Complexes of Hydrogen Peroxide, the Simplest Chiral Molecule, with L- and D-Serine Enantiomers and Their Clusters: MP2 and DFT Calculations †
Abstract
1. Introduction
2. Results and Discussion
2.1. M-P Transition Energies of Hydrogen Peroxide in the Gas Phase and in Aqueous Solution
2.2. Clusters of Serine Molecules
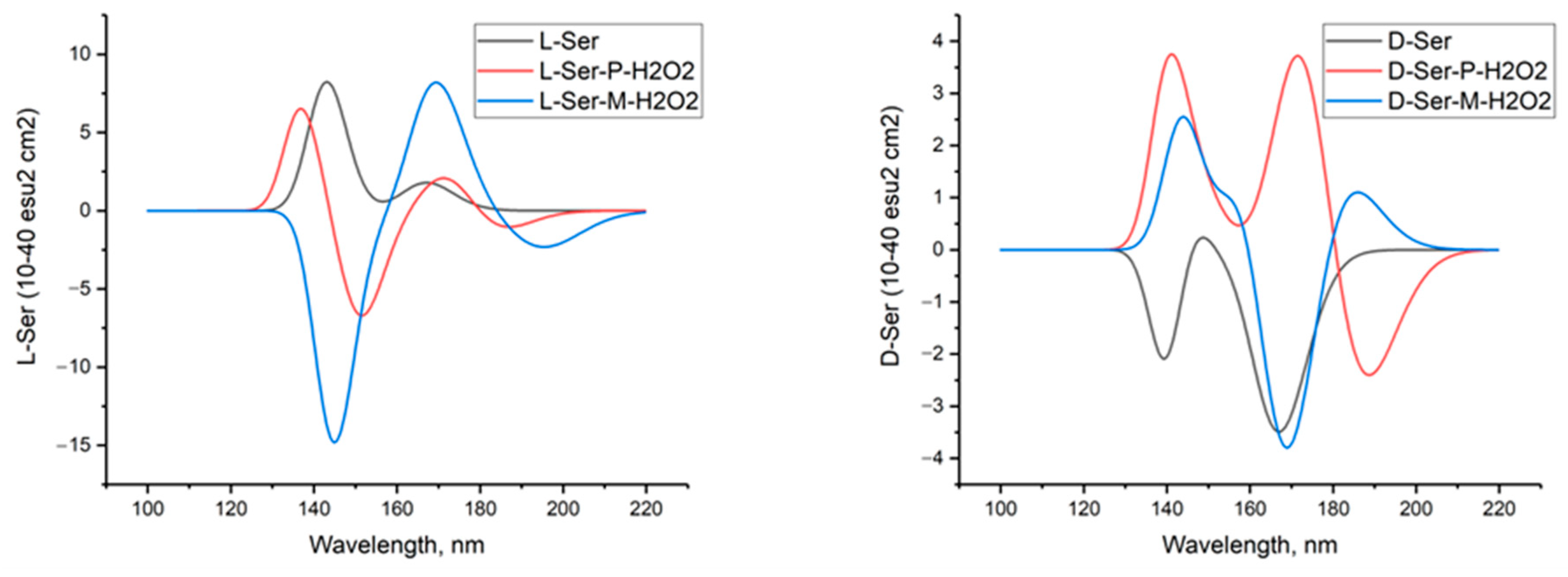
2.3. Interaction of M- and P-Hydrogen Peroxide with L- and D-Serine Enantiomers
2.4. Complexes of Two Serine Molecules and Their Complexes with Two Hydrogen Peroxide Molecules, DFT Calculation Method ωb97xd/6-311+G**
2.5. Complexes of Four Serine Molecules with a Hydrogen Peroxide Molecule in the Gas Phase
2.6. Complexes of Four Serine Molecules with a Hydrogen Peroxide Molecule in an Aqueous Solution
3. Calculation Methods
4. Conclusions
Supplementary Materials
Author Contributions
Funding
Data Availability Statement
Acknowledgments
Conflicts of Interest
References
- Giguere, P.A. The InfraRed Spectrum of Hydrogen Peroxide. J. Chem. Phys. 1950, 18, 88–92. [Google Scholar] [CrossRef]
- Bergman, P.; Parise, B.; Liseau, R.; Larsson, B.; Olofsson, H.; Menten, K.M.; Güsten, R. Detection of interstellar hydrogen peroxide. Astron. Astrophys. 2011, 531, L8. [Google Scholar] [CrossRef]
- Ball, R.; Brindley, J. The Power without the Glory: Multiple Roles of Hydrogen Peroxide in Mediating the Origin of Life. Astrobiology 2019, 19, 675–684. [Google Scholar] [CrossRef] [PubMed]
- Zhdanov, D.V.; Zadkov, V.N. Coherent Control of Chirality in Ensemble of Randomly Oriented Molecules Using a Sequence of Short Laser Pulses. Laser Phys. 2010, 20, 107–118. [Google Scholar] [CrossRef]
- Dong, X.L.; Zhou, Z.Y.; Liu, S.Z.; Gong, X.L. Theoretical study of chiral discrimination in the hydrogen bonding complexes of lactic acid and hydrogen peroxide. J. Mol. Struct. THEOCHEM 2005, 718, 9–15. [Google Scholar] [CrossRef]
- Du, D.; Zhou, Z. Chiral discrimination in hydrogen-bonded complexes of hydrogen peroxide with methyl hydroperoxide: Theoretical study. Int. J. Quantum Chem. 2006, 106, 935–942. [Google Scholar] [CrossRef]
- Yin, A.; Zhang, G.; Chen, D. Chiral discrimination in hydrogen-bonded complexes of butan-2-ol (m-form) and hydrogen peroxide. Int. J. Quantum Chem. 2009, 109, 1472–1480. [Google Scholar] [CrossRef]
- Zhang, G.; Yin, A.; Chen, D. Chiral discrimination in hydrogen-bonded complexes of 2-methylol oxirane with hydrogen peroxide. Int. J. Quantum Chem. 2009, 109, 920–930. [Google Scholar] [CrossRef]
- Brkljača, Z.; Mališ, M.; Smith, D.M.; Smith, A.-S. Calculating CD spectra of flexible peptides: An assessment of TD-DFT functionals. J. Chem. Theory Comput. 2014, 10, 3270–3279. [Google Scholar] [CrossRef]
- Alkorta, I.; Zborowski, K.; Elguero, J. Self-aggregation as a source of chiral discrimination. Chem. Phys. Lett. 2006, 427, 289–294. [Google Scholar] [CrossRef]
- Hunt, R.H.; Leacock, R.A.; Peters, W.; Hecht, K.T. Internal-Rotation in Hydrogen Peroxide: The Far-Infrared Spectrum and the Determination of the Hindering Potential. J. Chem. Phys. 1965, 42, 1931–1946. [Google Scholar]
- Kulkarni, S.A.; Bartolotti, L.J.; Pathak, R.K. Ab Initio Investigations on Neutral Hydrogen Peroxide Clusters: (H2O2)n (n = 2–4). Chem. Phys. Lett. 2003, 372, 620–626. [Google Scholar] [CrossRef]
- Cooks, R.G.; Zhang, D.; Koch, K.J.; Gozzo, F.C.; Eberlin, M.N. Chiroselective Self-Directed Octamerization of Serine: Implications for Homochirogenesis. Anal. Chem. 2001, 73, 3646–3655. [Google Scholar] [CrossRef]
- Nanita, S.C.; Cooks, R.G. Serine Octamers: Cluster Formation, Reactions, and Implications for Biomolecule Homochirality. Angew. Chem. Int. Ed. 2006, 45, 554–569. [Google Scholar] [CrossRef]
- Seo, J.; Pagel, K.; Bowers, M.T.; von Helden, G. Infrared spectrum and structure of the homochiral serine octamer–dichloride complex. Nat. Chem. 2017, 9, 1263–1268. [Google Scholar] [CrossRef] [PubMed]
- Koch, K.J.; Gozzo, F.C.; Zhang, D.; Eberlin, M.N.; Cooks, R.G. Serine octamer metaclusters: Formation, structure elucidation and implications for homochiral polymerization. Chem. Commun. 2001, 18, 1854–1855. [Google Scholar] [CrossRef]
- Burkov, V.I.; Goncharova, L.A.; Gusev, G.A.; Gaobin, Z.; Kobayashi, K.; Jianhua, K.; Moiseenko, E.V.; Polukhina, N.G.; Saito, T.; Tsarev, V.A. Experimental study of the radiation mechanism of the chiral action. Bull. Lebedev Phys. Inst. 2008, 35, 50–56. [Google Scholar] [CrossRef]
- Churakov, A.V.; Prikhodchenko, P.V.; Howard, J.A.K.; Lev, O. Glycine and L-serine crystalline perhydrates. Chem. Commun. 2009, 28, 4224–4226. [Google Scholar] [CrossRef]
- Prikhodchenko, P.V.; Medvedev, A.G.; Tripol’skaya, T.A.; Churakov, A.V.; Wolanov, Y.; Howard, J.A.K.; Lev, O. Crystal structures of natural amino acid perhydrates. Cryst. Eng. Comm. 2011, 13, 2399–2407. [Google Scholar] [CrossRef]
- Yuan, P.; Gupta, K.; Van Duyne, G.D. Tetrameric Structure of a Serine Integrase Catalytic Domain. Structure 2008, 16, 1275–1286. [Google Scholar] [CrossRef] [PubMed]
- Parr, R.G.; Yang, Y. Density-functional theory of atoms and molecules. R.G. Parr and W. Yang, Oxford University Press, New York, Oxford, 1989. IX + 333 pp. Price £45.00. Quantum Chem. 1993, 47, 101. [Google Scholar] [CrossRef]
- Grimme, S. Supramolecular binding thermodynamics by dispersion-corrected density functional theory. Chem. Eur. J. 2012, 18, 9955–9964. [Google Scholar] [CrossRef]
- Chai, J.-D.; Head-Gordon, M. Systematic optimization of long-range corrected hybrid density functionals. J. Chem. Phys. 2008, 128, 084106. [Google Scholar] [CrossRef] [PubMed]
- Frisch, M.; Trucks, G.; Schlegel, H.; Scuseria, G.; Robb, M.; Cheeseman, J.; Scalmani, G.; Barone, V.; Mennucci, B.; Petersson, G. Gaussian 09, Revision D. 01; Gaussian, Inc.: Wallingford, UK, 2013. [Google Scholar]
- Chai, J.-D.; Head-Gordon, M. Long-range corrected hybrid density functionals with damped atom-atom dispersion corrections. Phys. Chem. Chem. Phys. 2008, 44, 6615–6620. [Google Scholar] [CrossRef]
- Grimme, S. Semiempirical GGA-type density functional constructed with a long-range dispersion correction. J. Comput. Chem. 2006, 27, 1787–1799. [Google Scholar] [CrossRef]
- Becke, A.D. Density-functional thermochemistry. IV. A new dynamical correlation functional and implications for exact-exchange mixing. J. Chem. Phys. 1996, 104, 1040–1046. [Google Scholar] [CrossRef]
- Perdew, J.P. Density-functional approximation for the correlation energy of the inhomogeneous electron gas. Phys. Rev. B 1986, 33, 8822–8824. [Google Scholar] [CrossRef]
- Zhao, Y.; Truhlar, D.G. A new local density functional for main-group thermochemistry, transition metal bonding, thermochemical kinetics, and noncovalent interactions. J. Chem. Phys. 2006, 125, 194101. [Google Scholar] [CrossRef]
- Marenich, A.V.; Cramer, C.J.; Truhlar, D.G. Universal solvation model based on solute electron density and a continuum model of the solvent defined by the bulk dielectric constant and atomic surface tensions. J. Phys. Chem. B 2009, 113, 6378–6396. [Google Scholar] [CrossRef]
- ChemCraft. Available online: www.chemcraftprog.com (accessed on 15 August 2024).
- Peng, C.; Schlegel, H. Combining Synchronous Transit and Quasi-Newton Methods for Finding Transition States. Isr. J. Chem. 1993, 33, 449–454. [Google Scholar] [CrossRef]
- Hratchian, H.P.; Schlegel, H.B. Theory and Applications of Computational Chemistry: The First 40 Years; Dykstra, C.E., Frenking, G., Kim, K.S., Scuseria, G., Eds.; Elsevier: Amsterdam, The Netherlands, 2005; pp. 195–249. ISBN 9780080456249. [Google Scholar]
- Kiselev, S.S.; Snegur, L.V.; Simenel, A.A.; Davankov, V.A.; Ilyin, M.M.; Borisov, Y.A. Theoretical Study of β- and γ-Cyclodextrin Complexes with Ferrocene-Containing Azoles. Russ. J. Phys. Chem. A 2016, 12, 2415–2420. [Google Scholar] [CrossRef]
- Brkljača, Z.; Jurkić, K.Č.; Smith, A.-S.; Smith, D.M. Calculation of the CD Spectrum of a Peptide from Its Conformational Phase Space: The Case of Met-enkephalin and Its Unnatural Analogue. J. Chem. Theory Comput. 2012, 8, 1694–1705. [Google Scholar] [CrossRef] [PubMed]


















| n | E, a.u. | μ, D | HOMO, a.u. | LUMO, a.u. |
|---|---|---|---|---|
| 1 | −398.8337836 | 4.1518 | −0.34101 | 0.08516 |
| 2 | −797.6798965 | 2.4455 | −0.33131 | 0.09125 |
| 3 | −1196.5696345 | 2.9664 | −0.31891 | 0.10479 |
| 4 | −1595.427764 | 7.0445 | −0.31052 | 0.10190 |
| 6 | −2393.1876883 | 6.1978 | −0.31462 | 0.08978 |
| 8 | −3190.9895845 | 8.0066 | −0.31578 | 0.08057 |
| 10 | −3988.7061529 | 7.5975 | −0.31582 | 0.06749 |
| 12 | −4786.4338597 | 8.0780 | −0.32131 | 0.06596 |
| 14 | −5584.1619728 | 4.9998 | −0.31480 | 0.06980 |
| 16 | −6381.8954629 | 5.9206 | −0.31508 | 0.07181 |
| No | Complex | E(MP2), a.u. | HOMO, a.u. | LUMO, a.u. |
|---|---|---|---|---|
| 1 | L-Ser-M-H2O2 | −549.2293614 | −0.43598 | 0.02014 |
| 2 | D-Ser-M-H2O2 | −549.2267844 | −0.44553 | 0.02009 |
| 3 | L-Ser-P-H2O2 | −549.2320886 | −0.42693 | 0.02577 |
| 4 | D-Ser-P-H2O2 | −549.2283007 | −0.43766 | 0.02749 |
| 5 | L-Ser-M-H2O2/H2O | −549.2726099 | −0.43096 | 0.03994 |
| 6 | D-Ser-M-H2O2/H2O | −549.269142 | −0.43224 | 0.04013 |
| 7 | L-Ser-P-H2O2/H2O | −549.2729312 | −0.43227 | 0.04068 |
| 8 | D-Ser-P-H2O2/H2O | −549.2694565 | −0.43404 | 0.04029 |
| No | Complex | ΔE(MP2), kcal/mol |
|---|---|---|
| 1 | L-Ser-M-H2O2 | −10.43 |
| 2 | D-Ser-M-H2O2 | −8.81 |
| 3 | L-Ser-P-H2O2 | −12.14 |
| 4 | D-Ser-P-H2O2 | −9.76 |
| 5 | L-Ser-M-H2O2/H2O | −10.91 |
| 6 | D-Ser-M-H2O2/H2O | −8.73 |
| 7 | L-Ser-P-H2O2/H2O | −11.11 |
| 8 | D-Ser-P-H2O2/H2O | −8.93 |
| Complex | Dihedral HOOH Angles | E, a.u. | HOMO, a.u. | LUMO, a.u. | ΔE, kcal/mol |
|---|---|---|---|---|---|
| 2 L-Ser_2 H2O2(MM) | −89.686 −92.237 | −1101.187021 | −0.35710 | 0.06506 | −33.15 |
| 2 D-Ser_2 H2O2(MM) | −89.066 −97.170 | −1101.1754803 | −0.34637 | 0.06636 | −29.24 |
| 2 L-Ser | − | −798.0269538 | −0.35346 | 0.06376 | −18.14 (2H2O2 MM) |
| 2 D-Ser | − | −798.0207126 | −0.34609 | 0.06404 | −14.82 (2H2O2 MM) |
| L-Ser or D-Ser | − | −398.9870594 | −0.34896 | 0.06487 | − |
| H2O2 | −97.079 | −151.5655781 | −0.39364 | 0.08984 | − |
| Complex | Dihedral HOOH Angle | E, a.u. | HOMO, a.u. | LUMO, a.u. |
|---|---|---|---|---|
| 4 L-Ser_M-H2O2 | −88.04 | −1747.54748 | −0.33028 | 0.04021 |
| 4 L-Ser_P-H2O2 | 114.29 | −1747.54683 | −0.32850 | 0.03422 |
| 4 D-Ser_M-H2O2 | −162.15 | −1747.55344 | −0.34232 | 0.04288 |
| 4 D-Ser_P-H2O2 | 133.38 | −1747.54856 | −0.33931 | 0.04293 |
| 4 L-Ser | − | −1595.96141 | −0.32207 | 0.04472 |
| 4 D-Ser | − | −1595.97878 | −0.33906 | 0.03984 |
| H2O2 | −119.09 | −151.54948 | −0.37504 | 0.08309 |
| Complex | ΔE, kcal/mol, Gas Phase | ΔE, kcal/mol, Aqueous Solution |
|---|---|---|
| 4 L-Ser_M-H2O2 | −22.96 | −12.89 |
| 4 L-Ser_P-H2O2 | −22.55 | −15.01 |
| 4 D-Ser_M-H2O2 | −15.74 | −8.25 |
| 4 D-Ser_P-H2O2 | −12.74 | −6.51 |
| Complex | Dihedral HOOH Angle | E, a.u. | HOMO, a.u. | LUMO, a.u. |
|---|---|---|---|---|
| 4 L-Ser_M_H2O2 | −83.153 | −1747.6606928 | −0.34978 | 0.06214 |
| 4 L-Ser_P_H2O2 | 109.769 | −1747.66408063 | −0.34937 | 0.06173 |
| 4 D-Ser_M_H2O2 | −164.026 | −1747.6584351 | −0.34528 | 0.06505 |
| 4 D-Ser_P_H2O2 | 119.169 | −1747.655658 | −0.35018 | 0.06481 |
| 4 L-Ser | − | −1596.074579 | −0.34844 | 0.06130 |
| 4 D-Ser | − | −1596.079713 | −0.35189 | 0.06226 |
| H2O2 | −97.079 | −151.5655781 | −0.39364 | 0.08984 |
Disclaimer/Publisher’s Note: The statements, opinions and data contained in all publications are solely those of the individual author(s) and contributor(s) and not of MDPI and/or the editor(s). MDPI and/or the editor(s) disclaim responsibility for any injury to people or property resulting from any ideas, methods, instructions or products referred to in the content. |
© 2024 by the authors. Licensee MDPI, Basel, Switzerland. This article is an open access article distributed under the terms and conditions of the Creative Commons Attribution (CC BY) license (https://creativecommons.org/licenses/by/4.0/).
Share and Cite
Borisov, Y.A.; Kiselev, S.S.; Budnik, M.I.; Snegur, L.V. Complexes of Hydrogen Peroxide, the Simplest Chiral Molecule, with L- and D-Serine Enantiomers and Their Clusters: MP2 and DFT Calculations. Molecules 2024, 29, 3955. https://doi.org/10.3390/molecules29163955
Borisov YA, Kiselev SS, Budnik MI, Snegur LV. Complexes of Hydrogen Peroxide, the Simplest Chiral Molecule, with L- and D-Serine Enantiomers and Their Clusters: MP2 and DFT Calculations. Molecules. 2024; 29(16):3955. https://doi.org/10.3390/molecules29163955
Chicago/Turabian StyleBorisov, Yurii A., Sergey S. Kiselev, Mikhail I. Budnik, and Lubov V. Snegur. 2024. "Complexes of Hydrogen Peroxide, the Simplest Chiral Molecule, with L- and D-Serine Enantiomers and Their Clusters: MP2 and DFT Calculations" Molecules 29, no. 16: 3955. https://doi.org/10.3390/molecules29163955
APA StyleBorisov, Y. A., Kiselev, S. S., Budnik, M. I., & Snegur, L. V. (2024). Complexes of Hydrogen Peroxide, the Simplest Chiral Molecule, with L- and D-Serine Enantiomers and Their Clusters: MP2 and DFT Calculations. Molecules, 29(16), 3955. https://doi.org/10.3390/molecules29163955

