Theoretical Investigation of the Pyridinium-Inspired Catalytic Dehydration of Heptafluoro-Iso-Butyramide for the Synthesis of Environmentally Friendly Insulating Gas Heptafluoro-Iso-Butyronitrile
Abstract
1. Introduction
2. Results and Discussion
2.1. The i-C3F7C(O)NH2→C4 + H2O Reaction
2.2. The i-C3F7C(O)NH2 + 2Py → C4 + H2O + 2Py Reaction
2.3. The i-C3F7C(O)NH2 + TFAA→C4 + 2TFA Reaction
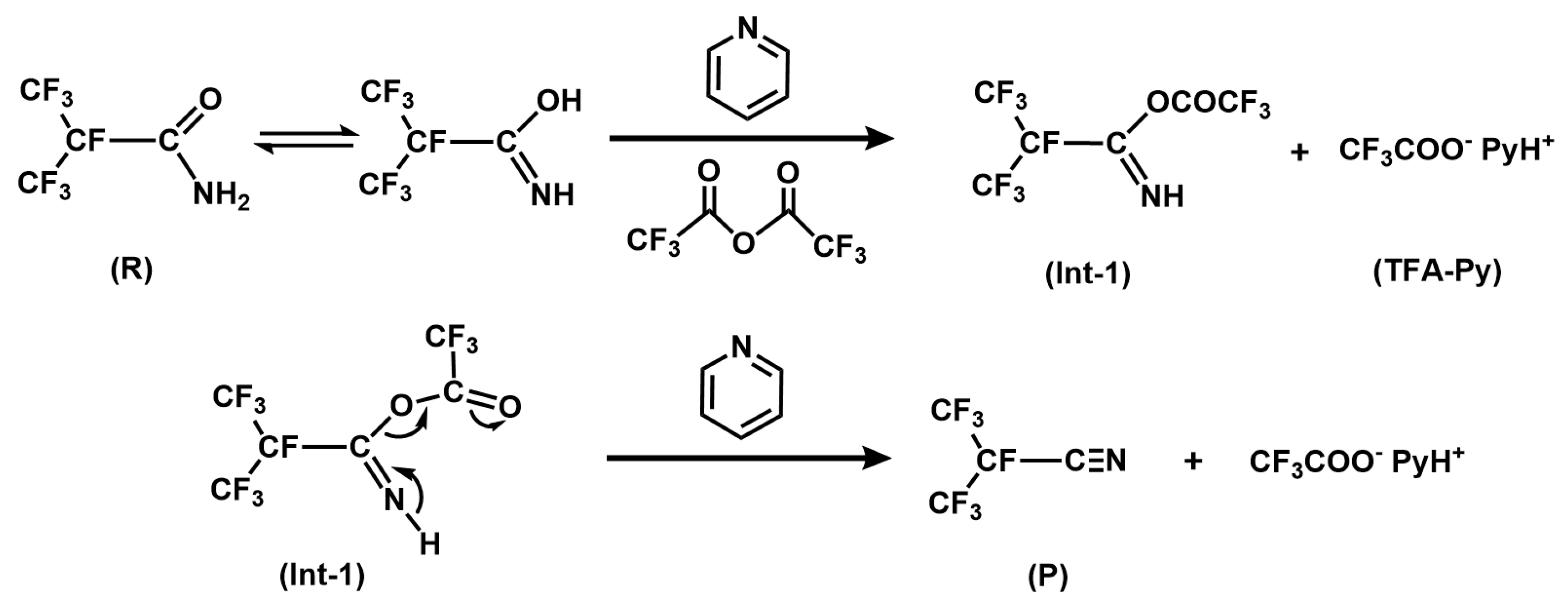
2.4. The i-C3F7C(O)NH2 + TFAA + 1Py→C4 + TFA-Py + TFA Reaction
2.4.1. The E-Pyridinium Mechanism
2.4.2. The Z-Pyridinium Mechanism
2.5. The i-C3F7C(O)NH2 + TFAA + 2Py→C4 + 2TFA-Py
3. Computational Methods
4. Conclusions
Supplementary Materials
Author Contributions
Funding
Institutional Review Board Statement
Informed Consent Statement
Data Availability Statement
Conflicts of Interest
References
- Wooton, R.E.; Kegelman, M.R. Gases Superior to SF6 for Insulation and Interruption; Final Report; Electric Power Research Institute (EPRI)EL⁃2620: Washington, DC, USA, 1982; pp. 4–37. [Google Scholar]
- Boggs, S.A. Sulphur Hexafluoride-A Complex Dielectric. IEEE Electr. Insul. Mag. 1989, 5, 16–21. [Google Scholar] [CrossRef]
- Beroual, A.; Haddad, A. Recent Advances in the Quest for a New Insulation Gas with a Low Impact on the Environment to Replace Sulfur Hexafluoride (SF6) Gas in High-Voltage Power Network Applications. Energies 2017, 10, 1216. [Google Scholar] [CrossRef]
- Rokunohe, T.; Yagihashi, Y.; Endo, F.; Oomori, T. Fundamental Insulation Characteristics of Air; N2, CO2, N2/O2, and SF6/N2 Mixed Gases. Electr. Eng. Jpn. 2006, 155, 9–17. [Google Scholar] [CrossRef]
- Katagiri, H.; Kasuya, H.; Mizoguchi, H.; Yanabu, S. Investigation of the Performance of CF3I Gas as a Possible Substitute for SF6. IEEE Trans. Dielectr. Electr. Insul. 2008, 15, 1424–1429. [Google Scholar] [CrossRef]
- Kieffel, Y.; Biquez, F.; Ponchon, P.; Irwin, T. SF6 Alternative Development for High Voltage Switchgears. In Proceedings of the 2015 IEEE Power & Energy Society General Meeting, Denver, CO, USA, 26–30 July 2015; pp. 1–6. [Google Scholar]
- Kieffel, Y.; Irwin, T.; Ponchon, P.; Owens, J. Green Gas to Replace SF6 in Electrical Grid. IEEE Power Energy Mag. 2016, 14, 32–39. [Google Scholar]
- Rabie, M.; Franck, C.M. Assessment of Eco-Friendly Gases for Electrical Insulation to Replace the Most Potent Industrial Greenhouse Gas SF6. Environ. Sci. Technol. 2018, 52, 369–380. [Google Scholar] [CrossRef]
- Bulánek, R.; Novoveská, K.; Wichterlová, B. Oxidative Dehydrogenation and Ammoxidation of Ethane and Propane over Pentasil Ring Co-Zeolites. Appl. Catal. A-Gen. 2002, 235, 181–191. [Google Scholar] [CrossRef]
- Sundermeier, M.; Zapf, A.; Beller, M. Palladium-Catalyzed Cyanation of Aryl Halides: Recent Developments and Perspectives. Eur. J. Inorg. Chem. 2003, 2003, 3513–3526. [Google Scholar] [CrossRef]
- Hodgson, H.H. The Sandmeyer reaction. Chem. Rev. 1947, 40, 251–277. [Google Scholar]
- Wang, L.; Shen, C.; Wang, H.; Zhou, W.; Sun, F.; He, M.-Y.; Chen, Q. Selective Conversion of Aldehydes into Nitriles and Primary Amides in aQueous Media. J. Chem. Res. 2012, 36, 460–462. [Google Scholar] [CrossRef]
- Campagna, F.; Carotti, A.; Casini, G. A Convenient Synthesis of Nitriles from Primary Amides under Mild Conditions. Tetrahedron. Lett. 1977, 18, 1813–1815. [Google Scholar] [CrossRef]
- Gao, Z.; Wang, M.; Wang, S.; Wang, Y.; Peng, R.; Yu, P.; Luo, Y. Novel and Efficient Synthesis of Insulating Gas- Heptafluoroisobutyronitrile from Hexafluoropropylene. R. Soc. Open Sci. 2019, 6, 181751. [Google Scholar] [CrossRef] [PubMed]
- Sureshbabu, V.V.; Naik, S.A.; Nagendra, G. Synthesis of Boc-Amino Tetrazoles Derived from α-Amino Acids. Synth. Commun. 2009, 39, 395–406. [Google Scholar] [CrossRef]
- Liu, R.Y.; Bae, M.; Buchwald, S.L. Mechanistic Insight Facilitates Discovery of a Mild and Efficient Copper-Catalyzed Dehydration of Primary Amides to Nitriles Using Hydrosilanes. J. Am. Chem. Soc. 2018, 140, 1627–1631. [Google Scholar] [CrossRef]
- Frisch, M.J.; Pople, J.A.; Binkley, J.S. Self-consistent molecular orbital methods 25. Supplementary functions for Gaussian basis sets. J. Chem. Phys. 1984, 80, 3265–3269. [Google Scholar]
- Zhao, Y.; Truhlar, D.G. The M06 Suite of Density Functionals for Main Group Thermochemistry, Thermochemical Kinetics, Noncovalent Interactions, Excited States, and Transition Elements: Two New Functionals and Systematic Testing of Four M06-Class Functionals and 12 Other Functionals. Theor. Chem. Acc. 2008, 120, 215–241. [Google Scholar] [CrossRef]
- Mardirossian, N.; Head-Gordon, M. Thirty Years of Density Functional Theory in Computational Chemistry: An Overview and Extensive Assessment of 200 Density Functionals. Mol. Phys. 2017, 115, 2315–2372. [Google Scholar] [CrossRef]
- Zhao, Y.; Truhlar, D.G. Density Functionals with Broad Applicability in Chemistry. Acc. Chem. Res. 2008, 41, 157–167. [Google Scholar] [CrossRef]
- Becke, A.D. Density-Functional Thermochemistry. III. The Role of Exact Exchange. J. Chem. Phys. 1993, 98, 5648–5652. [Google Scholar] [CrossRef]
- Grimme, S.; Antony, J.; Ehrlich, S.; Krieg, H. A Consistent and Accurate Ab Initio Parametrization of Density Functional Dispersion Correction (DFT-D) for the 94 Elements H-Pu. J. Chem. Phys. 2010, 132, 154104. [Google Scholar] [CrossRef] [PubMed]
- Chai, J.-D.; Head-Gordon, M. Long-Range Corrected Hybrid Density Functionals with Damped Atom–Atom Dispersion Corrections. Phys. Chem. Chem. Phys. 2008, 10, 6615–6620. [Google Scholar] [CrossRef] [PubMed]
- Lee, C.; Yang, W.; Parr, R.G. Development of the Colle-Salvetti Correlation-Energy Formula into a Functional of the Electron Density. Phys. Rev. B 1988, 37, 785–789. [Google Scholar] [CrossRef]
- Cossi, M.; Barone, V.; Cammi, R.; Tomasi, J. Ab Initio Study of Solvated Molecules: A New Implementation of the Polarizable Continuum Model. Chem. Phys. Lett. 1996, 255, 327–335. [Google Scholar] [CrossRef]
- Barone, V.; Cossi, M.; Tomasi, J. A New Definition of Cavities for the Computation of Solvation Free Energies by the Polarizable Continuum Model. J. Chem. Phys. 1997, 107, 3210–3221. [Google Scholar] [CrossRef]
- Barone, V.; Cossi, M.; Tomasi, J. Geometry Optimization of Molecular Structures in Solution by the Polarizable Continuum Model. J. Comput. Chem. 1998, 19, 404–417. [Google Scholar] [CrossRef]
- Montgomery, J.A.; Frisch, M.J.; Ochterski, J.W.; Petersson, G.A. A Complete Basis Set Model Chemistry. VI. Use of Density Functional Geometries and Frequencies. J. Chem. Phys. 1999, 110, 2822–2827. [Google Scholar] [CrossRef]
- Lee, T.J.; Taylor, P.R. A Diagnostic for Determining the Quality of Single-Reference Electron Correlation Methods. Int. J. Quantum Chem. 2009, 36, 199–207. [Google Scholar] [CrossRef]
- Yu, X.; Hou, H.; Wang, B. Double-Layered Composite Methods Extrapolating to Complete Basis-Set Limit for the Systems Involving More than Ten Heavy Atoms: Application to the Reaction of Heptafluoroisobutyronitrile with Hydroxyl Radical. J. Phys. Chem. A 2017, 121, 9020–9032. [Google Scholar] [CrossRef]
- Frisch, M.J.; Truchs, G.W.; Schlegel, H.B.; Scuseria, G.E.; Robb, M.A.; Cheeseman, J.R.; Scalmani, G.; Barone, V.; Petersson, G.A.; Nakatsuji, H.; et al. Gaussian 16, Revision C.01; Gaussian Inc.: Wallingford, CT, USA, 2016. [Google Scholar]















| i-C3F7C(O)NH2: TFAA: Py | First Step | Second Step | Experimental Yield [14] |
|---|---|---|---|
| 1:0:0 | 50.9 | 63.1 | 0% |
| 1:0:2 | 25.2 | 35.2 | 0% |
| 1:1:0 | 24.7 | 25.6 | 15% |
| 1:1:1 | 25.6(E)/19.1(Z) | 7.1(E)/25.6(Z) | 75% |
| 1:1:2 | 21.8 | 7.1 | 86% |
Disclaimer/Publisher’s Note: The statements, opinions and data contained in all publications are solely those of the individual author(s) and contributor(s) and not of MDPI and/or the editor(s). MDPI and/or the editor(s) disclaim responsibility for any injury to people or property resulting from any ideas, methods, instructions or products referred to in the content. |
© 2024 by the authors. Licensee MDPI, Basel, Switzerland. This article is an open access article distributed under the terms and conditions of the Creative Commons Attribution (CC BY) license (https://creativecommons.org/licenses/by/4.0/).
Share and Cite
Xiong, J.; Hou, H.; Wang, B. Theoretical Investigation of the Pyridinium-Inspired Catalytic Dehydration of Heptafluoro-Iso-Butyramide for the Synthesis of Environmentally Friendly Insulating Gas Heptafluoro-Iso-Butyronitrile. Molecules 2024, 29, 3952. https://doi.org/10.3390/molecules29163952
Xiong J, Hou H, Wang B. Theoretical Investigation of the Pyridinium-Inspired Catalytic Dehydration of Heptafluoro-Iso-Butyramide for the Synthesis of Environmentally Friendly Insulating Gas Heptafluoro-Iso-Butyronitrile. Molecules. 2024; 29(16):3952. https://doi.org/10.3390/molecules29163952
Chicago/Turabian StyleXiong, Jiageng, Hua Hou, and Baoshan Wang. 2024. "Theoretical Investigation of the Pyridinium-Inspired Catalytic Dehydration of Heptafluoro-Iso-Butyramide for the Synthesis of Environmentally Friendly Insulating Gas Heptafluoro-Iso-Butyronitrile" Molecules 29, no. 16: 3952. https://doi.org/10.3390/molecules29163952
APA StyleXiong, J., Hou, H., & Wang, B. (2024). Theoretical Investigation of the Pyridinium-Inspired Catalytic Dehydration of Heptafluoro-Iso-Butyramide for the Synthesis of Environmentally Friendly Insulating Gas Heptafluoro-Iso-Butyronitrile. Molecules, 29(16), 3952. https://doi.org/10.3390/molecules29163952
