The Crystal Structure of Dodecahedral Ba2+ Hexa-Perchlorate Complex Tetrakis 1-N-Propyl-3-vinyl-imidazol-1-ium·Barium Hexa-Perchlorate
Abstract
1. Introduction
2. Results
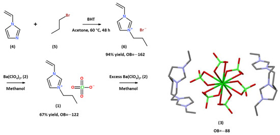
2.1. Crystal Structure Determination of Tetrakis 1-N-Propyl-3-vinyl-imidazol-1-ium Barium Hexa-Perchlorate, 3
2.2. Supramolecular Features
3. Refinement
4. Materials and Methods
4.1. Synthesis of 1-N-Propyl-3-vinyl-imidazol-1-ium Bromide (6)
4.2. Synthesis of 1-N-Propyl-3-vinyl-imidazol-1-ium Perchlorate (1)
4.3. Growth of Crystals of 3
Supplementary Materials
Author Contributions
Funding
Institutional Review Board Statement
Informed Consent Statement
Data Availability Statement
Acknowledgments
Conflicts of Interest
References
- Thomas, E.; Vijayalakshmi, K.P.; George, B.K. Imidazolium Based Energetic Ionic Liquids for Monopropellant Applications: A Theoretical Study. RSC Adv. 2015, 5, 71896–71902. [Google Scholar] [CrossRef]
- Papović, S.; Vraneš, M.; Armaković, S.; Armaković, S.J.; Szécsényi, K.M.; Bešter-Rogač, M.; Gadžurić, S. Investigation of 1,2,3-Trialkylimidazolium Ionic Liquids: Experiment and Density Functional Theory Calculations. New J. Chem. 2017, 41, 650–660. [Google Scholar] [CrossRef]
- Katritzky, A.R.; Yang, H.; Zhang, D.; Kirichenko, K.; Smiglak, M.; Holbrey, J.D.; Reichert, W.M.; Rogers, R.D. Strategies toward the Design of Energetic Ionic Liquids: Nitro- and Nitrile-Substituted N,N′-Dialkylimidazolium Salts. New J. Chem. 2006, 30, 349. [Google Scholar] [CrossRef]
- Thomas, E.; Thomas, D.; Vijayalakshmi, K.P.; George, B.K. Mechanistic Outlook on Thermal Degradation of 1,3-Dialkyl Imidazolium Ionic Liquids and Organoclays. RSC Adv. 2016, 6, 9421–9428. [Google Scholar] [CrossRef]
- Chand, D.; Wilk-Kozubek, M.; Smetana, V.; Mudring, A.-V. Alternative to the Popular Imidazolium Ionic Liquids: 1,2,4-Triazolium Ionic Liquids with Enhanced Thermal and Chemical Stability. ACS Sustain. Chem. Eng. 2019, 7, 15995–16006. [Google Scholar] [CrossRef]
- Zertal, Y.; Yong, M.; Levi, A.; Sevilia, S.; Tsoglin, A.; Parvari, G.; Gottlieb, L.; Eichen, Y. Alkyl Vinyl Imidazolium Ionic Liquids as Fuel Binders for Photo-Curable Energetic Propellants. ACS Appl. Polym. Mater. 2022, 4, 4928–4939. [Google Scholar] [CrossRef]
- Sevilia, S.; Yong, M.; Grinstein, D.; Gottlieb, L.; Eichen, Y. Novel, Printable Energetic Polymers. Macromol. Mater. Eng. 2019, 304, 1900018. [Google Scholar] [CrossRef]
- Sevilia, S.; Parvari, G.; Bernstein, J.; Fridman, N.; Grinstein, D.; Gottlieb, L.; Eichen, Y.; Szpilman, A.M. Imidazolium-Based Energetic Materials. ChemistrySelect 2022, 7, e202200322. [Google Scholar] [CrossRef]
- Wang, B.; Feng, Y.; Qi, X.; Deng, M.; Tian, J.; Zhang, Q. Designing Explosive Poly(Ionic Liquid)s as Novel Energetic Polymers. Chem.—Eur. J. 2018, 24, 15897–15902. [Google Scholar] [CrossRef] [PubMed]
- Zhang, Q.; Shreeve, J.M. Energetic Ionic Liquids as Explosives and Propellant Fuels: A New Journey of Ionic Liquid Chemistry. Chem. Rev. 2014, 114, 10527–10574. [Google Scholar] [CrossRef] [PubMed]
- Singh, R.P.; Verma, R.D.; Meshri, D.T.; Shreeve, J.M. Energetic Nitrogen-Rich Salts and Ionic Liquids. Angew. Chem. Int. Ed. 2006, 45, 3584–3601. [Google Scholar] [CrossRef] [PubMed]
- Meyer, R.; Köhler, J.; Homburg, A. Explosives, 7th ed.; completely revised and updated; Wiley-VCH: Weinheim, Germany, 2016; ISBN 978-3-527-33776-7. [Google Scholar]
- Xue, H.; Gao, Y.; Twamley, B.; Shreeve, J.M. New Energetic Salts Based on Nitrogen-Containing Heterocycles. Chem. Mater. 2005, 17, 191–198. [Google Scholar] [CrossRef]
- Gao, H.; Shreeve, J.M. Azole-Based Energetic Salts. Chem. Rev. 2011, 111, 7377–7436. [Google Scholar] [CrossRef] [PubMed]
- Manohar, H.; Ramaseshan, S. Crystal Co-Ordination of the Barium Ion. Proc. Indian Acad. Sci.-Sect. A 1964, 60, 317–351. [Google Scholar] [CrossRef]
- Dolomanov, O.V.; Bourhis, L.J.; Gildea, R.J.; Howard, J.A.K.; Puschmann, H. OLEX2: A Complete Structure Solution, Refinement and Analysis Program. J. Appl. Crystallogr. 2009, 42, 339–341. [Google Scholar] [CrossRef]
- Bourhis, L.J.; Dolomanov, O.V.; Gildea, R.J.; Howard, J.A.K.; Puschmann, H. The Anatomy of a Comprehensive Constrained, Restrained Refinement Program for the Modern Computing Environment–Olex2 Dissected. Acta Crystallogr. Sect. Found. Adv. 2015, 71, 59–75. [Google Scholar] [CrossRef] [PubMed]
- Sheldrick, G.M. Crystal Structure Refinement with SHELXL. Acta Crystallogr. Sect. C Struct. Chem. 2015, 71, 3–8. [Google Scholar] [CrossRef] [PubMed]
- Macrae, C.F.; Sovago, I.; Cottrell, S.J.; Galek, P.T.A.; McCabe, P.; Pidcock, E.; Platings, M.; Shields, G.P.; Stevens, J.S.; Towler, M.; et al. Mercury 4.0: From Visualization to Analysis, Design and Prediction. J. Appl. Crystallogr. 2020, 53, 226–235. [Google Scholar] [CrossRef] [PubMed]





| Crystal Data | 3 |
|---|---|
| Empirical formula | (C8H13N2)4·BaCl6O24 |
| Formula weight | 1282.85 |
| Temperature (K) | 100.15 |
| Wavelength (Å) | 0.71073 |
| Crystal system | Monoclinic |
| Space group | P21/c |
| a (Å) | 19.6704(6) |
| b (Å) | 13.4428(4) |
| c (Å) | 20.1021(6) |
| α (°) | 90 |
| β (°) | 100.218(3) |
| γ (°) | 90 |
| Volume (Å3) | 5231.2(3) |
| Z | 4 |
| Calculated density (mg/cm3) | 1.629 |
| Absorption coefficient (mm−1) | 1.151 |
| F(000) | 2600 |
| Crystal size (mm) | 0.15 × 0.15 × 0.06 |
| 2Theta range | 4.946–60.168 |
| Reflection collected/unique | 41,869/11,966 |
| Rint | 0.0649 |
| Completeness (%) | 99.6 |
| Absorption correction | semi-empirical |
| Data/restraints/parameters | 11,966/678/711 |
| Goodness-of-fit on F^2 | 1.011 |
| R1, wR2 [I > 2sigma(I)] | 0.0469, 0.0868 |
| R1, wR2 (all data) | 0.0919, 0.1003 |
| Largest diff. peak and hole | 1.08/−0.58 |
| Diffractometer | XtaLAB Synergy-S |
Disclaimer/Publisher’s Note: The statements, opinions and data contained in all publications are solely those of the individual author(s) and contributor(s) and not of MDPI and/or the editor(s). MDPI and/or the editor(s) disclaim responsibility for any injury to people or property resulting from any ideas, methods, instructions or products referred to in the content. |
© 2024 by the authors. Licensee MDPI, Basel, Switzerland. This article is an open access article distributed under the terms and conditions of the Creative Commons Attribution (CC BY) license (https://creativecommons.org/licenses/by/4.0/).
Share and Cite
Zertal, Y.; Fridman, N.; Gottlieb, L.; Eichen, Y. The Crystal Structure of Dodecahedral Ba2+ Hexa-Perchlorate Complex Tetrakis 1-N-Propyl-3-vinyl-imidazol-1-ium·Barium Hexa-Perchlorate. Molecules 2024, 29, 5010. https://doi.org/10.3390/molecules29215010
Zertal Y, Fridman N, Gottlieb L, Eichen Y. The Crystal Structure of Dodecahedral Ba2+ Hexa-Perchlorate Complex Tetrakis 1-N-Propyl-3-vinyl-imidazol-1-ium·Barium Hexa-Perchlorate. Molecules. 2024; 29(21):5010. https://doi.org/10.3390/molecules29215010
Chicago/Turabian StyleZertal, Yuval, Natalia Fridman, Levi Gottlieb, and Yoav Eichen. 2024. "The Crystal Structure of Dodecahedral Ba2+ Hexa-Perchlorate Complex Tetrakis 1-N-Propyl-3-vinyl-imidazol-1-ium·Barium Hexa-Perchlorate" Molecules 29, no. 21: 5010. https://doi.org/10.3390/molecules29215010
APA StyleZertal, Y., Fridman, N., Gottlieb, L., & Eichen, Y. (2024). The Crystal Structure of Dodecahedral Ba2+ Hexa-Perchlorate Complex Tetrakis 1-N-Propyl-3-vinyl-imidazol-1-ium·Barium Hexa-Perchlorate. Molecules, 29(21), 5010. https://doi.org/10.3390/molecules29215010

