Abstract
Efficient, low-cost photocatalysts with mild synthesis conditions and stable photocatalytic behavior have always been the focus in the field of photocatalysis. This study proves that non-quantum-dot Cs2PbI2Cl2-based materials, created by a simple method, can be successfully employed as new high-efficient photocatalysts. The results demonstrate that two-dimensional Cs2PbI2Cl2 perovskite can achieve over three times higher photocatalytic performance compared to three-dimensional CsPbBr3 perovskite. Moreover, the photocatalytic performance of Cs2PbI2Cl2 can be further improved by constructing a heterojunction structure, such as Cs2PbI2Cl2/CsPbBr3. Cs2PbI2Cl2 can connect well with CsPbBr3 through a simple method, resulting in tight bonding at the interface and efficient carrier transfer. Cs2PbI2Cl2/CsPbBr3 exhibits notable 5-fold and 10-fold improvements in photocatalytic performance and rate compared to CsPbBr3. Additionally, Cs2PbI2Cl2/CsPbBr3 demonstrates superb stable catalytic performance, with nearly no decrease in photocatalytic performance after 7 months (RH = 20% ± 10, T = 25 °C ± 5). This study also reveals that the photocatalytic process based on Cs2PbI2Cl2/CsPbBr3 can directly oxidize organic matter using holes, without relying on the generation of intermediate reactive oxygen species from water or oxygen (such as ·OH or ·O2−), showcasing further potential for achieving high photocatalytic efficiency and selectivity in anhydrous/anaerobic catalytic reactions and treating recalcitrant pollutants.
1. Introduction
Currently, non-metallic and metal oxide (sulfide) semiconductor materials are selected as the most commonly used photocatalysts in the photocatalysis field [1,2]. For these photocatalysts, a high-temperature annealing process is usually required, and the wide band gap for the most efficient oxide materials only allows them to be effectively used in the ultraviolet light range [3]. In addition, proper control of the nanoparticle size is also necessary. For example, the titanium dioxide (TiO2) particles should be controlled at the 10–30 nm level to ensure a high specific surface area for achieving high photocatalytic performance [4]. Moreover, superoxide anions or hydroxyl intermediate radicals are usually required to ensure the smooth progress of the photocatalytic process driven by these oxide catalysts, the performance of which often depends on the level of dissolved oxygen concentration or water molecules [5]. In the photocatalysis field, the development of new photocatalysts with a high efficiency, low cost, easy synthesis, non-dependence of intermediate active radicals, and stable photocatalytic behavior has always been a focus of photocatalytic studies [6].
Due to their outstanding photophysical characteristics, perovskite materials have emerged as an effective light-absorbing layer for solar cells, and their solar cells can achieve a photoelectric conversion efficiency of over 26% [7]. As suitable candidates for efficient photocatalysts, the prime characteristics of photo-generated carriers and the transmission of carriers are effective [8,9]. Among perovskites, the cesium lead bromide (CsPbBr3) perovskite with the suitable tolerance factor of 0.82 is well maintained as the perovskite structure [10,11,12,13]. Recently, some attempts have been made to use CsPbBr3 nanocrystals in the form of quantum dots as different kinds of photocatalysts. During organic reactions, the CsPbBr3 quantum dot, when used as a catalyst, has been identified to accelerate bond formations, with a high yield [14]. As a useful organic pollutant degradation photocatalyst, the CsPbBr3 quantum dot can effectively degrade the organic compound of 2-Mercaptobenzothiazole [15]. Additionally, the construction of CsPbBr3 -based heterostructures, such as CsPbBr3/TiO2, has been adopted to reduce the nonradiative recombination of carriers, ultimately improving the photocatalytic performance of CsPbBr3 [16,17].
To date, studies on CsPbBr3 or its heterostructure photocatalysts mainly focus on the CsPbBr3 quantum dot due to its improved stability and quantum size effect [18,19,20,21,22]. Nevertheless, the preparation of quantum dots often involves issues with the cost of preparation and controlling the yield of the high-quantity nanocrystals [23,24,25,26]. Additionally, most heterojunction-structured CsPbBr3 photocatalysts are still involved with a high-temperature preparation process (>300 °C) due to high-temperature-annealed materials, such as TiO2 [27]. Meanwhile, there are some problems, such as the fact that the surface ligands of quantum dots, such as oleyl amine and oleic acid, can eliminate the holes contributing to the photocatalytic processes, or unwanted or uncontrolled photoreactions can occur, ultimately leading to deceased perovskite stability and limited photocatalytic performance [28]. To face these issues, it is valuable to further explore new-structured and new-type perovskites for photocatalytic applications.
In this study, non-quantum-dot, Cs2PbI2Cl2-based perovskite materials were investigated as new-type photocatalysts for efficient hole-driven photocatalytic applications. The results indicate that these photocatalysts can be easily obtained at low temperatures (140 °C) by a simple solution method. Compared with CsPbBr3, Cs2PbI2Cl2 photocatalysts can achieve 3-fold and 7-fold improvements in photocatalytic performance and rate. Moreover, by constructing the Cs2PbI2Cl2/CsPbBr3 heterostructure structure, due to the tight bonding of interface and suitable valence band, the photocatalytic performance and rate can be further increased by 5 times and 10 times. Additionally, Cs2PbI2Cl2/CsPbBr3 photocatalysts show excellent photocatalytic stability, with almost no decrease in photocatalytic performance after 7 months in the air and after cyclic catalytic tests. Additionally, the results also reveal that the photocatalytic process based on Cs2PbI2Cl2/CsPbBr3 can be directly driven by holes, without relying on the generation of intermediate reactive oxygen species generated from water or oxygen (such as ·OH or ·O2−), which exhibit further potential for achieving the high photocatalytic efficiency and selectivity.
2. Results and Discussion
In this study, perovskite photocatalysts were synthesized by a simple solution evaporation method. The details of these processes are shown in the Supplementary Materials. The schematic of preparation for CsPbBr3, Cs2PbI2Cl2 and Cs2PbI2Cl2/CsPbBr3 perovskite photocatalysts is shown in Figure 1. Taking Cs2PbI2Cl2/CsPbBr3 as an example, CsCl and PbI2 (molar ratio of 2:1) are added to dimethyl sulfoxide (DMSO) to prepare the solution, and the pre-prepared non-quantum-dot CsPbBr3 crystals are subsequently dropped into the solution. The Cs2PbI2Cl2/CsPbBr3 photocatalyst can be created by evaporating the solution at a temperature of 140 °C.
Figure 1.
The schematic of preparation for CsPbBr3, Cs2PbI2Cl2, and mixed-dimensional Cs2PbI2Cl2/CsPbBr3 perovskite photocatalyst.
The XRD measurement was used to detect the crystal structure obtained by the solution evaporation method. As shown in Figure 2a, the diffraction peaks at 2θ = 15.21°, 21.49°, 26.34°, 30.37°, and 34.19° corresponded to the (001), (110), (111), (002), and (210) crystal planes of CsPbBr3 perovskite, comprising the standard cards of CsPbBr3 perovskite (PDF # 18-036). The XRD patterns of Cs2PbI2Cl2 and mixed-dimensional Cs2PbI2Cl2/CsPbBr3 perovskite are shown in Figure 2b. The diffraction peaks of XRD patterns at 2θ = 9.07°, 21.77°, 27.60°, and 32.35° correspond to the (002), (110), (105), and (202) crystal planes of Cs2PbI2Cl2, which is consistent with our early research. The XRD pattern of mixed compounds is shown in Figure 2b. As demonstrated by the comparison of XRD patterns in Figure S1, the characteristic diffraction peaks representative of Cs2PbI2Cl2 and CsPbBr3 in the Cs2PbI2Cl2/CsPbBr3 compounds shift towards lower and higher angles, respectively. This indicates that the partial substitution of Cl in CsPbBr3 and Br in Cs2PbI2Cl2 may have occurred during the synthesis of Cs2PbI2Cl2/CsPbBr3 compounds.
Figure 2.
(a,b) The XRD patterns of CsPbBr3, Cs2PbI2Cl2, and Cs2PbI2Cl2/CsPbBr3 crystals.
To observe the CsPbBr3, Cs2PbI2Cl2, and mixed-dimensional Cs2PbI2Cl2/CsPbBr3 crystals, scanning electron microscopy (SEM) was performed. It can be observed that the CsPbBr3 crystals have a bulk shape (Figure 3a), and the Cs2PbI2Cl2 crystals display a sheet-like accumulation (Figure 3b). After combining the two types of crystals, it was detected that the crystals had a clear sheet-like shape, but the CsPbBr3 crystals were not clearly observed (Figure 3c). To further identify the combination of two crystals, high-resolution transmission electron microscopy (HRTEM) was used. As observed from the results (Figure S2a,b), it can be seen that the Cs2PbI2Cl2/CsPbBr3 crystals have a platelike shape, and the dark spots are distributed on the plane of platelike crystals. The lattice fringes observed from the microregion of Cs2PbI2Cl2/CsPbBr3 crystal (Figure 3d) displayed interplanar d-spacings of 2.88 Å and 4.07 Å (Figure 3e), which was consistent with the lattice parameters of the (200) and (110) planes for the two-dimensional Cs2PbI2Cl2 crystal. Meanwhile, the interplanar d-spacings of 2.97 Å for the (200) plane of the CsPbBr3 crystal were also observed from the TEM pattern shown on the right side of Figure 3e. The lattice misfit values of (200) of Cs2PbI2Cl2 and (200) of CsPbBr3 were calculated using δ = (d(200)2D-d(200)3D)/d(200)3D (Figure 3f). The lattice misfit value was calculated as 3% (<5%), which conveniently formed the coherent interface between the different crystal structures according to the semi-coherent dislocation theory [29,30]. The small difference in the d-spacings of two crystals implies the small interfacial energy between (200) of Cs2PbI2Cl2 and (200) of CsPbBr3, which is beneficial for their connection. As a result, the interface of Cs2PbI2Cl2 and CsPbBr3 structures showed a tight connection, and the lattice structures displayed a smooth transition from the (200) of Cs2PbI2Cl2 to (200) of CsPbBr3 (Figure 3e,f). Such a tight connection and smooth transition at the interface between Cs2PbI2Cl2 and CsPbBr3 would effectively reduce the interface carrier transport barrier and facilitate the smooth transmission of photocarriers, thereby reducing the probability of non-radiative recombination and helping to achieve a high photocatalytic performance. As evidenced by XRD and HRTEM results, the Cs2PbI2Cl2/CsPbBr3 mixed-dimensional heterojunction crystal was successfully obtained through a simple solution process.
Figure 3.
SEM images of (a) CsPbBr3, (b) Cs2PbI2Cl2, and (c) Cs2PbI2Cl2/CsPbBr3 catalysts; (d) HRTEM results of Cs2PbI2Cl2/CsPbBr3 photocatalyst crystals; (e) The partial area enlarged pattern extracted from (d); and (f) schematic diagram of crystal structure arrangement of Cs2PbI2Cl2/CsPbBr3 and the lattice compatibility.
The optical absorption range and bandgap widths of the CsPbBr3, Cs2PbI2Cl2 and Cs2PbI2Cl2/CsPbBr3 heterojunction crystalline materials were assessed using ultraviolet-visible absorption spectroscopy (UV–Vis) and ultraviolet–visible diffuse reflectance spectroscopy (UV–Vis DRS). The UV–Vis results revealed that the absorption cutoff edge of CsPbBr3 at approximately 560 nm, while the presence of CsPbBr3 extends the cutoff edge of Cs2PbI2Cl2/CsPbBr3 from 460 nm (Cs2PbI2Cl2) to around 500 nm (Figure 4a). By fitting curves using the Tauc Plot method in the UV–Vis DRS test, the bandgaps of CsPbBr3, Cs2PbI2Cl2, and Cs2PbI2Cl2/CsPbBr3 crystalline materials were determined to be 2.24 eV, 2.87 eV, and 2.54 eV, respectively (Figure 4b).
Figure 4.
(a) UV–Vis and (b) UV–Vis DRS results of CsPbBr3, Cs2PbI2Cl2, and Cs2PbI2Cl2/CsPbBr3 photocatalysts.
To evaluate the photocatalytic performance of the CsPbBr3, Cs2PbI2Cl2 and Cs2PbI2Cl2/CsPbBr3 as photocatalysts, the representative organic pollutant Rhodamine B was selected as the standard material. Additionally, the change in the absorbance of the Rhodamine B solution under the simulated sunlight illumination (AM 1.5 G) was used to judge the photocatalytic performances (Figure 5a, where C0, A0, C, and A represent the concentration and absorbance before and after degradation, respectively). The results of sampling every 2 min displayed that, without any photocatalyst, the organic matter showed no decomposition after 10 min under the light exposure. For the CsPbBr3-catalyzed case, only a ~10% and ~20% degradation of organic matter occurred during the relatively high catalytic rate stage after 2 and 4 min. In contrast, the Cs2PbI2Cl2 catalyst degraded 36.4 and 67.8% of the organic matter within the same time, which showed that the improvement in performance was at least triple. Impressively, Cs2PbI2Cl2/CsPbBr3 degraded 81.8% and 97.3% of the organic matter after 2 and 4 min, and all organic matter was degraded within 6 min. Although the UV–Vis results showed that Cs2PbI2Cl2 and Cs2PbI2Cl2/CsPbBr3 possessed a narrower light absorption range compared to CsPbBr3, they could exhibit an improvement in photocatalytic performance of 3–8 times.
Figure 5.
(a) Photocatalytic performance tests of CsPbBr3, Cs2PbI2Cl2, and Cs2PbI2Cl2/CsPbBr3 photocatalysts; (b) UV−Vis absorption of organic solution without and with catalysis by CsPbBr3, Cs2PbI2Cl2, and Cs2PbI2Cl2/CsPbBr3 after 4 min; (c) reaction rates of CsPbBr3, Cs2PbI2Cl2, and Cs2PbI2Cl2/CsPbBr3 fitted by using first−order kinetics.
This enhancement in performance could also be deduced from the UV–Vis results after 4 min (Figure 5b). The solution catalyzed by CsPbBr3 exhibited strong absorption peaks of organic matter, while the Cs2PbI2Cl2-based solution showed an evident decrease in absorption peaks, and the Cs2PbI2Cl2/CsPbBr3-based solution showed very weak absorption peaks. Furthermore, the degradation rates of the samples were simulated using first-order kinetics, as shown in Figure 5c. According to the simulating results, the degradation rate of CsPbBr3 was 0.089 min−1. In contrast, the degradation rates for Cs2PbI2Cl2 and the Cs2PbI2Cl2/CsPbBr3 heterojunction structure could reach 0.600 min−1 and 0.863 min−1, exhibiting almost a 7–10 times higher photocatalytic rate. In order to better estimate Cs2PbI2Cl2-based photocatalytic performance, the TiO2 with a 20 nm particle size possessing a relatively high catalytic performance and CsPbBr3 were selected to construct the heterojunction photocatalyst for comparison (Figure S4). It can be observed that within 4 min, 35% of the organic matter was not catalyzed by the TiO2/CsPbBr3 photocatalyst, and all the organic matter could not be completely catalyzed by TiO2/CsPbBr3 after 10 min. Meanwhile, all Rhodamine B was degraded by the Cs2PbI2Cl2-based photocatalysts within 6–10 min, which implied a high-efficient photocatalytic performance of Cs2PbI2Cl2-based photocatalysts, especially for the Cs2PbI2Cl2/CsPbBr3 heterojunction photocatalyst.
Furthermore, the photogenerated carrier transfer characteristics of the Cs2PbI2Cl2/CsPbBr3 heterojunction crystals were explored through X-ray photoelectron spectroscopy (XPS) and steady-state photoluminescence (PL) measurement. The XPS measurements (Figure 6a) show that the valence band maximum (EVB) for Cs2PbI2Cl2 and CsPbBr3 are at 1.84 eV and 1.07 eV, which suggests that a suitable band offset exists between Cs2PbI2Cl2 and CsPbBr3 perovskite. As observed from PL measurements (Figure 6b), compared to the fluorescence peak of CsPbBr3, the peak of the Cs2PbI2Cl2/CsPbBr3 heterojunction exhibited a significant increase in fluorescence intensity. This means that the non-radiative recombination of photogenerated carriers in Cs2PbI2Cl2/CsPbBr3 were more effectively reduced, which was beneficial for providing more active electrons and holes to improve photocatalytic efficiency.
Figure 6.
(a) XPS, (b) PL, (c) EIS and (d) transient photocurrent response measurements of CsPbBr3 and Cs2PbI2Cl2 photocatalysts.
To identify carrier mobility, electrochemical impedance spectroscopy (EIS) tests were performed. The results show that the Cs2PbI2Cl2/CsPbBr3 powder exhibited a smaller radius of curvature compared to CsPbBr3 powder (Figure 6c) and TiO2/CsPbBr3 powder (Figure S5a). This indicates that the Cs2PbI2Cl2/CsPbBr3 powder heterojunction material possesses lower carrier transfer resistance, facilitating more rapid and efficient carrier transfer. The results from transient photocurrent response tests demonstrated that the Cs2PbI2Cl2/CsPbBr3 heterojunction could generate a higher current density than that of CsPbBr3 (Figure 6d) and TiO2/CsPbBr3 (Figure S5b), further proving the advantage of Cs2PbI2Cl2/CsPbBr3 heterostructure in carrier transfer and transport. When analyzing our previous research, the high photocatalytic performance of Cs2PbI2Cl2/CsPbBr3 should be attributed to the reduced non-radiative recombination, the tight connection of heterojunction structure interface (Figure 3), and the matched energy level (Figure 6a). The rapid and efficient carrier transfer will reduce the probability of non-radiative recombination of holes and electrons, thereby facilitating the participation of more photo-generated active electrons and holes in accelerating photocatalytic processes.
To further our understanding of the photocatalytic mechanisms generated by the Cs2PbI2Cl2/CsPbBr3, free radical capture experiments were conducted (Figure 7a). Methanol (MT), isopropanol (IPA), and p-benzoquinone (p-BQ) were adopted as the holes (h+), and hydroxyl radicals (·OH) and superoxide radicals (·O2−) were adopted as free radical scavengers, which usually participate in the photocatalytic process [31,32]. According to the results, it could be seen that after 4 min, the degradation rates of organic matter were decreased from 97.3% to 93.8% and 94.4%, respectively, after the addition of IPA and p-BQ scavengers, which showed no significant effect on the degradation processes. This indicated that ·OH and ·O2− were not the primary active species in the photocatalytic reaction driven by Cs2PbI2Cl2/CsPbBr3. When MT was added, the degradation rate was significantly decreased to 5.2%, successfully inhibiting the degradation process. Therefore, in the photocatalytic process driven by Cs2PbI2Cl2/CsPbBr3, the h+ should play the crucial role in the degradation of organic matters.
Figure 7.
(a) Free radical capture tests for Cs2PbI2Cl2 photocatalysts; (b,c) ESR for ·O2− generation and h+ generation for Cs2PbI2Cl2 photocatalysts; and (d) schematic diagram of Cs2PbI2Cl2 photocatalytic mechanism of organic matters.
Moreover, electron spin resonance (ESR) tests were further performed to validate the crucial role of h+ and ·O2− formed by oxygen/electronics during the photocatalytic processes driven by Cs2PbI2Cl2/CsPbBr3. In the electron spin resonance detection of ·O2− generated from electronics, as shown in Figure 7b, no ESR fluctuation signal appeared under dark conditions and after 5 min of illumination, suggesting that ·O2− was indeed not an active radical species participating in the photocatalytic process. This means that the dissolved oxygen in solution is not an essential requirement to ensure that ·O2− drives the Cs2PbI2Cl2/CsPbBr3-based photocatalytic process. To validate the role of photogenerated h+, the 2,2,6,6-tetramethylpiperidinooxy (TEMPO) additive was chosen as the capture agent (Figure 7c). As evidenced by the results, under the dark conditions, a high signal peak of TEMPO was detected. When the Cs2PbI2Cl2/CsPbBr3 heterojunction material generated h+ under illumination for 5 min, the h+ neutralized with TEMPO, resulting in a significant decrease in the TEMPO signal. These results indicate that the generation of h+ is the main factor affecting the photocatalytic reaction driven by Cs2PbI2Cl2/CsPbBr3 (Figure 7d). Hence, the dissolved oxygen and water molecules are not necessary to form the ·O2− and ·OH intermediate active radicals that guarantee the proceeding of the photocatalytic process. For the hole-driven photocatalytic processes of Cs2PbI2Cl2/CsPbBr3, it can provide a high-efficient photocatalytic performance due to avoiding energy loss, benefiting from the absence of the need to form ·O2− and ·OH intermediate radicals. Meanwhile, the hole-direct-driven catalytic process of Cs2PbI2Cl2-based photocatalysts usually has a high oxidation capacity and exhibits a reduction in side reactions, which are very suitable for treating recalcitrant pollutants or the catalytic applications of anhydrous and anaerobic organic chemical reactions.
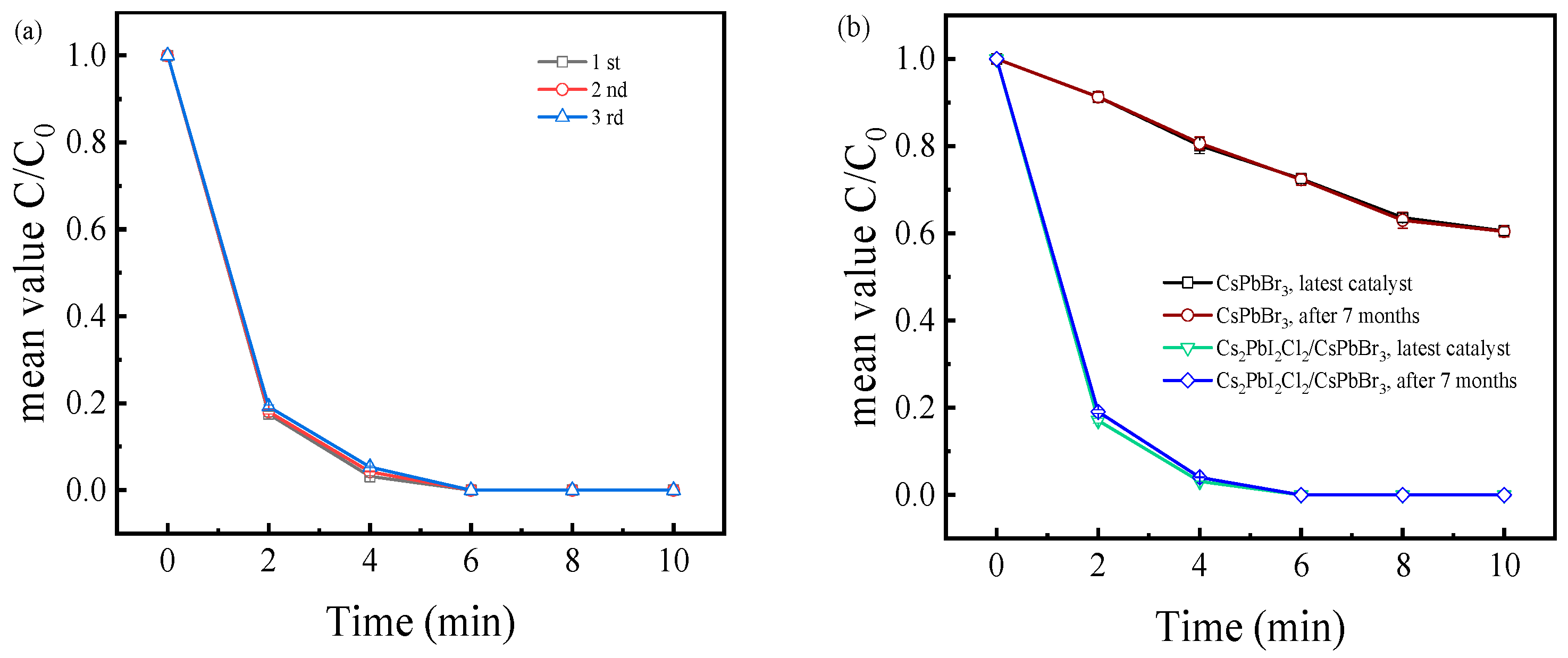
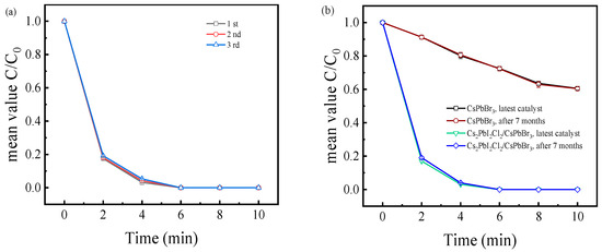
Furthermore, the Cs2PbI2Cl2/CsPbBr3 photocatalyst was proven to possess an excellent photocatalytic stability. The performance stability of the Cs2PbI2Cl2/CsPbBr3 photocatalyst was evaluated through the cyclic catalytic performance and environmental stability tests. The results of the cyclic tests showed that after three cycles, the performance of the Cs2PbI2Cl2/CsPbBr3 photocatalyst only exhibited minor changes within the time period of 2 to 6 min, but the entire catalytic process was still completed within 6 min (Figure 8a). Meanwhile, attributed to the template stabilization effect of stable two-dimensional Cs2PbI2Cl2 perovskite structured on three-dimensional CsPbBr3 structures, the catalytic performance showed almost no change after the catalyst was placed in normal storage environment (RH = 20% ± 10, T = 25 °C ± 5) for 7 mouths (>5000 h) (Figure 8b). This shows that durable high-catalytic-efficiency characteristics are more suitable for the application of organic chemical catalytic reactions. To further identify the stability, accelerated aging tests were performed (RH= 60%) (Figure S6). After 3 months, a notable attenuation occurred in the reaction rate of CsPbBr3-based photocatalytic processes (Figure S6), which decreased from 0.089 min−1 to 0.045 min−1 (attenuation rate: 49.4%; Figure S7). The stability of Cs2PbI2Cl2/CsPbBr3 exhibited a significant improvement. The reaction rate of Cs2PbI2Cl2/CsPbBr3-based photocatalytic processes decreases from 0.863 to 0.669 (attenuation rate: 22.4%; Figure S7), and Cs2PbI2Cl2/CsPbBr3 could still complete all of the catalytic reaction within 6–8 min (Figure S6).
Figure 8.
(a) The cyclic recirculation catalytic performance and (b) environmental stability tests for Cs2PbI2Cl2/CsPbBr3 catalysts.
3. Conclusions
In conclusion, the non-quantum-dot, Cs2PbI2Cl2-based perovskites created using our efficient method are proven to be new-type high-efficient photocatalysts. The catalytic performance of Cs2PbI2Cl2 is three times better than that of the single CsPbBr3 photocatalyst, and its catalytic rate is seven times higher. The results confirm that the two-dimensional Cs2PbI2Cl2 and CsPbBr3 may be effectively coupled to create a tightly connected and smoothly transitioning heterojunction structure using a simple method. The tight bonding of the interface and suitable valence band maximum of Cs2PbI2Cl2/CsPbBr3 result in the efficient transfer of carriers and the promotion of photocatalytic process. The photocatalytic performance can be enhanced even further, resulting in a 5-fold and 10-fold increase in catalytic performance and rate. Moreover, Cs2PbI2Cl2/CsPbBr3 can maintain its excellent photocatalytic performance after long-term environmental tests (>5000 h).
Furthermore, it has been observed that these photocatalysts exhibit exceptional photocatalytic efficiency, as they are capable of directly oxidizing organic substances by the action of h+ ions without the need for the production of intermediary reactive oxygen species derived from water or oxygen (such as ·OH or ·O2−). Directly harnessing holes for oxidation processes can streamline the steps involved in generating reactive oxygen species, effectively minimizing potential energy waste and the formation of reaction by-products. The utilization of hole-driven photocatalytic processes is crucial for enhancing the efficiency and selectivity of photocatalytic reactions. Meanwhile, in this photocatalytic process, the strong direct oxidation capacity of h+ makes Cs2PbI2Cl2-based photocatalysts exceptionally effective in treating difficult-to-degrade pollutants. Such applications amply warrant further exploration and research. In summary, this study presents a simple and attainable method to produce catalyst crystals based on Cs2PbI2Cl2, which are not quantum dots. The study also showcases the promising capabilities of these crystals as efficient and long-lasting photocatalysts driven by holes.
Supplementary Materials
The following supporting information can be downloaded at: https://www.mdpi.com/article/10.3390/molecules29143249/s1. Figure S1: XRD patterns of CsPbBr3, Cs2PbI2Cl2, and Cs2PbI2Cl2/CsPbBr3 crystals; Figure S2: (a), (b) and (c) HRTEM images of Cs2PbI2Cl2/CsPbBr3 photocatalysts; Figure S3: (a) UV-vis absorption of organic solution without and with being catalyzed by CsPbBr3, Cs2PbI2Cl2 and Cs2PbI2Cl2/CsPbBr3 after 2 min (b) After 4 min (c) After 8 min (d) After 10 min; Figure S4: Photocatalytic performance tests of Cs2PbI2Cl2/CsPbBr3 and TiO2/CsPbBr3 photocatalysts; Figure S5: (a) EIS measurements of Cs2PbI2Cl2/CsPbBr3 and TiO2/CsPbBr3 photocatalysts, (b) transient photocurrent response tests of Cs2PbI2Cl2/CsPbBr3 and TiO2/CsPbBr3 photocatalysts; Figure S6: Accelerated aging testing of Cs2PbI2Cl2/CsPbBr3 and CsPbBr3 photocatalysts; Figure S7: Reaction rates of Cs2PbI2Cl2/CsPbBr3 and CsPbBr3-based photocatalytic processes fitted by using pseudo-first-order kinetics after accelerated aging tests.
Author Contributions
X.H.: Data curation, formal analysis, methodology, resources. K.L.: Data curation, formal analysis, investigation. W.Z.: Data curation, formal analysis, writing—original. Z.L.: Formal analysis, funding acquisition, supervision. H.Z.: Data curation, formal analysis, investigation, validation, writing—review and editing. All authors have read and agreed to the published version of the manuscript.
Funding
College of Metallurgy and Energy young teachers pre research fund project (RN20244350).
Institutional Review Board Statement
Not applicable.
Informed Consent Statement
Not applicable.
Data Availability Statement
The raw data supporting the conclusions of this article will be made available by the authors on request.
Acknowledgments
This study was supported by grants from the National Natural Science Foundation of China (No. 52102247), Natural Science Foundation of Hebei Province (No. F2022209010), Tangshan Science and Technology Planning Project (No. 21130207C) North China University of Technology Young Talent Lifting Program (QNTJ202204) and Hebei Province Higher Education Scientific Research Project Young & Elite Talent Project (BJK2024155).
Conflicts of Interest
The authors declare no conflict of interest.
References
- Pastor, E.; Sachs, M.; Selim, S.; Durrant, J.R.; Bakulin, A.A.; Walsh, A. Electronic Defects in Metal Oxide Photocatalysts. Nat. Rev. Mater. 2022, 7, 503–521. [Google Scholar] [CrossRef]
- Gautam, S.; Agrawal, H.; Thakur, M.; Akbari, A.; Sharda, H.; Kaur, R.; Amini, M. Metal Oxides and Metal Organic Frameworks for the Photocatalytic Degradation: A Review. J. Environ. Chem. Eng. 2020, 8, 103726. [Google Scholar] [CrossRef]
- Krishnan, A.; Swarnalal, A.; Das, D.; Krishnan, M.; Saji, V.S.; Shibli, S.M.A. A Review on Transition Metal Oxides Based Photocatalysts for Degradation of Synthetic Organic Pollutants. J. Environ. Sci. 2024, 139, 389–417. [Google Scholar] [CrossRef] [PubMed]
- Ryu, J.; Park, D.; Hahn, B.; Choi, J.; Yoon, W.; Kim, K.; Yun, H. Photocatalytic TiO2 Thin Films by Aerosol-Deposition: From Micron-Sized Particles to Nano-Grained Thin Film at Room Temperature. Appl. Catal. B-Environ. 2008, 83, 1–7. [Google Scholar] [CrossRef]
- Parrino, F.; Livraghi, S.; Giamello, E.; Ceccato, R.; Palmisano, L. Role of Hydroxyl Superoxide and Nitrate Radicals on the Fate of Bromide Ions in Photocatalytic TiO2 Suspensions. ACS Catal. 2020, 10, 7922–7931. [Google Scholar] [CrossRef]
- Zhu, B.; Sun, J.; Zhao, Y.; Zhang, L.; Yu, J. Construction of 2D S-Scheme Heterojunction Photocatalyst. Adv. Mater. 2023, 36, 2310600. [Google Scholar] [CrossRef]
- NREL. Best Research Cell Efficiency Records. Available online: https://www.nrel.gov/pv/cell-efficiency.html (accessed on 1 April 2024).
- Feng, J.; Mak, C.H.; Yu, L.; Han, B.; Shen, H.; Santoso, S.P.; Yuan, M.; Li, F.; Song, H.; Colmenares, J.C.; et al. Structural Modification Strategies Interfacial Charge-Carrier Dynamics and Solar Energy Conversion Applications of Organic-Inorganic Halide Perovskite Photocatalysts. Small Methods 2024, 8, 2300429. [Google Scholar] [CrossRef]
- Huang, Y.; Yu, J.; Wu, Z.; Li, B.; Li, M. All-Inorganic Lead Halide Perovskites for Photocatalysis: A Review. RSC Adv. 2024, 14, 4946–4965. [Google Scholar] [CrossRef]
- Mathuri, A.; Pal, B.; Pramanik, M.; Manna, A.; Mal, P. Enhancing the Photocatalytic Efficiency and Stability of CsPbBr3 Nanocrystals for Visible-Light Driven Aerobic Diaryl Thio/Seleno Etherification. Catal. Sci. Technol. 2024, 14, 183–189. [Google Scholar] [CrossRef]
- Song, W.; Chong, K.C.; Qi, G.; Xiao, Y.; Chen, G.; Li, B.; Tang, Y.; Zhang, X.; Yao, Y.; Lin, Z.; et al. Unraveling the Transformation from Type-II to Z-Scheme in Perovskite-Based Heterostructures for Enhanced Photocatalytic CO2 Reduction. J. Am. Chem. Soc. 2024, 146, 3303–3314. [Google Scholar] [CrossRef]
- Gao, S.; Wang, B.; Chen, F.; He, G.; Zhang, T.; Li, L.; Li, J.; Zhou, Y.; Feng, B.; Mei, D.; et al. Confinement of CsPbBr3 Perovskite Nanocrystals into Extra-Large-Pore Zeolite for Efficient and Stable Photocatalytic Hydrogen Evolution. Angew. Chem. Int. Ed. 2024, 63, e202319996. [Google Scholar] [CrossRef] [PubMed]
- Cai, Y.; Luo, Q.; Jiang, Q.; Liu, X.; Chen, X.; Liu, J.; Mao, X.; Qi, J.; Liang, R.; Qiu, J. Hydrogen-Bonded Cocrystals Encapsulating CsPbBr3 Perovskite Nanocrystals with Enhancement of Charge Transport for Photocatalytic Reduction of Uranium. Small 2024, 20, 2310672. [Google Scholar] [CrossRef]
- Zhu, X.; Lin, Y.; San Martin, J.; Sun, Y.; Zhu, D.; Yan, Y. Lead Halide Perovskites for Photocatalytic Organic Synthesis. Nat. Commun. 2019, 10, 2843. [Google Scholar] [CrossRef] [PubMed]
- Cardenas Morcoso, D.; Gualdron Reyes, A.F.; Ferreira Vitoreti, A.B.; Garcia Tecedor, M.; Yoon, S.J.; De La Fuente, M.S.; Mora Sero, I.; Gimenez, S. Photocatalytic and Photoelectrochemical Degradation of Organic Compounds with All-Inorganic Metal Halide Perovskite Quantum Dots. J. Phys. Chem. Lett. 2019, 10, 630–636. [Google Scholar] [CrossRef] [PubMed]
- Jiang, Y.; Chen, H.; Li, J.; Liao, J.; Zhang, H.; Wang, X.; Kuang, D. Z-Scheme 2D/2D Heterojunction of CsPbBr3/Bi2WO6 for Improved Photocatalytic Co2 Reduction. Adv. Funct. Mater. 2020, 30, 2004293. [Google Scholar] [CrossRef]
- Liu, W.; Liu, J.; Wang, X.; He, J.; Li, Y.; Liu, Y. Synthesis of Asymmetrical CsPbBr3/TiO2 Nanocrystals with Enhanced Stability and Photocatalytic Properties. Catalysts 2023, 13, 1048. [Google Scholar] [CrossRef]
- Xu, Y.; Yang, M.; Chen, B.; Wang, X.; Chen, H.; Kuang, D.; Su, C. A CsPbBr3 Perovskite Quantum Dot/Graphene Oxide Composite for Photocatalytic CO2 Reduction. J. Am. Chem. Soc. 2017, 139, 5660–5663. [Google Scholar] [CrossRef]
- Sanjayan, C.G.; Jyothi, M.S.; Balakrishna, R.G. Stabilization of Cspbbr3 Quantum Dots for Photocatalysis Imaging and Optical Sensing in Water And Biological Medium: A Review. J. Mater. Chem. C 2022, 10, 6935–6956. [Google Scholar]
- Rasool, R.T.; Ashraf, G.A.; Pasha, M.; Saleem, M.F.; Ghernaout, D.; Fadhali, M.M.; Guo, H. Nanoscaled MnSnO2@CsPbBr3 Quantum Dots Heterostructure Photocatalyst as Efficient Organic Pollutants Degradation by Peroxymonosulfate; DFT Calculation. J. Mater. Sci. Technol. 2023, 153, 41–55. [Google Scholar] [CrossRef]
- Jiang, H.; Liu, M.; Lian, X.; Zhu, M.; Zhang, F. CsPbBr3 Quantum Dots Promoted Depolymerization of Oxidized Lignin via Photocatalytic Semi-Hydrogenation/Reduction Strategy. Angew. Chem. Int. Ed. 2024, 63, e202318850. [Google Scholar] [CrossRef]
- Zhong, F.; Sheng, J.; Du, C.; He, Y.; Sun, Y.; Dong, F. Ligand-Mediated Exciton Dissociation and Interparticle Energy Transfer on Cspbbr3 Perovskite Quantum Dots for Efficient CO2-To-CO Photoreduction. Sci. Bull. 2024, 69, 901–912. [Google Scholar] [CrossRef] [PubMed]
- Yan, D.D.; Shi, T.C.; Zang, Z.G.; Zhou, T.W.; Liu, Z.Z.; Zhang, Z.Y.; Du, J.; Leng, Y.X.; Tang, X.S. Ultrastable Cspbbr3 Perovskite Quantum Dot and Their Enhanced Amplified Spontaneous Emission by Surface Ligand Modification. Small 2019, 15, 1901173. [Google Scholar] [CrossRef] [PubMed]
- Chen, L.C.; Tien, C.H.; Tseng, Z.L.; Dong, Y.S.; Yang, S.Y. Influence of Pmma on All-Inorganic Halide Perovskite CsPbBr3 Quantum Dots Combined with Polymer Matrix. Materials 2019, 12, 985. [Google Scholar] [CrossRef] [PubMed]
- Liu, Y.; Li, Y.L.; Hu, X.D.; Wei, C.T.; Xu, B.; Leng, J.; Miao, H.B.; Zeng, H.B.; Li, X.M. Ligands for CsPbBr3 Perovskite Quantum Dots: The Stronger the Better? Chem. Eng. J. 2023, 453, 139904. [Google Scholar] [CrossRef]
- Xu, Y.Y.; Niu, P.J.; Zhang, L.; Wen, Z.Y.; Cheng, S.; Lyu, M.; Zhu, J. Tailoring Multifunctional Anions to Inhibit Methanol Absorption on A CsPbBr3 Quantum Dot Surface for Highly Efficient Semi-Transparent Photovoltaics. Nanoscale 2023, 15, 9691–9699. [Google Scholar] [CrossRef] [PubMed]
- Mathews, N.R.; Morales, E.R.; Cortés-Jacome, M.A.; Antonio, J.A.T. TiO2 Thin Films—Influence of Annealing Temperature on Structural Optical and Photocatalytic Properties. Sol. Energy 2009, 83, 1499–1508. [Google Scholar] [CrossRef]
- Landes, C.; Burda, C.; Braun, M.; El-Sayed, M.A. Photoluminescence of CdSe Nanoparticles in the Presence of a Hole Acceptor: N-Butylamine. J. Phys. Chem. B 2001, 105, 2981–2986. [Google Scholar] [CrossRef]
- Akasheh, F.; Karim, M.R.; Shao, S. Dislocation Structure of Cu/Nu (100) Semi-Coherent Interface and Its Role in Lattice Dislocation Nucleation. In Proceedings of the TMS 2015 144th Annual Meeting & Exhibition, Orlando, FL, USA, 15–19 March 2015. [Google Scholar]
- Wang, X.; Zhong, Y.; Wang, D.; Sun, L.; Jiang, B.; Wang, J. Effect of interfacial energy on microstructure of a directionally solidified Al2O3/YAG eutectic ceramic. J. Am. Ceram. Soc. 2018, 101, 1029–1035. [Google Scholar] [CrossRef]
- Zhu, Y.; Xue, J.; Xu, T.; He, G.; Chen, H. Enhanced Photocatalytic Activity of Magnetic Core–shell Fe3O4@Bi2O3–RGO Heterojunctions for Quinolone Antibiotics Degradation under Visible Light. J. Mater. Sci. Mater. Electron. 2017, 28, 8519–8528. [Google Scholar] [CrossRef]
- Ye, L.; Liu, J.; Gong, C.; Tian, L.; Peng, T.; Zan, L. Two Different Roles of Metallic Ag on Ag/AgX/BiOX (X = Cl, Br) Visible Light Photocatalysts: Surface Plasmon Resonance and Z-Scheme Bridge. ACS Catal. 2012, 2, 1677–1683. [Google Scholar] [CrossRef]
Disclaimer/Publisher’s Note: The statements, opinions and data contained in all publications are solely those of the individual author(s) and contributor(s) and not of MDPI and/or the editor(s). MDPI and/or the editor(s) disclaim responsibility for any injury to people or property resulting from any ideas, methods, instructions or products referred to in the content. |
© 2024 by the authors. Licensee MDPI, Basel, Switzerland. This article is an open access article distributed under the terms and conditions of the Creative Commons Attribution (CC BY) license (https://creativecommons.org/licenses/by/4.0/).







