Study on the Preparation and Performance of Silicone-Modified Phenolic Resin Binder for Rail Grinding Wheels
Abstract
1. Introduction
2. Results and Discussion
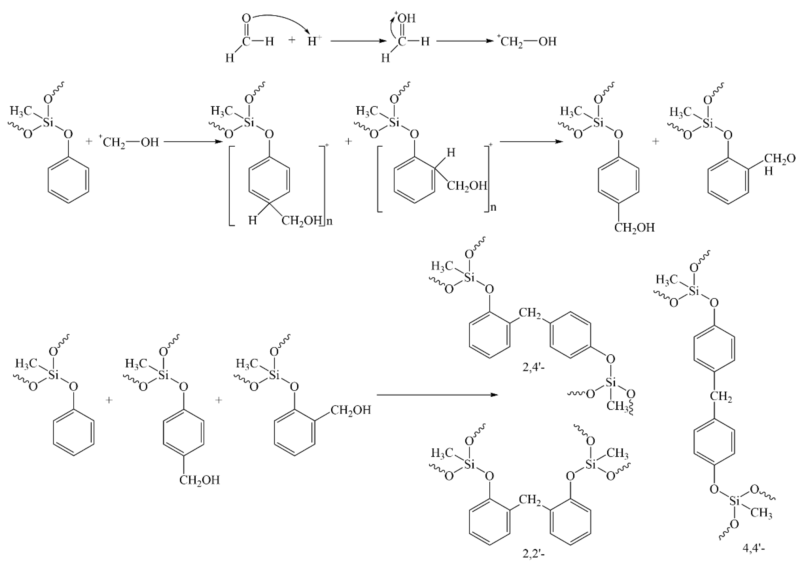
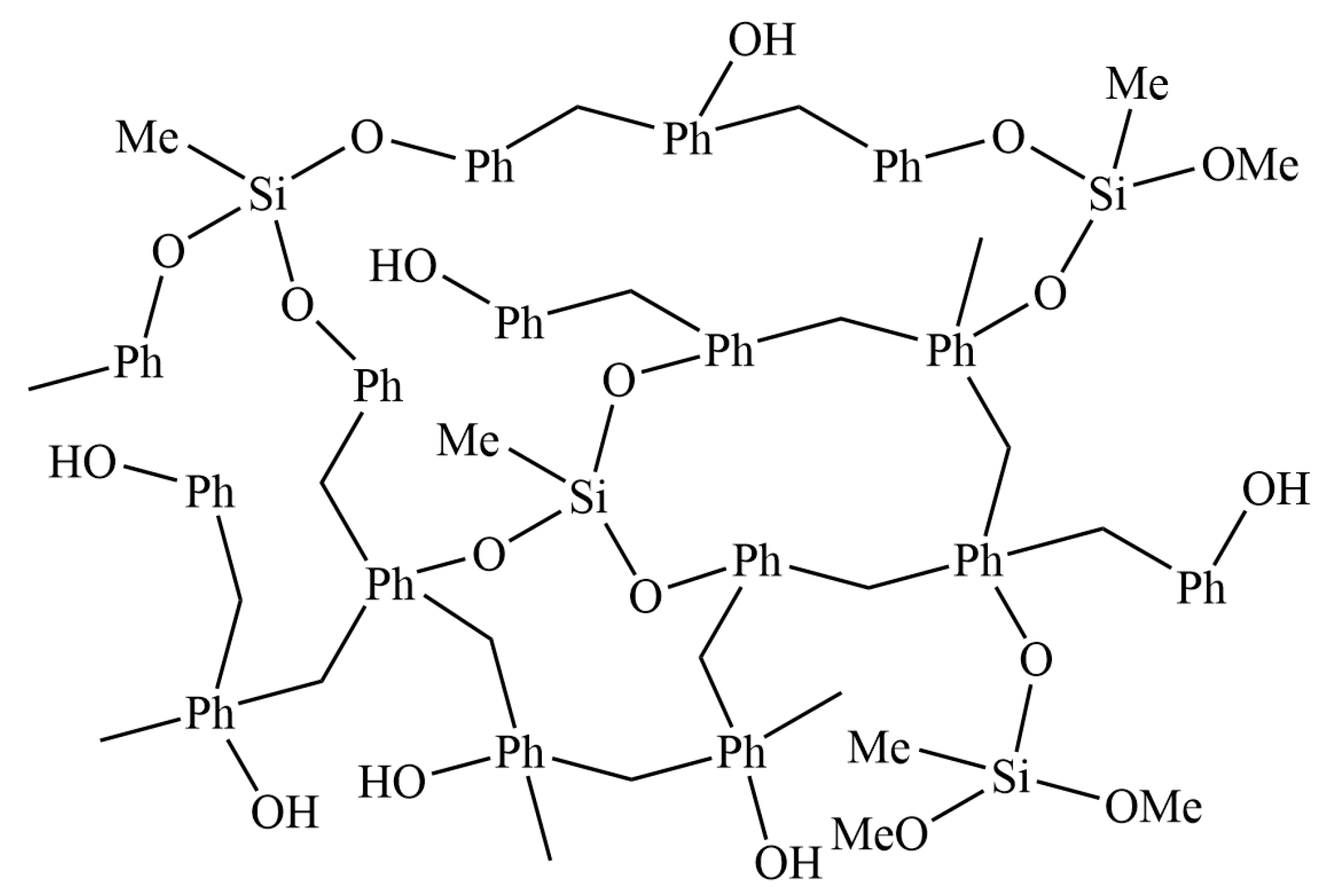
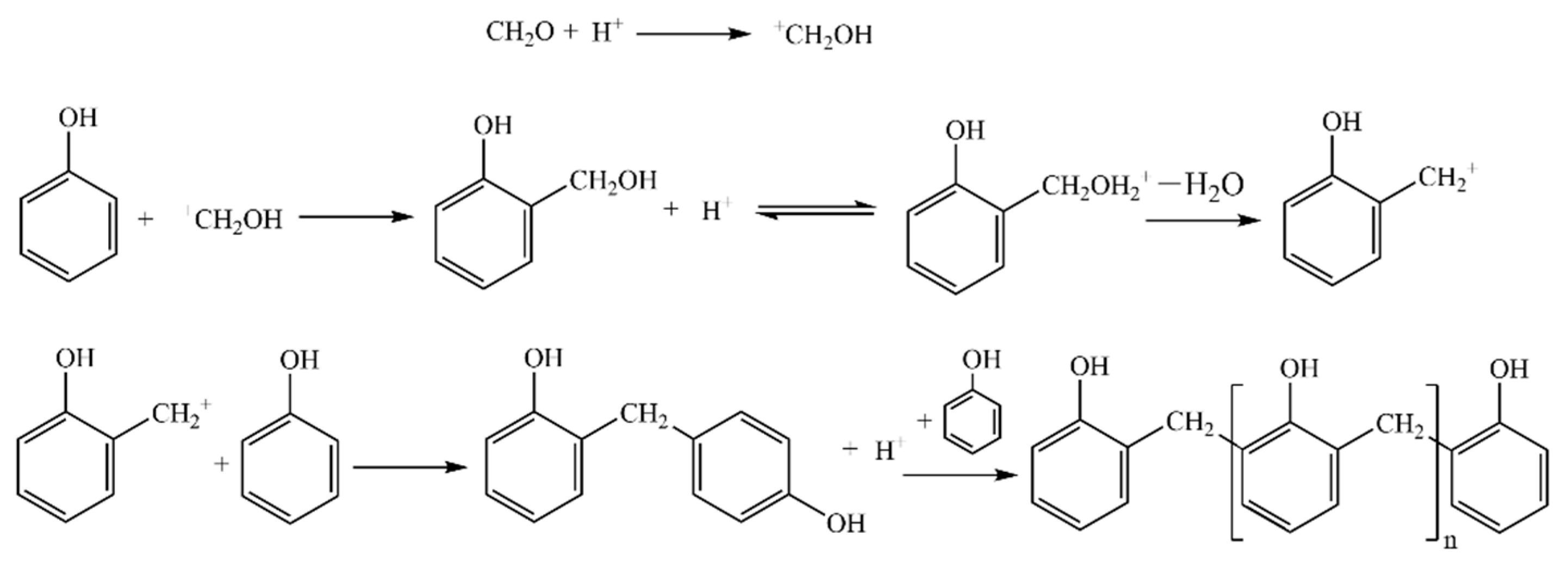
2.1. Synthesis Theory and Infrared Spectral Analysis of the Silicone-Modified Phenolic Resin
2.2. Effect of MTMS Content on Fluidity of the Silicone-Modified Phenolic Resin
2.3. Effect of MTMS Content on Curing Temperature of the Silicone-Modified Phenolic Resin
2.4. Effect of MTMS Content on Thermal Properties of the Silicone-Modified Phenolic Resin
2.5. Effect of MTMS Content on Mechanical Properties of the Silicone-Modified Phenolic Resin
2.6. Grinding Tests on Rail Grinding Wheels Prepared with Silicone-Modified Phenolic Resins with Different MTMS Contents
3. Experiment
3.1. Preparation of Silicone-Modified Phenolic Resin
3.2. Preparation and Curing of Silicone-Modified Phenolic Resin Molded Specimens
3.3. Materials and Characterization
4. Conclusions
- The infrared spectroscopy tests showed that the silicone-modified phenolic resin (SMPR) was synthesized by successively introducing Si-O and Si-C bonds with greater bonding energy in MTMS into the macromolecular chain structure of phenolic resin through transesterification reactions and copolymerization reactions under the catalysis of p-toluenesulfonic acid;
- The fluidity of silicone-modified phenolic resin (SMPR) was between 30 and 60 mm, exhibiting excellent processability;
- Differential scanning calorimeter results indicated that silicone-modified phenolic resin (SMPR) can be fully cured at temperatures greater than 160 °C and that the SMPR has a lower curing temperature than the unmodified conventional phenolic resin (UMPR);
- Thermogravimetric analysis revealed that the thermal stability performance of the MTMS-modified SMPR was superior to that of the UMPR. When the amount of MTMS was 40% of the phenol mass, the thermal weight loss temperature of the synthesized SMPR at 30% weight loss was approximately 66% higher than that of the UMPR, which exhibited the best thermal stability;
- According to the results of mechanical property testing, the bending strength and impact strength of SMPR modified with 40% MTMS were approximately 14% and 6% greater than those of UMPR, suggesting the best mechanical performance;
- The grinding test findings demonstrated that the grinding ratio of rail grinding wheels prepared with 40% MTMS-modified SMPR as a binder was approximately 39.6% higher than that of rail grinding wheels manufactured with UMPR, extending the service life of rail grinding wheels.
Author Contributions
Funding
Data Availability Statement
Conflicts of Interest
Sample Availability
References
- Ma, L.; Guo, J.; Liu, Q.Y.; Wang, W.J. Fatigue crack growth and damage characteristics of high-speed rail at low ambient temperature. Eng. Fail. Anal. 2017, 82, 802–815. [Google Scholar] [CrossRef]
- Grassie, S.L. Rolling contact fatigue on the British railway system: Treatment. Wear 2005, 258, 1310–1318. [Google Scholar] [CrossRef]
- Krishna, V.V.; Hossein-Nia, S.; Casanueva, C.; Stichel, S. Long term rail surface damage considering maintenance interventions. Wear 2020, 460, 203462. [Google Scholar] [CrossRef]
- Cuervo, P.A.; Santa, J.F.; Toro, A. Correlations between wear mechanisms and rail grinding operations in a commercial railroad. Tribol. Int. 2015, 82, 265–273. [Google Scholar] [CrossRef]
- Zhou, K.; Ding, H.H.; Wang, W.J.; Wang, R.X.; Guo, J.; Liu, Q.Y. Influence of grinding pressure on removal behaviours of rail material. Tribol. Int. 2019, 134, 417–426. [Google Scholar] [CrossRef]
- Liu, P.Z.; Yao, Y.; Zou, W.J.; Peng, J.; Song, X.D.; Xiao, F.R. Design of a CBN composite abrasive to improve the performance of HSG rail maintenance grinding wheel. Constr. Build. Mater. 2021, 319, 126073. [Google Scholar] [CrossRef]
- Gu, K.; Lin, Q.; Wang, W.; Wang, H.; Guo, J.; Liu, Q.; Zhu, M. Analysis on the effects of rotational speed of grinding stone on removal behavior of rail material. Wear 2015, 342, 52–59. [Google Scholar] [CrossRef]
- Liu, P.Z.; Zou, W.J.; Peng, J.; Song, X.D.; Xiao, F.R. Designed a Passive Grinding Test Machine to Simulate Passive Grinding Process. Processes 2021, 9, 1317. [Google Scholar] [CrossRef]
- Wu, H.; Xiao, B.; Xiao, H.; Zhang, Y.; Dou, L. Study on wear characteristics of brazed diamond sheet for rail’s composite grinding wheel under different pressures. Wear 2019, 424–425, 183–192. [Google Scholar] [CrossRef]
- Liu, P.Z.; Zou, W.J.; Peng, J.; Song, X.D.; Xiao, F.R. Study on the Effect of Grinding Pressure on Material Removal Behavior Performed on a Self-Designed Passive Grinding Simulator. Appl. Sci. 2021, 11, 4128. [Google Scholar] [CrossRef]
- Zhang, J.L.; Jian, K.; Du, G.B.; Zhou, X.J.; Wang, H.; Wang, H.Y. Performance of cutting and grinding wheel based on lignin-phenolic resin matrix and aluminum oxide. Bioresources 2017, 12, 9118–9129. [Google Scholar] [CrossRef]
- Lin, C.T.; Lee, H.T.; Chen, J.K. Preparation of Vanadium-Modified Phenolic Resin/Modified Zirconia Composites and Its Applied Properties in Cubic Boron Nitride (cBN) Grinding Wheels. Polym. Compos. 2017, 37, 3354–3364. [Google Scholar] [CrossRef]
- Zhang, L.; Zhang, Y.; Wang, L.; Yao, Y.; Wu, J.; Sun, Y.; Tian, M.; Liu, J. Phenolic resin modified by boron-silicon with high char yield. Polym. Test. 2019, 73, 208–213. [Google Scholar] [CrossRef]
- Lin, C.T.; Lee, H.T.; Chen, J.K. Preparation and properties of bisphenol-F based boron-phenolic resin/modified silicon nitride composites and their usage as binders for grinding wheels. Appl. Surf. Sci. 2015, 330, 1–9. [Google Scholar] [CrossRef]
- Li, B.Q.; He, C.; Cao, M.; Ren, Y.; Wang, J.S.; Lu, W. Highly branched phenolic resin-grafted silicone rubber copolymer for high efficiency ablation thermal protection coating. J. Appl. Polym. Sci. 2019, 137, 48353. [Google Scholar] [CrossRef]
- Yun, J.; Chen, L.X.; Zhao, H.; Zhang, X.F.; Ye, W.L.; Zhu, D.F. Boric Acid as a Coupling Agent for Preparation of Phenolic Resin Containing Boron and Silicon with Enhanced Char Yield. Macromol. Rapid Commun. 2019, 40, 1800702. [Google Scholar] [CrossRef] [PubMed]
- Li, S.; Han, Y.; Chen, F.; Luo, Z.; Li, H.; Zhao, T. The effect of structure on thermal stability and anti-oxidation mechanism of silicone modified phenolic resin. Polym. Degrad. Stab. 2016, 124, 68–76. [Google Scholar] [CrossRef]
- Du, Y.; Luo, Z.; Yang, Y.; Yang, Y.; Yuan, W.; Li, H.; Hong, Y.; Dai, Z.; Zhang, P.; Zhao, T. Theoretical and experimental investigations into the pyrolysis mechanisms of silicon-modified phenolic resin under high temperatures. Carbon 2023, 201, 504–519. [Google Scholar] [CrossRef]
- Yin, R.; Cheng, H.; Hong, C.; Zhang, X. Synthesis and characterization of novel phenolic resin/silicone hybrid aerogel composites with enhanced thermal, mechanical and ablative properties. Compos. Part A Appl. Sci. Manuf. 2017, 101, 500–510. [Google Scholar] [CrossRef]
- Pizzi, A.; Ibeh, C.C. Chapter 2—Phenol-Formaldehyde Resins. In Handbook of Thermoset Plastics, 4th ed.; Elsevier: Amsterdam, The Netherlands, 2022; pp. 13–40. [Google Scholar] [CrossRef]
- Fink, J.K. 4—Phenol/Formaldehyde Resins. In Reactive Polymers: Fundamentals and Applications, 3rd ed.; William Andrew: Norwich, NY, USA, 2018; pp. 225–253. [Google Scholar] [CrossRef]
- Guo, A.R.; Li, J.; Liu, C.; Xiao, D.H. Research on Silicone-modified Boric Phenolic Resin. Chem. J. Chin. Univ. Chin. 2016, 37, 2284–2290. [Google Scholar] [CrossRef]
- Beaucamp, A.; Kirsch, B.; Zhu, W.L. Advances in grinding tools and abrasives. CIRP Ann. 2022, 71, 623–646. [Google Scholar] [CrossRef]
- Peng, J.H.; Liu, Y.; Chen, F.J.; Cui, T.K.; Qin, S.H. Molecular simulation and curing-forming of ultraviolet/thermal-sensitive resin diamond composites for microstructured polishing tool. J. Mater. Sci. 2022, 57, 3193–3210. [Google Scholar] [CrossRef]
- Li, S.; Chen, F.H.; Han, Y.; Zhou, H.; Li, H.; Zhao, T. Enhanced compatibility and morphology evolution of the hybrids involving phenolic resin and silicone intermediate. Mater. Chem. Phys. 2015, 165, 25–33. [Google Scholar] [CrossRef]
- Du, Y.P.; Xia, Y.; Luo, Z.H.; Yuan, W.J.; Xu, K.L.; Wang, Q.; Zhou, H.; Guo, Y.; Li, H.; Zhao, T. An addition-curable hybrid phenolic resin containing silicon and boron with improved thermal stability. Polym. Degrad. Stab. 2021, 189, 109599. [Google Scholar] [CrossRef]
- Pelin, G.; Pelin, C.E.; Stefan, A.; Dinca, I.; Andronescu, E.; Oprea, O.; Ficai, D.; Trusca, R. Development and properties of advanced composites based on cork and nanometric silicon carbide-filled phenolic resin. Bull. Mater. Sci. 2018, 41, 28. [Google Scholar] [CrossRef]
- Li, S.; Chen, F.; Zhang, B.; Luo, Z.; Li, H.; Zhao, T. Structure and improved thermal stability of phenolic resin containing silicon and boron elements. Polym. Degrad. Stab. 2016, 133, 321–329. [Google Scholar] [CrossRef]
- Li, C.; Ma, Z.Z.; Zhang, X.W.; Fan, H.; Wan, J.T. Silicone-modified phenolic resin: Relationships between molecular structure and curing behavior. Thermochim. Acta 2016, 639, 53–65. [Google Scholar] [CrossRef]
- Wei, Q.; Wang, W.H. Properties of phenol formaldehyde resin modified with silane coupling agent (KH550). Int. J. Adhes. Adhes. 2018, 84, 166–172. [Google Scholar] [CrossRef]
- Hirano, K.; Asami, M. Phenolic resins—100 years of progress and their future. React. Funct. Polym. 2013, 73, 256–269. [Google Scholar] [CrossRef]
- Ouadah, A.; Luo, T.W.; Gao, S.T.; Zhu, C.J. Controlling the degree of sulfonation and its impact on hybrid cross-linked network based polyphosphazene grafted butylphenoxy as proton exchange membrane. Int. J. Hydrog. Energy 2018, 43, 15466–15480. [Google Scholar] [CrossRef]
- Zuo, X.H.; Li, W.; Yu, Z.L.; Ma, F.M.; Ruan, M. Tribological Behavior of Phenolic Resin Composites Modified Using Tetraethyl Orthosilicate. Tribol. Trans. 2013, 56, 115–120. [Google Scholar] [CrossRef]
- Chen, J.C.; Xu, H.J.; Liu, C.T.; Mi, L.W.; Shen, C.Y. The effect of double grafted interface layer on the properties of carbon fiber reinforced polyamide 66 composites. Compos. Sci. Technol. 2018, 168, 20–27. [Google Scholar] [CrossRef]
- Sivanjineyulu, V.; Behera, K.; Chang, Y.H.; Chiu, F.C. Selective localization of carbon nanotube and organoclay in biodegradable poly (butylene succinate)/polylactide blend-based nanocomposites with enhanced rigidity, toughness and electrical conductivity. Compos. Part A Appl. Sci. Manuf. 2018, 114, 30–39. [Google Scholar] [CrossRef]
- Bai, T.; Zhu, B.; Liu, H.; Wang, Y.; Song, G.; Liu, C.; Shen, C. Biodegradable poly (lactic acid) nanocomposites reinforced and toughened by carbon nanotubes/clay hybrids. Int. J. Biol. Macromol. 2020, 151, 628–634. [Google Scholar] [CrossRef] [PubMed]
- Liu, P.Z.; Zou, W.J.; Peng, J.; Xiao, F.R. Investigating the Effect of Grinding Time on High-Speed Grinding of Rails by a Passive Grinding Test Machine. Micromachines 2022, 13, 2118. [Google Scholar] [CrossRef] [PubMed]
- Lin, B.; Zhou, K.; Guo, J.; Liu, Q.Y.; Wang, W.J. Influence of grinding parameters on surface temperature and burn behaviors of grinding rail. Tribol. Int. 2018, 122, 151–162. [Google Scholar] [CrossRef]
- Zhang, P.F.; Zhang, W.L.; Yuan, Y.J.; Fan, X.Q.; Zhu, M.H. Probing the effect of grinding-heat on material removal mechanism of rail grinding. Tribol. Int. 2020, 147, 105942. [Google Scholar] [CrossRef]
- Dante, R.C. 10—Binders and Organic Materials. In Handbook of Friction Materials and Their Applications; Woodhead Publishing: Sawston, UK, 2016; pp. 135–153. [Google Scholar] [CrossRef]
- Weiss, S.; Seidl, R.; Kessler, W.; Kessler, R.W.; Kandelbauer, A. Multivariate Curve Resolution (MCR) of real-time infrared spectra for analyzing the curing behavior of solid MF thermosetting resin. Int. J. Adhes. Adhes. 2021, 110, 102956. [Google Scholar] [CrossRef]
- Wang, Z.Y.; Jin, P.; Zhang, L.Q.; Zou, W.J. Preparation and properties of polyamide modified boron phenolic resin. Eng. Plast. Appl. 2018, 46, 24–28. [Google Scholar] [CrossRef]
- ASTM D 7264/D 7264M-2007; Standard Test Method for Flexural Properties of Polymer Matrix Composite Materials. American Society for Testing and Materials (ASTM): West Conshohocken, PA, USA, 2007; Volume A14, p. 11.
- ISO 179-1-2010; I.T. 61, Plastics—Determination of Charpy Impact Properties—Part 1: Non-Instrumented Impact Test. International Organization for Standardization (I.T. 61): Geneva, Switzerland, 2010; Volume A24, p. 28.














| Sample | Mass/g | |||
|---|---|---|---|---|
| Phenol | MTMS | TsOH | POM | |
| UMPR (MTMS-0%) | 94.11 | 0 | 0.94 | 24.02 |
| SMPR (MTMS-10%) | 94.11 | 9.41 | 0.94 | 24.02 |
| SMPR (MTMS-20%) | 94.11 | 18.82 | 0.94 | 24.02 |
| SMPR (MTMS-30%) | 94.11 | 28.23 | 0.94 | 24.02 |
| SMPR (MTMS-40%) | 94.11 | 37.64 | 0.94 | 24.02 |
| SMPR (MTMS-50%) | 94.11 | 47.06 | 0.94 | 24.02 |
Disclaimer/Publisher’s Note: The statements, opinions and data contained in all publications are solely those of the individual author(s) and contributor(s) and not of MDPI and/or the editor(s). MDPI and/or the editor(s) disclaim responsibility for any injury to people or property resulting from any ideas, methods, instructions or products referred to in the content. |
© 2023 by the authors. Licensee MDPI, Basel, Switzerland. This article is an open access article distributed under the terms and conditions of the Creative Commons Attribution (CC BY) license (https://creativecommons.org/licenses/by/4.0/).
Share and Cite
Liu, P.; Yuan, T.; Peng, J.; Zou, W.; Xiao, F. Study on the Preparation and Performance of Silicone-Modified Phenolic Resin Binder for Rail Grinding Wheels. Molecules 2023, 28, 3400. https://doi.org/10.3390/molecules28083400
Liu P, Yuan T, Peng J, Zou W, Xiao F. Study on the Preparation and Performance of Silicone-Modified Phenolic Resin Binder for Rail Grinding Wheels. Molecules. 2023; 28(8):3400. https://doi.org/10.3390/molecules28083400
Chicago/Turabian StyleLiu, Pengzhan, Tianshun Yuan, Jin Peng, Wenjun Zou, and Furen Xiao. 2023. "Study on the Preparation and Performance of Silicone-Modified Phenolic Resin Binder for Rail Grinding Wheels" Molecules 28, no. 8: 3400. https://doi.org/10.3390/molecules28083400
APA StyleLiu, P., Yuan, T., Peng, J., Zou, W., & Xiao, F. (2023). Study on the Preparation and Performance of Silicone-Modified Phenolic Resin Binder for Rail Grinding Wheels. Molecules, 28(8), 3400. https://doi.org/10.3390/molecules28083400

