-based materials as novel catalysts for gaseous VOCs abatement: Recent advances and mechanisms. Coord. Chem. Rev. 2022, 471, 214738. [Google Scholar] [CrossRef]
- El Khawaja, R.; Sonar, S.; Barakat, T.; Heymans, N.; Su, B.-L.; Lofberg, A.; Lamonier, J.-F.; Giraudon, J.-M.; De Weireld, G.; Poupin, C.; et al. VOCs catalytic removal over hierarchical porous zeolite NaY supporting Pt or Pd nanoparticles. Catal. Today 2022, 405–406, 212–220. [Google Scholar] [CrossRef]
- Zhang, J.; Xu, X.; Zhao, S.; Meng, X.; Xiao, F.-S. Recent advances of zeolites in catalytic oxidations of volatile organic compounds. Catal. Today 2023, 410, 56–67. [Google Scholar] [CrossRef]
- Liu, J.; Wang, Y.; Dai, Z.; Jia, C.Q.; Yang, L.; Liu, J.; Chen, Y.; Yao, L.; Wang, B.; Huang, W.; et al. Recent advances in zeolite-based catalysts for volatile organic compounds decontamination by thermal catalytic oxidation. Separ. Purif. Technol. 2024, 330, 125339. [Google Scholar] [CrossRef]
- Zhang, J.; Li, F.; Meng, X.; Xiao, F.-S. Challenges and opportunities for zeolite-based catalysts in catalytic oxidation of volatile organic compounds. Catal. Sci. Technol. 2024, 14, 3277–3286. [Google Scholar] [CrossRef]
- Boycheva, S.; Zgureva, D.; Václavíková, M.; Kalvachev, Y.; Lazarova, H.; Popova, M. Studies on non-modified and copper-modified coal ash zeolites as heterogeneous catalysts for VOCs oxidation. J. Hazard. Mater. 2019, 361, 374–382. [Google Scholar] [CrossRef]
- Boycheva, S.; Szegedi, Á.; Lázár, K.; Popov, C.; Popova, M. Advanced high-iron coal fly ash zeolites for low-carbon emission catalytic combustion of VOCs. Catal. Today 2023, 418, 114109. [Google Scholar] [CrossRef]
- Gil, S.; Garcia-Vargas, J.M.; Liotta, L.F.; Pantaleo, G.; Ousmane, M.; Retailleau, L.; Giroir-Fendler, A. Catalytic oxidation of propene over Pd catalysts supported on CeO2, TiO2, Al2O3 and M/Al2O3 oxides (M = Ce, Ti, Fe, Mn). Catalysts 2015, 5, 671–689. [Google Scholar] [CrossRef]
- Ren, S.; Liang, W.; Li, Q.; Zhu, Y. Effect of Pd/Ce loading on the performance of Pd–Ce/γ-Al2O3 catalysts for toluene abatement. Chemosphere 2020, 251, 126382. [Google Scholar] [CrossRef]
- Ciobanu, M.; Petcu, G.; Anghel, E.M.; Papa, F.; Apostol, N.G.; Culita, D.C.; Atkinson, I.; Todorova, S.; Shopska, M.; Naydenov, A.; et al. Influence of Ce addition and Pt loading upon the catalytic properties of modified mesoporous PtTi-SBA-15 in total oxidation reactions. Appl. Catal. A Gen. 2021, 619, 118123. [Google Scholar] [CrossRef]
- He, J.; Zheng, F.; Zhou, Y.; Li, X.; Wang, Y.; Xiao, J.; Li, Y.; Chen, D.; Lu, J. Catalytic oxidation of VOCs over 3D@2D Pd/CoMn2O4 nanosheets supported on hollow Al2O3 microspheres. J. Colloid Interface Sci. 2022, 613, 155–167. [Google Scholar] [CrossRef]
- Li, J.; Xu, Z.; Wang, T.; Xie, X.; Li, D.; Wang, J.; Huang, H.; Ao, Z. A versatile route to fabricate metal/UiO-66 (metal = Pt, Pd, Ru) with high activity and stability for the catalytic oxidation of various volatile organic compounds. Chem. Eng. J. 2022, 448, 136900. [Google Scholar] [CrossRef]
- Rao, R.; Ma, S.; Gao, B.; Bi, F.; Chen, Y.; Yang, Y.; Liu, N.; Wu, M.; Zhang, X. Recent advances of metal-organic framework-based and derivative materials in the heterogeneous catalytic removal of volatile organic compounds. J. Colloid Interface Sci. 2023, 636, 55–72. [Google Scholar] [CrossRef]
- Lu, Z.; Guo, L.; Shen, Q.; Bi, F.; Li, C.; Zhang, X. The application of metal–organic frameworks and their derivatives in the catalytic oxidation of typical gaseous pollutants: Recent progress and perspective. Separ. Purif. Technol. 2024, 340, 126772. [Google Scholar] [CrossRef]
- Qiao, B.; Wang, A.; Yang, X.; Allard, L.F.; Jiang, Z.; Cui, Y.; Liu, J.; Li, J.; Zhang, T. Single-atom catalysis of CO oxidation using Pt1/FeOx. Nat. Chem. 2011, 3, 634–641. [Google Scholar] [CrossRef] [PubMed]
- Zhang, N.; Ye, C.; Yan, H.; Li, L.; He, H.; Wang, D.; Li, Y. Single-atom site catalysts for environmental catalysis. Nano Res. 2020, 13, 3165–3182. [Google Scholar] [CrossRef]
- Wang, Y.; Wang, M. Recent progresses on single-atom catalysts for the removal of air pollutants. Front. Chem. 2022, 10, 1039874. [Google Scholar] [CrossRef]
- Fiorenza, R. Bimetallic catalysts for volatile organic compound oxidation. Catalysts 2020, 10, 661. [Google Scholar] [CrossRef]
- Yang, L.Z.; Liu, Q.L.; Han, R.; Fu, K.X.; Su, Y.; Zheng, Y.F.; Wu, X.Q.; Song, C.F.; Ji, N.; Lu, X.B.; et al. Confinement and synergy effect of bimetallic Pt-Mn nanoparticles encapsulated in ZSM-5 zeolite with superior performance for acetone catalytic oxidation. Appl. Catal. B Environ. 2022, 309, 121224. [Google Scholar] [CrossRef]
- Bao, M.; Liu, Y.; Deng, J.; Jing, L.; Hou, Z.; Wang, Z.; Wei, L.; Yu, X.; Dai, H. Catalytic performance and reaction mechanisms of ethyl acetate oxidation over the Au–Pd/TiO2 catalysts. Catalysts 2023, 13, 643. [Google Scholar] [CrossRef]
- Hosseini, M.; Barakat, T.; Cousin, R.; Aboukaïs, A.; Su, B.L.; De Weireld, G.; Siffert, S. Catalytic performance of core-shell and alloy Pd-Au nanoparticles for total oxidation of VOC: The effect of metal deposition. Appl. Catal. B Environ. 2012, 111, 218–224. [Google Scholar] [CrossRef]
- Barakat, T.; Rooke, J.C.; Chlala, D.; Cousin, R.; Lamonier, J.F.; Giraudon, J.M.; Casale, S.; Massiani, P.; Su, B.L.; Siffert, S. Oscillatory behavior of Pd-Au catalysts in toluene total oxidation. Catalysts 2018, 8, 574. [Google Scholar] [CrossRef]
- Li, Y.; Liu, F.; Fan, Y.; Cheng, G.; Song, W.; Zhou, J. Silver palladium bimetallic core-shell structure catalyst supported on TiO2 for toluene oxidation. Appl. Surf. Sci. 2018, 462, 207–212. [Google Scholar] [CrossRef]
- Camposeco, R.; Torres, A.E.; Zanella, R. Catalytic oxidation of propane over Pt-Pd bimetallic nanoparticles supported on TiO2. Molec. Catal. 2022, 532, 112738. [Google Scholar] [CrossRef]
- He, J.; Chen, D.; Li, N.; Xu, Q.; Li, H.; He, J.; Lu, J. Pt–Pd bimetallic nanoparticles anchored on uniform mesoporous MnO2 sphere as an advanced nanocatalyst for highly efficient toluene oxidation. Green Energy Environ. 2022, 7, 1349–1360. [Google Scholar] [CrossRef]
- Yue, X.; Ma, N.L.; Sonne, C.; Guan, R.; Lam, S.S.; Van Le, Q.; Chen, X.; Yang, Y.; Gu, H.; Rinklebe, J.; et al. Mitigation of indoor air pollution: A review of recent advances in adsorption materials and catalytic oxidation. J. Hazard. Mater. 2021, 405, 124138. [Google Scholar] [CrossRef]
- Sekar, A.; Varghese, G.K.; Varma, M.K.R. Analysis of benzene air quality standards, monitoring methods and concentrations in indoor and outdoor environment. Heliyon 2019, 5, e02918. [Google Scholar] [CrossRef] [PubMed]
- Loomis, D.; Guyton, K.Z.; Grosse, Y.; El Ghissassi, F.; Bouvard, V.; Benbrahim-Tallaa, L.; Guha, N.; Vilahur, N.; Mattock, H.; Straif, K. Carcinogenicity of benzene. Lancet Oncol. 2017, 18, 1574–1575. [Google Scholar] [CrossRef] [PubMed]
- Bahadar, H.; Mostafalou, S.; Abdollahi, M. Current understandings and perspectives on non-cancer health effects of benzene: A global concern. Toxicol. Appl. Pharmacol. 2014, 276, 83–94. [Google Scholar] [CrossRef]
- Linet, M.S.; Yin, S.-N.; Gilbert, E.S.; Dores, G.M.; Hayes, R.B.; Vermeulen, R.; Tian, H.-Y.; Lan, Q.; Portengen, L.; Ji, B.-T.; et al. A retrospective cohort study of cause-specific mortality and incidence of hematopoietic malignancies in Chinese benzene exposed workers. Int. J. Cancer 2015, 137, 2184–2197. [Google Scholar] [CrossRef]
- Kongpran, J.; Oanh, N.T.K.; Hang, N.T. Health risk assessment of BTEX exposure at roadside and on-road traveling route in Bangkok Metropolitan Region. J. Environ. Expo. Assess 2023, 2, 8. [Google Scholar] [CrossRef]
- Li, J.; Feng, Y.; Mo, S.; Liu, H.; Chen, Y.; Yang, J. Nanodendritic platinum supported on γ-alumina for complete benzene oxidation. Particle Part. Syst. Charact. 2016, 33, 620–627. [Google Scholar] [CrossRef]
- Jung, S.C.; Nahm, S.W.; Jung, H.Y.; Park, Y.K.; Seo, S.G.; Kim, S.C. Preparations of platinum nanoparticles and their catalytic performances. J. Nanosci. Nanotechnol. 2015, 15, 5461–5465. [Google Scholar] [CrossRef]
- Chen, Z.; Mao, J.; Zhou, R. Preparation of size-controlled Pt supported on Al2O3 nanocatalysts for deep catalytic oxidation of benzene at lower temperature. Appl. Surf. Sci. 2019, 465, 15–22. [Google Scholar] [CrossRef]
- Yang, P.; Li, J.; Cheng, Z.; Zuo, S. Promoting effects of Ce and Pt addition on the destructive performances of V2O5/γ-Al2O3 for catalytic combustion of benzene. Appl. Catal. A Gen. 2017, 542, 38–46. [Google Scholar] [CrossRef]
- Zhang, K.; Dai, L.; Liu, Y.; Deng, J.; Jing, L.; Zhang, K.; Hou, Z.; Zhang, X.; Wang, J.; Feng, Y.; et al. Insights into the active sites of chlorine-resistant Pt-based bimetallic catalysts for benzene oxidation. Appl. Catal. B Environ. 2020, 279, 119372. [Google Scholar] [CrossRef]
- Li, J.; Tang, W.; Liu, G.; Li, W.H.; Deng, Y.; Yang, J.; Chen, Y. Reduced graphene oxide modified platinum catalysts for the oxidation of volatile organic compounds. Catal. Today 2016, 278, 203–208. [Google Scholar] [CrossRef]
- Mao, M.Y.; Lv, H.Q.; Li, Y.Z.; Yang, Y.; Zeng, M.; Li, N.; Zhao, X.J. Metal support interaction in Pt nanoparticles partially confined in the mesopores of microsized mesoporous CeO2 for highly efficient purification of volatile organic compounds. ACS Catal. 2016, 6, 418–427. [Google Scholar] [CrossRef]
- Liu, J.; Fang, X.; Liu, D.; Hu, X.; Qin, T.; Chen, J.; Liu, R.; Xu, D.; Qu, W.; Dong, Y.; et al. Benzene abatement catalyzed by ceria-supported platinum nanoparticles and single atoms. Chem. Eng. J. 2023, 467, 143407. [Google Scholar] [CrossRef]
- Ni, J.; Huang, Z.; Chen, W.; Zhou, Q.; Wu, X.; Shen, H.; Zhao, H.; Jing, G. Unveiling platinum’s electronic and dispersion impacts for enhanced benzene combustion: From nanoparticles to nanoclusters and single atoms. Chem. Eng. J. 2024, 482, 148819. [Google Scholar] [CrossRef]
- Yang, K.; Liu, Y.; Deng, J.; Zhao, X.; Yang, J.; Han, Z.; Hou, Z.; Dai, H. Three-dimensionally ordered mesoporous iron oxide-supported single-atom platinum: Highly active catalysts for benzene combustion. Appl. Catal. B Environ. 2019, 244, 650–659. [Google Scholar] [CrossRef]
- Kim, J.-M.; Vikrant, K.; Kim, T.; Kim, K.-H.; Dong, F. Thermocatalytic oxidation of gaseous benzene by a titanium dioxide supported platinum catalyst. Chem. Eng. J. 2022, 428, 131090. [Google Scholar] [CrossRef]
- Tian, M.; Huang, Z.; Ni, J.; Chen, W.; Zhou, Q.; Shen, H.; Wu, X.; Zhao, H.; Jing, G. Pt/TiO2 catalysts: Unveiling interfacial activity via metal nanocrystal size control in benzene combustion. Appl. Surf. Sci. 2024, 655, 159515. [Google Scholar] [CrossRef]
- Li, Q.; Zhai, G.; Xu, Y.; Odoom-Wubah, T.; Jia, L.; Huang, J.; Sun, D.; Li, Q. Diatomite supported Pt nanoparticles as efficient catalyst for benzene removal. Ind. Eng. Chem. Res. 2019, 58, 14008–14015. [Google Scholar] [CrossRef]
- Guo, Y.; Sun, Y.; Yang, D.-P.; Dai, J.; Liu, Z.; Chen, Y.; Huang, J.; Li, Q. Biogenic Pt/CaCO3 nanocomposite as robust catalyst towards benzene oxidation. ACS Appl. Mater. Inter. 2020, 12, 2469–2480. [Google Scholar] [CrossRef] [PubMed]
- Tian, J.; Wang, L.; Qi, L.; Li, Q.; Sun, D.; Li, Q. Pt nanoparticles embedded in KOH-activated soybean straw as an efficient catalyst toward benzene oxidation. Ind. Eng. Chem. Res. 2021, 60, 3561–3571. [Google Scholar] [CrossRef]
- Kalvachev, Y.; Todorova, T.; Kolev, H.; Merker, D.; Popov, C. Benzene oxidation over Pt loaded on fly ash zeolite X. Catalysts 2023, 13, 1128. [Google Scholar] [CrossRef]
- Zhou, Q.; Huang, Z.; Ni, J.; Chen, W.; Tian, M.; Gong, J.; Liao, X.; Chen, J.; Gan, S.; Chen, J.; et al. Boosting Pt utilization via strategic Co integration: Structural and mechanistic investigation of high-performance Pt-Co alloy nanocatalysts for catalytic benzene combustion. Appl. Surf. Sci. 2024, 670, 160647. [Google Scholar] [CrossRef]
- Saravanan, G.; Jayasree, K.P.; Divya, Y.; Pallavi, M.; Nitin, L. Ordered intermetallic Pt-Fe nano-catalysts for carbon monoxide and benzene oxidation. Intermetallics 2018, 94, 179–185. [Google Scholar] [CrossRef]
- Wu, B.; Chen, B.; Zhu, X.; Yu, L.; Shi, C. Lower loading of Pt on hydrophobic TS-1 zeolite: A high-efficiency catalyst for benzene oxidation at low temperature. Catal. Today 2020, 355, 512–517. [Google Scholar] [CrossRef]
- Tian, J.; Tan, K.B.; Liao, Y.; Sun, D.; Li, Q. Hollow ZSM-5 zeolite encapsulating Pt nanoparticles: Cage-confinement effects for the enhanced catalytic oxidation of benzene. Chemosphere 2022, 292, 133446. [Google Scholar] [CrossRef]
- Todorova, T.; Petrova, P.; Kalvachev, Y. Catalytic oxidation of CO and benzene over metal nanoparticles loaded on hierarchical MFI zeolite. Molecules 2021, 26, 5893. [Google Scholar] [CrossRef]
- Tang, W.; Wu, X.; Chen, Y. Catalytic removal of gaseous benzene over Pt/SBA-15 catalyst: The effect of the preparation method. React. Kinet. Mech. Cat. 2015, 114, 711–723. [Google Scholar] [CrossRef]
- Wang, J.; Vikrant, K.; Younis, S.A.; Kim, K.H.; Heynderickx, P.M. Low-temperature oxidative removal of benzene from the air using titanium carbide (MXene)-supported platinum catalysts. Chemosphere 2024, 350, 141114. [Google Scholar] [CrossRef] [PubMed]
- Hao, X.; Dai, L.; Deng, J.; Liu, Y.; Jing, L.; Wang, J.; Pei, W.; Zhang, X.; Hou, Z.; Dai, H. Nanotubular OMS-2 supported single-atom platinum catalysts highly active for benzene oxidation. J. Phys. Chem. C 2021, 125, 17696–17708. [Google Scholar] [CrossRef]
- Yang, J.; Xue, Y.; Liu, Y.; Deng, J.; Jiang, X.; Chen, H.; Dai, H. Mesoporous cobalt monoxide-supported platinum nanoparticles: Superior catalysts for the oxidative removal of benzene. J. Environ. Sci. 2020, 90, 170–179. [Google Scholar] [CrossRef] [PubMed]
- Cheng, Z.; Feng, B.; Chen, Z.; Zheng, J.; Li, J.; Zuo, S. La2O3 modified silica-pillared clays supported PtOx nanocrystalline catalysts for catalytic combustion of benzene. Chem. Eng. J. 2020, 392, 123747. [Google Scholar] [CrossRef]
- Zuo, S.; Wang, X.; Yang, P.; Qi, C. Preparation and high performance of rare earth modified Pt/MCM-41 for benzene catalytic combustion. Catal. Commun. 2017, 94, 52–55. [Google Scholar] [CrossRef]
- Zuo, S.; Du, Y.; Liu, F.; Han, D.; Qi, C. Influence of ceria promoter on shell-powder-supported Pd catalyst for the complete oxidation of benzene. Appl. Catal. A Gen. 2013, 451, 65–70. [Google Scholar] [CrossRef]
- Liu, F.J.; Zuo, S.; Wang, C.; Li, J.; Xiao, F.-S.; Qi, C. Pd/transition metal oxides functionalized ZSM-5 single crystals with b-axis aligned mesopores: Efficient and long-lived catalysts for benzene combustion. Appl. Catal. B Environ. 2014, 148–149, 106–113. [Google Scholar] [CrossRef]
- Tang, W.; Deng, Y.; Chen, Y. Promoting effect of acid treatment on Pd-Ni/SBA-15 catalyst for complete oxidation of gaseous benzene. Catal. Commun. 2017, 89, 86–90. [Google Scholar] [CrossRef]
- Odoom-Wubah, T.; Li, Q.; Adilov, I.; Huang, J.; Li, Q. Towards efficient Pd/Mn3O4 catalyst with enhanced acidic sites and low temperature reducibility for benzene abatement. Mol. Catal. 2019, 477, 110558. [Google Scholar] [CrossRef]
- Odoom-Wubah, T.; Li, Q.; Mulka, R.; Chen, M.; Huang, J.; Li, Q.; Luque, R. Calcified shrimp waste supported Pd NPs as an efficient catalyst toward benzene destruction. ACS Sustain. Chem. Eng. 2020, 8, 486–497. [Google Scholar] [CrossRef]
- Odoom-Wubah, T.; Li, Q.; Wang, Q.; Usha, M.Z.R.; Huang, J.; Li, Q. Template-free synthesis of carbon self-doped ZnO superstructures as efficient support for ultra-fine Pd nanoparticles and their catalytic activity towards benzene oxidation. Mol. Catal. 2019, 469, 118–130. [Google Scholar] [CrossRef]
- Kim, S.C.; Shim, W.G. Properties and performance of Pd based catalysts for catalytic oxidation of volatile organic compounds. Appl. Catal. B Environ. 2009, 92, 429–436. [Google Scholar] [CrossRef]
- Zhao, X.; Zhang, R.; Liu, Y.; Deng, J.; Xu, P.; Lv, S.; Li, S.; Pei, W.; Zhang, K.; Dai, H. Pd/meso-CoO derived from in situ reduction of the one-step synthesized Pd/meso-Co3O4: High performance catalysts for benzene combustion. New J. Chem. 2019, 43, 12358–12368. [Google Scholar] [CrossRef]
- Padilla, J.M.; Del Angel, G.; Navarrete, J. Improved Pd/γ-Al2O3-Ce catalysts for benzene combustion. Catal. Today 2008, 133–135, 541–547. [Google Scholar] [CrossRef]
- He, C.; Yue, L.; Zhang, X.; Li, P.; Dou, B.; Ma, C.; Hao, Z. Deep catalytic oxidation of benzene, toluene, ethyl acetate over Pd/SBA-15 catalyst: Reaction behaviors and kinetics. Asia Pac. J. Chem. Eng. 2012, 7, 705–715. [Google Scholar] [CrossRef]
- Liang, Y.; Liu, Y.; Deng, J.; Zhang, K.; Hou, Z.; Zhao, X.; Zhang, X.; Zhang, K.; Wei, R.; Dai, H. Coupled palladium tungsten bimetallic nanosheets/TiO2 hybrids with enhanced catalytic activity and stability for the oxidative removal of benzene. Environ. Sci. Technol. 2019, 53, 5926–5935. [Google Scholar] [CrossRef] [PubMed]
- Liu, J.; Wang, H.; Chen, Y.; Yang, M.; Wu, Y. Effects of pretreatment atmospheres on the catalytic performance of Pd/γ-Al2O3 catalyst in benzene degradation. Catal. Commun. 2014, 46, 11–16. [Google Scholar] [CrossRef]
- Liu, J.; Chen, Y.; Wang, H.; Yang, M.; Wu, Y.; Chen, Z. Effects of atmosphere pretreatment on the catalytic performance of Pd/γ-Al2O3 catalyst in benzene degradation II: Crystal structure transformation of Pd active species. Catal. Today 2017, 297, 211–218. [Google Scholar] [CrossRef]
- He, Z.; He, Z.; Wang, D.; Bo, Q.; Fan, T.; Jiang, Y. Mo-modified Pd/Al2O3 catalysts for benzene catalytic combustion. J. Environ. Sci. 2014, 26, 1481–1487. [Google Scholar] [CrossRef]
- Yi, H.; Miao, L.; Xu, J.; Zhao, S.; Xie, X.; Du, C.; Tang, T.; Tang, X. Palladium particles supported on porous CeMnO3 perovskite for catalytic oxidation of benzene. Colloid Surface A 2021, 623, 126687. [Google Scholar] [CrossRef]
- Zhao, B.; Cheng, Z.; Zheng, J.; Wang, Z.; Zuo, S. Synthesis of C21H38ClN assisted Si pillared clays and the effects of CeO2 addition on its supported palladium catalyst for benzene oxidation. Catal. Lett. 2021, 151, 3287–3297. [Google Scholar] [CrossRef]
- Deng, H.; Kang, S.; Wang, C.; He, H.; Zhang, C. Palladium supported on low-surface-area fiber-based materials for catalytic oxidation of volatile organic compounds. Chem. Eng. J. 2018, 348, 361–369. [Google Scholar] [CrossRef]
- Xu, L.; Chen, D.; Qu, J.; Wang, L.; Tang, J.; Liu, H.; Yang, J. Replacement reaction-based synthesis of supported palladium catalysts with atomic dispersion for catalytic removal of benzene. J. Mater. Chem. A 2018, 6, 17032–17039. [Google Scholar] [CrossRef]
- Hou, Z.; Dai, L.; Liu, Y.; Deng, J.; Jing, L.; Pei, W.; Gao, R.; Feng, Y.; Dai, H. Highly efficient and enhanced sulfur resistance supported bimetallic single-atom palladium–cobalt catalysts for benzene oxidation. Appl. Catal. B Environ. 2021, 285, 119844. [Google Scholar] [CrossRef]
- Guo, Y.; Gao, Y.; Li, X.; Zhuang, G.; Wang, K.; Zheng, Y.; Sun, D.; Huang, J.; Li, Q. Catalytic benzene oxidation by biogenic Pd nanoparticles over 3D-ordered mesoporous CeO2. Chem. Eng. J. 2019, 362, 41–52. [Google Scholar] [CrossRef]
- Shim, W.G.; Nah, J.W.; Jung, H.Y.; Park, Y.K.; Jung, S.C.; Kim, S.C. Recycling of red mud as a catalyst for complete oxidation of benzene. J. Ind. Eng. Chem. 2018, 60, 259–267. [Google Scholar] [CrossRef]
- Yi, H.; Xu, J.; Tang, X.; Zhao, S.; Zhang, Y.; Yang, Z.; Wu, J.; Meng, J.; Yan, H.; Li, Q. Novel synthesis of Pd-CeMnO3 perovskite based on unique ultrasonic intervention from combination of Sol-Gel and impregnation method for low temperature efficient oxidation of benzene vapour. Ultrason. Sonochem. 2018, 48, 418–423. [Google Scholar] [CrossRef]
- Shen, F.; Li, K.; Xu, D.; Li, X.; Zhao, X.; Chen, T.; Zhan, R.; Lin, H. Electric field promoted complete oxidation of benzene over PdCexCoy catalysts at low temperature. Catalysts 2019, 9, 1071. [Google Scholar] [CrossRef]
- Kang, S.; Wang, M.; Zhu, N.; Wang, C.; Deng, H.; He, H. Significant enhancement in water resistance of Pd/Al2O3 catalyst for benzene oxidation by Na addition. Chin. Chem. Lett. 2019, 30, 1450–1454. [Google Scholar] [CrossRef]
- Chen, Z.; Li, J.; Cheng, Z.; Zuo, S. Well-defined and highly stable AlNi composite pillared clay supported PdOx nanocrystal catalysts for catalytic combustion of benzene. Appl. Clay Sci. 2018, 163, 227–234. [Google Scholar] [CrossRef]
- Andreeva, D.; Tabakova, T.; Idakiev, V.; Naydenov, A. Complete oxidation of benzene over Au-V2O5/TiO2 and Au-V2O5/ZrO2 catalysts. Gold Bull. 1998, 31, 105–106. [Google Scholar] [CrossRef]
- Andreeva, D.; Tabakova, T.; Ilieva, L.; Naydenov, A.; Mehanjiev, D.; Abrashev, M.V. Nanosize gold catalysts promoted by vanadium oxide supported on titania and zirconia for complete benzene oxidation. Appl. Catal. A Gen. 2001, 209, 291–300. [Google Scholar] [CrossRef]
- Andreeva, D.; Nedyalkova, R.; Ilieva, L.; Abrashev, M.V. Nanosize gold-ceria catalysts promoted by vanadia for complete benzene oxidation. Appl. Catal. A Gen. 2003, 246, 29–38. [Google Scholar] [CrossRef]
- Andreeva, D.; Petrova, P.; Sobczak, J.W.; Ilieva, L.; Abrashev, M. Gold supported on ceria and ceria-alumina promoted by molybdena for complete benzene oxidation. Appl. Catal. B Environ. 2006, 67, 237–245. [Google Scholar] [CrossRef]
- Dai, J.; Guo, Y.; Xu, L.; Zhuang, G.; Zheng, Y.; Sun, D.; Huang, J.; Li, Q. Bovine serum albumin templated porous CeO2 to support Au catalyst for benzene oxidation. Mol. Catal. 2020, 486, 110849. [Google Scholar] [CrossRef]
- Liu, Z.; Zhang, X.; Cai, T.; Yuan, J.; Zhao, K.; Lu, W.; He, D. Niobium modification of Au/CeO2 for enhanced catalytic performance over benzene combustion. Nanomaterials 2021, 11, 189. [Google Scholar] [CrossRef] [PubMed]
- Ilieva, L.; Petrova, P.; Tabakova, T.; Zanella, R.; Abrashev, M.V.; Sobczak, J.W.; Lisowski, W.; Kaszkur, Z.; Andreeva, D. Relationship between structural properties and activity in complete benzene oxidation over Au/CeO2–CoOx catalysts. Catal. Today 2012, 187, 30–38. [Google Scholar] [CrossRef]
- Petrova, P.; Tabakova, T.; Munteanu, G.; Zanella, R.; Tsvetkov, M.; Ilieva, L. Gold catalysts on Co-doped ceria for complete benzene oxidation: Relationship between reducibility and catalytic activity. Catal. Commun. 2013, 36, 84–88. [Google Scholar] [CrossRef]
- Manzoli, M.; Vindigni, F.; Tabakova, T.; Lamberti, C.; Dimitrov, D.; Ivanov, K.; Agostini, G. Structure-reactivity relationship in Co3O4 promoted Au/CeO2 catalysts for the CH3OH oxidation reaction revealed by in situ FTIR and operando EXAFS studies. J. Mater. Chem. A 2017, 5, 2083–2094. [Google Scholar] [CrossRef]
- Tabakova, T.; Dimitrov, D.; Manzoli, M.; Vindigni, F.; Petrova, P.; Ilieva, L.; Zanella, R.; Ivanov, K. Impact of metal doping on the activity of Au/CeO2 catalysts for catalytic abatement of VOCs and CO in waste gases. Catal. Commun. 2013, 35, 51–58. [Google Scholar] [CrossRef]
- Liu, Y.; Dai, H.; Deng, J.; Xie, S.; Yang, H.; Tan, W.; Han, W.; Jiang, Y.; Guo, G. Mesoporous Co3O4-supported gold nanocatalysts: Highly active for the oxidation of carbon monoxide, benzene, toluene, and oxylen. J. Catal. 2014, 309, 408–418. [Google Scholar] [CrossRef]
- Jiang, W.; Feng, Y.; Zeng, Y.; Yao, Y.; Gu, L.; Sun, H.; Ji, W.; Arandiyan, H.; Au, C.-T. Establishing high-performance Au/cobalt oxide interfaces for low-temperature benzene combustion. J. Catal. 2019, 375, 171–182. [Google Scholar] [CrossRef]
- Ye, Q.; Zhao, J.; Huo, F.; Wang, D.; Cheng, S.; Kang, T.; Dai, H. Nanosized Au supported on three-dimensionally ordered mesoporous β-MnO2: Highly active catalysts for the low-temperature oxidation of carbon monoxide, benzene, and toluene. Micropor. Mesopor. Mater. 2013, 172, 20–29. [Google Scholar] [CrossRef]
- Fei, Z.-Y.; Sun, B.; Zhao, L.; Ji, W.-J.; Au, C.-T. Strong morphological effect of Mn3O4 nanocrystallites on the catalytic activity of Mn3O4 and Au/Mn3O4 in benzene combustion. Chem. Eur. J. 2013, 19, 6480–6487. [Google Scholar] [CrossRef]
- Jiang, W.; Pang, Y.; Gu, L.; Yao, Y.; Su, Q.; Ji, W.; Au, C.-T. Structurally defined SnO2 substrates, nanostructured Au/SnO2 interfaces, and their distinctive behavior in benzene and methanol oxidation. J. Catal. 2017, 349, 183–196. [Google Scholar] [CrossRef]
- Tabakova, T.; Petrova, P.; Karakirova, Y.; Avdeev, G.; Kolentsova, E.; Ilieva, L. Tuning the Cu/Ce ratio for improved benzene oxidation over gold-promoted alumina-supported CuO-CeO2. Symmetry 2023, 15, 263. [Google Scholar] [CrossRef]
- Wang, Y.; Chen, B.B.; Crocker, M.; Zhang, Y.J.; Zhu, X.B.; Shi, C. Understanding on the origins of hydroxyapatite stabilized gold nanoparticles as high-efficiency catalysts for formaldehyde and benzene oxidation. Catal. Comm. 2015, 59, 195–200. [Google Scholar] [CrossRef]
- Tabakova, T.; Ilieva, L.; Petrova, P.; Venezia, A.M.; Avdeev, G.; Zanella, R.; Karakirova, Y. Complete benzene oxidation over mono and bimetallic Au-Pd catalysts supported on Fe-modified ceria. Chem. Eng. J. 2015, 260, 133–141. [Google Scholar] [CrossRef]
- Ilieva, L.; Venezia, A.M.; Petrova, P.; Pantaleo, G.; Liotta, L.F.; Zanella, R.; Kaszkur, Z.; Tabakova, T. Effect of Y modified ceria support in mono and bimetallic Pd-Au catalysts for complete benzene oxidation. Catalysts 2018, 8, 283. [Google Scholar] [CrossRef]
- Tabakova, T.; Ilieva, L.; Petrova, P.; Venezia, A.M.; Karakirova, Y.; Liotta, L.F.; Avdeev, G. Complete benzene oxidation over mono and bimetallic Pd-Au catalysts on alumina-supported Y-doped ceria. Appl. Sci. 2020, 10, 1088. [Google Scholar] [CrossRef]
- Ma, X.; Yu, X.; Ge, M. Highly efficient catalytic oxidation of benzene over Ag assisted Co3O4 catalysts. Catal. Today 2021, 376, 262–268. [Google Scholar] [CrossRef]
- Guo, H.; Guo, T.; Zhao, M.; Zhang, Y.; Shangguan, W.; Liao, Y. Improving benzene catalytic oxidation on Ag/Co3O4 by regulating the chemical states of Co and Ag. J. Environ. Sci. 2024, 143, 201–212. [Google Scholar] [CrossRef] [PubMed]
- Ma, X.; Xiao, M.; Yang, X.; Yu, X.; Ge, M. Boosting benzene combustion by engineering oxygen vacancy-mediated Ag/CeO2-Co3O4 catalyst via interfacial electron transfer. J. Colloid Interface Sci. 2021, 594, 882–890. [Google Scholar] [CrossRef] [PubMed]
- Hu, W.; Guo, T.; Ma, K.; Li, X.; Luo, W.; Wu, M.; Guo, H.; Zhang, Y.; Shangguan, W. Promoted catalytic performance of Ag-Mn bimetal catalysts synthesized through reduction route. J. Environ. Sci. 2024, 137, 358–369. [Google Scholar] [CrossRef]
- Deng, H.; Kang, S.; Ma, J.; Zhang, C.; He, H. Silver incorporated into cryptomelane-type manganese oxide boosts the catalytic oxidation of benzene. Appl. Catal. B Environ. 2018, 239, 214–222. [Google Scholar] [CrossRef]
- Chen, Y.; Huang, Z.; Zhou, M.; Ma, Z.; Chen, J.; Tang, X. Single silver adatoms on nanostructured manganese oxide surfaces: Boosting oxygen activation for benzene abatement. Environ. Sci. Technol. 2017, 51, 2304–2311. [Google Scholar] [CrossRef]
- Lee, C.; Shul, Y.G.; Einaga, H. Silver and manganese oxide catalysts supported on mesoporous ZrO2 nanofiber mats for catalytic removal of benzene and diesel soot. Catal Today 2017, 281, 460–466. [Google Scholar] [CrossRef]
- Zuo, X.; Zhang, L.; Gao, G.; Xin, C.; Fu, B.; Liu, S.; Ding, H. Catalytic oxidation of benzene over atomic active site AgNi/BCN catalysts at room temperature. Molecules 2024, 29, 1463. [Google Scholar] [CrossRef]
- Nam, L.T.H.; Vinh, T.Q.; Hong, N.T.B.; Duc, P.M.; Quyen, N.V.; Hieu, B.Q.; Nhiem, N.T.; Lan, L.K.; Radnik, J. Synthesis and performance of nano silver coated ZSM-5/SBA-15. J. Nanosci. Nanotechnol. 2017, 17, 1813–1819. [Google Scholar] [CrossRef]
- Liu, Y.; Gao, W.; Zhan, J.; Bao, Y.; Cao, R.; Zhou, H.; Liu, L. One-pot synthesis of Ag-H3PW12O40-LiCoO2 composites for thermal oxidation of airborne benzene. Chem. Eng. J. 2019, 375, 121956. [Google Scholar] [CrossRef]
- Guo, Y.; Yang, D.P.; Liu, M.; Zhang, X.; Chen, Y.; Huang, J.; Li, Q.; Luque, R. Enhanced catalytic benzene oxidation over a novel waste-derived Ag/eggshell catalyst. J. Mater. Chem. A 2019, 7, 8832–8844. [Google Scholar] [CrossRef]
- Liu, X.; Zeng, J.; Shi, W.; Wang, J.; Zhu, T.; Chen, Y. Catalytic oxidation of benzene over ruthenium-cobalt bimetallic catalysts and the mechanism study. Catal. Sci. Technol. 2017, 7, 213–221. [Google Scholar] [CrossRef]
- Sun, X.; Yang, S.; Liu, X.; Qiao, Y.; Liu, Z.; Li, X.; Pan, J.; Liu, H.; Wang, L. The enhancement of benzene total oxidation over RuxCeO2 catalysts at low temperature: The significance of Ru incorporation. Sci. Total Environ. 2023, 902, 165574. [Google Scholar] [CrossRef]
- Wu, P.; Jin, X.J.; Qiu, Y.C.; Ye, D.Q. Recent progress of thermocatalytic and photo/thermocatalytic oxidation for VOCs purification over manganese-based oxide catalysts. Environ. Sci. Technol. 2021, 55, 4268–4286. [Google Scholar] [CrossRef] [PubMed]
- Xu, H.; Yan, N.; Qu, Z.; Liu, W.; Mei, J.; Huang, W.; Zhao, S. Gaseous heterogeneous catalytic reactions over Mn-based oxides for environmental applications: A critical review. Environ. Sci. Technol. 2017, 51, 8879–8892. [Google Scholar] [CrossRef]
- Zhang, J.; Zhang, H.; Zhu, X.; Liu, H.; Hou, G.; Kang, H.; Liu, B.; Zhu, W.; Yin, S.; Song, Z. Constructing three-dimensional Mn2O3 catalysts with various morphologies for catalytic oxidation of benzene. Appl. Organomet. Chem. 2023, 37, e7010. [Google Scholar] [CrossRef]
- Huang, Z.; Wei, Y.; Song, Z.; Luo, J.; Mao, Y.; Gao, J.; Zhang, X.; Niu, C.; Kang, H.; Wang, Z. Three-dimensional (3D) hierarchical Mn2O3 catalysts with the highly efficient purification of benzene combustion. Separ. Purif. Techn. 2021, 255, 117633. [Google Scholar] [CrossRef]
- Guo, H.; Zhang, Z.; Jiang, Z.; Chen, M.; Einaga, H.; Shangguan, W. Catalytic activity of porous manganese oxides for benzene oxidation improved via citric acid solution combustion synthesis. J. Environ. Sci. 2020, 98, 196–204. [Google Scholar] [CrossRef]
- Li, L.; Yang, Q.; Wang, D.; Peng, Y.; Yan, J.; Li, J.; Crittenden, J. Facile synthesis λ-MnO2 spinel for highly effective catalytic oxidation of benzene. Chem. Eng. J. 2021, 421, 127828. [Google Scholar] [CrossRef]
- Hou, J.; Li, Y.; Mao, M.; Ren, L.; Zhao, X. Tremendous effect of the morphology of birnessite-type manganese oxide nanostructures on catalytic activity. ACS Appl. Mater. Interfaces 2014, 6, 14981–14987. [Google Scholar] [CrossRef]
- Liu, Y.; Zhou, H.; Cao, R.; Liu, X.; Zhang, P.; Zhan, J.; Liu, L. Facile and green synthetic strategy of birnessite-type MnO2 with high efficiency for airborne benzene removal at low temperatures. Appl. Catal. B Environ. 2019, 245, 569–582. [Google Scholar] [CrossRef]
- Wu, D.; Hu, J.; Yao, J.; Wang, J.; Hou, J.; Bao, W.; Zeng, Z.; Wang, B.; Chang, L. Promoting effect of Ti on MnTiOx catalysts for benzene highly efficient oxidation. J. Environ. Chem. Eng. 2022, 10, 108538. [Google Scholar] [CrossRef]
- Zeng, J.; Liu, X.; Wang, J.; Lv, H.; Zhu, T. Catalytic oxidation of benzene over MnOx/TiO2 catalysts and the mechanism study. J. Mol. Catal. A Chem. 2015, 408, 221–227. [Google Scholar] [CrossRef]
- Cao, H.; Li, X.; Chen, Y.; Gong, M.; Wang, J. Effect of loading content of copper oxides on performance of Mn-Cu mixed oxide catalysts for catalytic combustion of benzene. J. Rare Earths 2012, 30, 871–877. [Google Scholar] [CrossRef]
- Tang, W.; Wu, X.; Li, S.; Shan, X.; Liu, G.; Chen, Y. Co-nanocasting synthesis of mesoporous Cu–Mn composite oxides and their promoted catalytic activities for gaseous benzene removal. Appl. Catal. B Environ. 2015, 162, 110–121. [Google Scholar] [CrossRef]
- Ahn, C.W.; You, Y.W.; Heo, I.; Hong, J.S.; Jeon, J.K.; Ko, Y.D.; Suh, J.K. Catalytic combustion of volatile organic compound over spherical-shaped copper–manganese oxide. J. Ind. Eng. Chem. 2017, 47, 439–445. [Google Scholar] [CrossRef]
- Wang, Y.; Yang, D.; Li, S.; Zhang, L.; Zheng, G.; Guo, L. Layered copper manganese oxide for the efficient catalytic CO and VOCs oxidation. Chem. Eng. J. 2019, 357, 258–268. [Google Scholar] [CrossRef]
- Lee, H.J.; Yang, J.H.; You, J.H.; Yoon, B.Y. Sea-urchin-like mesoporous copper-manganese oxide catalysts: Influence of copper on benzene oxidation. J. Ind. Eng. Chem. 2020, 89, 156–165. [Google Scholar] [CrossRef]
- Lv, L.; Tian, Y.; Han, G.; Kang, J.; Zhao, W. The catalytic oxidation of benzene by hopcalite under microwave irradiation. Key Eng. Mat. 2020, 834, 32–36. [Google Scholar] [CrossRef]
- Zhang, M.; Li, W.; Wu, X.; Zhao, F.; Wang, D.; Zha, X.; Li, S.; Liu, H.; Chen, Y. Low-temperature catalytic oxidation of benzene over nanocrystalline Cu-Mn composite oxides by facile sol gel synthesis. New J. Chem. 2020, 44, 2442–2451. [Google Scholar] [CrossRef]
- Ding, S.; Zhu, C.; Hojo, H.; Einaga, H. Enhanced catalytic performance of spinel-type Cu-Mn oxides for benzene oxidation under microwave irradiation. J. Hazard. Mater. 2022, 424, 127523. [Google Scholar] [CrossRef] [PubMed]
- Li, M.; Zhang, W.; Zhang, X.; Lian, Y.; Niu, X.; Zhu, Y. Influences of different surface oxygen species on oxidation of toluene and/or benzene and their reaction pathways over Cu-Mn metal oxides. J. Colloid Interface Sci. 2023, 630, 301–316. [Google Scholar] [CrossRef] [PubMed]
- Liu, Y.; Zong, W.; Zhou, H.; Wang, D.; Cao, R.; Zhan, J.; Liu, L.; Jang, B.W.-L. Tuning the interlayer cations of birnessite-type MnO2 to enhance its oxidation ability for gaseous benzene with water resistance. Catal. Sci. Technol. 2018, 8, 5344–5358. [Google Scholar] [CrossRef]
- Tang, W.; Li, W.; Li, D.; Liu, G.; Wu, X.; Chen, Y. Synergistic effects in porous Mn-Co mixed oxide nanorods enhance catalytic deep oxidation of benzene. Catal. Lett. 2014, 144, 1900–1910. [Google Scholar]
- Tang, W.; Yao, M.; Deng, Y.; Li, X.; Han, N.; Wu, X.; Chen, Y. Decoration of one-dimensional MnO2 with Co3O4 nanoparticles: A heterogeneous interface for remarkably promoting catalytic oxidation activity. Chem. Eng. J. 2016, 306, 709–718. [Google Scholar] [CrossRef]
- Tomatis, M.; Xu, H.; Wei, C.; Bishop, M.; He, J.; Wang, C.; Zhao, M.; Xiao, H.; Yu, H.; Behera, S.N.; et al. A comparative study of Mn/Co binary metal catalysts supported on two commercial diatomaceous earths for oxidation of benzene. Catalysts 2018, 8, 111. [Google Scholar] [CrossRef]
- Liu, Y.; Hou, J. Ce ion substitution position effect on catalytic activity of OMS-2 for benzene oxidation. Mater. Res. Bull. 2019, 118, 110497. [Google Scholar] [CrossRef]
- Li, W.; Liu, H.; Ma, X.; Mo, S.; Li, S.; Chen, Y. Fabrication of silica supported Mn-Ce benzene oxidation catalyst by a simple and environment-friendly oxalate approach. J. Porous Mater. 2018, 25, 107–117. [Google Scholar] [CrossRef]
- Yang, P.; Li, J.; Zuo, S. Promoting oxidative activity and stability of CeO2 addition on the MnOx modified kaolin-based catalysts for catalytic combustion of benzene. Chem. Eng. Sci. 2017, 162, 218–226. [Google Scholar] [CrossRef]
- Chen, X.; Wang, X.; Jia, Z.; Yang, C.; Liu, Z.; Wei, Y.; Wang, M.; Liang, M. Weakened Mn–O bond in Mn–Ce catalysts through K doping induced oxygen activation for boosting benzene oxidation at low temperatures. J. Colloid Interf. Sci. 2024, 666, 88–100. [Google Scholar] [CrossRef]
- Cuo, Z.; Deng, Y.; Li, W.; Peng, S.; Zhao, F.; Liu, H.; Chen, Y. Monolithic Mn/Ce-based catalyst of fibrous ceramic membrane for complete oxidation of benzene. Appl. Surf. Sci. 2018, 456, 594–601. [Google Scholar] [CrossRef]
- Liu, Y.; Zhou, H.; Cao, R.; Sun, T.; Zong, W.; Zhan, J.; Liu, L. Different behaviors of birnessite-type MnO2 modified by Ce and Mo for removing carcinogenic airborne benzene. Mater. Chem. Phys. 2019, 221, 457–466. [Google Scholar] [CrossRef]
- Mo, S.; Li, S.; Li, J.; Peng, S.; Chen, J.; Chen, Y. Promotional effects of Ce on the activity of Mn Al oxide catalysts derived from hydrotalcites for low temperature benzene oxidation. Catal. Commun. 2016, 87, 102–105. [Google Scholar] [CrossRef]
- Deng, Y.; Tang, W.; Li, W.; Chen, Y. MnO2-nanowire@NiO nanosheet core-shell hybrid nanostructure derived interfacial effect for promoting catalytic oxidation activity. Catal. Today 2018, 308, 58–63. [Google Scholar] [CrossRef]
- Guo, H.; Li, Y.; Jiang, Z.; Zhang, Z.; Chen, M.; Einaga, H.; Shangguan, W. Effective low-temperature catalytic abatement of benzene over porous Mn-Ni composite oxides synthesized via the oxalate route. J. Chem. Technol. Biotechnol. 2020, 95, 1008–1015. [Google Scholar] [CrossRef]
- Guo, H.; Huang, H.; Zhu, Q.; Shangguan, W.; Einaga, H.; Zhang, Y. Promoted catalytic oxidation of benzene over Mn-Ni solid solutions: Effect of metal oxygen bond parameters. Appl. Catal. A Gen. 2024, 671, 119575. [Google Scholar] [CrossRef]
- Liu, Y.; Yan, L.; Gao, W.; Zhu, S.R.; Zhan, J.; Cao, R.; Zhou, H. Samarium doping boosts catalytic oxidation of airborne benzene over todorokite-type MnO2. Appl. Surf. Sci. 2020, 500, 144043. [Google Scholar] [CrossRef]
- Yang, H.-H.; Du, J.; Wu, M.; Zhou, H.; Yi, X.; Zhan, J.; Liu, Y. Tin-modified ɑ-MnO2 catalyst with high performance for benzene oxidation, ozone decomposition and particulate matter filtration. Chem. Eng. J. 2022, 427, 132075. [Google Scholar] [CrossRef]
- Ni, C.; Hou, J.; Wang, Z.; Li, Y.; Ren, L.; Wang, M.; Yin, H.; Tan, W. Enhanced catalytic activity of OMS-2 for carcinogenic benzene elimination by tuning Sr2+ contents in the tunnels. J. Hazard. Mater. 2020, 398, 122958. [Google Scholar] [CrossRef]
- Zuo, S.; Yang, P.; Wang, X. Efficient and environmentally friendly synthesis of AlFe-PILC-supported MnCe catalysts for benzene combustion. ACS Omega 2017, 2, 5179–5186. [Google Scholar] [CrossRef]
- Chen, X.; Yu, S.; Liu, W.; Zhang, S.; Liu, S.; Feng, Y.; Zhang, X. Recent advance on cobalt-based oxide catalyst for the catalytic removal of volatile organic compounds: A review. Resour. Chem. Mater. 2022, 1, 27–46. [Google Scholar] [CrossRef]
- Zhang, C.; Li, J.; Xu, J.; Shi, Y.; Li, Y.; Xu, L.; Wu, Z.; Yao, S.; Wu, N. Lattice compressive strain of Co3O4 induced by synthetic solvents promotes efficient oxidation of benzene at low temperature. ACS Appl. Mater. Interfaces 2023, 15, 5229–5241. [Google Scholar] [CrossRef] [PubMed]
- Li, Q.; Luo, N.; Xia, D.; Huang, P.; Liu, X.; Odoom-Wubah, T.; Huang, J.; Chai, G.; Sun, D.; Li, Q. Interfacial effects in CuO/Co3O4 heterostructures enhance benzene catalytic oxidation performance. Environ. Sci. Nano 2022, 9, 781–796. [Google Scholar] [CrossRef]
- Wan, C.; Wei, X.; Cai, G.; Li, D.; Zhan, Y.; Xiao, Y.; Jiang, L. Hydrotalcite-derived aluminum-doped cobalt oxides for catalytic benzene combustion: Effect of calcination atmosphere. Molec. Catal. 2022, 520, 112160. [Google Scholar] [CrossRef]
- Xiang, Y.; Zhu, Y.; Lu, J.; Zhu, C.; Zhu, M.; Xie, Q. Co3O4/α-Fe2O3 catalyzed oxidative degradation of gaseous benzene: Preparation, characterization and its catalytic properties. Solid State Sci. 2019, 93, 79–86. [Google Scholar] [CrossRef]
- Ilieva, L.; Petrova, P.; Venezia, A.M.; Anghel, E.M.; State, R.; Avdeev, G.; Tabakova, T. Mechanochemically prepared Co3O4-CeO2 catalysts for complete benzene oxidation. Catalysts 2021, 11, 1316. [Google Scholar] [CrossRef]
- Zhang, X.; Ye, J.; Yuan, J.; Cai, T.; Xiao, B.; Liu, Z.; Zhao, K.; Yang, L.; He, D. Excellent low-temperature catalytic performance of nanosheet Co-Mn oxides for total benzene oxidation. Appl. Catal. A Gen. 2018, 566, 104–112. [Google Scholar] [CrossRef]
- Balzer, R.; Drago, V.; Schreiner, W.H.; Probst, L.F.D. Removal of BTX compounds in air by total catalytic oxidation promoted by catalysts based on SiO2(1-x)Cux. J. Braz. Chem. Soc. 2013, 24, 1592–1598. [Google Scholar] [CrossRef]
- Li, S.; Wang, H.; Li, W.; Wu, X.; Tang, W.; Chen, Y. Effect of Cu substitution on promoted benzene oxidation over porous CuCo-based catalysts derived from layered double hydroxide with resistance of water vapor. Appl. Catal. B Environol. 2015, 166–167, 260–269. [Google Scholar] [CrossRef]
- Jung, W.Y.; Lim, K.T.; Hong, S.S. Catalytic combustion of benzene over CuO–CeO2 mixed oxides. J. Nanosci. Nanotechn. 2014, 14, 8507–8511. [Google Scholar] [CrossRef][Green Version]
- Jung, W.Y.; Hong, S.S. Complete oxidation of benzene over CuO–CeO2 catalysts prepared using different process. J. Nanosci. Nanotechnol. 2016, 16, 4576–4579. [Google Scholar] [CrossRef] [PubMed]
- Luo, Y.; Wang, K.; Xu, Y.; Wang, X.; Qian, Q.; Chen, Q. The role of Cu species in electrospun CuO–CeO2 nanofibers for total benzene oxidation. New J. Chem. 2015, 39, 1001–1005. [Google Scholar] [CrossRef]
- Hou, J.; Hu, J.; Chang, L.; Wang, J.; Zeng, Z.; Wu, D.; Cui, X.; Bao, W.; Yao, J. Synergistic effects between highly dispersed CuOx and the surface Cu-[Ox]-Ce structure on the catalysis of benzene combustion. J. Catal. 2022, 408, 9–23. [Google Scholar] [CrossRef]
- Zheng, J.; Wang, Z.; Chen, Z.; Zuo, S. Mechanism of CeO2 synthesized by thermal decomposition of Ce-MOF and its performance of benzene catalytic combustion. J. Rare Earths 2021, 39, 790–796. [Google Scholar] [CrossRef]
- Huang, Q.; Yan, X.; Li, B.; Chen, Y.; Zhu, S.; Shen, S. Study on catalytic combustion of benzene over cerium-based catalyst supported on cordierite. J. Rare Earths 2013, 31, 124–129. [Google Scholar] [CrossRef]
- Liu, G.; Yue, R.; Jia, Y.; Ni, Y.; Yang, J.; Liu, H.; Wang, Z.; Wu, X.; Chen, Y. Catalytic oxidation of benzene over Ce–Mn oxides synthesized by flame spray pyrolysis. Particuology 2013, 11, 454–459. [Google Scholar] [CrossRef]
- Ke, Y.; Lai, S.-Y. Comparison of the catalytic benzene oxidation activity of mesoporous ceria prepared via hard-template and soft-template. Micropor. Mesopor. Mater. 2014, 198, 256–262. [Google Scholar] [CrossRef]
- Yang, M.; Shen, C.; Liu, M.; Chen, Y.; Wang, Z.; Wang, Q. Preparation of Ce–Mn composite oxides with enhanced catalytic activity for removal of benzene through oxalate method. Nanomaterials 2019, 9, 197. [Google Scholar] [CrossRef]
- Wang, X.; Zuo, J.; Luo, Y.; Jiang, L. New route to CeO2/LaCoO3 with high oxygen mobility for total benzene oxidation. Appl. Surf. Sci. 2017, 396, 95–101. [Google Scholar] [CrossRef]
- Schwanke, A.J.; Maffi, G.M.; Sachse, A.; Radtke, C.; Bernardo-Gusmão, K.; Balzer, R. Total oxidation of benzene over cerium oxide-impregnated two-dimensional MWW zeolites obtained by environmental synthesis using Brazilian rice husk silica agro-industrial waste. Molec. Catal. 2022, 529, 112529. [Google Scholar] [CrossRef]
- Xia, P.; Zuo, S.; Liu, F.; Qi, C. Ceria modified crystalline mesoporous Cr2O3 based nanocomposites supported metal oxide for benzene complete oxidation. Catal. Commun. 2013, 41, 91–95. [Google Scholar] [CrossRef]
- Deng, L.; Ding, Y.; Duan, B.; Chen, Y.; Li, P.; Zhu, S.; Shen, S. Catalytic deep combustion characteristics of benzene over cobalt doped Mn-Ce solid solution catalysts at lower temperatures. Molec. Catal. 2018, 446, 72–80. [Google Scholar] [CrossRef]
- Cuo, Z.; Wang, D.; Gong, Y.; Zhao, F.; Liu, H.; Chen, Y. A novel porous ceramic membrane supported monolithic Cu-doped Mn–Ce catalysts for benzene combustion. Catalysts 2019, 9, 652. [Google Scholar] [CrossRef]
- Sophiana, I.C.; Topandi, A.; Iskandar, F.; Devianto, H.; Nishiyama, N.; Budhi, Y.W. Catalytic oxidation of benzene at low temperature over novel combination of metal oxide based catalysts: CuO, MnO2, NiO with Ce0.75Zr0.25O2 as support. Mater. Today Chem. 2020, 17, 100305. [Google Scholar] [CrossRef]
- Liu, G.; Li, J.; Yang, K.; Tang, W.; Liu, H.; Yang, J.; Yue, R.; Chen, Y. Effects of cerium incorporation on the catalytic oxidation of benzene over flame-made perovskite La1−xCexMnO3 catalysts. Particuology 2015, 19, 60–68. [Google Scholar] [CrossRef]
- Hojo, H.; Inohara, Y.; Ichitsubo, R.; Einaga, H. Catalytic properties of LaNiO3 and Mn-modified LaNiO3 catalysts for oxidation of CO and benzene. Catal. Today 2023, 410, 127–134. [Google Scholar] [CrossRef]
- Sokhansanj, A.; Abdoli, S.M.; Zabihi, M. Insight into simultaneous catalytic oxidation of benzene and toluene in air over the nano-catalyst: Experimental and modeling via CFD-ANN hybrid method. Process Saf. Environ. Prot. 2020, 141, 321–332. [Google Scholar] [CrossRef]
- Kim, S.C.; Shim, W.G. Catalytic combustion of VOCs over a series of manganese oxide catalysts. Appl. Catal. B Environ. 2010, 98, 180–185. [Google Scholar] [CrossRef]
- Shim, W.G.; Kim, S.C. Heterogeneous adsorption and catalytic oxidation of benzene, toluene and xylene over spent and chemically regenerated platinum catalyst supported on activated carbon. Appl. Surf. Sci. 2010, 256, 5566–5571. [Google Scholar] [CrossRef]
- He, C.; Li, P.; Cheng, J.; Hao, Z.; Xu, Z. A comprehensive study of deep catalytic oxidation of benzene, toluene, ethyl acetate, and their mixtures over Pd/ZSM-5 catalyst: Mutual effects and kinetics. Water Air Soil Pollut. 2010, 209, 365–376. [Google Scholar] [CrossRef]
- Wang, X.; Zhao, W.; Wu, X.; Zhang, T.; Liu, Y.; Zhang, K.; Xiao, Y.; Jiang, L. Total oxidation of benzene over ACo2O4 (A=Cu, Ni and Mn) catalysts: In situ DRIFTS account for understanding the reaction mechanism. Appl. Surf. Sci. 2017, 426, 1198–1205. [Google Scholar] [CrossRef]
- Gao, Y.; Xiao, J.; Ye, J.; Huo, X.; Shen, Y. Catalytic oxidation of benzene over alumina-supported Cu-Mn-Ce mixed oxide catalysts. Korean J. Chem. Eng. 2020, 37, 54–64. [Google Scholar] [CrossRef]
- Li, B.; Chen, Y.; Li, L.; Kan, J.; He, S.; Yang, B.; Shen, S.; Zhu, S. Reaction kinetics and mechanism of benzene combustion over the NiMnO3/CeO2/Cordierite catalyst. J. Mol. Catal. A Chem. 2016, 415, 160–167. [Google Scholar] [CrossRef]
- Chen, B.; Wu, B.; Yu, L.; Crocker, M.; Shi, C. Investigation into the catalytic roles of various oxygen species over different crystal phases of MnO2 for C6H6 and HCHO oxidation. ACS Catal. 2020, 10, 6176–6187. [Google Scholar] [CrossRef]
- Wang, X.; Liu, Y.; Zhang, T.; Luo, Y.; Lan, Z.; Zhang, K.; Zuo, J.; Jiang, L.; Wang, R. Geometrical-site-dependent catalytic activity of ordered mesoporous Co-based spinel for benzene oxidation: In situ DRITFS study coupled with Raman and XAFS spectroscopy. ACS Catal. 2017, 7, 1626–1636. [Google Scholar] [CrossRef]
- He, C.; Li, J.; Li, P.; Cheng, J.; Hao, Z.; Xu, Z.-P. Comprehensive investigation of Pd/ZSM-5/MCM-48 composite catalysts with enhanced activity and stability for benzene oxidation. Appl. Catal. B Environ. 2010, 96, 466–475. [Google Scholar] [CrossRef]
- Shen, F.; Li, K.; Zhao, X.; Li, X.; Chen, T.; Zhan, R.; Zhao, T.; Lin, H. Low temperature oxidation of benzene over Pd/Co3O4 catalysts in the electric field. Catal. Lett. 2021, 151, 67–77. [Google Scholar]
- Han, W.; Ling, W.; Gao, P.; Dong, F.; Tang, Z. Engineering Pt single atom catalyst with abundant lattice oxygen by dual nanospace confinement strategy for the efficient catalytic elimination of VOCs. Appl. Catal. B Environ. Energy 2024, 345, 123687. [Google Scholar] [CrossRef]
- Zhao, L.; Yang, Y.; Liu, J.; Ding, J. Mechanistic insights into benzene oxidation over CuMn2O4 catalyst. J. Hazard. Mater. 2022, 431, 128640. [Google Scholar] [CrossRef]
- Wei, M.; Wu, S.; Mao, Q.; Wang, Y.; Guo, G.; Zhang, D. The oxidation mechanism investigation of benzene catalyzed by palladium nanoparticle: A ReaxFF molecular dynamics. Fuel 2020, 275, 117989. [Google Scholar] [CrossRef]
- Shen, Q.; Lu, Z.; Bi, F.; Fang, Y.; Song, L.; Yang, Y.; Wu, M.; Zhang, X. Effect of actual working conditions on catalyst structure and activity for oxidation of volatile organic compounds: A review. Fuel 2023, 343, 128012. [Google Scholar] [CrossRef]
- Mo, S.; Li, S.; Li, J.; Deng, Y.; Peng, S.; Chen, J.; Chen, Y. Rich surface Co(III) ions-enhanced Co nanocatalyst benzene/toluene oxidation performance derived from CoIICoIII layered double hydroxide. Nanoscale 2016, 8, 15763. [Google Scholar] [CrossRef] [PubMed]
- Liu, Y.; Yang, H.; Zhou, H.; Yi, X.; Zhan, J. Water durability modification of cerium-manganese oxide by tin shell for efficient airborne benzene oxidation. J. Hazard. Mater. 2022, 436, 129207. [Google Scholar] [CrossRef]
- Chen, Z.; Li, J.; Yang, P.; Cheng, Z.; Li, J.; Zuo, S. Ce-modified mesoporous γ-Al2O3 supported Pd-Pt nanoparticle catalysts and their structure-function relationship in complete benzene oxidation. Chem. Eng. J. 2019, 356, 255–261. [Google Scholar] [CrossRef]
- Wang, C.; Hou, X.; Jin, L.; Li, J.; Gu, L.; Yang, L. Review on the impact of SO2 on VOCs oxidation: Mechanisms and anti-poisoning strategies. Fuel 2024, 359, 130450. [Google Scholar] [CrossRef]
- Hou, J.; Hu, J.; Bao, W.; Yao, J.; Wu, D.; Wang, J.; Wang, B.; Zeng, Z.; Cui, X.; Su, S.; et al. Effects of Ti modified CeCu mixed oxides on the catalytic performance and SO2 resistance towards benzene combustion. Catal. Commun. 2023, 174, 106596. [Google Scholar] [CrossRef]
- Shi, Z.; Dong, F.; Tang, Z.; Dong, X. Design Sr, Mn-doped 3DOM LaCoO3 perovskite catalysts with excellent SO2 resistance for benzene catalytic combustion. Chem. Eng. J. 2023, 473, 145476. [Google Scholar] [CrossRef]
- Chen, Y.W.; Li, B.; Niu, Q.; Li, L.; Kan, J.W.; Zhu, S.M.; Shen, S.B. Combined promoting effects of low-Pd-containing and Cu-doped LaCoO3 perovskite supported on cordierite for the catalytic combustion of benzene. Environ. Sci. Pollut. Res. 2016, 23, 15193–15201. [Google Scholar] [CrossRef]
- Han, D.; Xiao, M.; Wei, Y.; Yang, X.; Guo, Y.; Ma, L.; Yu, X.; Ge, M. Enhanced sulfur resistance by constructing MnOx–Co3O4 interface on Ni foam in the removal of benzene. Environ. Sci. Nano 2023, 10, 284–294. [Google Scholar] [CrossRef]
- Zhang, D.; Ye, Q.; Dong, N.; Wang, W.; Xiao, Y.; Dai, H. Enhanced catalytic performance and sulfur dioxide resistance of reduced graphene oxide-promoted MnO2 nanorods-supported Pt nanoparticles for benzene oxidation. Catalysts 2022, 12, 1426. [Google Scholar] [CrossRef]
- Becker, L.; Förster, H. Investigations of coke deposits formed during deep oxidation of benzene over Pd and Cu exchanged Y-type zeolites. Appl. Catal. A 1997, 153, 31–41. [Google Scholar] [CrossRef]
- Green, U.; Aizanshtat, Z.; Ruthstein, S.; Cohen, H. Stable radicals formation in coals undergoing weathering: Effect of coal rank. Phys. Chem. Chem. Phys. 2012, 14, 13046–13052. [Google Scholar] [CrossRef] [PubMed]
- Zheng, Y.; Fu, K.; Yu, Z.; Su, Y.; Han, R.; Liu, Q. Oxygen vacancies in a catalyst for VOCs oxidation: Synthesis, characterization, and catalytic effects. J. Mater. Chem. A 2022, 10, 14171–14186. [Google Scholar] [CrossRef]
- Fang, J.; Huang, Z.; Wang, L.; Guo, S.; Li, M.; Liu, Y.; Chen, J.; Wu, X.; Shen, H.; Zhao, H.; et al. Activation of oxygen on the surface of the Co3O4 catalyst by single-atom Ag toward efficient catalytic benzene combustion. J. Phys. Chem. C 2022, 126, 5873–5884. [Google Scholar] [CrossRef]
- Wang, Y.; Chen, W.; Li, H.; Zhong, N.; Cao, H.; Huang, K. Investigation of Mn–Co oxides loaded ceramic structured catalyst for microwave enhanced catalytic degradation of benzene. Chem. Eng. Proc.-Proc. Intens. 2024, 204, 109957. [Google Scholar] [CrossRef]














| Catalyst | Preparation Method | Benzene Concentration (ppm) | Space Velocity | Oxidation Efficiency 1 T90/°C | Ref. | 
|---|---|---|---|---|---|
| 0.63 Pt/Al2O3 | Reduction of Pt(acac)2 with oleylamine, adsorption | 100 | 60,000 mL·g–1·h–1 | 108 | [93] | 
| 1 Pt/Al2O3 | Reduction with NaBH4 | 1000 | 50,000 h–1 | 186 | [94] | 
| 1 Pt/Al2O | Reduction with H2 | 1000 | 50,000 h–1 | 246 | [94] | 
| 1 Pt/Al2O | Impregnation | 1000 | 50,000 h–1 | 269 | [94] | 
| 1 Pt/Al2O3 | Modified EG reduction | 2800 | 32,000 mL·g–1·h–1 | 144 | [95] | 
| 0.3 Pt/10Ce-10V/Al2O3 | Impregnation | 1000 | 20,000 h–1 | 235 | [96] | 
| PtW/Al2O3 | Solvothermal synthesis | 1000 | 40,000 mL·g–1·h–1 | 140 | [97] | 
| 1 Pt-0.6rGO/Al2O3 | Reduction with NaBH4 | 100 | 60,000 mL·g–1·h–1 | 135 | [98] | 
| 1 Pt/meso CeO2 | Reduction with NaBH4 | 2 g·m−3 | 48,000 mL·g–1·h–1 | 153 | [99] | 
| 1 Pt/CeO2 | Reduction with H2 | 40 | 6000 mL·h–1 | 130 | [100] | 
| 0.2 PtNP/Fe2O3 | Wet impregnation with NaBH4 reduction | 0.05 vol% C6H6, 20 vol% O2, N2 | 60,000 mL·g–1·h–1 | 165 | [101] | 
| 0.2 Ptsingle atom/Fe2O3 | Wet impregnation with NaBH4 reduction | 0.05 vol% C6H6, 20 vol% O2, N2 | 60,000 mL·g–1·h–1 | 225 | [101] | 
| 0.2 Ptnanocluster/Fe2O3 | Wet impregnation with NaBH4 reduction | 0.05 vol% C6H6, 20 vol% O2, N2 | 60,000 mL·g–1·h–1 | 335 | [101] | 
| 0.25 Pt/3D meso Fe2O3 | Reduction during synthesis with NaBH4 | 1000 | 20,000 mL·g–1 h–1 | 198 | [102] | 
| 1 Pt/TiO2-reduced | Incipient wetness impregnation | 100 | 8696 h–1 | 167 | [103] | 
| 0.3 Pt/diatomite | Bioreduction | 1000 | 60,000 mL·g–1·h–1 | 195 | [105] | 
| 0.8 Pt/eggshell | Bioreduction | 1000 | 80,000 mL·g–1·h–1 | 178 | [106] | 
| 0.5 Pt/soybean straw | Reduction during synthesis with NaBH4 | 1000 | 120,000 mL·g–1·h–1 | 179 | [107] | 
| 0.5 Pt/ fly ash zeolite X | Impregnation | 4200 mg·m−3 | 4000 h–1 | ~235 | [108] | 
| 1 Pt-2Co/Sb doped SnO2 | Impregnation Reduction with H2 | 500 | 60,000 mL·g–1·h–1 | 165 | [109] | 
| 0.5 Pt-Fe/Al2O3 | Wet impregnation | 1000 | 60,000 mL·g–1·h–1 | ~170 | [110] | 
| 0.66 Pt/TS-1 | Incipient wetness impregnation | 120 | 60,000 mL·g–1·h–1 | 130 | [111] | 
| 0.5 Pt/ZSM-5 | Reduction during synthesis with NaBH4 | 1000 | 20,000 mL·g–1·h–1 | 178 | [112] | 
| 0.5 Pt/ZSM-5 | Incipient wetness impregnation | 4200 mg·m−3 | 4000 h–1 | 189 | [113] | 
| Pt/SBA-15 | Impregnation and reduction with NaBH4 | 1000 | 60,000 mL·g–1·h–1 | 145 | [114] | 
| 2 Pt@Ti3C2 | Impregnation | 10 | 3000 mL h–1 | 162 | [115] | 
| 0.0383 Pt/OMS-2 | PVA protected reduction with NaBH4 | 1000 | 20,000 mL·g–1·h–1 | 189 | [116] | 
| 0.56 Pt/meso-CoO | polyvinyl alcohol-assisted reduction | 1000 | 80,000 mL·g–1·h–1 | 186 | [117] | 
| 0.2 Pt/MCM-41 | 1000 | 20,000 mL·g–1·h–1 | 207 | [119] | 
| Catalyst | Preparation Method | Benzene Concentration (ppm) | Space Velocity | Oxidation Efficiency 1 T90/°C | Ref. | 
|---|---|---|---|---|---|
| 0.2 Pd/6Ce-pearl shell powder | Impregnation, reduction with N2H4.xH2O | 1000 | 20,000 h–1 | ~285 | [120] | 
| 0.2 Pd/6La/ZSM-5 | Treatment with IR lamp, reduction with N2H4.xH2O | 1000 | 20,000 h–1 | ~250 | [121] | 
| 0.16 Pd-5.12Ni/SBA-15 | Impregnation, HCl treatment at RT | 1000 | 120,000 mL·g –1·h–1 | ~245 | [122] | 
| 0.96 Pd/Mn3O4- | Impregnation-bioreduction | 1000 | 120,000 mL·g –1·h–1 | 207 | [123] | 
| 0.5 Pd/shrimp waste-600 | Sol-immobilization | 1000 | 60,000 mL·g –1·h–1 | 220 | [124] | 
| 0.93 Pd/mesoCoO | In situ reduction H2 | 1000 | 40,000 mL·g–1·h–1 | 189 | [127] | 
| 0.3 Pd/SBA-15 | Impregnation, reduction H2 | 880 | 26,000 h–1 | ~240 | [129] | 
| PdOx−WOx−TiO2 | Impregnation | 1000 | 40,000 mL·g–1·h–1 | 200 | [130] | 
| 1 Pd-5Mo/Al2O3 | Incipient wetness impregnation | 0.2 vol% C6H6, 20 vol% O2, N2 | 4800 h–1 | 190 | [133] | 
| 0.3 Pd-10Ce/Silica- pillared clays | Impregnation | 1000 | 20,000 h–1 | T100/280 | [135] | 
| 0.43 Pd-0.13Co/Al2O3 | PdCo NPs mixed with γ-Al2O3 | 1000 | 40,000 mL·g–1·h–1 | 250 | [138] | 
| 0.5 Pd/kit-CeO2 | Biogenic synthesis | 1000 | 20,000 mL·g–1·h–1 | 187 | [139] | 
| 1 Pd/waste red mud | Incipient wetness impregnation | 1000 | 75,000 h–1 | ~250 | [140] | 
| 0.5 Pd-CeMnO3 | NaBH4 reduction impregnation | 500 | 20,000 mL·g–1·h–1 | 186 | [141] | 
| 1 Pd/Ce0.25Co0.75 | Self-propagating combustion | 0.1 vol% C6H6, 10 vol% O2, N2 | 60,000 h–1 | 185 | [142] | 
| 1 Pd-Na/Al2O3 | Wet impregnation | 1500 | 90,000 mL·g–1·h–1 | 193 | [143] | 
| 0.2 Pd/AlNi-pillared clays | One-step high-temperature solution-phase reduction | 1000 | 20,000 h–1 | 240 | [144] | 
| Catalyst | Preparation Method | Benzene Concentration (ppm) | Space Velocity | Oxidation Efficiency T90/°C | Ref. | 
|---|---|---|---|---|---|
| 3 Au-4V2O5/CeO2 | Deposition-precipitation | 4200 mg·m−3 | 4000 h–1 | 175 | [147] | 
| 3 Au-4MoO3/CeO2 | Deposition-precipitation | 4200 mg·m−3 | 4000 h–1 | 160 | [148] | 
| Au/BSA-CeO2 | Deposition-precipitation | 1000 | 20,000 mL·g–1·h–1 | 210 | [149] | 
| Au/Nb-CeO2 | Deposition-precipitation | 1000 | 30,000 mL·g–1·h–1 | 258 | [150] | 
| 3 Au/CeO2–10CoOx | Deposition-precipitation | 4200 mg·m−3 | 4000 h–1 | 150 | [151] | 
| 6.5 Au/meso-Co3O4 | Impregnation | 1000 | 20,000 mL·g –1·h–1 | 189 | [155] | 
| Au/h-Fe0.18Co2.82O4 | Deposition-precipitation | 1200 | 4000 h–1 | 184 | [156] | 
| 5 Au/β-MnO2 | Deposition-precipitation with NaOH | 2000 | 60,000 mL·g–1·h–1 | ~225 | [157] | 
| Au/SnO2 plates | Deposition-precipitation | 2000 | 3600 mL·h–1 | ~375 | [159] | 
| 2 Au/Cu-Ce/Al2O3 | Deposition-precipitation | 4200 mg·m−3 | 4000 h–1 | 235 | [160] | 
| 1 Au/CeO2-HAP | Deposition-precipitation | 120 | 30,000 h–1 | ~220 | [161] | 
| Catalyst | Preparation Method | Benzene Concentration (ppm) | Space Velocity | Oxidation Efficiency 1 T90/°C | Ref. | 
|---|---|---|---|---|---|
| 2 Ag/Co3O4 | Solvothermal method | 100 | 120,000 mL·g –1·h–1 | 201 | [165] | 
| 9 Ag/Co3O4 nanofiber | 200 | 60,000 mL·g –1·h–1 | 183 | [166] | |
| Ag/CeO2-Co3O4 | One-pot solvothermal method | 100 | 66,000 mL·g –1·h–1 | 193 | [167] | 
| Ag-MnOx | Reduction | 200 | 60,000 mL·g–1·h–1 | 203 | [168] | 
| K/Ag-OMS-40 | Hydrothermal method | 1500 | 90,000 mL·g–1·h–1 | ~200 | [169] | 
| Ag/HMO | Hydrothermal | 200 | 23,000 h−1 | ~200 | [170] | 
| Ag-Mn/ZrO2 | Adsorption | 395 | 12,000 mL·g–1·h–1 | ~350 | [171] | 
| AgNi/BCN-400 | Impregnation | 1400 mg·m−3 | not reported | 25 | [172] | 
| Ag/ZSM-5/SBA-15 | Reduction NaBH4 | 50 mL·min−1 O2/C6H6 | 30,000 mL·g–1·h–1 | ~275 | [173] | 
| 0.025 Ag-H3PW12O40- LiCoO2 | Thoroughly ground and thermally treated | 450–480 | 120,000 mL·g –1·h–1 | 275 | [174] | 
| 19.9 Ag/eggshell | Impregnation | 1000 | 20,000 mL·g –1·h–1 | 225 | [175] | 
| Catalyst | Preparation Method | Benzene Concentration (ppm) | Space Velocity | Oxidation Efficiency 1 T90/°C | Ref. | 
|---|---|---|---|---|---|
| 3D Mn2O3 cube-like | Hydrothermal method | 500 | 6000 mL·h–1 | 248 | [181] | 
| Mn2O3 | Citric acid solution combustion | 200 | 60,000 mL·g–1·h–1 | 212 | [182] | 
| λ-MnO2 | Acid etching of ZnMn2O4 | 500 | 60,000 mL·g –1·h–1 | 170 | [183] | 
| Birnessite-type MnO2 | Redox reaction between KMnO4 and CH3OH | 395 | 120,000 mL·g–1·h–1 | 175 | [185] | 
| MnTiOx | Hydrothermal method | 1000 | 45,000 mL·g–1·h–1 | 258 | [186] | 
| 10 MnOx/TiO2 | Impregnation | 500 | 60,000 mL·g–1·h–1 | ~300 | [187] | 
| Mesoporous Cu0.6Mn | Co-nanocasting using SBA-15 | 500 | 3150 mL·g–1·h–1 | 234 | [189] | 
| Cu/Mn-2 | Precipitation | 1000 | ~21,740 mL·g–1·h–1 | 219 | [192] | 
| CuMnO2 | Citric acid sol-gel | 100 | 60,000 mL·g–1·h–1 | 186 | [194] | 
| Cu-Mn spinel oxides | Coprecipitation | 400 | 60,000 mL·g–1·h–1 | ~125 | [195] | 
| Mn5Co5 nanorod | Sol–gel chelating | 1000 | 120,000 mL·g–1·h–1 | 237 | [198] | 
| 1D α-MnO2@Co3O4 | Hydrothermal method | 1000 | 120,000 mL·g–1·h–1 | 247 | [199] | 
| 6Mn4Ce/silica spheres | Oxalate route | 100 | 6000 mL·h–1 | 216 | [202] | 
| 10 MnCeOx (9:1)/NaY-type zeolite | Impregnation | 1000 | 20,000 h–1 | ~240 | [203] | 
| K-doped Mn5Ce5 | Precipitation | 1000 | 20,000 mL·g–1·h–1 | 202 | [204] | 
| 0.2 Ce/MnAl LDH | Co-precipitation | 100 | 60,000 mL·g–1·h–1 | 210 | [207] | 
| Mn4Ni1 | Oxalate method | 200 | 60,000 mL·g–1·h–1 | 172 | [209] | 
| Sm0.01-todorokite MnO2 | Hydrothermal | 237 | 120,000 mL·g–1·h–1 | T100/175 | [211] | 
| Sn/α-MnO2 | Redox with Sn4+ addition | 450 | 120,000 mL·g–1·h–1 | 200 | [212] | 
| Sr-OMS | Redox reaction | 2 g m−3 | 48,000 mL·g–1·h–1 | 211 | [213] | 
| Co-Al hydrotalcite-derived | Precipitation | 516 | 36,000 mL·g–1·h–1 | 257 | [218] | 
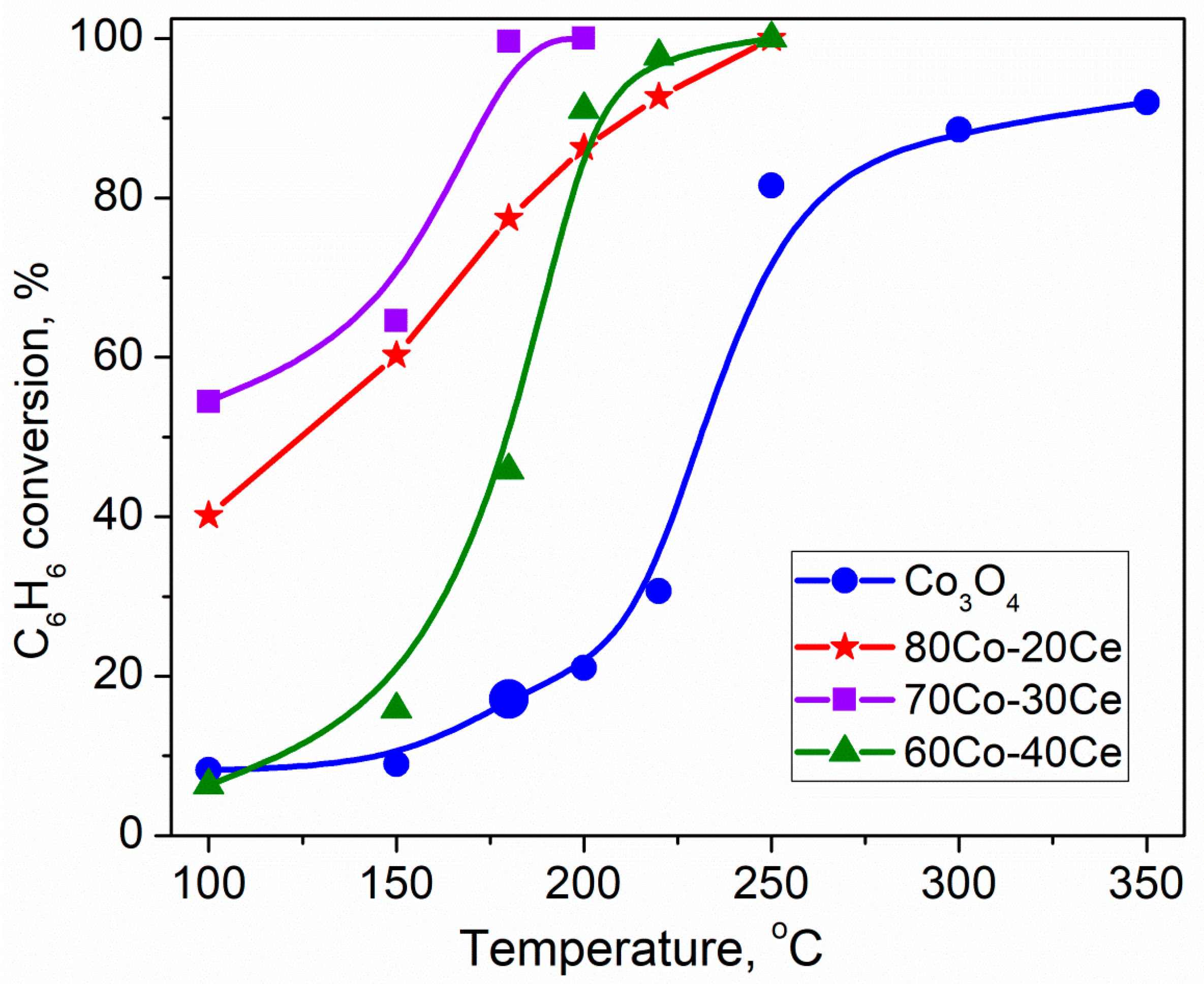
| 70Co-30Ce | Mechanochemical mixing | 42 g m−3 | 4000 h–1 | 175 | [220] | 
| Cu0.5Co2.5Al | Co-precipitation | 1000 | 60,000 mL g–1 h–1 | 290 | [223] | 
| 10 CuO-CeO2 nanofibers | Electrospinning | 500 | 3000 mL h–1 | 437 | [226] | 
| Ce-MOF | Thermal decomposition | 1000 | 20,000 mL g–1 h–1 | 240 | [228] | 
| 12.5 CeMnOx | Flame spray pyrolysis | 1000 | 60,000 mL g–1 h–1 | 250 | [230] | 
| 10 Ce/ITQ-2 zeolite | Impregnation | 1.3 | 12,000 mL g–1 h–1 | 350 | [234] | 
| Disclaimer/Publisher’s Note: The statements, opinions and data contained in all publications are solely those of the individual author(s) and contributor(s) and not of MDPI and/or the editor(s). MDPI and/or the editor(s) disclaim responsibility for any injury to people or property resulting from any ideas, methods, instructions or products referred to in the content. | 
© 2024 by the author. Licensee MDPI, Basel, Switzerland. This article is an open access article distributed under the terms and conditions of the Creative Commons Attribution (CC BY) license (https://creativecommons.org/licenses/by/4.0/).
Share and Cite
Tabakova, T. State of the Art and Challenges in Complete Benzene Oxidation: A Review. Molecules 2024, 29, 5484. https://doi.org/10.3390/molecules29225484
Tabakova T. State of the Art and Challenges in Complete Benzene Oxidation: A Review. Molecules. 2024; 29(22):5484. https://doi.org/10.3390/molecules29225484
Chicago/Turabian StyleTabakova, Tatyana. 2024. "State of the Art and Challenges in Complete Benzene Oxidation: A Review" Molecules 29, no. 22: 5484. https://doi.org/10.3390/molecules29225484
APA StyleTabakova, T. (2024). State of the Art and Challenges in Complete Benzene Oxidation: A Review. Molecules, 29(22), 5484. https://doi.org/10.3390/molecules29225484
 
        


 
                         
       