Design and Validation of a Short Novel Estradiol Aptamer and Exploration of Its Application in Sensor Technology
Abstract
1. Introduction
2. Results and Discussions
2.1. Novel Aptamers for E2 and Its Affinity
2.2. Colorimetric Assay
2.2.1. Chemical Characterization of AuNPs
2.2.2. Optimization of NaCl Concentration
2.2.3. Optimization for Aptamer Concentration
2.2.4. Analytical Performance of the Colorimetric Sensor
2.3. Electrochemical Assay
2.3.1. Characterization of Synthesized rGO/THI/AuNP Nanocomposites
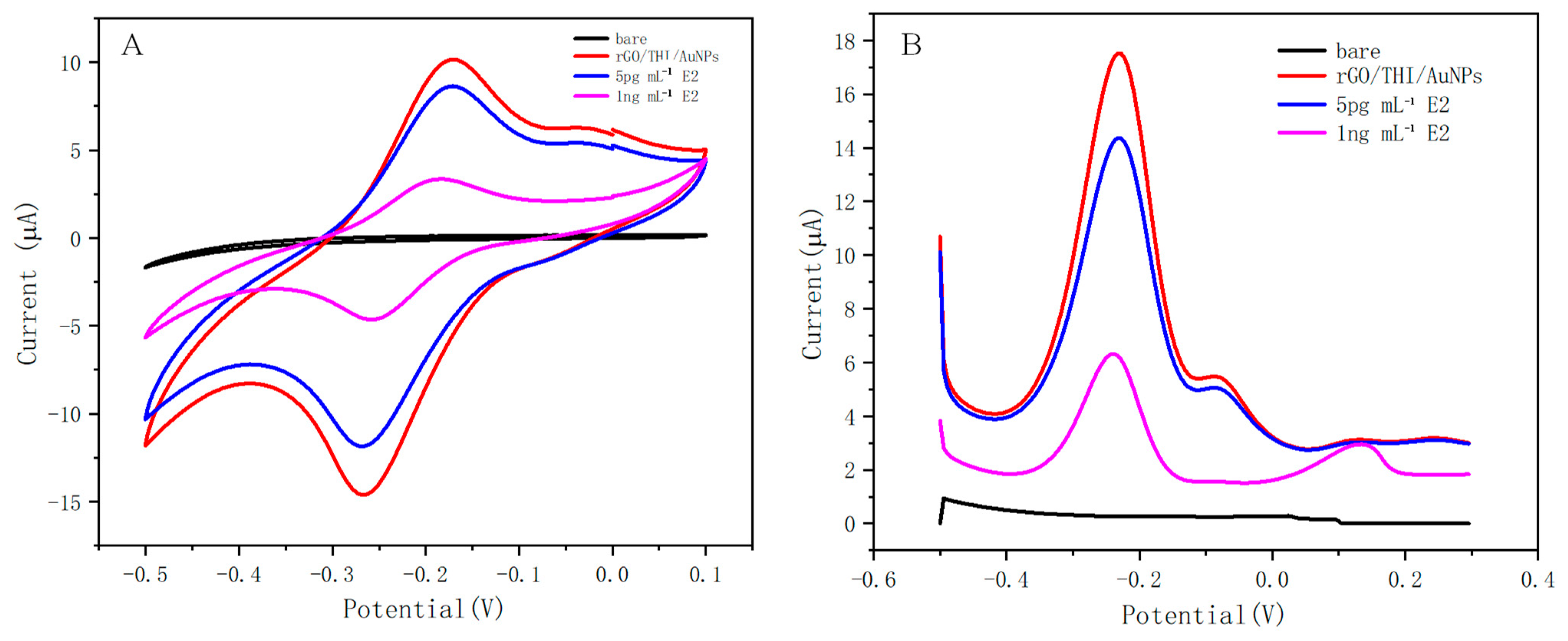
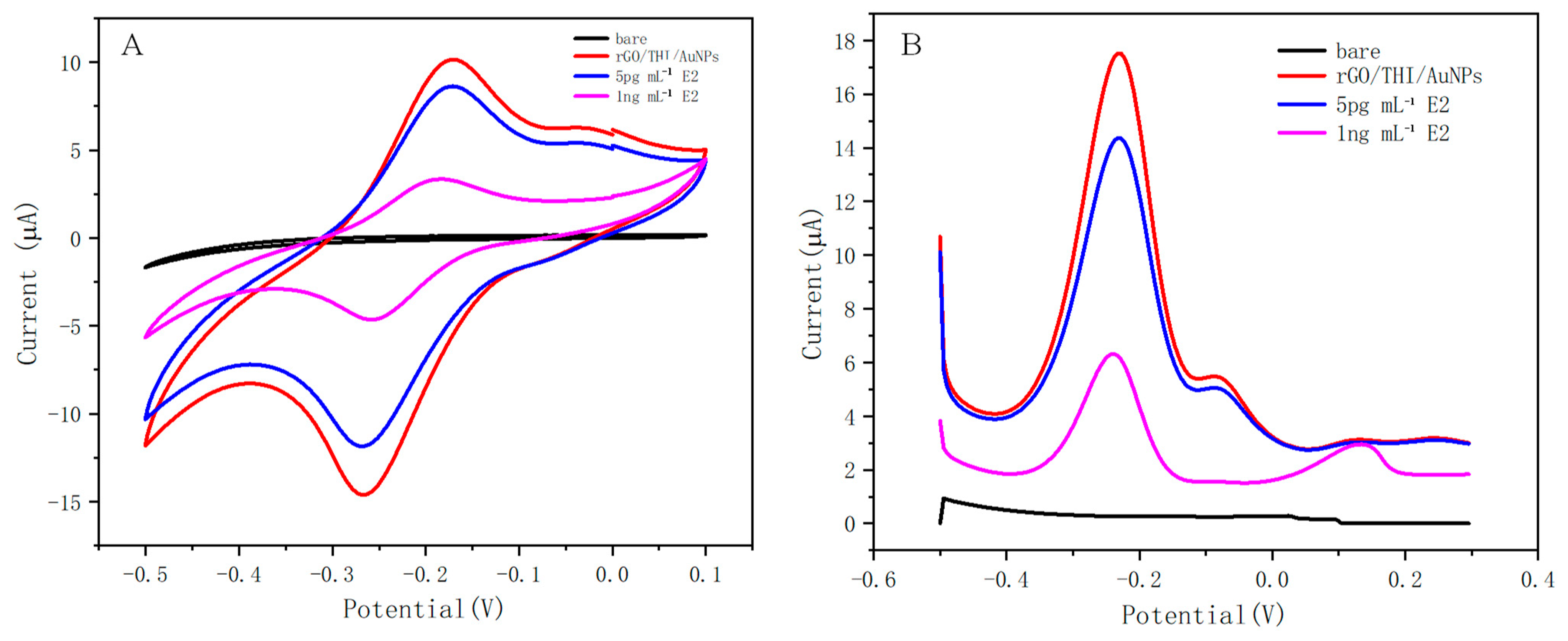
2.3.2. Electrochemical Performance of the Aptasensor
2.3.3. Analytical Performance of the Aptasensor
2.3.4. Repeatability and Selectivity of the HEV1-Based Aptasensor
2.3.5. Analytical Results of Serum Samples
3. Materials and Methods
3.1. Reagents and Apparatus
3.2. Modification for E2 Aptamer
3.3. Preparation of MST Experiments for Novel Aptamer
3.3.1. Preparation of the Reagents
3.3.2. Capillary Scanning and Detection
3.4. Fabrication of AuNPs-Based Colorimetric Sensor for the Detection of E2
3.4.1. Preparation of the AuNPs
3.4.2. Detection of E2 by Colorimetric Method Based on AuNPs
3.5. Fabrication of Paper-Based Aptasensor for Electrochemical Detection of E2
3.5.1. Preparation of the EAB Sensor
3.5.2. Synthesis of rGO/THI/AuNP Nanocomposite
3.5.3. Fabrication of Aptasensor
3.5.4. Estradiol Detection Based on Electrochemical Aptasensor
4. Conclusions
Supplementary Materials
Author Contributions
Funding
Institutional Review Board Statement
Informed Consent Statement
Data Availability Statement
Acknowledgments
Conflicts of Interest
References
- Faltinová, M.; Vehmanen, L.; Lyytinen, H.; Haanpää, M.; Hämäläinen, E.; Tiitinen, A.; Blomqvist, C.; Mattson, J. Monitoring serum estradiol levels in breast cancer patients during extended adjuvant letrozole treatment after five years of tamoxifen: A prospective trial. Breast Cancer Res. Treat. 2021, 187, 769–775. [Google Scholar] [CrossRef]
- Nagao, T.; Kira, M.; Takahashi, M.; Honda, J.; Hirose, T.; Tangoku, A.; Zembutsu, H.; Nakamura, Y.; Sasa, M. Serum estradiol should be monitored not only during the peri-menopausal period but also the post-menopausal period at the time of aromatase inhibitor administration. World J. Surg. Oncol. 2009, 7, 88. [Google Scholar] [CrossRef] [PubMed]
- Dupont, A.; Dupont, P.; Cusan, L.; Tremblay, M.; Rioux, J.; Cloutier, D.; Mailloux, J.; De Lignières, B.; Gutkowska, J.; Boucher, H.; et al. Comparative endocrinological and clinical effects of percutaneous estradiol and oral conjugated estrogens as replacement therapy in menopausal women. Maturitas 1991, 13, 297–311. [Google Scholar] [CrossRef] [PubMed]
- Polan, M.L.; Totora, M.; Caldwell, B.V.; DeCherney, A.H.; Haseltine, F.P.; Kase, N. Abnormal ovarian cycles as diagnosed by ultrasound and serum estradiol levels. Fertil. Steril. 1982, 37, 342–347. [Google Scholar] [CrossRef] [PubMed]
- Kushnir, M.M.; Rockwood, A.L.; Bergquist, J.; Varshavsky, M.; Roberts, W.L.; Yue, B.; Bunker, A.M.; Meikle, A.W. High-sensitivity tandem mass spectrometry assay for serum estrone and estradiol. Am. J. Clin. Pathol. 2008, 129, 530–539. [Google Scholar] [CrossRef] [PubMed]
- Huang, X.; Spink, D.C.; Schneider, E.; Ling, H.; Rai, A.J.; Rosano, T.G.; Chen, B.; Cao, Z. Measurement of unconjugated estriol in serum by liquid chromatography-tandem mass spectrometry and assessment of the accuracy of chemiluminescent immunoassays. Clin. Chem. 2014, 60, 260–268. [Google Scholar] [CrossRef]
- Nelson, R.E.; Grebe, S.K.; O’Kane, D.J.; Singh, R.J. Liquid chromatography-tandem mass spectrometry assay for simultaneous measurement of estradiol and estrone in human plasma. Clin. Chem. 2004, 50, 373–384. [Google Scholar] [CrossRef]
- Tai, S.S.; Welch, M.J. Development and evaluation of a reference measurement procedure for the determination of estradiol-17beta in human serum using isotope-dilution liquid chromatography-tandem mass spectrometry. Anal. Chem. 2005, 77, 6359–6363. [Google Scholar] [CrossRef]
- Ming, T.; Wang, Y.; Luo, J.; Liu, J.; Sun, S.; Xing, Y.; Xiao, G.; Jin, H.; Cai, X. Folding Paper-Based Aptasensor Platform Coated with Novel Nanoassemblies for Instant and Highly Sensitive Detection of 17β-Estradiol. ACS Sens. 2019, 4, 3186–3194. [Google Scholar] [CrossRef]
- Zhang, L.; Mei, L.; Wang, K.; Lv, Y.; Zhang, S.; Lian, Y.; Liu, X.; Ma, Z.; Xiao, G.; Liu, Q.; et al. Advances in the Application of Perovskite Materials. Nano-Micro Lett. 2023, 15, 177. [Google Scholar] [CrossRef]
- Farré, M.; Kuster, M.; Brix, R.; Rubio, F.; de Alda, M.J.L.; Barceló, D. Comparative study of an estradiol enzyme-linked immunosorbent assay kit, liquid chromatography-tandem mass spectrometry, and ultra performance liquid chromatography-quadrupole time of flight mass spectrometry for part-per-trillion analysis of estrogens in water samples. J. Chromatogr. A 2007, 1160, 166–175. [Google Scholar] [PubMed]
- Cao, Z.; Swift, T.A.; West, C.A.; Rosano, T.G.; Rej, R. Immunoassay of Estradiol: Unanticipated Suppression by Unconjugated Estriol. Clin. Chem. 2004, 50, 160–165. [Google Scholar] [CrossRef] [PubMed]
- Xin, T.B.; Liang, S.X.; Wang, X.; Li, H.; Lin, J.M. Determination of estradiol in human serum using magnetic particles-based chemiluminescence immunoassay. Anal. Chim. Acta 2008, 627, 277–284. [Google Scholar] [CrossRef] [PubMed]
- Ming, T.; Cheng, Y.; Xing, Y.; Luo, J.; Mao, G.; Liu, J.; Sun, S.; Kong, F.; Jin, H.; Cai, X. Electrochemical Microfluidic Paper-Based Aptasensor Platform Based on a Biotin–Streptavidin System for Label-Free Detection of Biomarkers. ACS Appl. Mater. Interfaces 2021, 13, 46317–46324. [Google Scholar] [CrossRef] [PubMed]
- Ming, T.; Luo, J.; Xing, Y.; Cheng, Y.; Liu, J.; Sun, S.; Kong, F.; Xu, S.; Dai, Y.; Xie, J.; et al. Recent progress and perspectives of continuous in vivo testing device. Mater. Today Bio 2022, 16, 100341. [Google Scholar] [CrossRef] [PubMed]
- L’Hermite, M. HRT optimization, using transdermal estradiol plus micronized progesterone, a safer HRT. Climacteric 2013, 16, 44–53. [Google Scholar] [CrossRef] [PubMed]
- Suhaimi, N.F.; Baharin, S.N.A.; Jamion, N.A.; Mohd Zain, Z.; Sambasevam, K.P. Polyaniline-chitosan modified on screen-printed carbon electrode for the electrochemical detection of perfluorooctanoic acid. Microchem. J. 2023, 188, 108502. [Google Scholar] [CrossRef]
- Liu, M.; Ke, H.; Sun, C.; Wang, G.; Wang, Y.; Zhao, G. A simple and highly selective electrochemical label-free aptasensor of 17β-estradiol based on signal amplification of bi-functional graphene. Talanta 2019, 194, 266–272. [Google Scholar] [CrossRef]
- Hermann, T.; Patel, D.J. Adaptive recognition by nucleic acid aptamers. Science 2000, 287, 820–825. [Google Scholar] [CrossRef]
- Andrake, M.; Guild, N.; Hsu, T.; Gold, L.; Tuerk, C.; Karam, J. DNA polymerase of bacteriophage T4 is an autogenous translational repressor. Proc. Natl. Acad. Sci. USA 1988, 85, 7942–7946. [Google Scholar] [CrossRef]
- Tuerk, C.; Gold, L. Systematic evolution of ligands by exponential enrichment: RNA ligands to bacteriophage T4 DNA polymerase. Science 1990, 249, 505–510. [Google Scholar] [CrossRef] [PubMed]
- Ellington, A.D.; Szostak, J.W. In vitro selection of RNA molecules that bind specific ligands. Nature 1990, 346, 818–822. [Google Scholar] [CrossRef] [PubMed]
- Mandal, M.; Breaker, R.R. Gene regulation by riboswitches. Nat. Rev. Mol. Cell Biol. 2004, 5, 451–463. [Google Scholar] [CrossRef] [PubMed]
- Alsager, O.A.; Kumar, S.; Willmott, G.R.; McNatty, K.P.; Hodgkiss, J.M. Small molecule detection in solution via the size contraction response of aptamer functionalized nanoparticles. Biosens. Bioelectron. 2014, 57, 262–268. [Google Scholar] [CrossRef] [PubMed]
- Kim, Y.S.; Jung, H.S.; Matsuura, T.; Lee, H.Y.; Kawai, T.; Gu, M.B. Electrochemical detection of 17β-estradiol using DNA aptamer immobilized gold electrode chip. Biosens. Bioelectron. 2007, 22, 2525–2531. [Google Scholar] [CrossRef] [PubMed]
- Lu, L.; Song, B.; Gao, J.; Shao, X. A ratiometric aptasensor for simultaneous determination of two estrogens based on multicolor upconversion nanoparticles. Sens. Actuators B Chem. 2023, 389, 133842. [Google Scholar] [CrossRef]
- Waifalkar, P.P.; Noh, D.; Derashri, P.; Barage, S.; Oh, E. Role of Estradiol Hormone in Human Life and Electrochemical Aptasensing of 17β-Estradiol: A Review. Biosensors 2022, 12, 1117. [Google Scholar] [CrossRef]
- Alhadrami, H.A.; Chinnappan, R.; Eissa, S.; Rahamn, A.A.; Zourob, M. High affinity truncated DNA aptamers for the development of fluorescence based progesterone biosensors. Anal. Biochem. 2017, 525, 78–84. [Google Scholar] [CrossRef]
- Chinnappan, R.; Rahamn, A.A.; AlZabn, R.; Kamath, S.; Lopata, A.L.; Abu-Salah, K.M.; Zourob, M. Aptameric biosensor for the sensitive detection of major shrimp allergen, tropomyosin. Food Chem. 2020, 314, 126133. [Google Scholar] [CrossRef]
- Gu, C.; Xiang, Y.; Guo, H.; Shi, H. Label-free fluorescence detection of melamine with a truncated aptamer. Analyst 2016, 141, 4511–4517. [Google Scholar] [CrossRef]
- Qiao, L.; Wang, H.; He, J.; Yang, S.; Chen, A. Truncated affinity-improved aptamers for 17β-estradiol determination by AuNPs-based colorimetric aptasensor. Food Chem. 2021, 340, 128181. [Google Scholar] [CrossRef] [PubMed]
- Alsager, O.A.; Kumar, S.; Zhu, B.; Travas-Sejdic, J.; McNatty, K.P.; Hodgkiss, J.M. Ultrasensitive Colorimetric Detection of 17β-Estradiol: The Effect of Shortening DNA Aptamer Sequences. Anal. Chem. 2015, 87, 4201–4209. [Google Scholar] [CrossRef] [PubMed]
- Jerabek-Willemsen, M.; Wienken, C.J.; Braun, D.; Baaske, P.; Duhr, S. Molecular Interaction Studies Using Microscale Thermophoresis. ASSAY Drug Dev. Technol. 2011, 9, 342–353. [Google Scholar] [CrossRef] [PubMed]
- Zuker, M. Mfold web server for nucleic acid folding and hybridization prediction. Nucleic Acids Res. 2003, 31, 3406–3415. [Google Scholar] [CrossRef]
- Ding, W.; Zhang, P.; Li, Y.; Xia, H.; Wang, D.; Tao, X. Effect of Latent Heat in Boiling Water on the Synthesis of Gold Nanoparticles of Different Sizes by using the Turkevich Method. ChemPhysChem 2015, 16, 447–454. [Google Scholar] [CrossRef]
- Akki, S.U.; Werth, C.J.; Silverman, S.K. Selective Aptamers for Detection of Estradiol and Ethynylestradiol in Natural Waters. Environ. Sci. Technol. 2015, 49, 9905–9913. [Google Scholar] [CrossRef]







| Reference Concentration (pg/mL) | Electrochemical Sensor Measured Concentration (pg/mL) | Relative Error (%) | |
|---|---|---|---|
| 1 | 14.7 | 15.63 | 6.31 |
| 2 | 391.9 | 348.35 | −11.11 |
| 3 | 523.5 | 430.87 | −17.69 |
| 4 | 1202 | 1301.66 | 8.29 |
| 5 | 2642.3 | 2858.51 | 8.18 |
Disclaimer/Publisher’s Note: The statements, opinions and data contained in all publications are solely those of the individual author(s) and contributor(s) and not of MDPI and/or the editor(s). MDPI and/or the editor(s) disclaim responsibility for any injury to people or property resulting from any ideas, methods, instructions or products referred to in the content. |
© 2024 by the authors. Licensee MDPI, Basel, Switzerland. This article is an open access article distributed under the terms and conditions of the Creative Commons Attribution (CC BY) license (https://creativecommons.org/licenses/by/4.0/).
Share and Cite
Jin, H.; Cheng, Y.; Kong, F.; Huang, H.; Yang, Z.; Wang, X.; Cai, X.; Luo, J.; Ming, T. Design and Validation of a Short Novel Estradiol Aptamer and Exploration of Its Application in Sensor Technology. Molecules 2024, 29, 535. https://doi.org/10.3390/molecules29020535
Jin H, Cheng Y, Kong F, Huang H, Yang Z, Wang X, Cai X, Luo J, Ming T. Design and Validation of a Short Novel Estradiol Aptamer and Exploration of Its Application in Sensor Technology. Molecules. 2024; 29(2):535. https://doi.org/10.3390/molecules29020535
Chicago/Turabian StyleJin, Hongyan, Yan Cheng, Fanli Kong, He Huang, Zhenjun Yang, Xinyi Wang, Xinxia Cai, Jinping Luo, and Tao Ming. 2024. "Design and Validation of a Short Novel Estradiol Aptamer and Exploration of Its Application in Sensor Technology" Molecules 29, no. 2: 535. https://doi.org/10.3390/molecules29020535
APA StyleJin, H., Cheng, Y., Kong, F., Huang, H., Yang, Z., Wang, X., Cai, X., Luo, J., & Ming, T. (2024). Design and Validation of a Short Novel Estradiol Aptamer and Exploration of Its Application in Sensor Technology. Molecules, 29(2), 535. https://doi.org/10.3390/molecules29020535

