Abstract
The Papaveraceae plant family serves as a botanical reservoir for a variety of medicinal compounds that have been traditionally utilized in Chinese medicine for numerous generations. Growing attention towards the pharmaceutical potential of Papaveraceae has resulted in the identification of many alkaloids, which have attracted significant attention from the scientific community because of their structural complexity and wide range of biological activities, such as analgesic, antihypertensive, antiarrhythmic, anti-inflammatory, antibacterial, anti-tumor, anti-cancer, and other activities, making them potential candidates for medical use. The primary objective of this review is to analyze the existing literature on the historical use of Papaveraceae plants, focusing on their alkaloid structures and relationship with pharmacological effects, as well as provide a theoretical basis for their clinical application, with the goal of unveiling the future potential of Papaveraceae plants.
1. Introduction
When thinking of the Papaveraceae family, the opium poppy often comes to mind. Rightfully so, as the opium poppy is one of the world’s oldest medicinal plants and remains the only commercial source of narcotic analgesics such as morphine, codeine, and semi-synthetic derivatives like oxycodone and naltrexone [1]. This family includes not only the subfamily Papaveroideae but also Hypecooideae and Fumarioideae. Most plants in this family are herbaceous or slender sub-shrubs, with small shrubs and trees being exceptionally rare. They typically contain milky or pigmented sap. The primary roots are usually slender and fibrous, with tuber formation being infrequent. There are over 700 species in this family, spread across approximately 38 genera. Corydalis, the largest genus within the Papaveraceae family, consists of numerous species that have been historically used as medicinal plants in East Asia. Among these, yanhusuo and xiatianwu are particularly well known and are included in the Pharmacopoeia of China [2,3]. Corydalis primarily thrives in hilly regions at altitudes ranging from 400 to 1200 m. Notably, more than half of these species are found in China, with over 360 species distributed across 18 genera. The group includes genera such as Corydalis, Chelidonium, Dactylicapnos, Dicranostigma, Eomecon, Hypecoum, Macleaya, Meconopsis, Papaver, Hylomecon, Adlumia, Argemone, Dicentra, Eschscholtzia, Fumaria, Glaucium, Roemeria, and Stylophorum. To date, only the first ten genera have been extensively studied. It is also worth noting that eomecon is a species native to China. Chinese poppy plants are primarily found in the southwestern part of the country, particularly in genera such as Corydalis and Meconopsis. This region also hosts a limited range of Papaver and Eschscholtzia species, in addition to a few species like Hylomecon, Chelidonium, Macleaya, and Hypecoum, which are widely distributed throughout China. The predominant occurrence of Papaveraceae flora in China is concentrated in the southwestern part of the country, as indicated by reference [4]. Several medicinal plants from the poppy family are listed in the Chinese Pharmacopoeia, including Chelidonii herba, Corydalis rhizoma, and Corydalis decumbentis rhizoma. Papaveraceae plants primarily comprise alkaloids, which exhibit notable pharmacological properties. Additionally, they are used conventionally for cultivating decorative flora and incorporating herbs and seasonings in culinary practices [5,6,7,8,9]. Besides alkaloids, these plants also contain flavonoids, volatile oils, furan compounds, and various non-alkaloid constituents [10]. Recently, significant progress has been made in the study of alkaloids from Papaveraceae, attributed to ongoing advancements in science and technology and the refinement of research methodologies. Most articles focus on individual plant species or genera, providing limited coverage of poppy alkaloids as a whole. The objective of this review is to provide a detailed analysis of alkaloids from Papaveraceae, focusing on structure characteristics, associated pharmacological activities, and method of detection. Using the keywords “Papaveraceae”, “alkaloid”, “biological activity of alkaloid”, and “detection”, a comprehensive review of the literature from the past two decades was conducted across multiple databases, including PubMed, Web of Science, China National Knowledge Infrastructure (CNKI), and Google Scholar. The articles were gathered and organized based on their respective topics before being integrated into the review. Some information from the last 40 years was also included.
2. Alkaloids
Alkaloids, known for their diverse biological activities such as analgesic, antihypertensive, anti-tumor, and hepatoprotective effects, are integral to our understanding of the therapeutic potential of this family. Over 540 alkaloid compounds have been identified in plants belonging to the Papaveraceae family (Table S1). These compounds are widely acknowledged as significant bioactive constituents in plant species. The category of alkaloids being examined primarily consists of isoquinoline alkaloids, characterized by their fundamental isoquinoline structure [11,12,13,14,15,16,17,18,19,20,21,22,23,24,25,26,27,28,29,30,31,32,33,34,35,36,37,38,39,40,41,42,43,44,45,46,47,48,49,50,51,52,53,54,55,56,57,58,59,60,61]. Isoquinoline alkaloids are categorized into different groups based on their unique nuclear parent structures, including benzophenanthridine (I 1~193), protoberberine (II 194~299), aporphine (III 300~361), benzylisoquinoline (IV 362~408), benphthaleoquinoline (V 409~445), simple isoquinoline (VI 446~465), protopine (VII 466~474), and morphine (VIII 475~487). Additionally, 62 other alkaloids have been isolated and identified from the Papaveraceae family (IX 488~549). Among these, benzophenanthridine alkaloids are the most prevalent, accounting for 35% of known alkaloids. By contrast, protopine alkaloids are the least common, with only nine identified from the poppy family (Figure 1).
Figure 1.
The number of various alkaloids in the papaver family. I: benzophenanthridine (including dihydrobenzo[c]phenanthridines—113, hexahydrobenzo[c]phenanthridine—40, quaternary benzophenanthridine—13, and dimeric dihydrobenzophenanthridines—27); II: protoberberine (including berberines—52 and protoberberines—54); III: aporphine (including aporphines—53, proaporphines—6, isoproaporphines—2, and aporphine dimers—1); IV: benzylisoquinoline (including 1-benzylisoquinolines—36 and spirobenzylisoquinolines—11); V: benphthaleoquinoline (including phthaloisoquinolines—29, cleavage-ring phthaloisoquinolines—7, and dimeric cleavage-ring phthaloisoquinolines—1); VI: simple isoquinoline (20); VII: protopine (9); VIII: morphine (13); and IX: others (62).
The findings of this research indicated that Corydalis exhibited the greatest abundance of alkaloids, comprising a sum of 305 compounds representing 55% of the overall alkaloid content. This finding can be explained by the high prevalence of alkaloid-rich compounds in the plant. Macleaya demonstrated the second-highest concentration of alkaloids, while Papaver exhibited the lowest level, with only 13 alkaloids being isolated and characterized (Figure 2).
Figure 2.
The known alkaloids in different genera.
2.1. Benzophenanthridine Alkaloids
Benzophenanthridine alkaloids consist of four six-membered rings (A, B, C, and D) that are parallel to each other. The A and D rings are aromatic, while the B and C rings contain both aromatic and hydrogenated aromatic sections. Typically, there are two oxygen-containing substituents on the non-azido ring, mostly methoxy or hydroxy groups. The compounds (1–193) can be classified into hexahydrobenzo[c]phenanthridine (I-i), quaternary benzophenanthridine alkaloids (I-ii), and dihydrobenzo[c]phenanthridines (I-iii) based on the level of hydrogenation in the B and C rings. Dihydrobenzo[c]phenanthridines can also polymerize to form dimeric dihydrobenzophenanthridines (I-iv). In types I-i and I-iii, the N atom is usually demethylated. Ultimately, the quaternary benzophenanthridine alkaloids result from the N protonation of types I-i or I-iii, leading to the corresponding ammonium quaternary salts [62]. The parent nucleus and representative compounds of benzophenanthridine alkaloids are shown in Figure 3.
Figure 3.
Benzophenanthridine alkaloids’ parent nucleus and representative compounds. I parent nucleus of benzophenanthridine alkaloids; chelidonine and corynoline are type of I-i; sanguinarine and chelerythrineand are type of I-ii; dihydrosanguinarine and demethylchelerythrine are type of I-iii; and chelidimerine and sanguidimerine are type of I-iv.
These compounds are predominantly found in Macleaya, Eomecon, Corydalis, and Chelidonium. Eomecon yielded a total of 75 compounds, out of which 73 were identified as benzophenanthridine alkaloids. Interestingly, only one alkaloid of this class has been found in Hypecoum, which is bungeanine.
2.2. Protoberberine Alkaloids
Protoberberine alkaloids consist of two isoquinoline rings, as based on the dibenzo[a,g]quinolizidine system. These tetracyclic alkaloids are derived from benzylisoquinolines through phenolic oxidation and coupling with the isoquinoline n-methyl group, which becomes the “berberine bridge” carbon [63]. The C-1, C-2, C-3, C-9, C-10, and C-11 of these compounds are often linked with hydroxyl, methoxy, nitro, or other substituents. Usually, C-1 and C-2, C-2 and C-3, C-9 and C-10, or C-10 and C-11 form a five-membered oxygen ring through a methylenedioxy group. C-13 and C-14 have two configurations of α and β [64]. The compounds (194~299) can be classified into two types based on the degree of D-ring oxidation in its structure: berberines (II-i) and protoberberines (II-ii). Berberine is mostly composed of quaternary ammonium bases, found in plants such as Chelidonium majus L. and Corydalis edulis Maxim. Protoberberines, mostly composed of tertiary amine bases, such as the d,l-tetrahydropalmatine found in Dongbei yanhusuo. Protoberberine alkaloids parent nucleus and the representative compounds are shown in Figure 4.
Figure 4.
Protoberberine alkaloids’ parent nucleus and the representative compounds. II parent nucleus of protoberberine alkaloids; berberine, coptisine, columbamine, berberrubine, dihydrocoptisine, rupestrines B, and rupestrines C are type of II-i; and corydaline, d,l-tetrahydropalmatine, yuanhunine, 8-oxocoptisine, 1-nitroapocavidine, 4-nitroisoapocavidine are type of II-ii.
These kinds of alkaloids are primarily present in Corydalis, Macleaya, and Dactylicapnos. Only one of these alkaloids was found in both Hypecoum and Dicranostigma, such as coptisine and isocorypalmine, but not in eomecon and papaver.
2.3. Aporphine Alkaloids
Aporphine alkaloids, characterized by a heterocyclic aromatic basic skeleton, are known to originate from various organisms [65]. The C ring of aporphine alkaloids shares three carbon atoms with the isoquinoline structure. The aromatic ring substituents (primarily H, OH, OCH3, -CH2O-), nitrogen substituents (H, OH, CH3, COCH3, etc.), and variations in R and S configurations result in a rich diversity of structural types within this class of compounds. These alkaloids, ranging from 194 to 361, can be classified into aporphines (III-i), proaporphines (III-ii), isoproaporphines (III-iii), and aporphine dimers (III-iv). Proaporphines are typically considered precursors to aporphines. Isoproaporphines, which contain two ketone groups, are rare, with only two compounds—namely isocorydione and demethylsonodione—having been isolated and identified. Currently, only dactylidine, an aporphine dimer, has been isolated from dactylicapnos. The parent nucleus of aporphine alkaloids and their representative compounds are depicted in Figure 5.
Figure 5.
Aporphine alkaloids’ parent nucleus and the representative compounds. III parent nucleus of aporphine alkaloids; corydine, isocorydine, glaucine, magnoflorine, menisperine, corunine are type of III-i; (-)-pronuciferine, mecambrine, glaziovine are type of III-ii; isocorydione and demethylsonodione are type of III-iii; and dactylidine are type of III-iv.
Aporphine alkaloids are widely found in the genera Corydalis, Meconopsis, and Dactylicapnos. By contrast, only four compounds of this class have been identified in Chelidonii Herba. However, they have not been found in the genera Hylomecon, Eomecon, and Papaver.
2.4. Benzylisoquinoline Alkaloids
The benzylisoquinoline structure serves as the foundational framework for numerous alkaloids exhibiting diverse structural characteristics. It is a heterocyclic aromatic organic compound and a structural isomer of quinoline [66]. This group of alkaloids (362–408) is characterized by an isoquinoline skeleton and can be divided into 1-benzylisoquinolines (IV-i) and spirobenzylisoquinolines (IV-ii). 1-Benzylisoquinolines are derivatives of isoquinoline with a benzyl group attached to the 1-position of the parent nucleus. An example of this type of compound is papaverine. On the other hand, spirobenzylisoquinolines are derivatives of isoquinoline where the B and C rings form a spirocycle. An example of this type of compound is fumaricine. The parent nucleus of benzylisoquinoline alkaloids and representative compounds are shown in Figure 6.
Figure 6.
Benzylisoquinoline alkaloids’ parent nucleus and the representative compounds. IV parent nucleus of benzylisoquinoline alkaloids; papaverine, codamine, armepavine, dl-coclaurine, 7-isoquinoline, hendersine B are type of IV-i; and fumaricine, (13S,14S)-tomentelline E, hendersine D, hendersine E are type of IV-ii.
The Papaveraceae family of plants has yielded a total of 47 benzylisoquinoline alkaloids. These alkaloids are more commonly found in Corydalis, with seven identified in Hypecoum and two in Macleaya. Papaver and Dactylicapnos each contain one, specifically papaverine and (R)-magnocurarine. Other genera do not contain any benzylisoquinoline alkaloids.
2.5. Benphthaleoquinoline Alkaloids
This class of alkaloids comprises isoquinoline and phthalide fragments connected at the C-1 position. The B ring of isoquinoline may exist in a ring-opened form, often featuring a dimethylaminoethyl side chain [64]. These alkaloids (409–445) are categorized into three groups based on the structure of the B-ring: phthaloisoquinolines (V-i), cleavage-ring phthaloisoquinolines (V-ii), and dimeric cleavage-ring phthaloisoquinolines (V-iii). The V-i type B rings primarily consist of six-membered rings, though a few five-membered rings, such as torulosinine, also exist. The V-ii type B rings, found in ring-opened compounds like leonticine, exhibit distinct structures. Type V-iii involves the dimerization of two benzelisoquinolines, with only one known example in the Papaveraceae family, namely dactylicapnosine. The parent nucleus of benphthaleoquinoline alkaloids and representative compounds are depicted in Figure 7.
Figure 7.
Benphthaleoquinoline alkaloids’ parent nucleus and the representative compounds. V parent nucleus of benphthaleoquinoline alkaloids; corlumidine, mucroniferanine B, mucroniferanine C, torulosine, N-methyldemethyltorulosine are type of V-i; bicucullinine, leonticine, N-methylhydrasteine are type of V-ii, dactylicapnosine is type of V-iii.
A total of 37 phthaloisoquinolines have been isolated from plants of the Papaveraceae family. Corydalis, Dactylicapnos, and Papaver are the sole genera where these alkaloids have been identified, with Corydalis being the most prevalent. Dactylicapnos has isolated and identified two compounds of this class, namely torulosine and N-methyldemethyltorulosine.
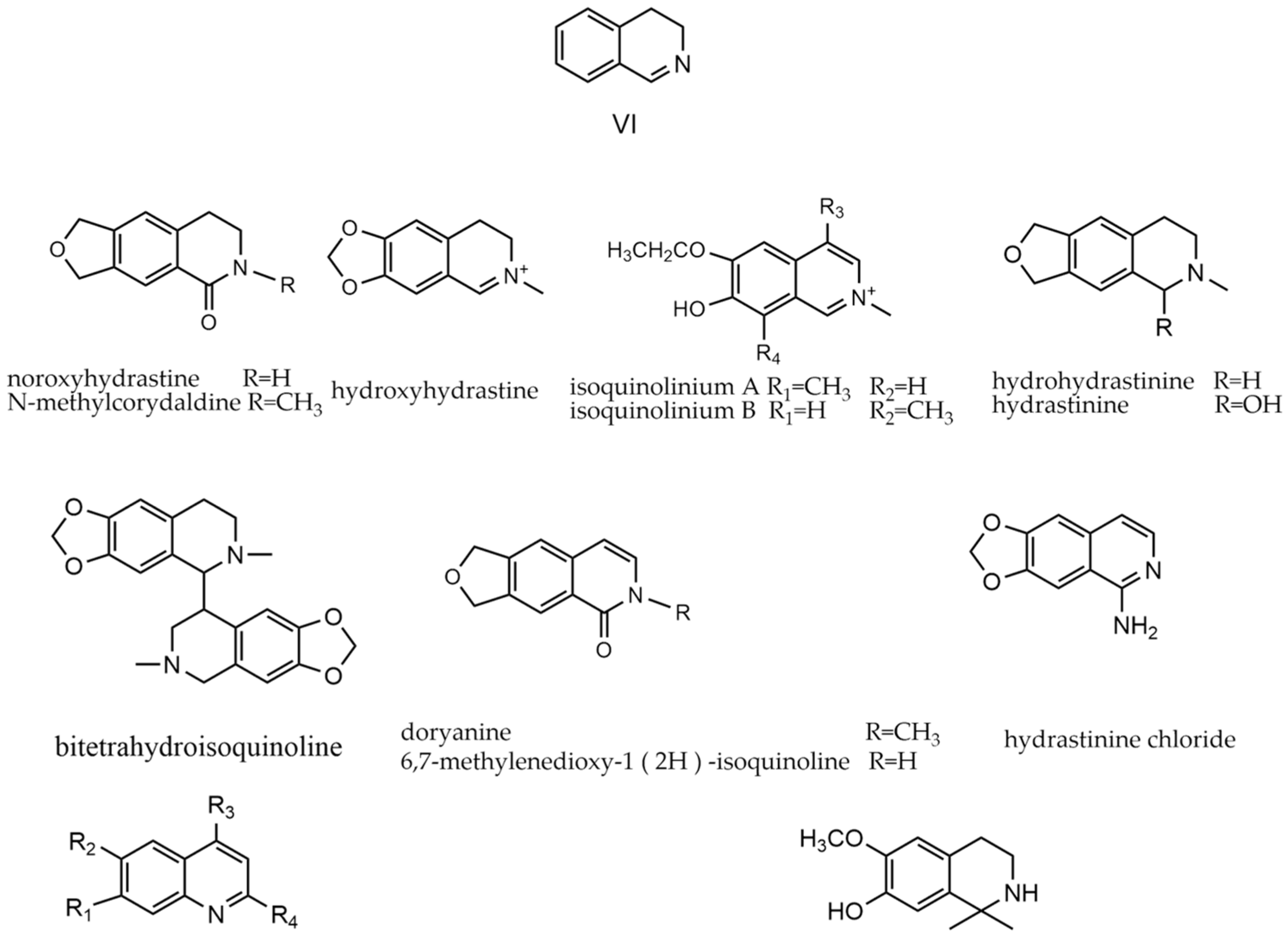
2.6. Simple-Isoquinoline Alkaloids
Simple isoquinoline is a natural substrate for the biosynthesis of protoberberine-type and aporphine-type alkaloids. The substituents resemble those found in protoberberine types [67]. This class of alkaloids (446–465) consists solely of the isoquinoline skeleton as the parent nucleus. Such alkaloids can also form quaternary ammonium bases, such as hydroxyhydrastine. The parent nucleus of simple-isoquinoline alkaloids and representative compounds are depicted in Figure 8.
Figure 8.
Simple-isoquinoline alkaloids’ parent nucleus and the representative compounds. VI parent nucleus of simple-isoquinoline alkaloids.
There are relatively few alkaloids in this class, with only 20 having been isolated and identified. These are mainly found in the genera Corydalis, with two in hypecoum and one in Chelidonium and Dactylicapnos. No alkaloids belonging to this class have been discovered in any other genus.
2.7. Protopine Alkaloids
Protopine alkaloids constitute a class of natural isoquinoline compounds characterized by a basic three-ring structure, namely two benzene rings (A and C rings) and a nitrogen heterocyclic ring with ten elements (B ring) [68]. Most structures within this class feature oxygen groups (-OCH3, -OCH2O) located at positions C2–C3 of ring A and C9–C10 of ring C; in rarer cases, such as pseudoprotopine, the oxygen group is situated at position C10–C11 of the C ring. The structures of protopine alkaloids (466–474) typically include tertiary and quaternary amine functionalities, the specific forms of which are influenced by the pH of the environment. Studies have identified protopinium, protopine N-oxide, and hunnemanine as metabolites of protopine alkaloids [69,70,71,72,73]. Figure 9 illustrates the parent nucleus of protopine alkaloids and representative compounds.
Figure 9.
Protopine alkaloids’ parent nucleus and the compounds. VII parent nucleus of protopine alkaloids.
Nine compounds from this class have been isolated from the poppy family. Despite their limited number, alkaloids of this class are found across various genera.
2.8. Morphine Alkaloids
Morphine alkaloids, which are derivatives of benzylisoquinoline that are partially saturated phenanthrene derivatives. Naturally occurring morphinanes are complex, molecules with intricate stereostructures, consisting of five rings. They include a five-membered dihydrofuran ring, a nitrogen-containing bridging ring, and five consecutive chiral centers, one of which is a quaternary carbon center at the benzyl position [74]. Morphine and codeine were commonly used as initial substrates for producing pharmacologically beneficial compounds on an industrial scale until thebaine became more readily accessible [75]. The parent nucleus of morphine alkaloids and their compounds are shown in Figure 10.
Figure 10.
Morphine alkaloids’ parent nucleus and the compounds. VIII parent nucleus of morphine alkaloids.
Thirteen morphinan alkaloids (475–487) have been identified and isolated from the poppy family. These alkaloids are primarily found in Papaver and Dactylicapnos, with small amounts also present in Corydalis.
2.9. Other Alkaloids
In addition to the previously mentioned isoquinoline alkaloids, the poppy family also contains other types such as isoquinoline alkaloids (488–498) and lichondine alkaloids (499–504), characterized by a benzene ring and a heptane ring structure. Furthermore, there are organic amines (505–528) that lack nitrogen atoms in the ring, along with additional alkaloids (529–549), as illustrated in Figure 11.
Figure 11.
Other alkaloids and their representative compounds.
These alkaloids are predominantly found in Corydalis, Meconopsis, Chelidonium, Macleaya, Papaver, and Dactylicapnos, with a small number also occurring in Hypecoum and Hylomecon. Examples include zarzissine [35] and leptocarpinine B [34]. No other classes of alkaloids were identified in Dicranostigma.
3. Pharmacological Actions and Clinical Applications
The poppy plant has been found to exert pharmacological effects on both the nervous and cardiovascular systems. It has demonstrated effectiveness in treating coughs and asthma, in addition to possessing antibacterial and antidiarrheal properties. Recent research has further unveiled its anti-inflammatory, antioxidant, anti-fibrotic, and anti-tumor properties, suggesting potential utility in treating diabetes mellitus. Figure 12 illustrates some alkaloids and pharmacological effects of Papaveraceae.
Figure 12.
The pharmacological effects of Papaveraceae.
The pharmacological effects of alkaloids derived from Papaveraceae exhibit variability based on the specific extraction technique employed. Yanhusuo, a traditional medicine from the Papaveraceae, is typically processed using vinegar. The production of vinegar has been found to lead to higher levels of protopine (466) and tetrahydrocoptisine (198). At the same time, its analgesic effect was enhanced, while the levels of berberine (196), palmatine (207) and dehydrocorydaline (266) are notably reduced following vinegar processing [76]. Research findings suggest that the total alkaloid of Corydalis rhizoma can be extracted using a process involving 70% ethanol refluxing, followed by acidification with 20% HCl and alkalization with 5 M NaOH. These total alkaloids have been shown to inhibit thrombin-induced platelet aggregation [77]. In addition, the extraction of Chelidonium majus using 80% methanol has been found to result in the highest total alkaloid content and exhibit significant antibacterial properties. Furthermore, the extraction of benzophenanthridine alkaloids from Macleaya cordata (Willd) R. with potential anti-cancer properties was successfully achieved through ultrahigh pressure extraction and pH-zone-refining counter-current chromatography [78,79].
3.1. Effects on the Nervous System
The effect of Papaveraceae alkaloids on the nervous system primarily manifests through their analgesic properties. As technology progresses, an increasing number of alkaloid medications possessing analgesic properties are being identified. Studies have shown that the alkaloids found in the Papaveraceae, including morphine alkaloids protoberberine alkaloids, benzophenanthridine alkaloids, and aporphine alkaloids et al. possess analgesic properties.
Morphine (475) is a potent opioid analgesic, is renowned for its efficacy in pain relief, and is commonly employed for the management of cancer-related pain since the 1950s [80]. Tetrahydropalmatine (DL-THP) (219), as a traditional analgesic agent, has been used for the treatment of neuropathic and inflammatory mild-to-moderate pain in China. It exhibits both central dopamine (DA) presynaptic and postsynaptic receptor-blocking effects and has been suggested as a potential alternative to opioid analgesics [80,81,82,83]. Dehydrocorydaline (DHC) (266) demonstrated efficacy in alleviating pain induced by complete Freund’s adjuvants (CFAs), acetic acid, and formalin in mice. In these investigations, naloxone was observed to diminish the antinociceptive effects of DHC, suggesting the involvement of the opioid system in the analgesic mechanism of action of DHC [80,84]. However, its analogous compound, dehydrocorybulbine (DHCB) (216), demonstrated efficacy in inhibiting reactions to chemically induced, inflammation-derived, and injury-induced pain, and it exhibited antagonistic effects on D2 receptors [85]. Berberine (196), a compound present in diverse plants, demonstrates notable analgesic characteristics. Research indicates that its analgesic effects involve actions such as antagonizing mu opioid receptors (MORs) and delta opioid receptors (DORs), alleviating neuropathic pain through the modulation of TRPV1 expression and exhibiting anti-cholinesterase activity [86,87,88]. Additionally, berberine’s impact on the endogenous opioid system is attributed to its capacity to readily penetrate the blood–brain barrier [89]. Moreover, some alkaloids’ analgesic mechanisms have not been fully determined; for instance, palmatine (207) and magnoflorin (300) have the potential to induce analgesia by modulating anti-inflammatory pathways [90,91]. Columbamine (204) has the potential to induce analgesia by inhibiting the enzyme monoamine oxidase B [92].
Additionally, there are documented reports of the analgesic effects of the total alkaloids found in the Papaveraceae family. It has been found that the total alkaloids of Yanhuanglian may have a positive impact on alleviating cisplatin-induced peripheral neuropathic pain. On one hand, this effect is related to the inhibition of neuronal damage and the loss of nerve fibers in the epidermis caused by the inflammatory response. On the other hand, it is associated with the inhibition of p38 phosphorylation induced by inflammatory factors and the activation of its downstream TRPV1 receptor [93]. Furthermore, the total alkaloid extract of the congener Corydalis impatiens was found to have an obvious analgesic effect on pain induced by acetic acid-induced writhing reaction in mice [94]. A published paper has demonstrated that the analgesic effect of Chelidonii herba after vinegar processing is better than that of raw Chelidonii herba products for both peripheral pain (acetic acid-induced pain) and central pain (hot plate-induced pain) models in mice. Additionally, the analgesic effect shows a positive correlation with dosage [95]. Moreover, the n-butanol extract of Hypecoum erectum L. exhibits a certain analgesic effect [96]. Intramuscular injection of Corydalis decumbentis rhizoma can effectively reduce pain in patients undergoing adjuvant treatment for postherpetic neuralgia (PHN), without increasing the burden on liver and kidney functions or causing adverse reactions. The mechanism may be related to the promotion of β-endorphin release and inhibition of plasma substance P release [97]. Meconopsis quintuplinervia Reg. contains both total flavonoids and total alkaloids, which have shown significant analgesic effects. It has been observed that the analgesic inhibitory effect of total alkaloids is superior to that of total flavonoids [98]. Furthermore, research has demonstrated that alkaloids found in Corydalis yanhusuo possess properties that have anti-addiction, anxiolytic, anti-depressant, anti-Alzheimer’s disease, and anti-epileptic effects. These effects are primarily achieved through the regulation of neurotransmitters, the hypothalamic–pituitary–adrenal (HPA) axis, nitric oxide (NO) production, inflammation, and various signaling pathways, among other mechanisms [99].
3.2. The Importance of the Cardiovascular System
The alkaloids of Papaveraceae have been found to exert a positive impact on the cardiovascular system, offering potential benefits such as antihypertensive, antiarrhythmic, cardiomyocyte protective, anti-cerebral ischemia–reperfusion injury, and anti-platelet aggregation properties.
Most research in this field has focused on protoberberine alkaloids and total alkaloids, with some studies also addressing protopine alkaloids and benzophenanthridine alkaloids. Notably, all protoberberine alkaloids demonstrate anti-inflammatory properties. One study showed that DL-THP (219) helped protect the heart muscle from damage caused by ischemia/reperfusion and decreased cell death and inflammation by activating the PI3K/Akt pathway [100]. Palmatine (207) has been documented to mitigate myocardial ischemia/reperfusion injury by inhibiting oxidative stress and the inflammatory response [101]. DHC (266) was observed to alleviate myocardial ischemia/reperfusion damage by suppressing apoptosis, inflammation, and oxidative stress through the inhibition of the TNF receptor-associated factor 6 (TRAF6)/NF-κB signaling pathway [102]. Moreover, dehydrocorydaline (266) has demonstrated effectiveness in regulating the progression of atherosclerosis in ApoE-deficient mice, resulting in improved aortic compliance, enhanced plaque stability, and reduced systemic and vascular inflammatory responses [103]. Berberine (196) was found to activate the Silent Information Regulator-1 (SIRT1) signaling pathway following myocardial ischemia/reperfusion, as well as the Janus kinase 2/signal transducer and activator of transcription (JAK2/STAT3) signaling pathway, leading to reduced apoptosis and oxidative stress. Additionally, Berberine increased the level of miR-26b-5p to inhibit the COX-2/MAPK pathway, thereby restoring cardiomyocyte viability [104,105,106]. DHC (266) and tetrahydroberberine (THB) (205) demonstrate anti-platelet aggregation properties. DHC is believed to influence ADP receptors P2Y1 and P2Y12, while THB is thought to interact with the THR receptor protease-activated receptor-1 (PAR1) to modulate the downstream Gi/PI3K pathway [107]. It is noteworthy that protopine alkaloids have demonstrated significant efficacy in anti-cerebral ischemia/reperfusion injury and cardiac arrhythmia. Protopine (466) is able to produce effective protection for injury caused by focal cerebral ischemia in rats, possibly through the multiple effects of calcium antagonism, antioxidation, and depression of cell apoptosis. It has also been found that intravenous administration of protopine (466) at concentrations of 1 mg/L and 2 mg/L can induce the vasodilation of vascular smooth muscle and reduce peripheral resistance, potentially leading to antihypertensive effects [108,109]. Allocryptopine (467) has been found to offer substantial protection against experimental arrhythmias induced by various factors such as increased doses of premature ventricular contractions, ventricular tachycardia, ventricular fibrillation, and arrest induced by chloroform, CaCl2-ACh mixture, and epinephrine; the process may involve diminishing the self-regulation of the rats’ isolated atrium and papillary muscles [110]. Chelerythrine (3) has been shown to help reduce myocardial injury caused by renal ischemia/reperfusion by regulating the protein kinase C/NF-κB pathway to activate CSE/H2S [111].
Numerous studies have been conducted to investigate the impact of total alkaloids on the cardiovascular system. Total alkaloids of Corydalis rhizoma specifically demonstrates various pharmacological effects on the cardiovascular system, including improvement in hemorheology, anti-atherosclerosis, anti-myocardial ischemia and reperfusion injury, anti-ventricular remodeling, anti-arrhythmia, anti-hypertension, and anti-thrombosis, among others [112]. Studies have observed that Corydalis rhizoma extract has the potential to increase plasma viscosity in rats with blood stasis [103]. Corydalis decumbentis rhizoma injection has been found to protect against cerebral ischemic injury by reducing acetylcholinesterase activity in brain tissue, potentially through neuronal protection and anti-neuronal apoptosis, without affecting ICAM-1 mRNA levels [113,114]. Research indicates that Corydalis decumbentis rhizoma tablets possess a superior anti-arrhythmic effect. Furthermore, they have been observed to improve neurological function and blood rheological indexes in patients with blood stasis during the acute stage of cerebral infarction [115,116]. Additionally, the total alkaloids from Corydalis decumbentis rhizoma have been found to effectively inhibit platelet aggregation induced by shear force [117]. The total alkaloids present in Corydalis adunca maxim have shown potential effects in reducing blood pressure and inhibiting the vasoconstrictive effects induced by norepinephrine. Furthermore, intravenous injection of Corydalis general alkaloids has been demonstrated to significantly decrease arterial blood pressure while potentially stimulating heart function and improving cardiac contractile function [118,119]. The study indicates that the 85% ethanol extract of Corydalis hendersonii exhibits potential anti-inflammatory and anti-platelet effects. These findings underscore the extract’s potential as a therapeutic agent for inflammatory and cardiovascular diseases. The extract significantly reduces the expression of TNF-α, IL-6, and IL-1β inflammatory factors in mouse plasma, as well as the production of MMP-2 and MMP-9 proteins in post-ischemic myocardium. Moreover, the extract significantly inhibits platelet aggregation induced by thrombin, adenosine-5-diphosphate, and arachidonic acid, comparable to aspirin. These results suggest that the extract of Corydalis hendersonii holds promise as a therapeutic option for treating inflammatory and cardiovascular diseases [120].
3.3. Anti-Inflammatory and Antibacterial Effects
The diverse structural makeup of alkaloid compounds in Papaveraceae plants significantly contributes to their notable anti-inflammatory and antibacterial properties. Among these compounds, benzophenanthridine alkaloids, protoberberine alkaloids, and aporphine alkaloids are particularly noteworthy. Sanguinarine (2) is a prominent compound within the class of benzophenanthridine alkaloids. The studies have shown that sanguinarine (2) could attenuate early stages of inflammation as well as reduce the expression of NF-κB and the subsequent production of pro-inflammatory cytokines to combat acetic acid-induced ulcerative colitis [121]. Another alkaloid chelerythrine (3) has been observed to inhibit the production of inflammatory factors such as TNF-α, IL-6, and IL-1β, which may provide protection acute lung injury and gastric ulcers. The mechanism might contribute to adjusting the inflammatory cytokine by regulating the NF-κB signaling pathway [122,123]. It has been found that dihydrochelerythrine (10), present in Corydalis saxicola Bunting, has a potent inhibitory effect on the hepatitis B virus [124]. Studies have demonstrated that berberine has the ability to exhibit anti-inflammatory properties by modulating a range of cellular physiological processes, such as cell cycle regulation, apoptosis, inflammatory pathways, and leukocyte migration [125]. Palmatine (207) demonstrated protective effects against inflammation and oxidative stress induced by monosodium uric acid through the modulation of the NF-κB/NLRP3 and Nrf2 pathways, as reported in a study [126]. Chelidonine (1), sanguinarine (2), and chelerythrine (3) possessed inhibiting effects against E. coli. Moreover, the presence of the medioxy group in the A ring of chelerythrine can improve antibacterial activity [127,128]. However, berberine (196) enhances the ability of antibiotics to kill bacteria through various mechanisms, such as reducing the expulsion of antibiotics from bacterial cells, preventing the formation of biofilms, and influencing the immune response and composition of gut bacteria in the host [129].
It is widely acknowledged that several genera in the poppy family possess anti-inflammatory and antibacterial properties. According to the findings of reference [130], Corydalis baxicola bunting has demonstrated significant inhibition of xylene-induced auricular swelling, acetic acid-induced increase in capillary permeability, and the formation of cotton ball granulomas in mice. Dai [131] reported that the total alkaloids found in Corydalis saxicola bunting have been suggested to exhibit therapeutic effects for acute hepatitis. The study indicated that Yanhuanglian suppositories have shown potential effectiveness in treating chronic pelvic inflammatory disease in rats. Furthermore, the total alkaloids in it have been shown to effectively inhibit HBsAg and HBeAg levels in HepG2.2.15 cells [124,132,133]. The high purity of the Chelidonii herba extract has been shown to inhibit several common bacteria, such as Escherichia coli, Streptococcus, Pasteurella goldenseal, Staphylococcus aureus, and Salmonella [123,134,135,136,137]. The study suggests that the alkaloids of ethanolic extract from Herb of thinfruit hypecoum have the potential to reduce lipopolysaccharide-induced inflammatory responses in mice by decreasing peripheral leukocyte exudation and reducing the expression of TNF-α and IL-6 in serum, effects comparable to those observed with cefaclor [138]. Furthermore, it has been discovered that total alkaloids found in Corydalis bungeanae herba may have anti-inflammatory properties by inhibiting the TLRs/NF-κB signaling pathway and reducing the secretion of inflammatory factors [139].
3.4. Anti-Tumor and Anti-Cancer Effects
In recent years, extensive research has focused on the potential anti-tumor and anti-cancer effects of plants from the opium poppy family. The primary anti-tumor effects are attributed to benzophenanthridine alkaloids and protoberberine alkaloids in Papaveraceae. Certain aporphine alkaloids and protopine alkaloids exhibit anti-cancer properties as well. Among them, benzophenanthridine alkaloids such as chelidonine (1), sanguinarine (2), and chelerythrine (3) may cause apoptosis by activating caspases, as well as cell induction of cycle arrest in cancer cells. Furthermore, chelerythrine (3) could induce autophagy in cancer cells. Benzophenanthridine alkaloids’ anti-cancer molecular mechanisms may be related to double-helical regions for binding and microtubule for binding [140,141,142,143,144,145,146]. Berberine (196), a representative compound of proberberine alkaloids, mediates apoptosis through mitogen-activated protein kinase. Moreover, berberine induces a halt in the G1 phase of the cell cycle by promoting the expression of (NSAID) activated gene-1 (NAG1) and activating transcription factor 3 (ATF3) in HCT116 cells. Berberine also enhances autophagy in glioblastoma by modulating the AMPK/mTOR/unc-51-like autophagy-activating kinase 1 (ULK1) pathway and inhibits the proliferation of human gastric cancer cells by deactivating the MAPK/mTOR/p70S6K/Akt signaling cascade both in vivo and in vitro. The molecular mechanisms underlying the anti-cancer properties of proberberine alkaloids involve the inhibition of enzyme activity and epigenetic modulation. The molecular mechanisms underlying the anti-cancer properties of proberberine alkaloids involve the inhibition of enzyme activity and epigenetic modulation. Berberine has been shown to downregulate nucleophosmin/B23, inhibit telomerase activity, and induce apoptosis in HL-60 cells. The observed reduction in cell proliferation in HepG2 cells following treatment with berberine was linked to the suppression of DNA methylation in the promoter regions of the cytochrome P450 2B6 (CYP2B6) and CYP3A4 genes [147,148,149,150,151]. Corydine from the Papaveraceae family inhibits CYP3A4, indicating a high-affinity interaction with this enzyme and demonstrating an anti-cancer effect [152]. Additionally, there have been reports indicating the potential anti-cancer properties of total alkaloids. One study revealed that the total alkaloids of Corydalis saxicola bunting inhibit the proliferation of human lung adenocarcinoma A549 cells and human tongue squamous carcinoma Tca8113 cells. This inhibition showed a positive correlation with both time and concentration. Additionally, aqueous extracts of Corydalis saxicola bunting suppressed the proliferation and migratory ability of HepG2 cells, primary hepatocellular carcinoma cells. As well, these alkaloid extracts up-regulated the expression of NF-κB p65 protein and mRNA [153]. Furthermore, Meconopsis horridula has been observed to inhibit cell proliferation and promote apoptosis in mouse lymphoblastic leukemia cell lines in a dose- and time-dependent manner [120]. These findings suggest that Meconopsis horridula holds potential therapeutic applications in cancer treatment. Additionally, Hylomecon japonica (Thunb.) prantl et kundig, and Dicranostigma leptopodum (Maxim.) Fedde have demonstrated anti-tumor effects by inhibiting the spread and metastasis of various tumors [39,51].
3.5. Protection of the Liver
Several total alkaloids or individual alkaloid components found in the Papaveraceae exhibit potent hepatoprotective properties. At present, protoberberine and protopine alkaloids have been extensively studied, with additional research also focusing on benzophenanthridine and benzylisoquinoline alkaloids. Berberine (196) has been shown to increase antioxidant levels in the liver through the activation of Nrf2/AREs, thus helping to regulate oxidative stress within the organ. Additionally, it can decrease inflammatory markers in the liver by blocking the MyD88/NF-κB pathway. Berberine also has the ability to suppress SREBP-1C expression, leading to a reduction in fat synthesis and the accumulation of lipid droplets in the liver, ultimately providing a protective effect against nonalcoholic fatty liver disease [154]. Dehydrocavidine (234), another proberberine alkaloid, has been shown to provide protection against CCl4-induced hepatic fibrosis in rats by decreasing oxidative stress, enhancing collagenolysis, and modulating genes associated with fibrosis [155]. Protopine (466) and allocryptopine (467) were found to have a significant impact on the mRNA levels of cytochrome oxidase P4501A in human hepatocytes and Hep G2 cells. However, there was no corresponding increase in P450 1A protein amount or viability levels [156]. Protopine (466) demonstrated the ability to suppress d-galactosamine-induced hepatitis by modulating a range of serum enzymes including SGPT, SGOT, ALP, and BL, as well as liver metabolites [157]. Research indicates that chelerythrine (3) has the potential to inhibit carbon tetrachloride-induced hepatic fibrosis in mice. Additionally, it has been observed to reduce blood levels of AST and ALT, improve the proliferation of intrahepatic tissues, alleviate acute and chronic liver injury, inhibit the proliferation of hepatic stellate cells, and reduce the synthesis of type I and type III collagen [136].
The total alkaloids of Corydalis saxicola bunting have been found to exhibit hepatoprotective and preventive effects against liver diseases, particularly in the areas of anti-hepatic injury, anti-hepatic fibrosis, anti-cholestasis, anti-fatty liver, and anti-viral hepatitis. Research suggests that the main mechanism of action is anti-lipid peroxidation [31,158]. One study suggests that the n-butanol extract from Fructus Illcii Veri may have a protective effect against liver injury caused by carbon tetrachloride in rats. Furthermore, it appears to have a significant impact on serum ghrelin and ghrelin [71]. The total alkaloid of Artemisia annua L. has been suggested to potentially offer protection against liver injury induced by carbon tetrachloride in mice. The alkaloid of Meconopsis quintuplinervia reg. showed a significant reduction in serum alanine aminotransferase, aspartate aminotransferase, lactate dehydrogenase activity, and malondialdehyde in the liver tissue homogenate of mice with immune liver injury, suggesting potential hepatoprotective effects [159].
3.6. Antitussive Effects and Other Pharmacological Effects
Studies have shown that the alkaloids of poppy husk, Chelidonii herba and Hylomecon japonica (Thunb.) prantl et kundig, are used to suppress cough and asthma [39,160,161]. The Papaveraceae of medicinal plants have various pharmacological effects, including immunomodulation, the regulation of intestinal flora [31], the attenuation of kidney damage, the treatment of osteoporosis [26], the treatment of leukemia [51], and the treatment of lupus erythematosus, and they act as a urease inhibitor [156]; have antispasmodic [17,162], anti-obesity, and anti-diabetic effects; treat varicose veins [38]; relax smooth muscles [162]; and promote animal growth [50].
4. Conclusions and Prospects
The opium poppy encompasses numerous species, many of which hold significance in Tibetan and Mongolian medicinal practices. Certain varieties, such as poppy and yanhuisuo, boast a rich history of medicinal usage. The primary constituents of the opium poppy are isoquinoline alkaloids.
Firstly, this paper represents the first comprehensive compilation of over 500 alkaloid components reported within the Papaveraceae family. Corresponding structures are delineated to serve as a reference for future studies. Existing data indicate that the Papaveraceae family harbors the majority of isoquinoline alkaloids, constituting approximately 89% of the total alkaloids. The discovery of these compounds lays the groundwork for further exploration into their pharmacodynamic and pharmacological effects.
Secondly, this paper reviews the pharmacological effects of plant alkaloids found in Papaveraceae. Previous studies have identified several significant effects, including analgesic properties, impacts on the cardiovascular system, anti-inflammatory and anti-cancer activities, as well as liver protection. These effects have been elucidated through both in vitro and in vivo studies. However, there remains a dearth of research on their effects on cough and asthma, which necessitates further investigation. Moreover, studies indicate that medicinal plants from the Papaveraceae family possess immunoregulatory properties, influence intestinal flora, exhibit nephroprotective effects, and show potential in treating conditions such as osteoporosis, leukemia, lupus erythematosus, and uremia.
Future research on poppy plants can focus on several aspects. Regarding plant diversity, Papaveraceae encompasses numerous widely distributed species, yet few species have been thoroughly studied, with a significant concentration on Corydalis. Therefore, to fully realize the medicinal potential of Papaveraceae plants, further studies on their chemical composition, including other compounds, are warranted. From a pharmacological perspective, although various effects have been identified, many studies rely on crude plant extracts. Research on individual compounds remains limited, lacking in-depth molecular-level investigation, which impedes the effective summarization of structure–activity relationships. The extraction and detailed molecular-level analysis of alkaloids from plants of the Papaveraceae family present numerous challenges in the field. Future research efforts should focus on investigating the medicinal mechanisms and bioavailability of various alkaloids. Simultaneously, attention should be given to other plant components.
Supplementary Materials
The following supporting information can be downloaded at https://www.mdpi.com/article/10.3390/molecules29163778/s1, Table S1: Alkaloids isolated from Papaveraceae. Figures S1–S9: Alkaloids isolated from Papaveraceae.
Author Contributions
Conceptualization, H.K.; writing—original draft preparation, M.Z.; writing—review and editing, J.Y. and Y.S. All authors have read and agreed to the published version of the manuscript.
Funding
This work was supported by the Chief Scientist of Qi-Huang Project of National Traditional Chinese Medicine Inheritance and Innovation “One Hundred Million” Talent Project (Grant Number: [2021] No. 7); the Qi-Huang Scholar of National Traditional Chinese Medicine Leading Talents Support Program (Grant Number: [2018] No. 284); the Heilongjiang Touyan Innovation Team Program (2019); the National Famous Old Traditional Chinese Medicine Experts Inheritance Studio Construction Program of National Administration of TCM (Grant Number: [2022] No. 75); and the Seventh Batch of National Famous Old Traditional Chinese Medicine Experts Experience Heritage Construction Program of National Administration of TCM (Grant Number: [2022] No. 76).
Institutional Review Board Statement
Not applicable.
Informed Consent Statement
Not applicable.
Data Availability Statement
The original contributions presented in the study are included in the article (and Supplementary Material), further inquiries can be directed to the corresponding authors.
Conflicts of Interest
The authors declare no conflicts of interest.
References
- Beaudoin, G.A.W.; Facchini, P.J. Benzylisoquinoline alkaloid biosynthesis in opium poppy. Planta 2014, 240, 19–32. [Google Scholar] [CrossRef]
- Liu, Y.-Y.; Kan, S.-L.; Wang, J.-L.; Cao, Y.-N.; Li, J.-M. Complete chloroplast genome sequences of Corydalis edulis and Corydalis shensiana (Papaveraceae). Mitochondrial DNA Part B 2021, 6, 257–258. [Google Scholar] [CrossRef]
- Jiang, L.; Li, M.; Zhao, F.; Chu, S.; Zha, L.; Xu, T.; Peng, H.; Zhang, W. Molecular Identification and Taxonomic Implication of Herbal Species in Genus Corydalis (Papaveraceae). Molecules 2018, 23, 1393. [Google Scholar] [CrossRef]
- Editorial Committee of Chinese Plants, Chinese Academy of Sciences. Flora of China; Beijing Science Press: Beijing, China, 2004; Volume 32. [Google Scholar]
- Butnariu, M.; Quispe, C.; Herrera-Bravo, J.; Pentea, M.; Sarac, I.; Küşümler, A.S.; Özçelik, B.; Painuli, S.; Semwal, P.; Imran, M.; et al. Papaver Plants: Current Insights on Phytochemical and Nutritional Composition Along with Biotechnological Applications. Oxidative Med. Cell. Longev. 2022, 2022, 2041769. [Google Scholar] [CrossRef] [PubMed]
- Calixto, B.; Campos, M.M.; Santos, A.R.S. Botanical analgesic and anti-inflammatory drugs. In Ethnopharmacology; Elisabetsky, E., Etkin, N.L., Eds.; Eolss Publishers: Oxford, UK, 2009; Volume II. [Google Scholar]
- Gracz-Bernaciak, J.; Mazur, O.; Nawrot, R. Functional Studies of Plant Latex as a Rich Source of Bioactive Compounds: Focus on Proteins and Alkaloids. Int. J. Mol. Sci. 2021, 22, 12427. [Google Scholar] [CrossRef] [PubMed]
- Cui, Z.; Qi, M.L.; Yin, J.; Zhu, G. Chemical constituents of Corydalis yanhusuo and phytochemical taxonomy of related plants. Chinese Botanical Society. In Proceedings of the Abstracts of the 75th Anniversary Annual Meeting of the Chinese Botanical Society, Lanzhou, China, 12–15 July 2008; Lanzhou University Press: Lanzhou, China, 2008; Volume 2. [Google Scholar]
- Cheng, C.; Tian, R.N. Survey and Analysis of Corydalis Plants’ Prospects in the Nanjing Purple Mountain. Chin. J. Wild Plant Res. 2010, 29, 13–16. [Google Scholar]
- Yu, R.M.; Wang, C.S.; Song, L.Y. Progress on the Study of Chemical Constituents and Pharmacological Action for the Plants of Papaveraceae. Acad. J. Shanghai Univ. Tradit. Chin. Med. 2004, 38, 59–61. [Google Scholar]
- Zhang, X.P.; Shi, X.F.; Zhang, H.Y.; Zhu, R.Y.; Zhang, C.X. Establishment of HPLC Fingerprint and Content Determination of 5 Components in Papaveris Pericarpium. J. China Pharm. 2021, 32, 2755–2760. [Google Scholar]
- Yuan, Y.Z.; Huang, X.Y.; Zhang, X.; Li, D.H.; Bai, J.; Li, Z.L.; Hua, M.H. lsolation and identification of chemical constituents from Chelidonium majus L. Chin. J. Med. Chem. 2022, 32, 454–461. [Google Scholar]
- Zhao, T.Y. Studies on Separation and Characterization of Alkaloids in Chelidonium majus L. Master’s Thesis, Dalian Jiaotong University, Dalian, China, 2020. [Google Scholar]
- Zhang, W.-J.; You, C.-X.; Wang, C.-F.; Fan, L.; Wang, Y.; Su, Y.; Deng, Z.-W.; Du, S.-S. One new alkaloid from Chelidonium majus L. Nat. Prod. Res. 2014, 28, 1873–1878. [Google Scholar] [CrossRef]
- Li, W.B. Bioactive Compounds from Chelidonium majus L. Master’s Thesis, Northwest A&F University, Xianyang, China, 2015. [Google Scholar]
- Tian, B.; Tian, M.; Huang, S.-M. Advances in phytochemical and modern pharmacological research of Rhizoma corydalis. Pharm. Biol. 2020, 58, 265–275. [Google Scholar] [CrossRef] [PubMed]
- Chang, S.; Liu, Z.H.; Han, N.; Yang, Z.Y.; Wang, P.P.; Li, F.; Yin, J. Alkaloids from the tubers of Corydalis ambigua var. amurensis and their antitumor activities. Chin. Tradit. Pat. Med. 2022, 44, 3507–3513. [Google Scholar]
- Yan, L.P.; Xie, Z.H.; Sheng, W.S.; Huang, G.T.; Li, Q.L.; Wang, A.G.; Chen, Q.; Zhou, S.; Li, L.Y. Research Progress in Corydalis decumbens. J. Anhui Agric. Sci. 2022, 50, 5–7+10. [Google Scholar]
- Liao, H.P.; Ou, Y.H.; Huang, L.Q.; Huang, W.P.; Feng, Y.L.; Li, Z.F.; Wu, B.; Yang, S.L. Chemical constituents of Corydalis decumbens. Chin. Tradit. Herb. Drugs 2014, 45, 3067–3070. [Google Scholar]
- Yuan, J.S.; Gu, G.H.; Zeng, W.; Wang, S.Y.; Yang, D.J.; Guo, D.A. Simultaneous determination of 11 alkaloids in Corydalis decumbens by HPLC. J. Chin. Med. Mater. 2013, 36, 1283–1287. [Google Scholar]
- Liang, S.Y. Constituents and pharmacological studies of Corydalis decumbentis Rhizoma. J. Acta Med. Sin. 2007, 02, 419–421. [Google Scholar] [CrossRef]
- Zeng, W.L. Chemical Constituents and Their Biological Activity of the Corydalis decumbentis. Master’s Thesis, Shandong University, Jinan, China, 2005. [Google Scholar]
- Gao, C.; Ma, Y.Y.; Ni, B.; Guo, Y.C.; Wei, G.L. Research progress on chemical constituents and pharmacological effects of Corydalis bungeanae. J. Chin. Med. Mater. 2022, 45, 1780–1786. [Google Scholar]
- Xiang, Y.; Li, M.Z.; Xie, Y.P.; Qu, X.Y.; Tan, X.B.; Cui, G.Q.; Zhu, F.X. LC-MS identification of chemical constituents and metabolites of Corydalis bungeana. Chin. Tradit. Herb. Drugs 2022, 53, 1949–1963. [Google Scholar]
- Li, M.Z.; Zhang, H.; Zhu, F.X. Study on the chemical constituents of Corydalis bungeana. West China J. Pharm. Sci. 2019, 34, 120–126. [Google Scholar]
- Zheng, J.F.; Qin, M.J.; Zheng, Y.; Chen, C.L. Alkaloids from Corydalis bungeana. J. China Pharm. Univ. 2007, 38, 112–114. [Google Scholar]
- Zhang, Z.J.; Du, Q.; Wang, Q.; Zhou, X.J. Research progress of benzophenanthridine alkaloids in Eomecon chionantha. Chin. Tradit. Pat. Med. 2022, 44, 1562–1570. [Google Scholar]
- Peng, W.A.; Liao, H.Q.; Yi, C.Y. Study on Isolation and identification of Alkaloids from Eomecn chionantha. Guiding J. Tradit. Chin. Med. Pharm. 2018, 24, 64–65+69. [Google Scholar]
- Zhu, P.H.; Li, Y.Y.; Gong, H.; Cao, H.; Xiao, Y.H. Chemical constituents from Eomecn chionantha. Chin. Tradit. Pat. Med. 2017, 39, 980–983. [Google Scholar]
- Zhu, P.H. Study on the Chemical Components and Bioactivity of Eomecon chionantha Hance. Master’s Thesis, Wuhan Institute of Technology, Wuhan, China, 2017. [Google Scholar]
- Gui, Z.J.; Shen, K.; Huang, M.H.; Li, G.W.; Huang, T.Q.; Jin, W.H. Alkaloid constituents in Corydalis from different habitats. Nat. Prod. Res. Dev. 2023, 35, 410–419. [Google Scholar]
- Jin, S.Y.; Li, H.T.; Jiang, W.L.; Qin, M.J.; Xie, G.Y. Research progress on chemical constituents and pharmacological effects of Corydalis saxicola Bunting. Chin. Tradit. Pat. Med. 2022, 44, 1545–1552. [Google Scholar]
- Li, K.; Zhang, D.J.; Li, Z.Q.; Lu, D.X. Alkaloids in the Corydalis plants and their biological activities: Research advances. Int. J. Pharm. Res. 2018, 45, 748–757. [Google Scholar]
- Huang, Y.; Liu, Y.Y.; Aga, E.B.; Xie, H.J.; Xiong, H.; Ye, B.G. Study on chemical constituents of Meconopsis punicea. W. China J. Pharm. Sci. 2023, 38, 246–250. [Google Scholar]
- Gu, X.Y.; Geng, B.R.; Chen, H.G.; Duan, H.J.; Zhang, J.B.; Zhao, W.L. Systematic Research Progress on Resources, Chemistry and Pharmacology of Tibetan Medicine Meconopsis punicea Maxim. J. Chin. Wild Plant Res. 2022, 41, 50–55. [Google Scholar]
- Wu, H.F.; Ding, L.S.; Wang, H.; Zhang, X.F. Advances in the Research of Phytochemistry and Pharmacology of Meconopsis Vig. Nat. Prod. Res. Dev. 2011, 23, 163–168. [Google Scholar]
- Wang, Z.M. Research progress on chemical constituents and biological activities of Meconopsis Vig. West China J. Pharm. Sci. 2010, 25, 759–761. [Google Scholar]
- Yang, M.; Shi, X.B.; Min, K.; Sun, Q.L.; Chen, Y.G. Advances in the Research of Phytochemistry and Pharmacology of Meconopsis Vig. Chin. Tradit. Pat. Med. 2010, 32, 279–283. [Google Scholar]
- Chen, X.L.; Li, S.X.; Zhang, H.W.; Jiang, Y.; Wang, W.; Zhang, D.D.; Song, X.M.; Li, Y.Z. Research progress on chemical constituents and pharmacological effects of Hylomecon japonica. J. Shaanxi Univ. Chin. Med. 2023, 46, 19–25. [Google Scholar]
- Sun, B. Studies on the Chemical Constituents o Tibetan Medicine Hypecoum leptocarpum Hook.f.et Thoms. Master’s Thesis, Southeast University, Nanjing, China, 2021. [Google Scholar]
- Sun, L.Y.; Wang, S.L. Extraction of effective components from Macleaya cordata and its application in animal husbandry production. J. Agric. Sci. Eng. Chin. 2022, 34, 63–70. [Google Scholar] [CrossRef] [PubMed]
- Yu, K.; Xiang, F.; Qing, Z.X.; Yang, P.; Zeng, J.G. Separation of Alkaloids from the Roots of Macleaya cordata. China Pharm. 2017, 20, 1903–1906. [Google Scholar]
- Yang, P.; Xiang, F.; Qing, Z.X.; Cao, H.L.; Zeng, J.G. Isolation and Identification of Alkaloids from Fresh Leaves of Macleaya cordata. Mod. Chin. Med. 2017, 19, 1371–1375. [Google Scholar]
- Sai, C.M.; Hua, H.M.; Wang, J.A.; Wang, Q.B.; Wang, H.Y. Isolation and identification of the racemic benzophenanthridine alkaloids from Macleaya cordata. J. Jining. Med. Univ. 2017, 40, 256–263. [Google Scholar]
- Yu, K.; Peng, Y.; Qing, Z.X.; Yang, P.; Zuo, Z.; Zeng, J.G. Chemical Constituents from the Roots of Macleaya cordata. J. Chin. Med. Mater. 2016, 39, 1767–1770. [Google Scholar]
- Sai, C.M. Studies on the Alkaloids from Macleaya cordata and Their Biological Activities. Ph.D. Thesis, Shenyang Pharmaceutical University, Shenyang, China, 2016. [Google Scholar]
- Qing, Z.-X.; Xu, Y.-Q.; Yang, P.; Yu, K.; Peng, Y.; Zuo, Z.; Zeng, J.-G. Study on Alkaloids of Fruit from Macleaya cordata. J. Chin. Med. Mater. 2016, 39, 312–314. [Google Scholar]
- Zhou, H.L.; Li, Y.H.; Yu, S.F.; Cheng, M.; Zhou, X.D.; Zhang, Y.; Liu, B.L.; Zhou, G.X. Alkaloids from Macleaya cordata and their cytotoxicity assay. J. Chin. Med. Mater. 2015, 40, 458–462. [Google Scholar]
- Zhou, N.L. Studies on the Chemical Constituents and Bioactivity of the Macleaya cordata Roots. Master’s Thesis, Hebei Normal University of Science & Technology, Qinhuangdao, China, 2012. [Google Scholar]
- Ye, F.Z.; Feng, F.; Liu, W.Y. Alkaloids from Macleaya cordata. J. Chin. Med. Mater. 2009, 34, 1683–1686. [Google Scholar]
- Long, F.L.; Yue, Z.G.; Yu, G.; Liu, H.; Hu, P.H.; Jin, M. Research progress on chemical constituents, pharmacological effects and toxicity of Dicranostigma leptopodum. Hebei Med. J. 2017, 39, 3492–3495. [Google Scholar]
- Liu, D.H.; Zhang, T.C.; Liu, J.X.; Di, D.L.; Dang, Y. Chemical constituents of alkaloids from Dicranostigma leptopodum. Chin. Tradit. Herb. Drugs 2011, 42, 1505–1508. [Google Scholar]
- Gao, W.; Wu, H.; Hu, X.G.; Yu, H.F.; Zhang, R.P.; Ding, C.F. Isoquinoline Alkaloids from the Roots of Dactylicapnos scandens and Their Antibacterial Activities. J. Trop. Subtrop. Bot. 2023, 1–7. Available online: https://link.cnki.net/urlid/44.1374.Q.20230607.1335.002 (accessed on 5 August 2024).
- Zeng, W.D.; Rao, G.X. Chemical Constituents of Dactylicapnos lichiangensis. J. Chin. Med. Mater. 2022, 45, 1627–1631. [Google Scholar]
- He, Q.B. Chemical Constituents of Dactylicapnos torulosa and Their Biological Activities. Master’s Thesis, Shandong University, Jinan, China, 2021. [Google Scholar]
- Yu, X.; Gao, X.; Zhu, Z.; Cao, Y.; Zhang, Q.; Tu, P.; Chai, X. Alkaloids from the Tribe Bocconieae (Papaveraceae): A Chemical and Biological Review. Molecules 2014, 19, 13042–13060. [Google Scholar] [CrossRef] [PubMed]
- Zhou, X.-C.; Ma, X.-J.; Ge, F.-X.; Liu, C.-X.; Liang, Y.-N.; Gao, X.-L.; Chai, X.-Y. Two new isoquinoline alkaloids from Corydalis hendersonii. J. Chin. Med. Mater. 2023, 48, 3508–3515. [Google Scholar]
- Yin, X.; Zhao, F.; Feng, X.; Li, J.; Yang, X.; Zhang, H.; Tu, P.; Chai, X. Four new spirobenzylisoquinoline N-oxide alkaloids from the whole plant of Corydalis hendersonii. Fitoterapia 2018, 128, 31–35. [Google Scholar] [CrossRef]
- Wuken, S.N.; Yin, X.; Mi, J.; Jiao, S.G.; Zhang, H.X.G.; Tu, P.F.; Chai, X.Y.; Liu, C.S. Isolation and Elucidation of a Novel Isoquinoline Alkaloid from Corydalis hendersonii. Chin. J. Exp. Tradit. Med. Formulae 2019, 25, 172–175. [Google Scholar]
- Long, X.-N.; Han, F.; Wei, L.; Meng, F.-C.; Qu, S.-Y.; Chen, M. A novel alkaloid from Corydalis tomentella. China J. Chin. Mater. Med. 2021, 46, 5020–5026. [Google Scholar]
- Istatkova, R.; Philipov, S.; Yadamsurenghiin, G.O.; Samdan, J.; Dangaa, S. Alkaloids from Papaver nudicaule L. Nat. Prod. Res. 2008, 22, 607–611. [Google Scholar] [CrossRef]
- Laines-Hidalgo, J.I.; Muñoz-Sánchez, J.A.; Loza-Müller, L.; Vázquez-Flota, F. An Update of the Sanguinarine and Benzophenanthridine Alkaloids’ Biosynthesis and Their Applications. Molecules 2022, 27, 1378. [Google Scholar] [CrossRef]
- Da-Cunha, E.V.; Fechinei, I.M.; Guedes, D.N.; Barbosa-Filho, J.M.; Da-Silva, M.S. Protoberberine alkaloids. Alkaloids Chem. Biol. 2005, 62, 1–75. [Google Scholar]
- Niu, Z.X.; Wang, Y.T.; Wang, J.F. Recent advances in total synthesis of protoberberine and chiral tetrahydroberberine alkaloids. Nat. Prod. Rep. 2024. [Google Scholar] [CrossRef]
- Ge, Y.-C.; Wang, K.-W. New Analogues of Aporphine Alkaloids. Mini Rev. Med. Chem. 2018, 18, 1590–1602. [Google Scholar] [CrossRef]
- Singla, D.; Sharma, A.; Kaur, J.; Panwar, B.; Raghava, G.P. BIAdb: A curated database of benzylisoquinoline alkaloids. BMC Pharmacol. 2010, 10, 4. [Google Scholar] [CrossRef]
- Deng, A.P.; Zhang, Y.; Zhou, L.; Kang, C.Z.; Lv, C.G.; Kang, L.P.; Nan, T.G.; Zhan, Z.L.; Guo, L.P.; Huang, L.Q. Systematic review of the alkaloid constituents in several important medicinal plants of the Genus Corydalis. Phytochemistry 2021, 183, 112644. [Google Scholar] [CrossRef]
- Paul, L.D.; Maurer, H.H. Studies on the metabolism and toxicological detection of the Eschscholtzia californica alkaloids californine and protopine in urine using gas chromatography-mass spectrometry. J. Chromatogr. B 2003, 789, 43–57. [Google Scholar] [CrossRef] [PubMed]
- Guinaudeau, H.; Shamma, M. The Protopine Alkaloids. J. Nat. Prod. 1982, 45, 237–246. [Google Scholar] [CrossRef]
- Odna, M.; Takahashi, H. Chapter 4 Protopine Alkaloids. Alkaloids Chem. Pharmacol. 1989, 34, 181–210. [Google Scholar]
- Shamma, M. The lsoquinoline Alkaloids-chemistry and Pharmacology. Organ. Chem. 1972, 25, 315–343. [Google Scholar]
- Dostál, J. Two Faces of Alkaloids. J. Chem. Educ. 2000, 77, 993–998. [Google Scholar] [CrossRef]
- Iwasa, K.; Sugiura, M.; Takao, N. Stereochemistry of 13-Hydroxyprotoberberines, Their Derivatives, and a Protopine-type Alkaloid. J. Organ. Chem. 1982, 47, 4275–4280. [Google Scholar] [CrossRef]
- Li, Q.; Zhang, H. Research Progress on the Synthesis of Morphine Alkaloids. Chin. J. Org. Chem. 2017, 37, 1629–1652. [Google Scholar] [CrossRef]
- Wicks, C.; Hudlicky, T.; Rinner, U. Morphine alkaloids: History, biology, and synthesis. Alkaloids. Chem. Biol. 2021, 86, 145–342. [Google Scholar]
- Wu, L.; Yang, Y.; Mao, Z.; Wu, J.; Ren, D.; Zhu, B.; Qin, L. Processing and Compatibility of Corydalis yanhusuo: Phytochemistry, Pharmacology, Pharmacokinetics, and Safety. Evid. Based Complement. Altern. Med. 2021, 2021, 1271953. [Google Scholar] [CrossRef] [PubMed]
- Zhang, Q.; Chen, C.; Wang, F.-Q.; Li, C.-H.; Zhang, Q.-H.; Hu, Y.-J.; Xia, Z.-N.; Yang, F.-Q. Simultaneous screening and analysis of antiplatelet aggregation active alkaloids from Rhizoma corydalis. Pharm. Biol. 2016, 54, 3113–3120. [Google Scholar] [CrossRef] [PubMed]
- Zielińska, S.; Wójciak-Kosior, M.; Dziągwa-Becker, M.; Gleńsk, M.; Sowa, I.; Fijałkowski, K.; Rurańska-Smutnicka, D.; Matkowski, A.; Junka, A. The Activity of Isoquinoline Alkaloids and Extracts from Chelidonium majus against Pathogenic Bacteria and Candida sp. Toxins 2019, 11, 406. [Google Scholar] [CrossRef] [PubMed]
- Ali, I.; Li, J.; Cui, L.; Zhao, H.; He, Q.; Wang, D. Efficient extraction and purification of benzo[c]phenanthridine alkaloids from Macleaya cordata (Willd) R. Br. by combination of ultrahigh pressure extraction and pH-zone-refining counter-current chromatography with anti-breast cancer activity in vitro. Phytochem. Anal. 2021, 32, 423–432. [Google Scholar] [CrossRef] [PubMed]
- Xue, C.; Liu, S.X.; Huang, F. Research progress on the analgesic effect of poppy, Rhizoma Corydalis and Corydalis saxicola Bunting. J. Pharm. Res. 2019, 38, 290–294. [Google Scholar]
- Zhou, H.-H.; Wu, D.-L.; Gao, L.-Y.; Fang, Y.; Ge, W.-H. L-Tetrahydropalmatine alleviates mechanical hyperalgesia in models of chronic inflammatory and neuropathic pain in mice. NeuroReport 2016, 27, 476–480. [Google Scholar] [CrossRef]
- Wang, J.B.; Mantsch, J.R. L-Tetrahydropalamatine: A potential new medication for the treatment of cocaine addiction. Future Med. Chem. 2012, 4, 177–186. [Google Scholar] [CrossRef]
- Ma, Z.-Z.; Xu, W.; Jensen, N.H.; Roth, B.L.; Liu-Chen, L.-Y.; Lee, D.Y.W. Isoquinoline alkaloids isolated from Corydalis yanhusuo and their binding affinities at the dopamine D1 receptor. Molecules 2008, 13, 2303–2312. [Google Scholar] [CrossRef]
- Dey, P.; Kundu, A.; Kumar, A.; Gupta, M.; Lee, B.M.; Bhakta, T.; Dash, S.; Kim, H.S. Analysis of alkaloids (indole alkaloids, isoquinoline alkaloids, tropane alkaloids). Recent Adv. Nat. Prod. Anal. 2020, 505–567. [Google Scholar] [CrossRef]
- Zhang, Y.; Wang, C.; Wang, L.; Parks, G.S.; Zhang, X.; Guo, Z.; Ke, Y.; Li, K.-W.; Kim, M.K.; Vo, B.; et al. A Novel Analgesic Isolated from a Traditional Chinese Medicine. Curr. Biol. 2014, 24, 117–123. [Google Scholar] [CrossRef] [PubMed]
- Chen, C.; Lu, M.; Pan, Q.; Fichna, J.; Zheng, L.; Wang, K.; Yu, Z.; Li, Y.; Li, K.; Song, A.; et al. Berberine Improves Intestinal Motility and Visceral Pain in the Mouse Models Mimicking Diarrhea-Predominant Irritable Bowel Syndrome (IBS-D) Symptoms in an Opioid-Receptor Dependent Manner. PLoS ONE 2015, 10, e0145556. [Google Scholar] [CrossRef] [PubMed]
- Yang, S.; Yu, Z.; Sun, W.; Jiang, C.; Ba, X.; Zhou, Q.; Xiong, D.; Xiao, L.; Deng, Q.; Hao, Y. The antiviral alkaloid berberine ameliorates neuropathic pain in rats with peripheral nerve injury. Acta Neurol. Belg. 2018, 120, 557–564. [Google Scholar] [CrossRef] [PubMed]
- Eldufani, J.; Blaise, G. The role of acetylcholinesterase inhibitors such as neostigmine and rivastigmine on chronic pain and cognitive function in aging: A review of recent clinical applications. Alzheimers Dement. 2019, 5, 175–183. [Google Scholar] [CrossRef] [PubMed]
- Zou, K.; Li, Z.; Zhang, Y.; Zhang, H.-Y.; Li, B.; Zhu, W.-L.; Shi, J.-Y.; Jia, Q.; Li, Y.-M. Advances in the study of berberine and its derivatives: A focus on anti-inflammatory and anti-tumor effects in the digestive system. Acta Pharmacol. Sin. 2016, 38, 157–167. [Google Scholar] [CrossRef] [PubMed]
- Shen, Y.; Guan, S.; Ge, H.; Xiong, W.; He, L.; Liu, L.; Yin, C.; Liu, H.; Li, G.; Xu, C.; et al. Effects of palmatine on rats with comorbidity of diabetic neuropathic pain and depression. Brain Res. Bull. 2018, 139, 56–66. [Google Scholar] [CrossRef]
- Sun, L. Protective effect of magnoflorine on LPS-induced acute lung injury. World Latest Med. Inf. 2019, 19, 100–101. [Google Scholar] [CrossRef]
- Tao, C.; Hu, S.-Q.; Chen, J.; Chen, Y.-J.; Sun, K.-H.; Cui, G.-Z.; Ma, M.; Wu, Z.-Z. Highly efficient synthesis and monoamine oxidase B inhibitory profile of demethyleneberberine, columbamine and palmatine. Neurochem. Int. 2020, 139, 104807. [Google Scholar] [CrossRef] [PubMed]
- Yin, Z.Y.; Chu, S.S.; Sun, Q. Effects of dehydrocorydaline on mechanical hyperalgesia induced by complete Freund’s adjuvant in mice. Chin. J. Behav. Med. Brain Sci. 2016, 25, 300–303. [Google Scholar]
- Li, H.L.; Pan, G.Q.; You, Z.L.; Jiang, W.; Nan, K.P. Studies on Analgesic Effects of the Total Alkaloids of Tibetan Medicine Saibei Corydalis. Nat. Prod. Res. Dev. 2013, 25, 544–546. [Google Scholar]
- Liu, N.T.; Li, R.H.; Jia, T.Z. Study on Analgesic Effect of Vinegar Made Chelidonium majus. Asia Pac. Trad. Med. 2022, 18, 35–38. [Google Scholar]
- Guo, J.; Zhang, X.D.; Huang, W. Selection of Effective parts in Fructus Illcii Veri. J. Shaanxi Univ. Chin. Med. 2006, 29, 58–60. [Google Scholar] [CrossRef]
- Lan, Q.X.; Jiang, Z.B.; Zhang, A.M.; He, R.L.; Zhou, Z.H.; Xu, S.R.; Chen, Y.T. Observation on the curative effect of Corydalis decumbentis intramuscular injection in the treatment of postherpetic neuralgia. Shandong Med. J. 2019, 59, 85–87. [Google Scholar]
- Guo, M.; Zhang, Y.; Wang, Z.W.; Zhao, J.G. Experimental study on analgesic effect of total flavonoids and total alkaloids from Tibetan medicine var. quintuplinervia. J. Gansu Univ. of Chin. Med. 2010, 27, 31–32. [Google Scholar]
- Feng, J.-H.; Chen, K.; Shen, S.-Y.; Luo, Y.-F.; Liu, X.-H.; Chen, X.; Gao, W.; Tong, Y.-R. The composition, pharmacological effects, related mechanisms and drug delivery of alkaloids from Corydalis yanhusuo. Biomed. Pharmacother. 2023, 167, 115511. [Google Scholar] [CrossRef] [PubMed]
- Li, J.; Wu, J.; Huang, J.; Cheng, Y.; Wang, D.; Liu, Z. Uncovering the Effect and Mechanism of Rhizoma Corydalis on Myocardial Infarction through an Integrated Network Pharmacology Approach and Experimental Verification. Front. Pharmacol. 2022, 13, 927488. [Google Scholar] [CrossRef]
- Kim, Y.M.; Ha, Y.M.; Jin, Y.C.; Shi, L.Y.; Lee, Y.S.; Kim, H.J.; Seo, H.G.; Choi, J.S.; Kim, Y.S.; Kang, S.S.; et al. Palmatine from Coptidis rhizoma reduces ischemia–reperfusion-mediated acute myocardial injury in the rat. Food Chem. Toxicol. 2009, 47, 2097–2102. [Google Scholar] [CrossRef]
- Li, Y.; Zhang, L.; Zhang, P.; Hao, Z. Dehydrocorydaline Protects Against Sepsis-Induced Myocardial Injury through Modulating the TRAF6/NF-κB Pathway. Front Pharmacol. 2021, 12, 709604. [Google Scholar] [CrossRef]
- He, K.; Gao, J.L.; Zhao, G.S. Advances in studies on chemistry, pharmacology, and quality control of Corydalis yanhusuo. Chin. Tradit. Herb. Drugs 2007, 12, 1909–1912. [Google Scholar] [CrossRef]
- Yu, L.; Li, Q.; Yu, B.; Yang, Y.; Jin, Z.; Duan, W.; Zhao, G.; Zhai, M.; Liu, L.; Yi, D.; et al. Berberine Attenuates Myocardial Ischemia/Reperfusion Injury by Reducing Oxidative Stress and Inflammation Response: Role of Silent Information Regulator 1. Oxidative Med. Cell. Longev. 2016, 2016, 1689602. [Google Scholar] [CrossRef]
- Zhao, G.L.; Yu, L.M.; Gao, W.L.; Duan, W.X.; Jiang, B.; Liu, X.D.; Zhang, B.; Liu, Z.H.; Zhai, M.E.; Jin, Z.X.; et al. Berberine protects rat heart from ischemia/reperfusion injury via activating JAK2/STAT3 signaling and attenuating endoplasmic reticulum stress. Acta Pharmacol. Sin. 2016, 37, 354–367. [Google Scholar] [CrossRef]
- Yuan, Q.H.; Yuan, Y.; Zheng, Y.; Sheng, R.; Liu, L.; Xie, F.; Tan, J. Anti-cerebral ischemia reperfusion injury of polysaccharides: A review of the mechanisms. Biomed Pharmacother. 2021, 137, 111303. [Google Scholar] [CrossRef]
- Tan, C.N.; Zhang, Q.; Li, C.H.; Fan, J.J.; Yang, F.Q.; Hu, Y.J.; Hu, G. Potential target-related proteins in rabbit platelets treated with active monomers dehydrocorydaline and canadine from Rhizoma corydalis. Phytomedicine 2019, 54, 231–239. [Google Scholar] [CrossRef]
- Xiao, X.; Liu, J.; Hu, J.; Li, T.; Zhang, Y. Protective effect of protopine on the focal cerebral ischaemic injury in rats. Basic Clin. Pharmacol. Toxicol. 2007, 101, 85–89. [Google Scholar] [CrossRef]
- Li, B.; Huang, X.N.; Wu, Q.; Yu, L.M.; Sun, A.S.; Shi, J.S. Effect of protopine on rat blood pressure. J. Zunyi Med. Univ. 2003, 3, 209–212. [Google Scholar] [CrossRef]
- Liu, M.H.; Li, Y.; Wen, Y.; Wang, L. The effect of allocryptopine on arrhythmia and monophasic action potential in animal models. Chin. J. Mult. Organ Dis. Elder. 2006, 5, 48–50+65. [Google Scholar]
- Hu, B.; Xu, G.; Zheng, Y.; Tong, F.; Qian, P.; Pan, X.; Zhou, X.; Shen, R. Chelerythrine Attenuates Renal Ischemia/Reperfusion-induced Myocardial Injury by Activating CSE/H2S via PKC/NF-κB Pathway in Diabetic Rats. Kidney Blood Press Res. 2017, 42, 379–388. [Google Scholar] [CrossRef]
- Gao, F.; Guo, L.J.; Wang, Y.F.; Liu, Y.C.; Ma, X.C. Research progress of Corydalis rhizoma in the treatment of cardiovascular diseases. Chin. J. Integr. Med. Cardio-Cerebrovasc. Dis. 2023, 21, 2198–2201. [Google Scholar]
- Yu, L.M.; Wen, G.R.; Deng, J.; Jin, F.; Sun, A.S.; Huang, X.N.; Zhang, J. Protective Effects of Injection of Corydalis Decumbens Pers on Cerebral lschemia and Neurons. Shanghai J. Tradit. Chin. Med. 2006, 40, 70–72. [Google Scholar]
- Zhang, G.X.; Shi, J.S.; Yu, L.M.; Wu, Q.; Deng, J.; Wang, D.Z. The effects of injection of coryadlis decumbens pers on focal cerebral ischemia reperfusion injury and the level of ICAM-1 mRNA in rats. J. Zunyi Med. Univ. 2007, 1, 14–17. [Google Scholar] [CrossRef]
- Liu, L.X.; Lin, Y.B. Clinical Observation of Complex Decumbent Corydalis Rhizome on 46 Cases of Arrhythmia Treated. Mod. J. Integr. Tradit. Chin. West. Med. 2007, 35, 5273. [Google Scholar] [CrossRef]
- Xu, X.Y.; Liu, J.H.; Chen, X.H. Clinical Observation of Complex Decumbent Corydalis Rhizome on 64 Cases of Patients with Syndrome of Blood Stasis in Cerebral Infarction at Acute Stage. Chin. J. Mod. Appl. Pharm. 2013, 30, 904–907. [Google Scholar]
- Gao, J.; Wang, T.Y.; He, X.H.; Gu, Z.L.; Liao, F.L.; Li, W.; Yin, X.J. Effect of Total Alkaloids from Rhizoma Corydalis Decumbeutis on Platelet Aggregation Function. Suzhou Univ. J. Med. Sci. 2004, 24, 137–140. [Google Scholar]
- Shang, W.Q.; Chen, Y.M.; Gao, X.L.; Pu, C.; Tu, P.F.; Chai, X.Y. Phytochemical and pharmacological advance on Tibetan medicinal plants of Corydalis. China J. Chin. Mater. Med. 2014, 39, 1190–1198. [Google Scholar]
- Hou, T.D.; Liu, A.P.; Zhang, J.; Cheng, F.; Gong, Y.Q. Effect of general alkaloid of Corydalis on blood pressure and on the tension of aortic smooth muscle. J. Northwest Norm. Univ. Nat. Sci. 2004, 4, 71–73. [Google Scholar] [CrossRef]
- Bai, R.; Yin, X.; Feng, X.; Cao, Y.; Wu, Y.; Zhu, Z.; Li, C.; Tu, P.; Chai, X. Corydalis hendersonii Hemsl. protects against myocardial injury by attenuating inflammation and fibrosis via NF-κB and JAK2-STAT3 signaling pathways. J. Ethnopharmacol. 2017, 207, 174–183. [Google Scholar] [CrossRef]
- Niu, X.; Fan, T.; Li, W.; Huang, H.; Zhang, Y.; Xing, W. Protective effect of sanguinarine against acetic acid-induced ulcerative colitis in mice. Toxicol. Appl. Pharmacol. 2013, 267, 256–265. [Google Scholar] [CrossRef]
- Li, W.F.; Hao, D.J.; Fan, T.; Huang, H.M.; Yao, H.; Niu, X.F. Protective effect of chelerythrine against ethanol-induced gastric ulcer in mice. Chem. Biol. Interact. 2014, 208, 18–27. [Google Scholar] [CrossRef]
- Fan, L.; Fan, Y.; Liu, L.; Tao, W.; Shan, X.; Dong, Y.; Li, L.; Zhang, S.; Wang, H. Chelerythrine Attenuates the Inflammation of Lipopolysaccharide-Induced Acute Lung Inflammation Through NF-κB Signaling Pathway Mediated by Nrf2. Front. Pharmacol. 2018, 9, 1047. [Google Scholar] [CrossRef]
- Wu, Y.R.; Ma, Y.B.; Zhao, Y.X.; Yao, S.Y.; Zhou, J.; Gong, Q.F.; Chen, J.J. Anti-hepatitis virus constituents from Corydalis saxicola. Chin. Tradit. Herb. Drugs 2012, 43, 32–37. [Google Scholar]
- Xu, X.; Zhang, L.; Zhao, Y.; Xu, B.Y.; Qin, W.X.; Yan, Y.Q.; Yin, B.Q.; Xi, C.Y.; Ma, L.B. Anti-inflammatory mechanism of berberine on lipopolysaccharide-induced IEC-18 models based on comparative transcriptomics. Mol. Med. Rep. 2020, 22, 5163–5180. [Google Scholar] [CrossRef]
- Cheng, J.J.; Ma, X.D.; Ai, G.X.; Yu, Q.X.; Chen, X.Y.; Yan, F.; Li, Y.C.; Xie, J.H.; Su, Z.R.; Xie, Q.F. Palmatine Protects Against MSU-Induced Gouty Arthritis via Regulating the NF-κB/NLRP3 and Nrf2 Pathways. Drug Des. Dev. Ther. 2022, 16, 2119–2132. [Google Scholar] [CrossRef] [PubMed]
- Móricz, A.M.; Fornal, E.; Jesionek, W.; Majer-Dziedzic, B.; Choma, I.M. Effect directed isolation and identification of antibacterial Chelidonium majus L. alkaloids. Chromatographia 2015, 78, 707. [Google Scholar]
- Tavares, L.C.; Zanon, G.; Weber, A.D.; Neto, A.T.; Mostardeiro, C.P.; Da Cruz, I.B.M.; Oliveira, R.M.; Ilha, V.; Dalcol, I.I.; Morel, A.F. Structure-activity relationship of benzophenanthridine alkaloids from Zanthoxylum rhoifolium having antimicrobial activity. PLoS ONE 2014, 9, e97000. [Google Scholar] [CrossRef] [PubMed]
- Zhou, H.; Wang, W.; Cai, L.; Yang, T. Potentiation and Mechanism of Berberine as an Antibiotic Adjuvant Against Multidrug-Resistant Bacteria. Infect. Drug Resist. 2023, 16, 7313–7326. [Google Scholar] [CrossRef]
- Li, L. Experimental Study on Anti-inflammatory Effects of Corydalis saxicola. Chin. J. Ethnomed. Ethnopharm. 2009, 18, 20–21. [Google Scholar]
- Dai, G.; Sun, B.; Wu, L.; Gao, X.; Song, S.; Sun, H.; Ju, W. Comparative pharmacokinetics of three alkaloids in normal and acute hepatitis rats after oral administration of Yanhuanglian total alkaloids extract. Biomed. Chromatogr. 2018, 32, e4329. [Google Scholar] [CrossRef]
- Xiao, P.; Lin, C.X.; Pan, B.J.; Zhuge, M.L.; Huang, Y.; Zeng, D.Y. Pharmacodynamics of Yanhuanglian suppository for rats with chronic pelvic inflammatory diseases. Cent. South Pharm. 2019, 17, 2052–2058. [Google Scholar]
- Zeng, F.L.; Xiang, Y.F.; Liang, Z.R.; Wang, X.; Huang, D.E.; Zhu, S.N.; Li, M.M.; Yang, D.P.; Wang, D.M.; Wang, Y.F. Anti-hepatitis B virus effects of dehydrocheilanthifoline from Corydalis saxicola. Am. J. Chin. Med. 2013, 41, 119–130. [Google Scholar] [CrossRef]
- Danielewski, M.; Zielińska, S.; Matuszewska, A.; Słupski, W.; Włodarczyk, M.; Jęśkowiak, I.; Wiatrak, B.; Kowalski, K.; Jezierska-Domaradzka, A.; Ziółkowski, P.; et al. Sanguinarine-Chelerythrine Fraction of Coptis chinensis Exerts Anti-inflammatory Activity in Carrageenan Paw Oedema Test in Rats and Reveals Reduced Gastrotoxicity. Oxid. Med. Cell. Longev. 2022, 2022, 1504929. [Google Scholar] [CrossRef]
- Qian, W.D.; Huang, J.; Zhang, J.N.; Li, X.C.; Kong, Y.; Wang, T.; Li, Y.D. Antimicrobial and Antibiofilm Activities and Mechanism of Action of Chelerythrine against Carbapenem-Resistant Serratia marcescens In Vitro. Microb. Drug Resist. 2021, 27, 1105–1116. [Google Scholar] [CrossRef]
- Cruz-Galvez, A.M.; Gómez-Aldapa, C.A.; Villagómez-Ibarra, J.R.; Chavarría-Hernández, N.; Rodríguez-Baños, J.; Rangel-Vargas, E.; Castro-Rosas, J. Antibacterial effect against foodborne bacteria of plants used in traditional medicine in central Mexico: Studies in vitro and in raw beef. Food Control 2013, 32, 289–295. [Google Scholar] [CrossRef]
- Liu, L.Y.; Liu, N.N. Extraction of alkaloids from Chelidonium majus and its bacteriostatic test in vitro. J. Liaoning Agric. Technical. College. 2012, 14, 4–5. [Google Scholar]
- Liu, X.J.; Wei, H.; Yang, J.; Yu, B.Y.; Ji, Y.H. Protection effect of herb of thinfruit hypecoum(Xi Guǒ Jiǎo Huí Xiang) alcohol extract on endotoxin induced inflammatory mice. Suzhou Univ. J. Med. Sci. 2012, 32, 754–759. [Google Scholar]
- Li, M.Z.; Zhang, H.; Cui, G.Q.; Xiang, Y.; Zhu, F.X. Study on anti-inflammatory active components and mechanism of Corydalis bungeanae Herba. China J. Chin. Mater. Med. 2020, 45, 2586–2594. [Google Scholar]
- Zhou, J.; Qiu, Z.D.; Wang, Y.C.; Xu, J.M.; Huang, X.W. Research progress of chelerythrine. J. Ginseng Res. 2022, 34, 46–49. [Google Scholar]
- Sai, C.; Wang, J.; Li, B.; Ding, L.; Wang, H.; Wang, Q.; Hua, H.; Zhang, F.; Ren, Q. Isolation and identification of alkaloids from Macleaya microcarpa by UHPLC-Q-TOF-MS and their cytotoxic activity in vitro, antiangiogenic activity in vivo. BMC Chem. 2020, 14, 5. [Google Scholar] [CrossRef]
- Zhao, F.; Zhang, H.X.G.; Bai, R.F.; Du, B.Z.; Gao, X.L.; Tu, P.F.; Chai, X.Y. Advance of a representative traditional Tibetan medicine Meconopsis horridula on its phytochemical and pharmacological aspects. China J. Chin. Mater. Med. 2017, 42, 3676–3683. [Google Scholar]
- Gong, X.; Chen, Z.; Han, Q.; Chen, C.; Jing, L.; Liu, Y.; Zhao, L.; Yao, X.; Sun, X. Sanguinarine triggers intrinsic apoptosis to suppress colorectal cancer growth through disassociation between STRAP and MELK. BMC Cancer 2018, 18, 578. [Google Scholar] [CrossRef] [PubMed]
- Tang, Z.-H.; Cao, W.-X.; Wang, Z.-Y.; Lu, J.-H.; Liu, B.; Chen, X.; Lu, J.-J. Induction of reactive oxygen species-stimulated distinctive autophagy by chelerythrine in non-small cell lung cancer cells. Redox Biol. 2017, 12, 367–376. [Google Scholar] [CrossRef] [PubMed]
- Xie, Y.-J.; Gao, W.-N.; Wu, Q.-B.; Yao, X.-J.; Jiang, Z.-B.; Wang, Y.-W.; Wang, W.-J.; Li, W.; Hussain, S.; Liu, L.; et al. Chelidonine Selectively Inhibits the Growth of Gefitinib-resistant Non-small Cell Lung Cancer Cells through the EGFR-AMPK Pathway. Pharmacol. Res. 2020, 159, 104934. [Google Scholar] [CrossRef]
- Zhang, Z.; Guo, Y.; Zhang, L.; Zhang, J.; Wei, X. Chelerythrine chloride from Macleaya cordata induces growth inhibition and apoptosis in human gastric cancer BGC-823 cells. Acta Pharm. Sin. B 2012, 2, 464–471. [Google Scholar] [CrossRef]
- Piyanuch, R.; Sukhthankar, M.; Wandee, G.; Baek, S.J. Berberine, a natural isoquinoline alkaloid, induces NAG-1 and ATF3 expression in human colorectal cancer cells. Cancer Lett. 2007, 258, 230–240. [Google Scholar] [CrossRef] [PubMed]
- Zhang, Q.; Wang, X.; Cao, S.; Sun, Y.; He, X.; Jiang, B.; Yu, Y.; Duan, J.; Qiu, F.; Kang, N. Berberine represses human gastric cancer cell growth in vitro and in vivo by inducing cytostatic autophagy via inhibition of MAPK/mTOR/p70S6K and Akt signaling pathways. Biomed. Pharmacother. 2020, 128, 110245. [Google Scholar] [CrossRef] [PubMed]
- Poornima, P.; Weng, C.F.; Padma, V.V. Neferine from Nelumbo nucifera induces autophagy through the inhibition of PI3K/Akt/mTOR pathway and ROS hyper generation in A549 cells. Food Chem. 2013, 141, 3598–3605. [Google Scholar] [CrossRef]
- Wu, H.L.; Hsu, C.Y.; Liu, W.H.; Yung, B.Y.M. Berberine-induced apoptosis of human leukemia HL-60 cells is associated with down-regulation of nucleophosmin/B23 and telomerase activity. Int. J. Cancer. 1999, 81, 923–929. [Google Scholar] [CrossRef]
- Zhang, L.; Miao, X.-J.; Wang, X.; Pan, H.-H.; Li, P.; Ren, H.; Jia, Y.-R.; Lu, C.; Wang, H.-B.; Yuan, L.; et al. Antiproliferation of berberine is mediated by epigenetic modification of constitutive androstane receptor (CAR) metabolic pathway in hepatoma cells. Sci. Rep. 2016, 6, 28116. [Google Scholar] [CrossRef]
- Salminen, K.A.; Meyer, A.; Jerabkova, L.; Korhonen, L.E.; Rahnasto, M.; Juvonen, R.O.; Imming, P.; Raunio, H. Inhibition of human drug metabolizing cytochrome P450 enzymes by plant isoquinoline alkaloids. Phytomedicine 2011, 18, 533–538. [Google Scholar] [CrossRef] [PubMed]
- Zeng, Y.Z.; Zhong, H.S.; Su, X.D.; Chen, J.M.; Mai, W.T.; Huang, Q.J.; Ye, Y. Chemical constituents, pharmacological effects and clinical applications of Corydalis saxicola Bunting and predictive analysis on quality marker. Chin. J. New Drugs 2023, 32, 1325–1335. [Google Scholar]
- Gong, P.; Long, H.; Guo, Y.; Wang, Z.; Yao, W.; Wang, J.; Yang, W.; Li, N.; Xie, J.; Chen, F. Chinese herbal medicines: The modulator of nonalcoholic fatty liver disease targeting oxidative stress. J. Ethnopharmacol. 2024, 318 Pt B, 116927. [Google Scholar] [CrossRef] [PubMed]
- Wang, T.; Zhao, L.J.; Li, P.; Jiang, H.; Lu, G.C.; Zhang, W.D.; Li, H.L.; Yuan, B.J. Hepatoprotective effects and mechanisms of dehydrocavidine in rats with carbon tetrachloride-induced hepatic fibrosis. J. Ethnopharmacol. 2011, 138, 76–84. [Google Scholar] [CrossRef] [PubMed]
- Vrba, J.; Vrublova, E.; Modriansky, M.; Ulrichova, J. Protopine and allocryptopine increase mRNA levels of cytochromes P450 1A in human hepatocytes and HepG2 cells independently of AhR. Toxicol. Lett. 2011, 203, 135–141. [Google Scholar] [CrossRef] [PubMed]
- Rathi, A.; Srivastava, A.K.; Shirwaikar, A.; Singh Rawat, A.K.; Mehrotra, S. Hepatoprotective potential of Fumaria indica Pugsley whole plant extracts, fractions and an isolated alkaloid protopine. Phytomedicine 2008, 15, 470–477. [Google Scholar] [CrossRef]
- Li, H.T.; Jin, S.Y.; Han, F.; Luo, C.; Xie, G.Y.; Qin, M.J. Pharmacological Action and Mechanism of Yanhuanglian in the Prevention and Treatment of Hepatopathy. Chin. Wild Plant Res. 2022, 41, 51–54. [Google Scholar]
- Xu, Y.T.; Xu, H.F. Research progress of Meconopsis quintuplinervia. Mod. J. Integr. Tradit. Chin. West. Med. 2014, 23, 451–453. [Google Scholar]
- Li, T.B.; Zhou, Y.D. Preliminary study on ‘Cure long cough’ of Papaveris pericarpium Guangming. J. Chin. Med. 2014, 29, 2172–2173. [Google Scholar]
- Tong, J.M.; Guo, X.M.; Shi, Y.H. Study on relieving cough and eliminating phlegm of total alkloid from Chelidonium majus. Chin. J. Hosp. Pharm. 2004, 24, 20–21. [Google Scholar]
- Cao, Y.; Gao, J.; Gao, X.L.; Zhen, J.; Wang, J.; Tu, P.F.; Chai, X.Y. Research progress on alkaloids from genus Dactylicapnos Wall. and their pharmacological activities. Chin. Tradit. Herb. Drugs 2014, 45, 2556–2563. [Google Scholar]
Disclaimer/Publisher’s Note: The statements, opinions and data contained in all publications are solely those of the individual author(s) and contributor(s) and not of MDPI and/or the editor(s). MDPI and/or the editor(s) disclaim responsibility for any injury to people or property resulting from any ideas, methods, instructions or products referred to in the content. |
© 2024 by the authors. Licensee MDPI, Basel, Switzerland. This article is an open access article distributed under the terms and conditions of the Creative Commons Attribution (CC BY) license (https://creativecommons.org/licenses/by/4.0/).











