Functionalized Cyclodextrin/Carboxymethyl Cellulose Composite Hydrogel with Double Network Structure for Adsorption of Heavy Metal Ions in Wastewater
Abstract
1. Introduction
2. Results and Discussion
2.1. Structural Characterization and Analysis of CD/CMC-PAA-MBA
2.1.1. FTIR-ATR Analysis
2.1.2. X-Ray Diffraction Analysis
2.1.3. Thermogravimetric Analysis
2.1.4. Compression Properties Analysis
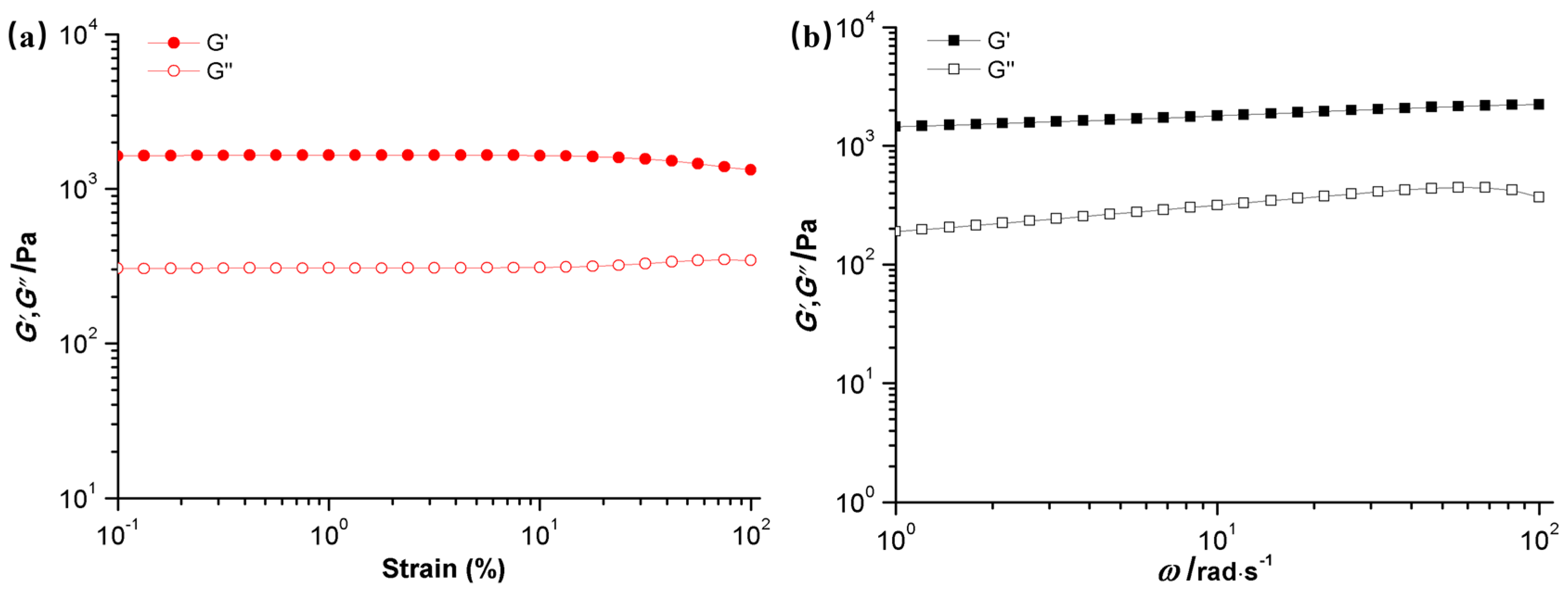
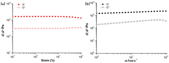
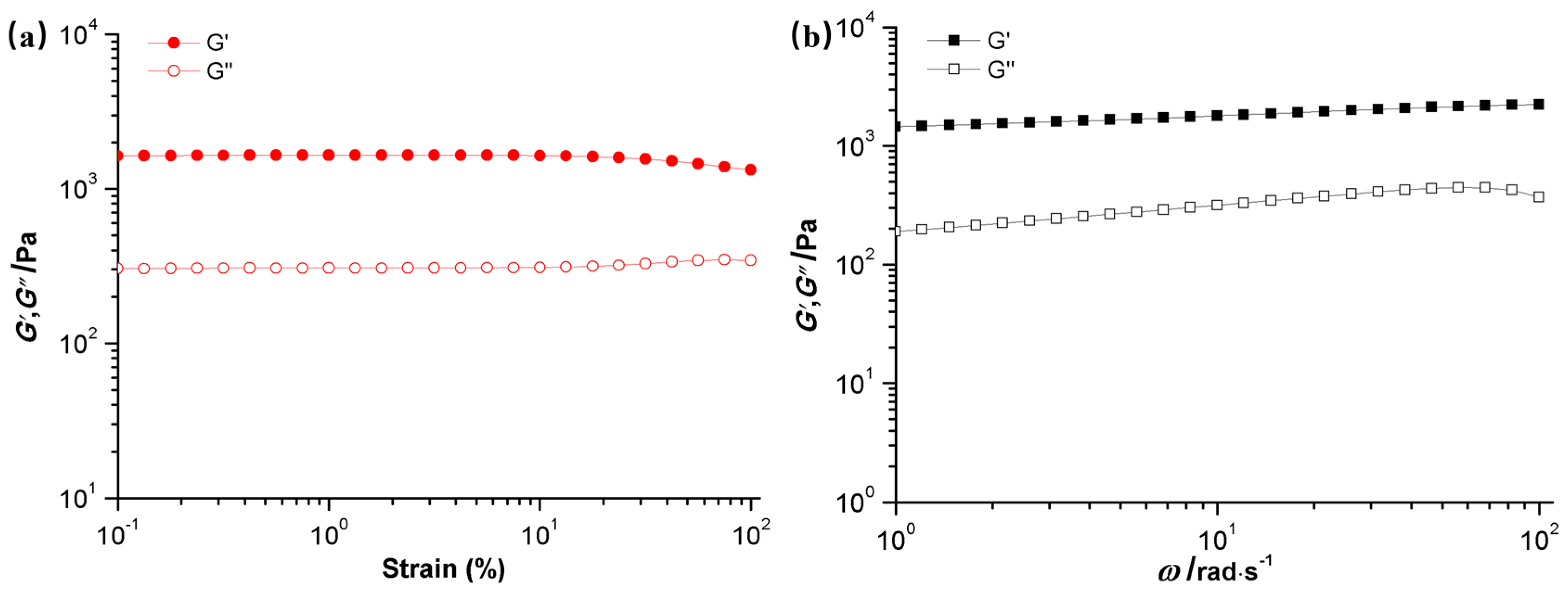
2.1.5. Rheological Properties Analysis
2.1.6. Surface Morphology Analysis
2.2. Study of the Adsorption Properties of CD/CMC-PAA-MBA Hydrogels
2.2.1. Effect of Solution pH on the Adsorption
2.2.2. Effect of Temperature on the Adsorption
2.2.3. Effect of Contact Time on the Adsorption
2.2.4. Effect of Initial Metal Ion Concentration on the Adsorption
2.2.5. Adsorption Isotherm
2.2.6. Adsorption Kinetics
2.2.7. Regenerative Performance of Prepared Hydrogels
2.2.8. Competitive Adsorption of Metal Ions
3. Materials and Methods
3.1. Materials and Instruments
3.2. Preparation of CD/CMC-PAA-MBA Hydrogel Materials
3.3. Characterization
3.4. Adsorption Experiments
3.5. Reusability Test of CD/CMA-PAA-MBA Hydrogel
4. Conclusions
Author Contributions
Funding
Institutional Review Board Statement
Informed Consent Statement
Data Availability Statement
Acknowledgments
Conflicts of Interest
References
- Chu, W.-H.; Fang, C.; Deng, Y.; Xu, Z.-X. Intensified Disinfection Amid COVID-19 Pandemic Poses Potential Risks to Water Quality and Safety. Environ. Sci. Technol. 2021, 55, 4084–4086. [Google Scholar] [CrossRef]
- Santos, M.T.; Lopes, P.A. Sludge recovery from industrial wastewater treatment. Sustain. Chem. Pharm. 2022, 29, 100803–100811. [Google Scholar] [CrossRef]
- Harvey, P.-D. Intensified Sustainable development in the removal and photocatalytic reduction of heavy metals in wastewaters using environmentally friendly and health benign Porphyrin-based Metal-Organic frameworks. Sep. Purif. Technol. 2023, 1, 124214–124221. [Google Scholar] [CrossRef]
- Ding, Q.; Li, C.; Wang, H.-J.; Xu, C.-L.; Kuang, H. Intensified Electrochemical detection of heavy metal ions in water. Chem. Commun. 2021, 59, 7215–7231. [Google Scholar] [CrossRef]
- Jiang, C.-L.; Wang, X.-H.; Hou, B.-X.; Hao, C.; Li, X.; Wu, J.-B. Construction of a Lignosulfonate-Lysine Hydrogel for the Adsorption of Heavy Metal Ions. J. Agric. Food Chem. 2020, 68, 3040–3050. [Google Scholar] [CrossRef]
- Koetlisi, K.-A.; Muchaonyerwa, P. Sorption of Selected Heavy Metals with Different Relative Concentrations in Industrial Effluent on Biochar from Human Faecal Products and Pine-Bark. Materials 2019, 12, 1768. [Google Scholar] [CrossRef]
- Chu, S.-Y.; Feng, X.-F.; Liu, C.-C.; Wu, H.-R.; Liu, X.-B. Advances in Chelating Resins for Adsorption of Heavy Metal Ions. Ind. Eng. Chem. Res. 2022, 61, 11309–11328. [Google Scholar] [CrossRef]
- Kim, I.-J.; Zhao, W.; Park, J.-G.; Meng, Z. Carbon nanotube filter for heavy metal ion adsorption. Ceram. Int. 2021, 47, 33280–33285. [Google Scholar] [CrossRef]
- Duan, G.-G.; Cao, Z.-F.; Zhong, H.; Ma, X.; Wang, S. Highly efficient poly(6-acryloylamino-N-hydroxyhexanamide) resin for adsorption of heavy metal ions. J. Environ. Manag. 2022, 308, 114631–114638. [Google Scholar] [CrossRef]
- Wang, L.-Y.; Wang, M.-J. Removal of Heavy Metal Ions by Poly (vinyl alcohol) and Carboxymethyl Cellulose Composite Hydrogels Prepared by a Freeze–Thaw Method. ACS Sustain. Chem. Eng. 2016, 4, 2830–2837. [Google Scholar] [CrossRef]
- Wang, J.-H.; Zhao, Z.-H.; Wang, J.-K.; Guo, W.-H. Construction of double cross-linked networks in calcium alginate/poly-N-isopropylacrylamide hydrogel with photothermal responsiveness for absorbing heavy metal ions. J. Appl. Polym. Sci. 2024, 141, 54819–54828. [Google Scholar] [CrossRef]
- Panja, S.; Hanson, S.; Wang, C. EDTA-Inspired Polydentate Hydrogels with Exceptionally High Heavy Metal Adsorption Capacity as Reusable Adsorbents for Wastewater Purification. ACS Appl. Mater. Interfaces 2020, 12, 25276–25285. [Google Scholar] [CrossRef]
- Li, Y.-C.-E. Sustainable Biomass Materials for Biomedical Applications. ACS Biomater. Sci. Eng. 2019, 5, 2079–2092. [Google Scholar] [CrossRef]
- Lakshmi, D.-S.; Trivedi, N.; Reddy, C.-R.-K. Synthesis and characterization of seaweed cellulose derived carboxymethyl cellulose. Carbohydr. Polym. 2017, 157, 1604–1610. [Google Scholar] [CrossRef]
- Karataş, M.; Arslan, N. Flow behaviours of cellulose and carboxymethyl cellulose from grapefruit peel. Food Hydrocoll. 2016, 58, 235–245. [Google Scholar] [CrossRef]
- Karolinekersin, E.; Angayarkanni, S.-A. Rheological insights on carboxymethyl cellulose hydrogels. Int. J. Biol. Macromol. 2023, 253, 127481–127489. [Google Scholar]
- Roy, S.; Kim, H.-J.; Rhim, J.-W. Synthesis of Carboxymethyl Cellulose and Agar-Based Multifunctional Films Reinforced with Cellulose Nanocrystals and Shikonin. ACS Appl. Polym. Mater. 2021, 3, 1060–1069. [Google Scholar] [CrossRef]
- Zheng, S.-Y.; Xia, S.-Q.; Han, S.-W.; Yao, F.-X.; Zhao, H.-T.; Huang, M.-H. β-Cyclodextrin-loaded minerals as novel sorbents for enhanced adsorption of Cd2+ and Pb2+ from aqueous solutions. Sci. Total Environ. 2019, 693, 133676–133684. [Google Scholar] [CrossRef]
- Hassan, M.; Naidu, R.; Du, J.-H.; Qi, F.-J.; Ahsan, A.; Liu, Y.-J. Magnetic responsive mesoporous alginate/β-cyclodextrin polymer beads enhance selectivity and adsorption of heavy metal ions. Int. J. Biol. Macromol. 2022, 207, 826–840. [Google Scholar] [CrossRef]
- Sun, S.-J.; Zhu, J.-Y.; Zheng, Z.-H.; Li, J.-Y.; Gan, M. Biosynthesis of β-cyclodextrin modified Schwertmannite and the application in heavy metals adsorption. Powder Technol. 2019, 342, 181–192. [Google Scholar] [CrossRef]
- Godiya, C.-B.; Cheng, X.; Li, D.-W.; Chen, Z.; Lu, X.-L. Carboxymethyl cellulose/polyacrylamide composite hydrogel for cascaded treatment/reuse of heavy metal ions in wastewater. J. Hazard. Mater. 2019, 364, 28–38. [Google Scholar] [CrossRef]
- Nitta, S.; Taniguchi, S.; Iwamoto, H. Preparation of hydrogel using catechin-grafted chitosan and carboxymethyl cellulose. Macromol. Res. 2024, 3, 175–182. [Google Scholar] [CrossRef]
- Zawko, S.-A.; Quan, T.; Christine, E.-S. Drug-binding hydrogels of hyaluronic acid functionalized with beta-cyclodextrin. J. Biomed. Mater. Res. Part A 2008, 87, 1044–1052. [Google Scholar] [CrossRef]
- Shen, Y.-H.; Wang, Z.-L.; Wang, Y.-C.; Meng, Z.-Y.; Zhao, Z. A self-healing carboxymethyl chitosan/oxidized carboxymethyl cellulose hydrogel with fluorescent bioprobes for glucose detection. Carbohydr. Polym. 2021, 274, 118642–118650. [Google Scholar] [CrossRef]
- Kundu, D.; Mondal Supriyo, K.; Banerjee, T. Development of β-Cyclodextrin-Cellulose/Hemicellulose-Based Hydrogels for the Removal of Cd (II) and Ni (II): Synthesis, Kinetics, and Adsorption Aspects. J. Chem. Eng. Data. 2019, 64, 2601–2617. [Google Scholar] [CrossRef]
- Jeong, D.; Joo, S.-W.; Hu, Y.-L.; Shinde, V.-V.; Cho, E.; Jung, S. Carboxymethyl cellulose-based superabsorbent hydrogels containing carboxymehtyl β-cyclodextrin for enhanced mechanical strength and effective drug delivery. Eur. Polym. J. 2018, 105, 17–25. [Google Scholar] [CrossRef]
- Chen, W.; Bu, Y.-H.; Li, D.-L.; Liu, C.-J.; Chen, G.-G.; Wan, X.-F.; Li, N. High-strength, tough, and self-healing hydrogel based on carboxymethyl cellulose. Cellulose 2020, 27, 853–865. [Google Scholar] [CrossRef]
- Du, R.-X.; Cao, H.-P.; Wang, G.-H.; Dou, K.; Tsidaeva, N.; Wang, W. PVP modified rGO/CoFe2O4 magnetic adsorbents with a unique sandwich structure and superior adsorption performance for anionic and cationic dyes. Sep. Purif. Technol. 2022, 286, 120484–120492. [Google Scholar] [CrossRef]
- Morrison, T.-X.; Gramlich, W.-M. Tunable, thiol-ene, interpenetrating network hydrogels of norbornene-modified carboxymethyl cellulose and cellulose nanofibrils. Carbohydr. Polym. 2023, 319, 121173–121181. [Google Scholar] [CrossRef]
- Guo, Y.; Zhao, C.-Y.; Yan, C.; Li, C. Construction of cellulose/carboxymethyl chitosan hydrogels for potential wound dressing application. Cellulose 2021, 28, 10013–10023. [Google Scholar] [CrossRef]
- Qi, X.-L.; Wu, L.-P.; Su, T.; Zhang, J.-F.; Dong, W. Polysaccharide-based cationic hydrogels for dye adsorption. Colloids Surf. B Biointerfaces 2018, 170, 364–372. [Google Scholar] [CrossRef] [PubMed]
- Cao, H.-P.; Wang, R.-C.; Dou, K.; Qiu, J.-F.; Peng, C.-Y.; Tsidaeva, N.; Wang, W. High-efficiency adsorption removal of CR and MG dyes using AlOOH fibers embedded with porous CoFe2O4 nanoparticles. Environ. Res. 2023, 216, 114730–114736. [Google Scholar] [CrossRef] [PubMed]
- Peng, C.-Y.; Cao, H.-P.; Wang, R.-C.; Qiu, J.-F.; Wang, W. Construction of ZIF/CS and ZIF/CS-derivatives with high-efficiency adsorption for dyes/antibiotics and strong microwave absorption performance. Colloids Surf. A Physicochem. Eng. Asp. 2024, 695, 134210–134216. [Google Scholar] [CrossRef]
- Qiu, J.; Liao, J.; Wang, G.-H.; Du, R.-X.; Tsidaeva, N.; Wang, W. Implanting N-doped CQDs into rGO aerogels with diversified applications in microwave absorption and wastewater treatment. Chem. Eng. J. 2022, 443, 136475–136481. [Google Scholar] [CrossRef]
- de Souza, I.F.; Petri, D.F. β-Cyclodextrin hydroxypropyl methylcellulose hydrogels for bisphenol A adsorption. J. Mol. Liq. 2018, 266, 640–648. [Google Scholar] [CrossRef]
- Li, X.-Y.; Li, P.-H.; Chen, W.; Ren, J.-P.; Wu, W.-J. Preparation and Adsorption Properties of Lignin/Cellulose Hydrogel. Materials 2023, 16, 4260. [Google Scholar] [CrossRef]
- Teow, Y.-H.; Kam, L.-M.; Abdul, W.-M. Synthesis of cellulose hydrogel for copper (II) ions adsorption. J. Environ. Chem. Eng. 2018, 6, 4588–4597. [Google Scholar] [CrossRef]
- Liu, J.; Su, D.-H.; Yao, J.-R.; Huang, Y.-F.; Shao, Z.-Z.; Chen, X. Soy protein-based polyethylenimine hydrogel and its high selectivity for copper ion removal in wastewater treatment. J. Mater. Chem. A 2017, 5, 4163–4171. [Google Scholar] [CrossRef]
- Tran, V.-V.; Park, D.; Lee, Y.-C. Hydrogel applications for adsorption of contaminants in water and wastewater treatment. Environ. Sci. Pollut. Res. 2018, 25, 24569–24599. [Google Scholar] [CrossRef]










| Langmuir | Freundlich | |||||
|---|---|---|---|---|---|---|
| Qm | KL | R2 | n | Kp | R2 | |
| Cu2+ | 182.48 | 0.1034 | 0.9951 | 3.39 | 10.08 | 0.8005 |
| Pb2+ | 636.94 | 0.0985 | 0.9901 | 1.86 | 9.17 | 0.3950 |
| Cd2+ | 290.69 | 0.0867 | 0.9973 | 2.55 | 10.55 | 0.7474 |
| Temkin | ||||||
| B | KT | R2 | ||||
| Cu2+ | 34.61 | 1.22 | 0.8841 | |||
| Pb2+ | 162.95 | 0.24 | 0.6184 | |||
| Cd2+ | 46.41 | 3.31 | 0.7071 | |||
| Pseudo-First-Order | Pseudo-Second-Order | |||||
|---|---|---|---|---|---|---|
| K1 | Qe1 | R2 | K2 | Qe2 | R2 | |
| Cu2+ | 0.1257 | 78.83 | 0.8889 | 0.0043 | 176.37 | 0.9984 |
| Pb2+ | 0.4575 | 137.04 | 0.9199 | 0.0018 | 450.45 | 0.9996 |
| Cd2+ | 0.2126 | 240.65 | 0.9752 | 0.0017 | 336.70 | 0.9979 |
Disclaimer/Publisher’s Note: The statements, opinions and data contained in all publications are solely those of the individual author(s) and contributor(s) and not of MDPI and/or the editor(s). MDPI and/or the editor(s) disclaim responsibility for any injury to people or property resulting from any ideas, methods, instructions or products referred to in the content. |
© 2024 by the authors. Licensee MDPI, Basel, Switzerland. This article is an open access article distributed under the terms and conditions of the Creative Commons Attribution (CC BY) license (https://creativecommons.org/licenses/by/4.0/).
Share and Cite
Zhang, H.; Yang, X.; Zhang, X.; Liu, W.; Fan, M.; Wang, L. Functionalized Cyclodextrin/Carboxymethyl Cellulose Composite Hydrogel with Double Network Structure for Adsorption of Heavy Metal Ions in Wastewater. Molecules 2024, 29, 5414. https://doi.org/10.3390/molecules29225414
Zhang H, Yang X, Zhang X, Liu W, Fan M, Wang L. Functionalized Cyclodextrin/Carboxymethyl Cellulose Composite Hydrogel with Double Network Structure for Adsorption of Heavy Metal Ions in Wastewater. Molecules. 2024; 29(22):5414. https://doi.org/10.3390/molecules29225414
Chicago/Turabian StyleZhang, Hong, Xiaodong Yang, Xin Zhang, Wenbin Liu, Meiqing Fan, and Lei Wang. 2024. "Functionalized Cyclodextrin/Carboxymethyl Cellulose Composite Hydrogel with Double Network Structure for Adsorption of Heavy Metal Ions in Wastewater" Molecules 29, no. 22: 5414. https://doi.org/10.3390/molecules29225414
APA StyleZhang, H., Yang, X., Zhang, X., Liu, W., Fan, M., & Wang, L. (2024). Functionalized Cyclodextrin/Carboxymethyl Cellulose Composite Hydrogel with Double Network Structure for Adsorption of Heavy Metal Ions in Wastewater. Molecules, 29(22), 5414. https://doi.org/10.3390/molecules29225414
