Abstract
Hypervalent iodine reagents are in high current demand due to their exceptional reactivity in oxidative transformations, as well as in diverse umpolung functionalization reactions. Cyclic hypervalent iodine compounds, known under the general name of benziodoxoles, possess improved thermal stability and synthetic versatility in comparison with their acyclic analogs. Aryl-, alkenyl-, and alkynylbenziodoxoles have recently received wide synthetic applications as efficient reagents for direct arylation, alkenylation, and alkynylation under mild reaction conditions, including transition metal-free conditions as well as photoredox and transition metal catalysis. Using these reagents, a plethora of valuable, hard-to-reach, and structurally diverse complex products can be synthesized by convenient procedures. The review covers the main aspects of the chemistry of benziodoxole-based aryl-, alkynyl-, and alkenyl- transfer reagents, including preparation and synthetic applications.
Keywords:
hypervalent iodine; functionalization; benziodoxoles; arylation; benzyne; alkynylation; vinylation; EBX; VBX 1. Introduction
In the past decades, hypervalent iodine chemistry has attracted the active interest of organic chemists all over the world due to the versatile and ecologically benign nature of hypervalent iodine reagents [1,2,3,4,5]. Five-membered cyclic iodine compounds, known under the general name of ‘benziodoxoles’, are particularly important as reagents because they have considerably higher thermal stability compared to their acyclic analogs [6,7]. This stabilization is usually explained by the lower reactivity of the hypervalent iodine center toward reductive elimination because of the link between apical and equatorial positions via the five-membered ring, as well by a better overlap of the lone pair electrons on the iodine atom with the π orbitals of the benzene ring [6]. Despite the higher thermal stability, some benziodoxoles, such as azidobenziodoxoles, are high-energy compounds that in some cases are prone to explosive degradation and should be manipulated with adequate precautions [7,8,9]. Benziodoxoles are widely utilized in organic synthesis as the umpolung iodine(III) reagents for introducing various functional groups, such as alkynyl, alkenyl, CN, SCN, N3, CF3, Hal, etc., and are generally named as ‘atom-transfer reagents’ [7,8,9,10,11].
The synthetically important C-functionalization (arylation, alkenylation, and alkynylation) of organic molecules is usually achieved by coupling reactions requiring the use of transition metals, pre-functionalized substrates, and other expensive or hard-to-get reagents [12,13,14,15,16]. Benziodoxole reagents that contain carbon-based functional groups at the iodine(III) center (aryl-, alkynyl-, and alkenylbenziodoxoles, Figure 1) allow carrying out C-C and C-heteroatom bond-forming reactions under transition metal-free conditions, or under mild and easy-to-handle catalytic conditions. In the current review, we discuss preparation, structural aspects, and recent synthetic applications of aryl-, alkynyl-, and alkenylbenziodoxoles.
Figure 1.
Arylbenziodoxoles, ethynylbenziodoxoles, and vinylbenziodoxoles.
2. Arylbenziodoxoles
2.1. Synthesis and Structure
Arylbenziodoxoles can be formally considered as internal iodonium salts bearing the anionic carboxylate moiety in the ortho position to the aryliodonium group. Phenylbenziodoxole [also known as diphenyliodonium-2-carboxylate, 2 (R1 = H, Ar = Ph)] is the most known and commercially available representative of arylbenziodoxoles. Various substituted arylbenziodoxoles 2 can be conveniently prepared from 2-iodobenzoic acids 1 and the corresponding substituted benzenes under different conditions (A, B, or C, Scheme 1), using potassium persulfate [17,18,19,20,21], m-CPBA [22], and oxone [23,24]. The last approach is the most convenient one-pot procedure for the synthesis of various substituted arylbenziodoxoles 2 with yields up to 94%, using oxone as an inexpensive and environmentally safe oxidant in the presence of sulfuric acid (Scheme 1, conditions C) [23].
Scheme 1.
Methods of synthesis of arylbenziodoxoles 2 under conditions A–C.
Nitro-substituted phenylbenziodoxole 4 also can be prepared in two steps from 2-iodobenzoic acid 1a by oxidation nitration using the mixture of fuming nitric and concentrated sulfuric acid and followed by treatment with benzene in concentrated sulfuric acid (Scheme 2) [18,25].
Scheme 2.
Preparation of 5-nitro-1-phenyl-1λ3-benzo[d] [1,2]iodaoxol-3(1H)-one 4.
Later, two different scientific groups independently proposed the method of preparation of various arylbenziodoxoles 7, 9, and 2 from hypervalent iodine reagents 5 and 10, respectively (Scheme 3). Yoshikai and co-workers used benziodoxole triflate 5 as a versatile reagent for iodo(III)cyclization of alkynes 6 that afforded various air and thermally stable (hetero)aryl-λ3-iodanes 7 under simple and mild conditions (Scheme 3a) [26]. While aryl-λ3-iodanes are typically synthesized by oxidation of iodoarenes or exchange with organometallic compounds, this cyclization offers unique access to a wide variety of (hetero)arylbenziodoxoles 7, bearing benzofurans, benzothiophenes, isocoumarins, indoles, and polyaromatics.
Scheme 3.
Synthesis of various (hetero)arylbenziodoxoles 7, 9, and 2 from hypervalent iodine reagents 5 and 10, respectively. See explanation of reactions (a–c) in the text.
In 2020, the same group started from bis(trifluoromethyl)benziodoxole triflate 5 using various arenes 8 to obtain different aryl- and (hetero)arylbenziodoxoles 9 with high yields (Scheme 3b) [27]. In addition to the broad scope of arenes 8, this method could be performed under solvent-free conditions. It should be noted that this method has important limitations: the less electron-rich arenes require the use of Lewis acid as a catalyst; arylbenziodoxoles with electron-neutral or electron-poor aryl moiety could be prepared in good yields via silicon–iodine(III) or boron–iodine(III) aryl transfer reactions using corresponding aryltrimethylsilanes or aryltrifluoroborates, whereas the original conditions did not afford desired products 9 with initial benziodoxole 5 even at increased temperatures (up to 80 °C) [27].
Later, IBA-TfOH 10 (IBA = 2-iodosylbenzoic acid) and arenes 11 have been used as starting materials for the preparation of pseudocyclic arylbenziodoxole triflates 12 in the first step followed by treatment of compounds 12 with a saturated NaHCO3 solution at room temperature to afford desired arylbenziodoxoles 2, with the yields up to 100% (Scheme 3c) [28].
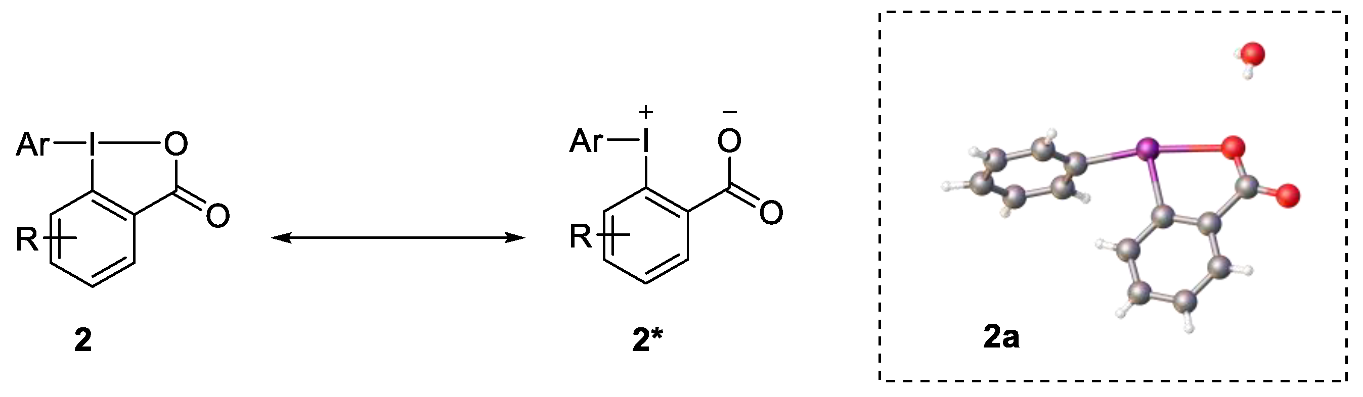
Single-crystal X-ray structures have been published for several arylbenziodoxoles 2 [23,29,30,31]. According to single-crystal X-ray diffraction data, arylbenziodoxoles 2 have a zwitterionic structure characterized by the presence of a short internal I···O interaction [23,24,25,26,27,28,29]. The average distance of the intramolecular I···O bonds (2.5 Å) is longer than the average covalent I-O bond length (2.14 Å) [32,33] but shorter than the sum of van der Waals radii for iodine atom and an oxygen atom (3.5 Å) [34], which is indicative of a significant increase in the ionic nature of this bond. The structure of arylbenziodoxoles 2 can be described using resonance contributors 2 and 2* (Scheme 4) [23,24,25,26,27,28,29]. The zwitterionic character of arylbenziodoxoles (resonance contributor 2*) is reflected in their common name of diaryliodonium-2-carboxylates. In general, benziodoxoles have a planar structure with a highly distorted T-shaped geometry around iodine. The observed bond angle C−I−O in benziodoxoles is about 80°, which is significantly different from the 90° angle typical of noncyclic hypervalent iodine compounds [1,2].
Scheme 4.
Resonance structure 2* of arylbenziodoxoles 2 and X-ray structure of 2a.
2.2. Synthetic Applications
2.2.1. Benzyne Generation by Thermal Decomposition
Arylbenziodoxoles, in particular phenylbenziodoxole 2a, are common benzyne precursors [35]. Aryne generation from precursors 2 by thermal decomposition was investigated extensively in the 20th century and summarized in earlier reviews [1,2,35]; therefore, only a brief discussion of these reactions will be provided in this section.
Arylbenziodoxoles 2 have been employed as effective aryne 14 sources in the presence of common benzyne trapping compounds such as anthracene 18, 1,3-diphenylisobenzofuran 20, and tetracyclone compounds 22, with the formation of products 19, 21, and 23, respectively (Scheme 5) [18,19,25,36,37,38,39]. It was shown the efficiency of benzyne trapping reagents increases in the order: anthracene 18 < 1,3-diphenylisobenzofuran 20 < 2,3,4,5-tetraphenylcyclopentadienone (tetracyclone) 22a < 2,5-bis(p-dimethylaminopheny1)-3,4-diphenylcyclopentadienone 22b < 2,5-di-p-anisyl-3,4-diphenylcyclopentadienone 22c [18].
Scheme 5.
Thermolysis of arylbenziodoxoles 2 in the absence and the presence of aryne-trapping agents 18, 20, 22, 24, and 11a.
Thiophenes 24 and benzene 11a have been found to react with benzyne species 14 to give a mixture of cycloaddition products, such as naphthalene 25, α- and β-naphthylphenylsulfides 26, 2-(2-thienyl)carboxylic acid 27, and benzobarrelene 28, respectively [40,41,42,43,44,45], in addition to the known decomposition benzyne adducts 15–17 (Scheme 5) [18,38,46].
1-Phenylbenziodoxole 2a is a particularly useful reagent for the reactions leading to new carbon–heteroatom bond formation. The reaction of 2a using diaryldichalcogen compounds (S, Se, Te) 29 at reflux conditions afforded the respective ortho-hetero-disubstituted phenylene compounds 30–33 in low to high yields [20,46,47]. Similarly, the treatment of bis(4-methoxyphenyl)selenaditelluride 29a with 2a yielded the selenatelluride compound 32 in 26% yield (Scheme 6).
Scheme 6.
Reactions of 2a with diarylchalcogenides 29 under reflux conditions.
The 1,4-benzadiyne species 35 can be generated from 1,4-bis(phenyliodonio)benzene-2,5-dicarboxylate 34 under reflux conditions and trapped by the reaction with phencyclone 22d to give polycyclic aromatic hydrocarbon, 9,11,20,22-tetraphenyltetrabenzo[a,c,l,n]pentacene 36 (Scheme 7) [48]. The precursor 34 of 1,4-benzadiyne was prepared from 2,5-diiodoterephalic acid by using the original synthetic methodology reported by Beringer [17].
Scheme 7.
Synthesis of polycyclic compound 36 with the use of bisiodonium dicarboxylate 34.
2.2.2. Nucleophilic Substitution
Contrary to benzyne formation and its trapping reactions, it is possible to use arylbenziodoxoles in reaction with nucleophiles to afford benzoic acid derivatives. In such a way, Scherrer and Beatty first proposed copper-catalyzed condensation of arylbenziodoxoles 2 with N- and O-nucleophiles 37 to give ortho-substituted benzoic acids 38 (Scheme 8) [49].
Scheme 8.
Reactions of 2 with nucleophiles 37 under copper(II) catalysis.
The reactivity study of arylbenziodoxoles 2 in reactions with nucleophiles revealed that ortho-methyl-substituted benziodoxoles, such as 1-phenyl-7-methylbenzidoxole 2b, are more reactive than 1-phenylbenziodoxole 2a [23]. This enhanced reactivity of 1-phenyl-7-methylbenzidoxole 2b was explained by the steric effect of ortho-substituent on the nucleophillic substitution in diaryliodonium salts. Later, the same group continued the study of nucleophilic substitution of the iodonium leaving the group in arylbenzoiodoxoles 2 with azide anion to afford 2-azidobenzoic acids 39 (Scheme 9a) [24,28]. The presence of bulky substituents in the ortho position of the aryl ring slows the reaction down, while the presence of a moderately electron-withdrawing bromine substituent in the para position to the iodine atom in the benziodoxolone ring moderately increases the rate of substitution. The presence of a strongly electron-withdrawing nitro group in the para position to the iodine atom in the benziodoxolone ring dramatically increases the rate of substitution. These observations are in agreement with the electronic requirements for internal nucleophilic substitution in the benziodoxole ring.
Scheme 9.
Reactions of 2 with N3- (reaction (a)) and F- (reaction (b)) under metal-free conditions A–C.
The same group has shown the possibility of using arylbenziodoxoles 2 as efficient precursors for the synthesis of fluorobenzoic acids 40 via nucleophilic fluorination using fluoride salts in polar aprotic solvents (Scheme 9b) [50]. In particular, 5-nitro-substituted benziodoxole 2c was found to be an excellent reagent for the radiofuorination leading to [18F]-fluorobenzoic acids in up to 39% of the radiochemical yield, with excellent radiochemical purity above 98%. This protocol under optimized reaction conditions (30 min at 150 °C in acetonitrile) was applied for the preparation of 2-[18F]-fluoro-5-nitrobenzoic acid 40c, which is a potentially important radioligand for positron emission tomography (PET) [51,52].
The first example of a Pd-free Sonogashira-like coupling reaction of acetylenes 41 with 1-phenylbenziodoxoles 2a in the synthesis of phthalides 42 and isocoumarins 43 under CuI catalysis in the absence of bases was reported (Scheme 10) [31]. High selectivity and yields were achieved under mild reaction conditions with good functional group tolerance.
Scheme 10.
Pd-free Sonogashira-like coupling reaction with the use of 1-phenylbenziodoxole 2a in the synthesis of phthalides 42 and isocoumarins 43.
In 2017, Waser and co-workers developed the method of synthesis of various 1-heteroarylbenziodoxoles 46 from acetoxybenziodoxole 44 and indoles or pyrroles 45 in one-step under mild Lewis acid catalyzed conditions (Scheme 11) [53]. Furthermore, they proposed the ortho C-H functionalization method of unactivated arenes 47 with the use of indole- and pyrrole-benziodoxoles 46 under either rhodium or ruthenium catalysis to afford a broad range of heterocyclic systems 48 of high interest for synthetic and medicinal chemistry [53].
Scheme 11.
Rh- and Ru-catalyzed C-H functionalization of arenes using indole- and pyrrole-benziodoxoles 46 under reaction conditions A or B.
3. Ethynylbenziodoxoles (EBXs)
3.1. Synthesis and Structure
Alkynylbenziodoxoles also named ethynylbenziodoxoles (EBXs) emerged as alkyne-transfer reagents at the beginning of the 21st century. Umpolung reactions with the use of hypervalent iodine reagents in particular EBXs have been developing because of the need for efficient and flexible methods of introduction of various functional groups in different sites of a molecule. Acetylenes have always been one of the most important and versatile functional groups in organic chemistry, as well as a tool and a structural element in material science and chemical biology [54]. EBX reagents can be effectively applied as electrophilic alkynylating reagents to various organic nucleophiles; moreover, their utilization is often preferable in contrast to classical methods [7,9,11,55,56,57,58,59,60].
The first example of EBX was prepared in 1991 by treating IBA 49 with 1-alkynyltrimethylsilane 50 in anhydrous dichloromethane at ambient temperature in the presence of BF3∙Et2O followed by heating in methanol at 60 °C. (Scheme 12a) [61]. The same group proved the structure of cyclohexyl-EBX 51a by X-ray diffraction analysis (Scheme 12a) [61]. X-ray structural data revealed a distorted T-shaped geometry expected for hypervalent iodine with an endocyclic C(sp2)-I-O angle of 75.28° and a C(sp2)-I-C(sp) angle of 90.9°. The lengths of the bonds to the iodine atom, I-C(sp2) (2.14 Å), I-O (2.34 Å), and I-C(sp) (2.03 Å), are within the range of typical single covalent bond lengths in noncyclic organic derivatives of polyvalent iodine. In the next decades, many X-ray structures of various aromatic and alkylic alkynylbenziodoxoles, as well as silyl alkynylbenziodoxoles, were obtained with almost the same bond lengths and angles at the iodine atom [62].
Scheme 12.
Synthesis of alkynylbeziodoxoles 51 and 54 from hypervalent iodine(III) reagents 5, 44, 49, and 52 and X-ray structure of 51a. See explanation of reactions (a–c) in the text.
An improved procedure for the preparation of various alkynylbenziodoxoles 51 and 54 in high yields involves the reaction of triflates 52 or 5 with alkynyltrimethylsilanes 53 (Scheme 12b) [63].
In 2000, compound 51b was obtained by treating 2-iodosylbenzoic acid 49 with alkynylboronate 55 (Scheme 12c); however, with a lower yield [64]. The low yield in this reaction can be explained by the low solubility of benziodoxole 49 in organic solvents and its acidic properties (pKa 7.25). The relatively high acidity of benziodoxole 49 can lead to the decomposition of the alkynylboronates 55 under the reaction conditions. The replacement of starting compound 49 with acetoxybenzoiodoxole 44 improved the yield of EBXs 51, as well as shortened the reaction time from 20 to 6 h (Scheme 12c) [64].
In 2010, Brand and Waser slightly modified the method [62] by using bis-silylated alkynes in combination with TMSOTf [65]. Synthesized TIPS-EBX has been employed for the alkynylation of thiophenes, which process is considered in Section 3.2.1. This method [66] was used in the synthesis of various alkynylbenziodoxoles with minor changes in many others studies [62,66,67,68,69,70,71,72,73,74,75,76,77,78,79].
Later, Olofsson and co-workers proposed a one-pot method for the synthesis of alkynylbenziodoxoles 51 from 2-iodobenzoic 1a acid using mCPBA and pTsOH for hypervalent iodine species formation, followed by the addition of alkynylboronates 55 at ambient temperature to afford alkynyliodonium tosylate A (Scheme 13a) [80]. However, this method requires isolation and purification of the reagent for each modification. This method was modified in 2019 by replacing the boronic ethers with trimethylsilyltriisopropylsilyl acetylene; however, the yields have slightly decreased [81]. Authors mention that TIPS-EBX obtained by using the latter protocol is not shock-sensitive and has the same thermal stability as when accessed using previous methods, but tosylate impurities have to be carefully removed, as they lead to lower decomposition temperatures.
Scheme 13.
One-pot syntheses of alkynylbenziodoxoles 51 via intermediate A. See explanation of reactions (a,b) in the text.
Very recently, Waser et al. utilized tosylate 56 and alkynyltrifluoroborates 57 for rapid and highly effective formation of EBX reagents 51 without the use of any additives (Scheme 13b) [82]. The EBXs 51 obtained in this way did not require the use of column chromatography for purification.
The first representatives of spirocyclic alkynylbenziodoxoles 59 were prepared by exposure to EBXs 51 of α-bromoamide 58 under basic conditions at room temperature (Scheme 14) [83,84]. Vinylbenziodoxole (VBX) 60 has been formed as a by-product during the reaction course, but at low temperatures its formation was maximal and, finally, compound 60 was isolated, with a yield of 45%. Spirocyclic EBXs 59 have been employed in the synthesis of 1,3-diynes 61 [83,84], diaryl thioethers 62 [84], and 4,1-benzoxazepine-2,5-diones 63 [83] under copper(I) catalysis.
Scheme 14.
Synthesis of spirocyclic alkynylbenziodoxoles 59 and products 61–63 of their synthetic applications.
3.2. Synthetic Applications
Several reviews on the utilization of EBXs in direct alkynylation processes or complex reactions with the formation of several bonds in a single transformation were previously published [7,9,11,55,56,57,58,59,60,85]. In this section, we summarize general procedures of alkynylations with EBXs and overview the most significant recent works. The reactions of EBXs as Michael acceptors with the formation of vinylbenziodoxoles (VBXs) are discussed in Section 4.
3.2.1. Metal-Catalyzed Alkynylation Reactions
Gold Catalysis
The first gold-catalyzed direct alkynylation of indole and pyrrole heterocycles 64 using EBXs 51 was reported by Waser and co-workers in 2009 (Scheme 15a) [86]. Later, the same group proposed direct alkynylation of thiophenes 66 using a modified method (Scheme 15b) [65]. In their next work, the procedure was improved, and the scope of utilized EBXs and substrates was extended to afford various alkynes 65 and 67 (Scheme 15a,b) [62]. Bulky silyl groups as alkyne substituents were found to be optimal and the transfer of aromatic acetylenes to thiophene 66 was achieved for the first time. Control reactions between substrates of different nucleophilicity and deuterium labeling experiments, as well as the regioselectivity observed, were all in agreement with electrophilic aromatic substitution. Investigations indicated that gold(III) could be eventually reduced to gold(I) during the process, and based on the results of this mechanistic study, the authors assumed a π activation or an oxidative mechanism was the most probable for the alkynylation reaction [62]. However, Ariafard et al. reported computational results that both the oxidative and the π activation mechanisms were too high in energy and suggested that the iodine(III) center in EBXs acts as a Lewis acid for activating the alkyne even more efficiently than the Au(I)-center [87]. In 2019, Hashmi’s group reported an investigation of the oxidative process that involves a tri- or tetra-coordinate Au(I) intermediate with an oxidizing agent, particularly EBX, and provided strong experimental and computational evidence in favor of the oxidative addition of EBX to the tri-coordinate (phen)AuIL species to generate 68 (Scheme 15, key intermediate) [88,89]. The review [55] was also dedicated to the rationalization of gold-catalyzed alkynylation, proposing a probable ‘interplay mode’ wherein Au-catalysts activate the π system embedded in the partner nucleophile and are also oxidized to Au(III) by EBXs with the formation of intermediate 68. Common to all proposed mechanistic pathways is an electrophilic aromatic substitution step, which explains the high regioselectivity observed.
Scheme 15.
Gold-catalyzed alkynylation reactions with the use of EBXs 51 and 54. See explanation of reactions (a–d) in the text. Selected examples of products obtained in the reactions (a–c) are shown at the bottom of the scheme.
A gold-catalyzed direct alkynylation of cyclopropenes 69 with EBXs 54 is enabled by two operating catalytic cycles, an oxidative catalytic cycle involving an alkynyl Au(III) complex 68 formed by oxidative addition and the second one involving a silver-mediated C-H activation (Scheme 15c) [88]. As a result, a wide range of functionalized cyclopropenes 70 was obtained with moderate to excellent yields.
The first alkynylative Meyer–Schuster rearrangement, which was previously unsuccessful under Pd catalysis [90], was developed by harnessing the potential of the ‘interplay mode’ of gold catalysis, which integrates the π activation mode and an EBX-enabled cross-coupling mode (Scheme 15d) [91]. The reaction offers straightforward access to diverse (E)-enynones 72 from alkynols 71, barring the formation of any undesired enone side products.
The first direct α-vinylidenation (Scheme 16a) with the formation of both formyl allenes 74 and alkynylated aldehydes 75, and the α-vinylidenation/γ-alkynylation cascade of aldehydes 73 (Scheme 16b) using TIPS-EBX 51d with a synergistic gold/amine catalyst system, was reported by Huang’s group [92]. Functionality rich, tri-, and tetra-substituted allenes 76 bearing a versatile aldehyde and an acetylene functionality were prepared in a straightforward protocol. Later, the same group developed a direct synthesis of diverse ynones 77 from readily available aldehydes 73 and TIPS-EBX 51d under gold/pyrrolidine synergistic catalysis (Scheme 16c) [93]. The reaction proceeds through the α-vinylidenation reaction, followed by the in situ C-C bond oxidative aerobic cleavage.
Scheme 16.
Gold/pyrrolidine catalyzed α-vinylidenation reaction of aldehydes 73 with the use of TIPS-EBX 51d. See explanation of reactions (a–c) in the text. Selected examples of products obtained in the reactions (a–c) are shown at the bottom of the scheme.
Atom economical gold-catalyzed reactions with the use of EBX were reported recently. Au-catalyzed 1,2-oxyalkynylation of N-allenamides 78 with ethynylbenziodoxoles 51 gives direct access to valuable 1,3-enynes 79 under mild conditions (Scheme 17a) [94].
Scheme 17.
Atom economical gold-catalyzed alkynylation with the use of EBXs 51. See explanation of reactions (a,b) in the text.
Multisubstituted alkenes 81 are also accessible by regio- and stereo-selective gold-catalyzed acyloxyalkynylation of ynamides 80 with EBXs 51 (Scheme 17b) [95]. This efficient transformation tolerates a diverse set of functionalities, thus providing a wide range of amide enol 2-iodobenzoates 81.
Other research groups later demonstrated that EBX reagents can be used for C−H alkynylation using a broad range of transition metal catalysts [7,9,55,58].
Copper Catalysis
Atom economical oxyvinylation reactions of diazo compounds 82, 83, and 86 [96,97] and C-S bonds in thiiranes 88 and thiethanes 89 [98] using EBXs 51 under copper catalysis were reported by Waser’s group. The reaction of alkynylation of diazo compounds 82, 83, and 86 proceeds under mild conditions, giving highly functionalized alkynes 84, 85, and 87 with excellent yields and selectivities while using the inexpensive copper catalyst (Scheme 18a,b). A broad range of EBX reagents and diazo compounds were well-tolerated. Based on these investigations, the same group proposed the multicomponent copper-catalyzed reactions of diazo compounds for the synthesis of highly diverse propargylic ethers and amines [99,100].
Scheme 18.
Copper-catalyzed oxyalkynylation reactions with the use of EBXs 51. See explanation of reactions (a–c) in the text. Selected examples of products obtained in the reactions (a–c) are shown at the bottom of the scheme.
A ring opening of thiiranes 88 and thietanes 89 using alkynylbenziodoxoles 51 and a cheap copper catalyst gives access to multifunctionalized hard-to-get thioethers 90–91 with moderate yields (Scheme 18c) [98].
Fujii and Ohno reported an impressive copper-catalyzed ligand-free N-alkynylation of several aryltosylamides with the use of EBXs for the synthesis of the gold-catalyzed cascade cyclization substrate [101]. Inspired by the existing data, Tada and Itoh developed N-alkynylation of sulfonamides 92, in which copper species allow to avoid the sterically bulky β-substituent of EBXs 51 by reacting at the α-carbon, except homo-coupling byproduct 1,3-butadiyne formation (Scheme 19a) [102]. Therefore, aryl and alkyl- sulfonamides 92, as well as amino acids, were converted to the corresponding ynamides 93 at room temperature with broad substrate scope. The authors found that an electron-rich bidentate bipyridine ligand (4,4′-dimethoxy-2,2′-bipyridine) and protic solvent (EtOH) are critical factors to make the reaction successful, and at the time, moderately electron-poor EBXs showed higher reactivity than other EBXs. The method has been extended and applied to a late-stage diversification by copper-catalyzed azide–alkyne cycloaddition sequence in the ynamide 95 synthesis (Scheme 19b) [103]. This strategy was enabled by direct electrophilic diynylation of sulfonamides 92 with novel TIPS-diynyl benziodoxoles 94 under copper catalysis conditions.
Scheme 19.
Copper-catalyzed N-alkylation reactions with the use of EBXs 51 and 94. See explanation of reactions (a,b) in the text. Selected examples of products obtained in the reactions (a,b) are shown at the bottom of the scheme.
Palladium Catalysis
The gold-catalyzed alkynylation of indoles 64 resulted in the C3-alkynylated products 65 (Scheme 15a) [86,104]. Under palladium catalysis, Waser and co-workers have observed very high C2 selectivity of the same reaction. Therefore, the Pd-catalyzed C2-selective direct alkynylation of 3H-indoles using TIPS-EBX has been developed [105]. Later, the same group proposed efficient Pd-catalyzed oxyalkylation and aminoalkylation of various alkenes with EBXs to afford heterocycles [66,106]. Multisubstituted furans can also be prepared by palladium-catalyzed condensation of N-aryl imines and alkynylbenziodoxoles [107,108].
The Pd(II)-catalyzed chemical transformations using iodine(III) oxidants are most likely to proceed via a Pd(IV)/Pd(II) catalytic cycle; however, a computational mechanistic study of Pd(II)-catalyzed carboxyalkynylation of olefins 96 using TIPS-EBX 51d has indicated that this reaction proceeds via Pd(II) vinylidene-like complex A, not a Pd(IV) complex, to afford product 97 (Scheme 20) [109].
Scheme 20.
Computational mechanism of Pd(II)-catalyzed carboxyalkynylation of an olefin 96 using TIPS-EBX 51d.
Convenient access to β-alkynylcarboxylic esters 100 has been achieved very recently by Pd-catalyzed intermolecular alkynylcarbonylation of unactivated alkenes 98 using EBXs 99 (Scheme 21) [110]. This method features moderate to excellent regioselectivity and excellent tolerance toward functional groups under mild reaction conditions.
Scheme 21.
Pd-catalyzed intermolecular alkynylcarbonylation of unactivated alkenes 98 using EBXs 99.
Several other transition metals were investigated as catalysts in alkynylation reactions with EBXs. For example, Ru(III)- and Ir(III)-catalysts were employed for C-H alkynylation of arenes [111,112], alkenes [113], and aldehydes [114,115]; a Ag-catalyst was utilized for decarboxylative alkynylation of aliphatic carboxylic acids in aqueous solutions [116]; an Fe(III)-catalyst was applied for dehydration reaction of propargyl alcohols [117], in which TIPS-EBX serves as co-catalyst; and Pt-catalyzed domino cyclization-alkynylations were developed as well [118,119,120].
3.2.2. Photocatalysis
Ethynylbenziodoxoles were also used for radical alkynylation under photoredox reaction conditions [9,56]. A visible light-induced chemoselective deboronative alkynylation of primary, secondary, and tertiary alkyl trifluoroborates or boronic acids 101 with the use of alkynylbenziodoxoles 51 have been developed in 2014 by Chen’s group (Scheme 22) [71]. This reaction is highly chemoselective and performs well on substrates containing alkenes, alkynes, aldehydes, ketones, esters, nitriles, azides, aryl halides, alkyl halides, alcohols, and indoles, with no detectable occurrence of side reactions, and can be carried out in neutral aqueous conditions to generate aryl, alkyl, and silyl substituted alkynes 102. Later, Chen and co-workers studied the radical acceptor and oxidative quencher reactivity of EBXs, in which unsubstituted EBXs played balancing roles in both processes, while electron-rich benziodoxole derivatives demonstrate synthetic advantages in some cases [121]. Very recently, Waser’s group proposed a one-pot, two processes for EBX generation and their direct application in substrate functionalization, such as deboronative alkynylation as well as thioalkynylation, O-VBX formation, β-ketoester alkynylation, oxy-alkynylation, decarboxylative alkynylation, and double thiol addition [82].
Scheme 22.
Deboronative alkynylation with the use of EBXs 51 under photoredox catalysis.
In 2015, three research groups proposed decarboxylative alkynylation of various carboxylic acids using Ru(II) or Ir(III) photoredox catalysis and EBXs independently [72,122,123]. A plethora of ynones 103, 108, ynamides 104, 109, ynoates 105, 110, and alkynes 106, 107, and 111 can be prepared under mild reaction conditions (Figure 2). The reaction proceeds via intermediate A, which is a result of the α-addition of substrate radical to EBXs. Then, intermediate A undergoes a subsequent radical elimination to yield a desired product and benziodoxolyl radical. Aldehydes can also be converted into various ynones, ynamides, and ynoates using EBXs under Ir(III) photoredox catalysis [124] and under transition metal-free conditions, with the use of tert-butyl hydroperoxide as radical initiators and EBXs [125].
Figure 2.
Products 103–111 and intermediate A of Ru(II) or Ir(III) photoredox catalyzed alkynylation with the use of EBXs [72,122,123].
At the same time, Wang and co-workers have developed similar radical alkynylation of α-keto acids with bromoacetylenes catalyzed by IBA 49 [126]. The reaction proceeds under sunlight irradiation without the use of photo- or metal-catalysts. The authors proposed in situ formation of EBX during the reaction. This alkynylation tolerates a series of substituted groups and affords ynones in good yields. In parallel, Duan et al. utilized the EBXs-K2S2O8 system for decarboxylative alkynylation of α-keto acids and oxamic acids in aqueous media to afford similar ynones with moderate to high yields [127]. Another transition metal-free synthesis of ynones from aldehydes has been performed with the use of EBX reagents and an excess of radical initiators (tert-butylhydroperoxide) at 100 °C in DCE [128].
Miyake et al. reported light-driven intermolecular charge transfer-induced reactivity of EBXs 51 and phenols 112 to afford a diverse array of (Z)-2-iodovinyl phenyl ether derivatives 113, with excellent regio- and stereo-selectivity under irradiation with visible light (Scheme 23a) [129]. The authors assumed a photoinduced electron transfer step involving an intermediary vinylbenziodoxolone–phenoxide EDA complex A that subsequently leads to unprecedented phenyl−I bond cleavage.
Scheme 23.
Preparation of (Z)-2-iodovinyl phenyl ether derivatives 113 and diaryl ethers 114 with the use of EBX 51 and 59, and phenols 112. See explanation of reactions (a,b) in the text.
Very recently, a similar base-promoted metal-, photocatalyst- and light-free reaction of phenols 112 with spirocyclic EBXs 59 has been developed to construct both the (Z)-2-iodovinyl aryl ethers 113 and diaryl ethers 114 (Scheme 23b) [130]. To generate the two desired products, the authors proposed a SNAr2 reaction of phenol 112 with vinyl aryl iodonium salts intermediates C that subsequently leads to the phenyl-I bond cleavage and phenyl-O bond formation. The authors assumed that the vinyl aryl iodonium salts B was formed in situ from the spiro-cis-β-phenol-VBXs B, which was generated between electrophilic spiro-EBXs 59 and nucleophilic arylols 112.
A combination of non-metallic photocatalysts/EBXs has been employed effectively in the alkynylation reaction. An efficient method for the direct C-H alkynylation of ethers 115 and the deconstructive alkynylation of thioethers 116 using alkynylbenziodoxoles 51 have been developed recently (Scheme 24) [131]. This photochemical alkynylation was performed utilizing phenylglyoxylic acid as the photoinitiator under household fluorescent light bulb irradiation. Cyclic ethers 115 have been alkynylated at the α-position to afford products 117; meanwhile, the oxidative ring-opening reaction of S-heterocycles 116 led to thioalkynylated aldehydes 118. The latter transformation is unprecedented and proceeded in high yields with only a few sulfur oxidation side products. Non-cyclic thioethers were alkynylated as well with moderate to good yields, while protected carbohydrates and amino acids gave lower yields of products. The authors also mentioned that the alkynylation of N-heterocycles was not successful.
Scheme 24.
Photocatalytic direct C-H alkynylation of ethers 115 and the deconstructive alkynylation of thioethers 116 using alkynylbenziodoxoles 51.
Organophotocatalytic atom economical 1,2-oxyalkynylation of ene-carbamates 119 and enol ethers 121 using EBXs 51 in presence of hypervalent iodine compound 44 at room temperature affords functionalized amides 120 and ethers 122 in high yields (Scheme 25) [132]. An ene-carbamate radical cation is a key intermediate that ensures the anti-Markovnikov regioselectivity initiated by nucleophile addition, contrasting with the classical atom transfer radical addition mechanism usually invoked for the functionalization of alkenes with hypervalent iodine reagents [132].
Scheme 25.
Organophotocatalytic atom economical 1,2-oxyalkynylation of ene-carbamates 119 and enol ethers 121 using EBXs 51 and hypervalent iodine catalyst 44.
Aminoalkynes 126 with versatile alkyne and amine substituents are efficiently constructed from cycloalkylamides 123 via amidyl radicals enabled by EBXs 51 (Scheme 26) [133]. A catalytic amount of cyclic iodine(III) 125 facilitated the single-electron oxidation and ring-opening alkynylation of cycloalkylamides 123. The authors assumed a noncovalent activation of hypervalent iodine(III) reagents on the cycloalkylamides, which shows a vast difference compared to the covalent carboxylate/alcohol activation. Various α-amino-substitutions on the aminoalkynes 126 can be easily introduced by oxygen, sulfur, and carbon nucleophilic trapping, and the aminoalkyne products can readily derivatize to various fused azacycles with bioactivities.
Scheme 26.
Selective C(sp3)-C(sp3) cleavage/alkynylation of cycloalkylamides 123 using EBXs 51 and 125 as co-catalysts.
The radical reaction of SF5Cl with ethynylbenziodoxoles under blue LED irradiation gave the desired SF5-substituted alkynes in moderate to high yields [134]. The pentafluorosulfanyl derivatives have potential applications in materials and drug design, and served as valuable synthetic building blocks [135,136,137,138,139].
3.2.3. Transition Metal-Free Reactions
Functionalized alkyl- and aryl-substituted EBX reagents 51 have been used for the alkynylation of both aromatic and aliphatic thiols 127 to afford thioalkynes 128 in moderate to quantitative yields (Scheme 27a) [140]. Functional groups such as alkenes, alkynes, ethers, chlorides, azides, and alcohols were tolerated on the alkynes. In addition to simple thiophenols and benzylic thiols, the alkynylation of cysteine in a dipeptide, thioglycosides, thiobenzoic acid derivatives, and sodium hydrogen sulfide was also successful. Later, the alkynylation method has been efficiently used in the functionalization of cysteine residues in complex proteomes due to user-friendly aspects of the method, such as a 5 min reaction time, open-flask, water tolerance, and ambient temperature [141,142,143]. The method has been recently applied as the second step in a one-pot thioalkylation reaction [82].
Scheme 27.
Alkynylation reactions of thiols 127, 129 and sulfenates 131 using EBXs 51. See explanation of reactions (a–c) in the text. Selected examples of products obtained in the reactions (a–c) are shown at the bottom of the scheme. Structures of the transition states in the mechanism of reaction (b) are shown under (b*).
A general and efficient strategy for the synthesis of 1,2-dithio-1-alkenes 130 with excellent regioselectivity and stereoselectivity has been presented through unprecedented reactivity between the EBXs 51 and the thiols 129 (Scheme 27b) [144]. This operationally simple procedure utilizes mild conditions, resulting in a broad substrate scope and high functional group tolerance. The cis regioselectivity observed in the final products is created through a combination of two steps: cis-selective nucleophilic R1SH addition (TS-I) followed by a cis-specific radical R1SH addition (TS-II) (Scheme 27b*). Interestingly, different inorganic salts accelerate the reaction by acting as basic additives in the first RSH addition. Under the standard reaction conditions using Cs2CO3, the results suggest that the rate-limiting step is the formation of R1S• radicals from R1SH that takes place before the second R1SH addition. In addition, the method was effectively applied to the synthesis of a few examples of benzo-1,4-dithiines.
Alkynyl sulfoxides 132 can be efficiently synthesized under transition metal-free conditions from corresponding sulfenates 131 and EBXs 51 through retro Michael elimination initiated by tert-butoxide at low temperature and subsequent unstable sulfenate anion addition (Scheme 27c) [78]. The trapping of the resulting sulfenate anions with EBX reagents afforded alkyl and aryl alkynyl sulfoxides 132 in high yields. Additionally, two aryl vinyl sulfoxides were also isolated when using VBX reagents.
A wide range of heterocycles can be synthesized using EBXs under transition metal-free conditions [70,145,146,147]. Cossy et al. reported the synthesis of tetrahydropyrazines 134 from diamides 133 using TMS-EBX 51c in the presence of a strong base through 6-endo-dig cyclization of the ynamide intermediate A (Scheme 28a) [70]. A mild and straightforward synthetic protocol for the construction of 2-(oxazol-5-yl)phenol derivatives 136 promoted by K2CO3 from N-phenoxyamides 135 and alkynylbenziodoxoles 51 at room temperature has been developed through sequential [3,3]-rearrangement/alkylidene carbene insertion/Michael addition/cyclization (Scheme 28b) [70]. Later, the same group proposed transition metal-free substituent-controlled synthesis of two kinds of functionalized oxadiazine derivatives 138–139 from EBXs 51 and amidoximes 137 under one-base conditions (Scheme 28c) [146]. This strategy is very challenging because EBXs could form an O-vinylbenziodoxole intermediate, which can undergo two different 1,2-migration processes leading to two different oxadiazine derivatives. Another striking feature of the reaction is the switchable selectivity of EBXs to synthesize oxadiazine derivatives by adjusting substituent R1 of the amidoximes 137.
Scheme 28.
Transition metal-free EBXs 51-mediated synthesis of heterocycles. See explanation of reactions (a–d) in the text.
Very recently an atom economical synthesis of 4-imidazolidinones 141 from diamides 140 and TMS-EBX 51c via unprecedented double Michael-type addition under basic conditions has been proposed (Scheme 28d) [147].
Numerous works were dedicated to the alkynylation of activated carbonyl compounds with the use of EBXs [67,68,148,149,150]. In the pioneering work [67], Waser et al. proposed the ethynylation of keto, cyano, and nitroesters 142 with H-EBX 146, which is generated in situ from alkynylbenziodoxole 51c by TBAF treatment at low temperature (Scheme 29a). In their next work [68], an alkynylation method of cyclic keto esters was improved, as well as the scope of starting EBX reagents. Further reports concern the variations of reaction conditions (changing the base, additives, and temperature) and either carbonyl compounds or EBXs and, consequently, the scope of obtained products [148,149,150].
Scheme 29.
Alkynylation of activated carbonyl compounds 142 and α,α-disubstituted N-tert-butanesulfinyl ketimines 147 with the use of alkynylbenziodoxole 51c. See explanation of reactions (a,b) in the text. Selected examples of products obtained in the reactions (a,b) are shown at the bottom of the scheme.
Stereoselective electrophilic α-alkynylation of α,α-disubstituted N-tert-butanesulfinyl ketimines 147 using TMS-EBX 51c in the presence of fluoride have been proposed (Scheme 29b) [151]. Despite the steric and electronic similarity between the two α-substituents, the entire reaction proceeded in a strongly stereoselective manner: tBuOK promoted α-deprotonation of the acyclic ketamine 147 to generate stereodefined fully substituted aza-enolates, which stereoselectively formed C−C bonds with electrophilic alkynylation reagents, affording α-alkynylation products 148 with excellent stereocontrol.
4. Vinylbenziodoxoles (VBXs)
4.1. Synthesis and Structure
The interest in vinylbenziodoxoles (VBXs), also named alkenylbenziodoxoles, has recently significantly increased. Earlier works described the formation of VBXs as products in various addition reactions of alkynylbenziodoxoles [140,152,153]; however, the reactivity of VBXs was systematically investigated only in the last five to six years. In a recent review [10], various approaches to the synthesis of VBX reagents and their reactivity were described in detail; therefore, below we will consider only the main aspects and recent findings.
4.1.1. C-VBXs
In general, the vinylbenziodoxoles can be further classified as X-VBX and C-VBX, containing either heteroatom X or carbon substituent at the β-carbon of the vinyl moiety, respectively. Several examples of the preparation of C-VBX by a coupling reaction of various vinylboronic acids and hypervalent iodine compounds have been reported [154,155,156,157]. In 2016, Olofsson and co-workers proposed a one-pot synthesis of C-VBX 150 starting from 2-iodobenzoic acid 1a (Scheme 30) [154].
Scheme 30.
One-pot synthesis of C-VBX 171.
The cyclic structure of VBXs was confirmed by X-ray analysis of the styrylbenziodoxole 150a (Figure 3) [154]. The molecular structure has a distorted T-shape with an O-I-C(sp2) angle of 165.88 Å, which is similar to the reported arylbenziodoxoles [23,29,30,31] and alkynylbenziodoxolones [61,62,69]. The endocyclic I-O bond length of 2.51 Å is significantly longer than in alkynylbenziodoxoles [61,62,69], and in general, it is close to the I-O bond in the structure of arylbenziodoxolones [23,29,30,31]. This bond length trend is in agreement with the larger trans influence exerted by vinyl and aryl groups compared to alkynyl- and trifluoromethyl groups. The trans influence correlates with the Hammett inductive constants, which are similar for vinyl and phenyl groups [158,159].
Figure 3.
X-ray structure of vinylbenziodoxole 150a [154].
Despite the good tolerance of the functional groups in the alkene moiety and aromatic core, the main limitations of the synthesis of C-VBXs still need to be highlighted. Firstly, alkenyl boronic acids as a vinyl source are difficult to handle, and the use of other alkenyl- precursors was not successful so far. Secondly, the existing methods can be used only for the preparation of (E)-C-VBXs, and the synthesis of (Z)-isomers remains unknown, probably due to decomposition and isomerization issues [160,161].
Another interesting and facile preparation of C-VBXs was proposed by Yoshikai and co-workers [162]. Benziodoxole triflate 5, acting as an electrophile, promotes an iodo(III)-Meyer–Schuster rearrangement of propargylic alcohols 151 under simple and mild conditions to give α-λ3-iodanylenones 152 in moderate to good yields (Scheme 31). This transformation tolerates a wide range of functionalized propargylic alcohols 151, thus complementing the previously reported halogen-intercepted Meyer–Schuster rearrangement [163,164,165,166]. The α-λ3-iodanylenones 152 can be used for Pd-catalyzed cross-coupling reactions to afford multisubstituted enones.
Scheme 31.
Synthesis of vinylbenziodoxoles 152 from the benziodoxole triflate 5 and propargylic alcohols 151.
4.1.2. X-VBXs
In contrast to C-VBX, numerous papers reporting the addition reaction of S-, N-, O-, and X- nucleophiles to ethynylbenziodoxoles (EBXs) leading to the formation of various X-VBXs were published in the last 5 years [162,167,168,169,170,171,172,173,174,175]. In their pioneering publication, Kitamura and co-workers reported that the additional reaction of azide anion to alkynyl(o-carboxyphenyl)iodonium triflate 153 affords vinyl-substituted cyclic iodanes 154 as trans isomers (Scheme 32), which is in contrast to the previously known reactions of the non-cyclic alkynyliodonium salts [152].
Scheme 32.
First reported synthesis of vinylbenziodoxoles 154.
- Common approach starting from EBXs
The preparation of VBXs by addition reactions of various nucleophiles with EBXs 51 or 54 under different conditions is summarized in Table 1.
Table 1.
Preparation of X-VBX [74,140,143,153,167,168,169,170,176].
Waser’s group investigated reactions of S-nucleophiles 155 and revealed some mechanistic insights into the formation of X-VBX 162 (Table 1, entry 1) [140]. Furthermore, they successfully applied hypervalent iodine chemistry for the fast and selective peptide and protein 156 modification to obtain 163 (Table 1, entry 2) [140,141,142,143]. Various cis-β-N-derivatives of VBX 164–166 can be prepared from the EBX 51 with the use of catalytic amounts of the base at ambient temperature (Table 1, entries 3–5) [167,169]. The synthesis of O-VBXs 170 is also possible under basic conditions from phenols 160 and EBXs 51, as it is for N- and S-VBXs (Table 1, entry 9).
According to the data on the mentioned transformations (Table 1, entries 1–5, 9) and the detailed mechanistic investigation of the alkynylation of thiols [177], we can summarize the mechanism of stereoselective formation of X-VBXs 174 in the presence of a base (Scheme 33). Initially, the nucleophile adds to the β-carbon of EBX in the presence of a base to form vinyl anion 173 via preliminary coordination of nucleophile to the iodine center TS. Subsequently, 173 is effectively protonated to afford X-VBX 174. The equilibrium between 51, 173, and 174 lies strongly in favor of 174, allowing its isolation once the reaction mixture is neutralized. On the other hand, 173 reacts slowly and irreversibly via carbene 175 to form alkyne 176. Higher base concentration leads to an increased amount of anion 173, resulting finally in full conversion to alkyne 176.
Scheme 33.
Proposed general mechanism of stereoselective formation of X-VBXs 174 (a) and competitive alkynylation process (b).
Yoshikai and co-workers reported unprecedented Pd-catalyzed stereoselective 1,2-iodine(III) shift/1,1-difunctionalization affording (E)-O-VBXs 168–169 (Table 1, entries 6, 8). The reaction involves a Pd-assisted 1,2-iodine(III) shift of the EBX followed by a stereoselective introduction of functionality into the α-position of the transient Pd-vinylidene species B to give intermediate C (Table 1, entry 7) [153,176]. The products 168 and 169 of this 1,1-difunctionalization reaction serve as new building blocks for further synthetic transformations; for instance, Stille coupling and Sonogashira coupling [153]. Interestingly, Heck reaction conditions led to the decomposition of O-VBX 168–169, whereas a simple exposure of the latter to methyl acrylate resulted in clean E/Z isomeriozation to afford the Z-isomer [153].
In 2019, Yoshikai et al. reported anti-hydrochlorination and syn-iodochlorination of EBXs 51 using pyridine hydrochloride as an HCl source and iodine monochloride, respectively, for the synthesis of highly functionalized Cl-VBXs 171–172 (Table 1, entry 10) [170]. It should be noted that a narrower scope was observed for the iodochlorination, and alkyl-EBXs were not tolerated in the transformation. Nevertheless, both reactions were achieved using extremely simple reagents under mild, open-air conditions with high stereoselectivity.
- One-pot approach starting from other iodine (III) reagents
Several recent works by Yoshikai’s group were dedicated to the synthesis of highly substituted X-VBXs [162,171,172,173,174,175]. Among them is a stereoselective synthesis of vinyl ethers 181 via trans-difunctionalization of terminal and internal alkynes 177 by alcohols 179 or cyclopenthyl methyl ether (CPME) 180 and iodine(III) reagents 5 or 178 (Scheme 34a,b respectively) [171,172].
Scheme 34.
Synthesis of highly substituted X-VBXs 181 from iodine(III) reagents 5 (a) and 178 (b).
In contrast to general outcomes, trimethylsilylacetylene underwent the iodo(III)-etherification with opposite regioselectivity to afford the β-silyl vinyl ether 181d in 81% yield, presumably due to the ability of the silyl group to stabilize positive charge at the β-position [178]. Except for 181d, the 178/BF3/CPME system [171] gave better yields or proved equally efficient compared with the 5/MeOH system [162]. Both approaches have high tolerance toward a variety of functionalized internal and terminal alkynes 177, as well as various alcohols 179 (Scheme 34a), affording β-λ3-iodanyl vinyl ethers in good yields with high regio- and stereo-selectivities. The benziodoxole moiety (BX) of the products can be used as versatile precursors for the synthesis of structurally diverse stereochemically well-defined vinyl ethers that are difficult to access by other methods.
In continuation of these works, a Ritter-type trans-difuctionalization of alkynes 177 mediated by the trivalent iodine electrophile 5 for the stereoselective synthesis of multisubstituted enamides 183–184 has been developed (Scheme 35) [173]. The reaction conditions were carefully investigated including the water content and the reaction medium, and a variety of internal alkynes 177, as well as nitriles 182, were found to be applicable for the reaction to afford trans-iodanyl enamides 183–184 in moderate to good yields. Transformations of the C-I(III) bond and subsequent synthetic applications were demonstrated.
Scheme 35.
Stereoselective synthesis of highly substituted N-VBXs 183–184 from iodine(III) reagent 5, nitriles 182, and alkynes 177.
Very recently, the synthesis of β-iodo(III)enol carboxylates 187, phosphates 189, and tosylates 191 through regio- and stereo-selective iodo(III)functionalization of alkynes 177 was reported (Scheme 36) [175]. The combination of chlorobenziodoxole 185 and silver salt generates a cationic iodine(III) electrophile to activate alkynes 177 and involve different carboxylic acids 186, triethyl phosphate 188, and p-toluenesulfonic acid 190 as nucleophiles in an addition reaction.
Scheme 36.
Esterification-iodo(III)-functionalization of alkynes 177.
The approach to the synthesis of O-VBXs [172] was modified and applied for the preparation of β-alkoxy-β-amido vinylbenziodoxoles 194 via trans-iodo(III)etherification reaction of ynamides 192 with benziodoxole triflate 5 and alcohols 193 (Scheme 37) [174]. Despite the intrinsic susceptibility of electron-rich ynamides and enamides toward Brønsted acid, the desired β-alkoxy-β-amido VBXs 194 could be obtained in moderate to good yields under carefully controlled reaction conditions. High trans-selectivity of the reaction, as well as the ability to install a chiral oxazolidinone moiety, allows the use of β-alkoxy-β-amido VBXs in stereoselective transformations.
Scheme 37.
A trans-iodo(III)etherification reaction of ynamides 192 with benziodoxole triflate 5 and alcohols 193.
Finally, the reaction of vinylic nucleophilic substitution of pseudocyclic β-trifluorosulfonyloxy vinylbenziodoxoles 196 with azide anion allows obtaining β-azido vinylbenziodoxoles 197 with the retained configuration of double bond (Scheme 38) [179]. Starting pseudocyclic β-trifluorosulfonyloxy vinylbenziodoxoles 196 can be easily prepared using a one-pot procedure from hydroxybenziodoxoles 195 using TfOH [179] or Tf2O [180] treatment and an additional reaction of alkynes 177.
Scheme 38.
Synthesis of β-azido vinylbenziodoxoles 197.
4.2. Synthetic Applications
VBXs are used as synthetic equivalents of the alkenyl group. Only several publications are dedicated to the systematic studies of the reactivity of VBXs in vinylation reactions. The vast majority of works report isolated examples of VBX reactivity as part of broader studies in the field of hypervalent iodine chemistry; some of these works were summarized in a recent review [10]. In this section, only systematic studies of VBXs, as well as new examples of specific applications, will be considered.
4.2.1. Metal-Free Reactions
The first study of the vinylation reaction of C-VBX was published by Ochiai and coworkers in 1997. It was demonstrated that the reactions between C-VBX 150a and nitrocyclohexane 199 resulted in the regioselective formation of terminal alkene 201, which was opposite to the regioselectivity observed with acyclic vinyliodonium salt 198 [181] when the major product is internal alkene 200 (Scheme 39) [154]. In the reaction of C-VBX 150a, product 201 was isolated as a major product in 57% yield, when the reaction was performed with 2.0 eq. of 150a in DME for 72 h. The unusual product distribution indicates a different mechanistic pathway not involving radical intermediates [154].
Scheme 39.
Reactivity difference between C-VBX 150a and acyclic vinyliodonium salt 198.
The group of Olofsson employed C-VBXs 203 to vinylate a range of aliphatic and aromatic thiols 204 [157] and phosphine oxides 206 or H-phosphinates 207 [182] under mild and transition metal-free conditions (Scheme 40). The reported approaches allow for E-alkenyl sulfides 205 to synthesize, as well as terminal alk-1-enyl phosphine oxides 208 and alk-1-enyl phosphinates 209 with complete chemo- and regio-selectivity and good yields.
Scheme 40.
C-VBX 203 mediated vinylation reactions of thiols 204, phosphine oxides 206, or H-phosphinates 207.
Later Olofsson et al. conducted a detailed mechanistic study of C-VBX vinylations, including NMR studies, deuterium labeling, and computations, to figure out the observed regio- and stereo-chemical outcome (Scheme 41) [183]. According to this study, C-VBXs react by two different pathways leading either to the internal (205, Scheme 40) or the terminal (208 and 209, Scheme 40) alkene. Deuterium-labeling studies and computations support that the S-vinylation of thiol 204a proceeds through deprotonation followed by a ligand coupling to provide intermediate A and then the final internal alkenes 205a with retained E-configuration. The P-vinylation of diarylphosphine oxides 206a instead begins with I−O coordination of the corresponding phosphinous acid to C-VBX 150a, then simultaneous deprotonation and Michael-type addition leading to anionic intermediate B, which then transforms to the terminal alkene 208a through a base-assisted protonation (intermediate C) and E2 elimination. In this work, the general regioselectivity trend for VBX vinylations under metal-free conditions was predicted, where ambident nucleophiles will deliver terminal alkenes, whereas monodentate or strong nucleophiles will provide internal alkenes.
Scheme 41.
Proposed mechanistic pathways of P- and S-vinylation with the use of C-VBX 150a. Structures of key intermediates A–C are shown.
In 2017, Leonori’s group reported the first use of C-VBX 150 as coupling partners in a free-radical photoredox process in the presence of acridinium dye 211 (Scheme 42) [184]. A nitrogen-centered radical B was generated through a photoredox-initiated decarboxylation of oxime 210 via carboxy radical A, followed by cyclization to give alkyl radical C, which was trapped to afford nitrogen heterocycles 212. In the next step, C-VBX 150 was effectively employed as a radical trap with the complete retention of the alkene (E/Z) ratio to give products 212. Cy-VBX was also used in a single example to give the final product 212 (R1 = Ph, R2 = R3 = Me) in a 35% yield.
Scheme 42.
Free-radical photoredox vinylation of oximes 210 using C-VBX 150. Structures of key intermediates A–C are shown.
An umpolung strategy of enol ethers to generate oxy-allyl cation equivalents from O-VBXs 213 under mild basic conditions was reported [185]. A plethora of vinylated compounds 214 were obtained stereoselectively using O-, N-, and C- nucleophiles, including natural products and O-VBXs 213 (Scheme 43). The reaction was most efficient for phenols as nucleophiles, but the conditions were applied to the reaction with C- and N-nucleophiles as well. Furthermore, in the absence of external nucleophiles, in situ-generated 2-iodobenzoate species reacted as nucleophiles, resulting in the formation of allylic esters. Preparation of various allylic ethers was also succeed using EBXs as starting materials via O-VBX formation. The obtained enol ethers 214 could be transformed into α-difunctionalized ketones under oxidative conditions, demonstrating the synthetic utility of the transformation.
Scheme 43.
Vinylation of O-, N-, and C-nucleophiles using O-VBXs 213.
4.2.2. Metal-Catalyzed Reactions
In 2017, Nachtsheim and co-workers proposed transition metal-catalyzed NH2-directed C-H alkenylation of 2-vinylanilines 215 using C-VBXs 150 to synthesize functionalized 1,3-dienes 216 in excellent yields and high (Z/E)-stereoselectivity (Scheme 44) [155]. The key deprotonation metalation step was directed by the NH2 group, and C-VBXs showed superior reactivity in comparison with non-cyclic vinyliodonium salts.
Scheme 44.
Direct transition-metal catalyzed C-H alkenylation of 2-vinylanilines 215 with the use of C-VBXs 150.
The reported, in Section 4.1.2, N-VBXs 166 have been utilized in the cross-coupling reactions [167]. Pd-catalyzed Stille cross-coupling of vinyl, aryl, and alkyl stannyl reagents and N- and O-VBXs 166–167 to give products 217–218 can be conducted at ambient temperature (Scheme 45a), whereas a similar reaction with simple iodides required heating at 80–120 °C [129,186,187,188]. A direct comparison of the reactivity of monovalent versus hypervalent iodine toward cross-coupling was performed on the example of Stille coupling with iodide, but no conversion was observed at room temperature and 50 °C. Less than 10% of the desired product 217d was observed by 1H NMR, together with the significant decomposition of iodide, when the reaction was carried out at 75 °C. This result indicated the high reactivity and synthetic utility of the VBX enamide reagents 166.
Scheme 45.
Functionalization of the N- and O-VBXs 166–167. (a) Stille coupling; (b) Sonogashira coupling; (c) thiol addition.
Enyne 220 was then obtained in a 6:1 Z:E ratio through a Sonogashira coupling (Scheme 45b) [189,190,191]. Finally, the addition of a strong thiol nucleophile 204a was possible without a transition metal catalyst to give thioenamide 221 (Scheme 45c) [192,193,194].
Later, the group of Waser investigated the insertion of VBXs into various diazo compounds 222 under copper catalysis conditions (Scheme 46) [156]. The reaction was proposed to start with the nucleophilic attack of the carboxylate of VBX 150 onto the highly electrophilic copper carbene B generated by the reaction of the catalyst A with the diazo compound 222. Vinyl transfer from iodonium intermediate C would then give oxyvinylation product 225. No isomerization of the transferred alkene was observed. The reaction has a good tolerance toward different functional groups in the structure of olefin. The extension of the strategy to a three-component reaction with alcohol nucleophiles 224 and the use of non-nucleophilic benziodoxole-based VBX 223 allowed the synthesis of structurally diverse allylic ethers 226. All obtained products can be further modified to give important building blocks.
Scheme 46.
Oxyvinylation of diazo compounds 222 using C-VBXs 150 or 223. Structures of key intermediates A–C are shown in the proposed mechanism.
5. Conclusions
In summary, the carbon-bonded iodine(III) reagents such as arylbenziodoxoles, ethynylbenziodoxoles, and vinylbenziodoxoles have increased stability in comparison with their acyclic analogs. These reagents can be conveniently prepared from either iodine(I) precursors by one-pot approaches or from other hypervalent iodine compounds. Arylbenziodoxoles, ethynylbenziodoxoles, and vinylbenziodoxoles serve as ‘group transfer reagents’ in a wide range of reactions to afford complex and hard-to-synthesize or/and highly substituted products, which can be modified in further transformations.
Arylbenziodoxoles represent the most stable and readily available class of benziodoxoles; however, their synthetic applications remain limited. The most investigated reaction of arylbenziodoxoles is the benzyne generation under thermal decomposition conditions with subsequent arylation of various nucleophiles. Nucleophilic substitution reactions of arylbenziodoxoles are less investigated and require using transition metal catalysts or heating.
Ethynylbenziodoxoles (EBXs) have been effectively used for the direct alkynylation of diverse nucleophiles, as well as for heterocycle constructions by cascade reactions. These reagents can be applied under various reaction conditions, such as transition metal catalysis, photoredox catalysis, organocatalysis, and transition metal-free reactions to afford a plethora of alkynylated products. The main limitation of these reagents concerns their synthesis, requiring alkynylboronates as starting compounds and purification of the final EBXs.
Vinylbenziodoxoles (VBXs) have attracted recent attention and in many cases were investigated as the products of addition reactions of alkynylbenziodoxoles. VBXs can be used as E,Z-selective vinylating reagents for the preparation of various substituted olefins. We believe that in the future, VBXs will find broad application in organic synthesis as convenient and versatile group transfer reagents.
Author Contributions
Conceptualization, V.V.Z., M.S.Y. and I.A.M.; writing—review and editing, I.A.M., D.M.N., V.V.Z. and A.Y.; visualization, I.A.M.; fund acquisition, M.S.Y. and V.V.Z.; project administration, V.V.Z., M.S.Y. and I.A.M.; supervision, V.V.Z., M.S.Y. and A.Y. All authors have read and agreed to the published version of the manuscript.
Funding
This work was supported by the Russian Science Foundation (project No. 21-73-20031). V.V.Z. is thankful to the National Science Foundation (CHE-1759798) for support of his research program on hypervalent iodine chemistry at the University of Minnesota, Duluth.
Informed Consent Statement
Not applicable.
Data Availability Statement
Data is contained within the article.
Conflicts of Interest
The authors declare no conflict of interest.
Sample Availability
Samples of the compounds are not available from the authors.
References
- Zhdankin, V.V. Hypervalent Iodine Chemistry: Preparation, Structure, and Synthetic Applications of Polyvalent Iodine Compounds; John Wiley and Sons: Chichester, UK, 2013. [Google Scholar]
- Yoshimura, A.; Zhdankin, V.V. Advances in Synthetic Applications of Hypervalent Iodine Compounds. Chem. Rev. 2016, 116, 3328–3435. [Google Scholar] [CrossRef]
- Olofsson, B.; Marek, I.; Rappoport, Z. (Eds.) Patai’s Chemistry of Functional Groups: The Chemistry of Hypervalent Halogen Compounds; Wiley: Chichester, UK, 2019. [Google Scholar]
- Wirth, T. (Ed.) Hypervalent Iodine Chemistry: Modern Developments in Organic Synthesis; Springer: Berlin/Heidelberg, Germany, 2016. [Google Scholar]
- Peng, X.; Rahim, A.; Peng, W.; Jiang, F.; Gu, Z.; Wen, S. Recent Progress in Cyclic Aryliodonium Chemistry: Syntheses and Applications. Chem. Rev. 2023, 123, 1364–1416. [Google Scholar] [CrossRef] [PubMed]
- Zhdankin, V.V. Iodine Heterocycles. Adv. Heterocycl. Chem. 2015, 115, 1–91. [Google Scholar] [CrossRef]
- Li, Y.; Hari, D.P.; Vita, M.V.; Waser, J. Cyclic Hypervalent Iodine Reagents for Atom-Transfer Reactions: Beyond Trifluoromethylation. Angew. Chem. Int. Ed. 2016, 55, 4436–4454. [Google Scholar] [CrossRef]
- Mironova, I.A.; Kirsch, S.F.; Zhdankin, V.V.; Yoshimura, A.; Yusubov, M.S. Hypervalent Iodine-Mediated Azidation Reactions. Eur. J. Org. Chem. 2022, 2022, e202200754. [Google Scholar] [CrossRef]
- Hari, D.P.; Caramenti, P.; Waser, J. Cyclic Hypervalent Iodine Reagents: Enabling Tools for Bond Disconnection via Reactivity Umpolung. Acc. Chem. Res. 2018, 51, 3212–3225. [Google Scholar] [CrossRef]
- Declas, N.; Pisella, G.; Waser, J. Vinylbenziodoxol(on)es: Synthetic Methods and Applications. Helv. Chim. Acta 2020, 103, e2000191. [Google Scholar] [CrossRef]
- Hyatt, I.F.D.; Dave, L.; David, N.; Kaur, K.; Medard, M.; Mowdawalla, C. Hypervalent iodine reactions utilized in carbon-carbon bond formations. Org. Biomol. Chem. 2019, 17, 7822–7848. [Google Scholar] [CrossRef]
- de Meijere, A.; Diederich, F. (Eds.) Metal-Catalyzed Cross-Coupling Reactions, 2nd ed.; Wiley-VCH: Weinheim, Germany, 2004. [Google Scholar]
- Johansson Seechurn, C.C.C.; Kitching, M.O.; Colacot, T.J.; Snieckus, V. Palladium-Catalyzed Cross-Coupling: A Historical Contextual Perspective to the 2010 Nobel Prize. Angew. Chem. Int. Ed. 2012, 51, 5062–5085. [Google Scholar] [CrossRef]
- Biffis, A.; Centomo, P.; Del Zotto, A.; Zecca, M. Pd Metal Catalysts for Cross-Couplings and Related Reactions in the 21st Century: A Critical Review. Chem. Rev. 2018, 118, 2249–2295. [Google Scholar] [CrossRef] [PubMed]
- Campeau, L.-C.; Hazari, N. Cross-Coupling and Related Reactions: Connecting Past Success to the Development of New Reactions for the Future. Organometallics 2019, 38, 3–35. [Google Scholar] [CrossRef] [PubMed]
- Suseelan Sarala, A.; Bhowmick, S.; de Carvalho, R.L.; Al-Thabaiti, S.A.; Mokhtar, M.; da Silva, E.N.J.; Maiti, D. Transition-Metal-Catalyzed Selective Alkynylation of C-H Bonds. Adv. Synth. Catal. 2021, 363, 4994–5027. [Google Scholar] [CrossRef]
- Beringer, F.M.; Lillien, I. Diaryliodonium salts. XIII. Salts in which the cations bear carboxyl, hydroxyl, alkoxyl or amino groups. J. Am. Chem. Soc. 1960, 82, 725–731. [Google Scholar] [CrossRef]
- Beringer, F.M.; Huang, S.J. Diaryliodonium salts. XX. Rearrangement and cleavage of 2-aryliodoniobenzoates. Trapping agents for benzyne. J. Org. Chem. 1964, 29, 445–448. [Google Scholar] [CrossRef]
- Fieser, L.F.; Haddadin, M.J. 1,2,3,4-Tetraphenylnaphthalene. (Naphthalene, 1,2,3,4-tetraphenyl-). Org. Synth. 1966, 46, 107–112. [Google Scholar]
- Bonilha, J.B.S.; Petragnani, N.; Toscano, V.G. The reaction of diaryliodonium-2-carboxylates with diaryl ditellurides, diaryl diselenides, or diaryl selenaditellurides. Chem. Ber. 1978, 111, 2510–2516. [Google Scholar] [CrossRef]
- Miller, R.D.; Franz, L.; Fickes, G.N. 2,5-Disubstituted benzotricyclo[4.2.1.02,5]nonanes: Photochemical precursors to substituted bridged o-xylene derivatives. J. Org. Chem. 1985, 50, 3200–3203. [Google Scholar] [CrossRef]
- Merritt, E.A.; Olofsson, B. Synthesis of a Range of Iodine(III) Compounds Directly from Iodoarenes. Eur. J. Org. Chem. 2011, 2011, 3690–3694. [Google Scholar] [CrossRef]
- Yusubov, M.S.; Yusubova, R.Y.; Nemykin, V.N.; Zhdankin, V.V. Preparation and X-ray Structural Study of 1-Arylbenziodoxolones. J. Org. Chem. 2013, 78, 3767–3773. [Google Scholar] [CrossRef]
- Yusubov, M.S.; Soldatova, N.S.; Postnikov, P.S.; Valiev, R.R.; Svitich, D.Y.; Yusubova, R.Y.; Yoshimura, A.; Wirth, T.; Zhdankin, V.V. Reactions of 1-Arylbenziodoxolones with Azide Anion: Experimental and Computational Study of Substituent Effects. Eur. J. Org. Chem. 2018, 2018, 640–647. [Google Scholar] [CrossRef]
- Morrison, G.F.; Hooz, J. Observations related to the preparation of 2-phenyliodoniobenzoate. J. Org. Chem. 1970, 35, 1196–1198. [Google Scholar] [CrossRef]
- Wu, B.; Wu, J.; Yoshikai, N. Benziodoxole Triflate as a Versatile Reagent for Iodo(III)cyclization of Alkynes. Chem. Asian J. 2017, 12, 3123–3127. [Google Scholar] [CrossRef] [PubMed]
- Ding, W.; Wang, C.; Tan, J.R.; Ho, C.C.; Leon, F.; Garcia, F.; Yoshikai, N. Site-selective aromatic C-H λ3-iodanation with a cyclic iodine(III) electrophile in solution and solid phases. Chem. Sci. 2020, 11, 7356–7361. [Google Scholar] [CrossRef] [PubMed]
- Yoshimura, A.; Larson, S.M.; Frahm, G.B.; Huss, C.D.; Rohde, G.T.; Nemykin, V.N.; Yusubov, M.S.; Saito, A.; Zhdankin, V.V. Synthesis of arylbenziodoxoles using pseudocyclic benziodoxole triflate and arenes. ARKIVOC 2020, 2020, 35–49. [Google Scholar] [CrossRef]
- Batchelor, R.J.; Birchall, T.; Sawyer, J.F. Crystal structure and iodine-127 Moessbauer spectrum of diphenyliodonium-2-carboxylate hydrate, C13H9IO2.H2O: Secondary vs. hydrogen bonding. Inorg. Chem. 1986, 25, 1415–1420. [Google Scholar] [CrossRef]
- Yoshimura, A.; Shea, M.T.; Guselnikova, O.; Postnikov, P.S.; Rohde, G.T.; Saito, A.; Yusubov, M.S.; Nemykin, V.N.; Zhdankin, V.V. Preparation and structure of phenolic aryliodonium salts. Chem. Commun. 2018, 54, 10363–10366. [Google Scholar] [CrossRef] [PubMed]
- Almasalma, A.A.; Mejia, E. 1-Phenyl-1,2-benziodoxol-3-(1H)-one as Synthon for Phthalide Synthesis through Pd-Free, Base-Free, Sonogashira-Type Coupling Cyclization Reaction. Eur. J. Org. Chem. 2018, 2018, 188–195. [Google Scholar] [CrossRef]
- Yoshimura, A.; Yusubov, M.S.; Zhdankin, V.V. Synthetic applications of pseudocyclic hypervalent iodine compounds. Org. Biomol. Chem. 2016, 14, 4771–4781. [Google Scholar] [CrossRef]
- Koposov, A.Y.; Nemykin, V.N.; Zhdankin, V.V. Intra- and intermolecular interactions in the solid state structure of 2-iodylbenzenesulfonamides: A heptacoordinated organic iodine(v) compound. New J. Chem. 2005, 29, 998–1000. [Google Scholar] [CrossRef]
- Bondi, A. van der Waals volumes and radii. J. Phys. Chem. 1964, 68, 441–451. [Google Scholar] [CrossRef]
- Yoshimura, A.; Saito, A.; Zhdankin, V.V. Iodonium Salts as Benzyne Precursors. Chem. Eur. J. 2018, 24, 15156–15166. [Google Scholar] [CrossRef] [PubMed]
- Le Goff, E. Aprotic generation of benzyne from diphenyliodonium-2-carboxylate. J. Am. Chem. Soc. 1962, 84, 3786. [Google Scholar] [CrossRef]
- Beringer, F.M.; Huang, S.J. Diaryliodonium salts. XXIII. Effects of substituents on the rearrangement of 2’-aryliodoniobenzoates and their cleavage to benzyne. J. Org. Chem. 1964, 29, 1637–1638. [Google Scholar] [CrossRef]
- Luis, S.V.; Gavina, F.; Ferrer, P.; Safont, V.S.; Torres, M.C.; Burguete, M.I. Nonconcerted pathways in the generation of dehydroarenes by thermal decomposition of diaryliodonium carboxylates. Tetrahedron 1989, 45, 6281–6296. [Google Scholar] [CrossRef]
- Dias, J.R.; Liu, B. A comprehensive study of isoskeletal analogs of dibenzo[a,c]anthracene. Monatsh. Chem. 1990, 121, 13–30. [Google Scholar] [CrossRef]
- Smith, W.B. Addition of benzyne to thiophene-a DFT study. J. Phys. Org. Chem. 2005, 18, 477–480. [Google Scholar] [CrossRef]
- Reinecke, M.G.; Del Mazza, D.; Obeng, M. Thiophenes as Traps for Benzyne. 3. Diaryl Sulfides and the Role of Dipolar Intermediates. J. Org. Chem. 2003, 68, 70–74. [Google Scholar]
- Del Mazza, D.; Reinecke, M.G. Thiophenes as traps for benzyne. 1. The role of the precursor. J. Org. Chem. 1988, 53, 5799–5806. [Google Scholar] [CrossRef]
- Del Mazza, D.; Reinecke, M.G. On the reactivity of thiophene as a trap for benzyne. Heterocycles 1980, 14, 647. [Google Scholar]
- Del Mazza, D.; Reinecke, M.G. 1,3-Cycloaddition of benzyne to thiophenes. J. Chem. Soc. Chem. Commun. 1981, 3, 124–125. [Google Scholar] [CrossRef]
- Reinecke, M.G.; Del Mazza, D. Thiophenes as traps for benzyne. 2. Cycloaddition and ene reactions. J. Org. Chem. 1989, 54, 2142–2146. [Google Scholar]
- Petragnani, N.; Toscano, V.G. Reaction of benzyne with ditellurides, diselenides, and disulfides. Chem. Ber. 1970, 103, 1652–1653. [Google Scholar] [CrossRef]
- Nakayama, J.; Tajiri, T.; Hoshino, M. Insertion of benzyne and substituted benzynes into the S-S bond of diphenyl and di-p-tolyl disulfides yielding the corresponding o-bis(arylthio)benzenes. Bull. Chem. Soc. Jpn. 1986, 59, 2907–2908. [Google Scholar] [CrossRef]
- Schuster, I.I.; Craciun, L.; Ho, D.M.; Pascal, R.A. Synthesis of a strained, air-sensitive, polycyclic aromatic hydrocarbon by means of a new 1,4-benzadiyne equivalent. Tetrahedron 2002, 58, 8875–8882. [Google Scholar] [CrossRef]
- Scherrer, R.A.; Beatty, H.R. Preparation of o-substituted benzoic acids by the copper(II)-catalyzed reaction of diphenyliodonium-2-carboxylate with anilines and other nucleophiles. J. Org. Chem. 1980, 45, 2127–2131. [Google Scholar] [CrossRef]
- Ozerskaya, A.V.; Larkina, M.S.; Podrezova, E.V.; Svitich, D.Y.; Yusubova, R.Y.; Zhdankin, V.V.; Yusubov, M.S. Synthesis of 2-fluorobenzoic acids by nucleophilic fluorination of 1-arylbenziodoxolones. ARKIVOC 2022, vii, 108–125. [Google Scholar] [CrossRef]
- Preshlock, S.; Tredwell, M.; Gouverneur, V. 18F-Labeling of Arenes and Heteroarenes for Applications in Positron Emission Tomography. Chem. Rev. 2016, 116, 719–766. [Google Scholar] [CrossRef]
- Yusubov, M.S.; Svitich, D.Y.; Larkina, M.S.; Zhdankin, V.V. Applications of iodonium salts and iodonium ylides as precursors for nucleophilic fluorination in Positron Emission Tomography. ARKIVOC 2013, i, 364–395. [Google Scholar] [CrossRef]
- Caramenti, P.; Nicolai, S.; Waser, J. Indole- and Pyrrole-BX: Bench-Stable Hypervalent Iodine Reagents for Heterocycle Umpolung. Chem. Eur. J. 2017, 23, 14702–14706. [Google Scholar] [CrossRef]
- Diederich, F.; Stang, P.J.; Tykwinski, R.R. Acetylene Chemistry: Chemistry, Biology and Material Science; Wiley-VCH: Weinheim, Germany, 2005. [Google Scholar]
- Banerjee, S.; Bhoyare, V.W.; Patil, N.T. Gold and hypervalent iodine(III): Liaisons over a decade for electrophilic functional group transfer reactions. Chem. Commun. 2020, 56, 2677–2690. [Google Scholar] [CrossRef]
- Chen, C.; Wang, X.; Yang, T. Recent synthetic applications of the hypervalent iodine(III) reagents in visible-light-induced photoredox catalysis. Front. Chem. 2020, 8, 551159. [Google Scholar] [CrossRef] [PubMed]
- Brand, J.P.; Waser, J. Electrophilic alkynylation. The dark side of acetylene chemistry. Chem. Soc. Rev. 2012, 41, 4165–4179. [Google Scholar] [CrossRef] [PubMed]
- Le Vaillant, F.; Waser, J. Alkynylation of radicals: Spotlight on the “Third Way” to transfer triple bonds. Chem. Sci. 2019, 10, 8909–8923. [Google Scholar] [CrossRef]
- Yoshikai, N. Exploring New Reactions and Syntheses of Trivalent Iodine Compounds. J. Synth. Org. Chem. Jpn. 2022, 80, 1011–1018. [Google Scholar] [CrossRef]
- Kaschel, J.; Werz, D.B. Ethynyl Benziodoxolone (EBX): Installing Alkynes the Reversed Way. Angew. Chem. Int. Ed. 2015, 54, 8876–8878. [Google Scholar] [CrossRef] [PubMed]
- Ochiai, M.; Masaki, Y.; Shiro, M. Synthesis and structure of 1-alkynyl-1,2-benziodoxol-3(1H)-ones. J. Org. Chem. 1991, 56, 5511–5513. [Google Scholar] [CrossRef]
- Brand, J.P.; Chevalley, C.; Scopelliti, R.; Waser, J. Ethynyl Benziodoxolones for the Direct Alkynylation of Heterocycles: Structural Requirement, Improved Procedure for Pyrroles, and Insights into the Mechanism. Chem. Eur. J. 2012, 18, 5655–5666. [Google Scholar] [CrossRef]
- Zhdankin, V.V.; Kuehl, C.J.; Krasutsky, A.P.; Bolz, J.T.; Simonsen, A.J. 1-(Organosulfonyloxy)-3(1H)-1,2-benziodoxoles: Preparation and Reactions with Alkynyltrimethylsilanes. J. Org. Chem. 1996, 61, 6547–6551. [Google Scholar] [CrossRef]
- Zhdankin, V.V.; Persichini, P.J., III; Cui, R.; Jin, Y. A convenient synthesis of alkynyliodonium salts from alkynylboronates and hypervalent iodine reagents. Synlett 2000, 31, 719–721. [Google Scholar]
- Brand, J.P.; Waser, J. Direct alkynylation of thiophenes: Cooperative activation of TIPS-EBX with gold and Broensted acids. Angew. Chem. Int. Ed. 2010, 49, 7304–7307. [Google Scholar] [CrossRef]
- Nicolai, S.; Piemontesi, C.; Waser, J. A Palladium-Catalyzed Aminoalkynylation Strategy towards Bicyclic Heterocycles: Synthesis of (±)-Trachelanthamidine. Angew. Chem. Int. Ed. 2011, 50, 4680–4683. [Google Scholar] [CrossRef]
- Fernandez Gonzalez, D.; Brand, J.P.; Waser, J. Ethynyl-1,2-benziodoxol-3(1H)-one (EBX): An Exceptional Reagent for the Ethynylation of Keto, Cyano, and Nitro Esters. Chem. Eur. J. 2010, 16, 9457–9461. [Google Scholar] [CrossRef]
- Fernandez Gonzalez, D.; Brand, J.P.; Mondiere, R.; Waser, J. Ethynylbenziodoxolones (EBX) as Reagents for the Ethynylation of Stabilized Enolates. Adv. Synth. Catal. 2013, 355, 1631–1639. [Google Scholar] [CrossRef]
- Dixon, L.I.; Carroll, M.A.; Gregson, T.J.; Ellames, G.J.; Harrington, R.W.; Clegg, W. Unprecedented regiochemical control in the formation of aryl[1,2-a]imidazopyridines from alkynyliodonium salts: Mechanistic insights. Org. Biomol. Chem. 2013, 11, 5877–5884. [Google Scholar] [CrossRef] [PubMed]
- Aubineau, T.; Cossy, J. Chemoselective alkynylation of N-sulfonylamides versus amides and carbamates—Synthesis of tetrahydropyrazines. Chem. Commun. 2013, 49, 3303–3305. [Google Scholar] [CrossRef]
- Huang, H.; Zhang, G.; Gong, L.; Zhang, S.; Chen, Y. Visible-Light-Induced Chemoselective Deboronative Alkynylation under Biomolecule-Compatible Conditions. J. Am. Chem. Soc. 2014, 136, 2280–2283. [Google Scholar] [CrossRef] [PubMed]
- Huang, H.; Zhang, G.; Chen, Y. Dual hypervalent iodine(III) reagents and photoredox catalysis enable decarboxylative ynonylation under mild conditions. Angew. Chem. Int. Ed. 2015, 54, 7872–7876. [Google Scholar] [CrossRef] [PubMed]
- Jia, K.; Zhang, F.; Huang, H.; Chen, Y. Visible-Light-Induced Alkoxyl Radical Generation Enables Selective C(sp3)–C(sp3) Bond Cleavage and Functionalizations. J. Am. Chem. Soc. 2016, 138, 1514–1517. [Google Scholar] [CrossRef]
- Shimbo, D.; Shibata, A.; Yudasaka, M.; Maruyama, T.; Tada, N.; Uno, B.; Itoh, A. Synthesis of cis-β-Amidevinyl Benziodoxolones from the Ethynyl Benziodoxolone–Chloroform Complex and Sulfonamides. Org. Lett. 2019, 21, 9769–9773. [Google Scholar] [CrossRef]
- Caspers, L.D.; Finkbeiner, P.; Nachtsheim, B.J. Direct Electrophilic C-H Alkynylation of Unprotected 2-Vinylanilines. Chem. Eur. J. 2017, 23, 2748–2752. [Google Scholar] [CrossRef]
- Székely, A.; Péter, Á.; Aradi, K.; Tolnai, G.L.; Novák, Z. Gold-Catalyzed Direct Alkynylation of Azulenes. Org. Lett. 2017, 19, 954–957. [Google Scholar] [CrossRef]
- Göbel, D.; Clamor, N.; Nachtsheim, B.J. Regioselective ortho-functionalization of bromofluorenecarbaldehydes using TMPMgCl·LiCl. Org. Biomol. Chem. 2018, 16, 4071–4075. [Google Scholar] [CrossRef]
- Amos, S.G.E.; Nicolai, S.; Gagnebin, A.; Le Vaillant, F.; Waser, J. Metal-Free Electrophilic Alkynylation of Sulfenate Anions with Ethynylbenziodoxolone Reagents. J. Org. Chem. 2019, 84, 3687–3701. [Google Scholar] [CrossRef] [PubMed]
- Luo, X.; Wang, P. Ynonylation of Acyl Radicals by Electroinduced Homolysis of 4-Acyl-1,4-dihydropyridines. Org. Lett. 2021, 23, 4960–4965. [Google Scholar] [CrossRef]
- Bouma, M.J.; Olofsson, B. General one-pot synthesis of alkynyliodonium salts and alkynyl benziodoxolones from aryl iodides. Chem. Eur. J. 2012, 18, 14242–14245. [Google Scholar] [CrossRef] [PubMed]
- Hari, D.P.; Caramenti, P.; Schouwey, L.; Chang, M.; Nicolai, S.; Bachert, D.; Wright, T.; Orella, C.; Waser, J. One-Pot Synthesis of 1-[(Triisopropylsilyl)ethynyl]-1,2-benziodoxol-3(1H)-one (TIPS-EBX): Process Safety Assessment and Impact of Impurities on Product Stability. Org. Process. Res. Dev. 2020, 24, 106–110. [Google Scholar] [CrossRef]
- Borrel, J.; Waser, J. Tosyloxybenziodoxolone: A Platform for Performing the Umpolung of Alkynes in One-Pot Transformations. Org. Lett. 2022, 24, 142–146. [Google Scholar] [CrossRef]
- Sun, X.; Guo, X.-Q.; Chen, L.-M.; Kang, T.-R. Synthesis, Characterization of Spirocyclic λ3-Iodanes and Their Application to Prepare 4,1-Benzoxazepine-2,5-diones and 1,3-Diynes. Chem. Eur. J. 2021, 27, 4312–4316. [Google Scholar] [CrossRef]
- Li, J.; Zhou, C.; Liang, H.; Guo, X.-Q.; Chen, L.-M.; Kang, T.-R. Direct One-Pot Construction of Diaryl Thioethers and 1,3-Diynes through a Copper(I)-Catalyzed Reaction of λ3-Iodanes with Thiophenols. Eur. J. Org. Chem. 2022, 2022, e202200613. [Google Scholar] [CrossRef]
- Le Du, E.; Waser, J. Recent progress in alkynylation with hypervalent iodine reagents. Chem. Commun. 2023, 59, 1589–1604. [Google Scholar] [CrossRef]
- Brand, J.P.; Charpentier, J.; Waser, J. Direct Alkynylation of Indole and Pyrrole Heterocycles. Angew. Chem. Int. Ed. 2009, 48, 9346–9349. [Google Scholar] [CrossRef]
- Ariafard, A. A Density Functional Theory (DFT) Mechanistic Study of Gold(I)-Catalyzed Alkynylation of the Indole and Pyrrole Substrates, Using a Hypervalent Iodine Reagent. ACS Catal. 2014, 4, 2896–2907. [Google Scholar] [CrossRef]
- Yang, Y.; Antoni, P.; Zimmer, M.; Sekine, K.; Mulks, F.F.; Hu, L.; Zhang, L.; Rudolph, M.; Rominger, F.; Hashmi, A.S.K. Dual Gold/Silver Catalysis Involving Alkynylgold(III) Intermediates Formed by Oxidative Addition and Silver-Catalyzed C-H Activation for the Direct Alkynylation of Cyclopropenes. Angew. Chem. Int. Ed. 2019, 58, 5129–5133. [Google Scholar] [CrossRef] [PubMed]
- Yang, Y.; Eberle, L.; Mulks, F.F.; Wunsch, J.F.; Zimmer, M.; Rominger, F.; Rudolph, M.; Hashmi, A.S.K. Trans Influence of Ligands on the Oxidation of Gold(I) Complexes. J. Am. Chem. Soc. 2019, 141, 17414–17420. [Google Scholar] [CrossRef] [PubMed]
- Hari Babu, M.; Dwivedi, V.; Kant, R.; Sridhar Reddy, M. Palladium-Catalyzed Regio- and Stereoselective Cross-Addition of Terminal Alkynes to Ynol Ethers and Synthesis of 1,4-Enyn-3-ones. Angew. Chem. Int. Ed. 2015, 54, 3783–3786. [Google Scholar] [CrossRef] [PubMed]
- Banerjee, S.; Ambegave, S.B.; Mule, R.D.; Senthilkumar, B.; Patil, N.T. Gold-Catalyzed Alkynylative Meyer-Schuster Rearrangement. Org. Lett. 2020, 22, 4792–4796. [Google Scholar] [CrossRef]
- Wang, Z.; Li, X.; Huang, Y. Direct α-Vinylidenation of Aldehydes and Subsequent Cascade: Gold and Amine Catalysts Work Synergistically. Angew. Chem. Int. Ed. 2013, 52, 14219–14223. [Google Scholar] [CrossRef]
- Wang, Z.; Li, L.; Huang, Y. A General Synthesis of Ynones from Aldehydes via Oxidative C-C bond Cleavage under Aerobic Conditions. J. Am. Chem. Soc. 2014, 136, 12233–12236. [Google Scholar] [CrossRef]
- Banerjee, S.; Senthilkumar, B.; Patil, N.T. Gold-Catalyzed 1,2-Oxyalkynylation of N-Allenamides with Ethylnylbenziodoxolones. Org. Lett. 2019, 21, 180–184. [Google Scholar] [CrossRef]
- Liu, Y.; Dietl, M.C.; Han, C.; Rudolph, M.; Rominger, F.; Kraemer, P.; Hashmi, A.S.K. Synthesis of Amide Enol 2-Iodobenzoates by the Regio- and Stereoselective Gold-Catalyzed Acyloxyalkynylation of Ynamides with Hypervalent Iodine Reagents. Org. Lett. 2022, 24, 7101–7106. [Google Scholar] [CrossRef]
- Hari, D.P.; Waser, J. Copper-Catalyzed Oxy-Alkynylation of Diazo Compounds with Hypervalent Iodine Reagents. J. Am. Chem. Soc. 2016, 138, 2190–2193. [Google Scholar] [CrossRef]
- Hari, D.P.; Waser, J. Enantioselective Copper-Catalyzed Oxy-Alkynylation of Diazo Compounds. J. Am. Chem. Soc. 2017, 139, 8420–8423. [Google Scholar] [CrossRef]
- Borrel, J.; Pisella, G.; Waser, J. Copper-Catalyzed Oxyalkynylation of C-S Bonds in Thiiranes and Thietanes with Hypervalent Iodine Reagents. Org. Lett. 2020, 22, 422–427. [Google Scholar] [CrossRef]
- Pisella, G.; Gagnebin, A.; Waser, J. Three-Component Reaction for the Synthesis of Highly Functionalized Propargyl Ethers. Chem. Eur. J. 2020, 26, 10199–10204. [Google Scholar] [CrossRef]
- Ramirez, N.P.; Pisella, G.; Waser, J. Cu(I)-Catalyzed gem-Aminoalkynylation of Diazo Compounds: Synthesis of Fluorinated Propargylic Amines. J. Org. Chem. 2021, 86, 10928–10938. [Google Scholar] [CrossRef]
- Tokimizu, Y.; Oishi, S.; Fujii, N.; Ohno, H. Gold-Catalyzed Cascade Cyclization of (Azido)ynamides: An Efficient Strategy for the Construction of Indoloquinolines. Org. Lett. 2014, 16, 3138–3141. [Google Scholar] [CrossRef]
- Takai, R.; Shimbo, D.; Tada, N.; Itoh, A. Ligand-enabled copper-catalyzed N-alkynylation of sulfonamide with alkynyl benziodoxolone: Synthesis of amino acid-derived ynamide. J. Org. Chem. 2021, 86, 4699–4713. [Google Scholar] [CrossRef] [PubMed]
- Kawakami, R.; Usui, S.; Tada, N.; Itoh, A. Late-stage diversification strategy for synthesizing ynamides through copper-catalyzed diynylation and azide-alkyne cycloaddition. Chem. Commun. 2023, 59, 450–453. [Google Scholar] [CrossRef] [PubMed]
- Brand, J.P.; Waser, J. Synthesis of 1-[(triisopropylsilyl)ethynyl]-1λ3,2-benziodoxol-3(1H)-one and alkynylation of indoles, thiophenes, and anilines. Synthesis 2012, 44, 1155–1158. [Google Scholar] [CrossRef]
- Tolnai, G.L.; Ganss, S.; Brand, J.P.; Waser, J. C2-Selective Direct Alkynylation of Indoles. Org. Lett. 2013, 15, 112–115. [Google Scholar] [CrossRef]
- Nicolai, S.; Erard, S.; Gonzalez, D.F.; Waser, J. Pd-Catalyzed Intramolecular Oxyalkynylation of Alkenes with Hypervalent Iodine. Org. Lett. 2010, 12, 384–387. [Google Scholar] [CrossRef]
- Lu, B.; Wu, J.; Yoshikai, N. Palladium-Catalyzed Condensation of N-Aryl Imines and Alkynylbenziodoxolones to Form Multisubstituted Furans. J. Am. Chem. Soc. 2014, 136, 11598–11601. [Google Scholar] [CrossRef] [PubMed]
- Wu, J.; Yoshikai, N. Modular synthesis of multisubstituted furans through palladium-catalyzed three-component condensation of alkynylbenziodoxoles, carboxylic acids, and imines. Angew. Chem. Int. Ed. 2015, 54, 11107–11111. [Google Scholar] [CrossRef] [PubMed]
- Ariafard, A. Computational Mechanistic Study of Palladium(II)-Catalyzed Carboxyalkynylation of an Olefin Using an Iodine(III) Oxidant Reagent. Organometallics 2014, 33, 7318–7324. [Google Scholar] [CrossRef]
- Li, X.; Chen, P.; Liu, G. Palladium-catalyzed intermolecular alkynylcarbonylation of unactivated alkenes: Easy access to β-alkynylcarboxylic esters. Chem. Commun. 2022, 58, 2544–2547. [Google Scholar] [CrossRef]
- Feng, C.; Loh, T.-P. Rhodium-Catalyzed C-H Alkynylation of Arenes at Room Temperature. Angew. Chem. Int. Ed. 2014, 53, 2722–2726. [Google Scholar] [CrossRef] [PubMed]
- Xie, F.; Qi, Z.; Yu, S.; Li, X. Rh(III)- and Ir(III)-Catalyzed C-H Alkynylation of Arenes under Chelation Assistance. J. Am. Chem. Soc. 2014, 136, 4780–4787. [Google Scholar] [CrossRef]
- Collins, K.D.; Lied, F.; Glorius, F. Preparation of conjugated 1,3-enynes by Rh(III)-catalysed alkynylation of alkenes via C-H activation. Chem. Commun. 2014, 50, 4459–4461. [Google Scholar] [CrossRef]
- Ai, W.; Wu, Y.; Tang, H.; Yang, X.; Yang, Y.; Li, Y.; Zhou, B. Rh(III)- or Ir(III)-catalyzed ynone synthesis from aldehydes via chelation-assisted C-H bond activation. Chem. Commun. 2015, 51, 7871–7874. [Google Scholar] [CrossRef]
- Wang, H.; Xie, F.; Qi, Z.; Li, X. Iridium- and Rhodium-Catalyzed C-H Activation and Formyl Alkynylation of Benzaldehydes under Chelation-Assistance. Org. Lett. 2015, 17, 920–923. [Google Scholar] [CrossRef]
- Liu, X.; Wang, Z.; Cheng, X.; Li, C. Silver-Catalyzed Decarboxylative Alkynylation of Aliphatic Carboxylic Acids in Aqueous Solution. J. Am. Chem. Soc. 2012, 134, 14330–14333. [Google Scholar] [CrossRef] [PubMed]
- Chen, H.; Shao, X.; Wang, H.; Zhai, H. New reactivity of ethynyl benziodoxolone: Modulating iron-catalyzed dehydration of propargyl alcohols. Org. Chem. Front. 2017, 4, 409–412. [Google Scholar] [CrossRef]
- Li, Y.; Waser, J. Platinum-catalyzed domino reaction with benziodoxole reagents for accessing benzene-alkynylated indoles. Angew. Chem. Int. Ed. 2015, 54, 5438–5442. [Google Scholar] [CrossRef] [PubMed]
- Man, X.; Jiang, Y.-Y.; Liu, Y.; Bi, S. Mechanistic Study on Platinum-Catalyzed Domino Reaction of Benziodoxole and Pyrrole Homopropargylic Ethers for Indole Synthesis. Organometallics 2017, 36, 2843–2852. [Google Scholar] [CrossRef]
- Li, Y.; Gryn’ova, G.; Saenz, F.; Jeanbourquin, X.; Sivula, K.; Corminboeuf, C.; Waser, J. Heterotetracenes: Flexible Synthesis and in Silico Assessment of the Hole-Transport Properties. Chem. Eur. J. 2017, 23, 8058–8065. [Google Scholar] [CrossRef]
- Pan, Y.; Jia, K.; Chen, Y.; Chen, Y. Investigations of alkynylbenziodoxole derivatives for radical alkynylations in photoredox catalysis. Beilstein J. Org. Chem. 2018, 14, 1215–1221. [Google Scholar] [CrossRef]
- Zhou, Q.-Q.; Guo, W.; Ding, W.; Wu, X.; Chen, X.; Lu, L.-Q.; Xiao, W.-J. Decarboxylative Alkynylation and Carbonylative Alkynylation of Carboxylic Acids Enabled by Visible-Light Photoredox Catalysis. Angew. Chem. Int. Ed. 2015, 54, 11196–11199. [Google Scholar] [CrossRef]
- Le Vaillant, F.; Courant, T.; Waser, J. Room-Temperature Decarboxylative Alkynylation of Carboxylic Acids Using Photoredox Catalysis and EBX Reagents. Angew. Chem. Int. Ed. 2015, 54, 11200–11204. [Google Scholar] [CrossRef]
- Mukherjee, S.; Garza-Sanchez, R.A.; Tlahuext-Aca, A.; Glorius, F. Alkynylation of Csp2 (O)-H Bonds Enabled by Photoredox-Mediated Hydrogen-Atom Transfer. Angew. Chem. Int. Ed. 2017, 56, 14723–14726. [Google Scholar] [CrossRef]
- Liu, X.; Yu, L.; Luo, M.; Zhu, J.; Wei, W. Radical-Induced Metal-Free Alkynylation of Aldehydes by Direct C-H Activation. Chem. Eur. J. 2015, 21, 8745–8749. [Google Scholar] [CrossRef]
- Tan, H.; Li, H.; Ji, W.; Wang, L. Sunlight-driven decarboxylative alkynylation of α-keto acids with bromoacetylenes by hypervalent iodine reagent catalysis: A facile approach to ynones. Angew. Chem. Int. Ed. 2015, 54, 8374–8377. [Google Scholar] [CrossRef]
- Wang, H.; Guo, L.-N.; Wang, S.; Duan, X.-H. Decarboxylative Alkynylation of α-Keto Acids and Oxamic Acids in Aqueous Media. Org. Lett. 2015, 17, 3054–3057. [Google Scholar] [CrossRef]
- Zhang, R.-Y.; Xi, L.-Y.; Zhang, L.; Chen, S.-Y.; Yu, X.-Q. Metal-free synthesis of ynones via direct C-H alkynylation of aldehydes with ethynylbenziodoxolones. Tetrahedron 2015, 71, 6176–6182. [Google Scholar] [CrossRef]
- Liu, B.; Lim, C.-H.; Miyake, G.M. Light-Driven Intermolecular Charge Transfer Induced Reactivity of Ethynylbenziodoxol(on)e and Phenols. J. Am. Chem. Soc. 2018, 140, 12829–12835. [Google Scholar] [CrossRef] [PubMed]
- He, S.-D.; Guo, X.-Q.; Li, J.; Zhang, Y.-C.; Chen, L.-M.; Kang, T.-R. Base-Promoted Reaction of Phenols with Spirocylic λ3-Iodanes: Access to Both 2-Iodovinyl Aryl Ethers and Diaryl Ethers. Eur. J. Org. Chem. 2022, 2022, e202200516. [Google Scholar] [CrossRef]
- Voutyritsa, E.; Garreau, M.; Kokotou, M.G.; Triandafillidi, I.; Waser, J.; Kokotos, C.G. Photochemical Functionalization of Heterocycles with EBX Reagents: C-H Alkynylation versus Deconstructive Ring Cleavage. Chem. Eur. J. 2020, 26, 14453–14460. [Google Scholar] [CrossRef]
- Amos, S.G.E.; Nicolai, S.; Waser, J. Photocatalytic Umpolung of N- and O-substituted alkenes for the synthesis of 1,2-amino alcohols and diols. Chem. Sci. 2020, 11, 11274–11279. [Google Scholar] [CrossRef]
- Liu, Z.; Wu, S.; Chen, Y. Selective C(sp3)-C(sp3) Cleavage/Alkynylation of Cycloalkylamides Enables Aminoalkyne Synthesis with Hypervalent Iodine Reagents. ACS Catal. 2021, 11, 10565–10573. [Google Scholar] [CrossRef]
- Shou, J.-Y.; Xu, X.-H.; Qing, F.-L. The radical reaction of ethynylbenziodoxolone (EBX) reagents with pentafluorosulfanyl chloride: New approach to SF5-substituted alkynes. J. Fluorine Chem. 2022, 261–262, 110018. [Google Scholar] [CrossRef]
- Savoie, P.R.; Welch, J.T. Preparation and utility of organic pentafluorosulfanyl-containing compounds. Chem. Rev. 2015, 115, 1130–1190. [Google Scholar] [CrossRef]
- Haufe, G. Synthesis and application of pentafluorosulfanylation reagents and derived aliphatic SF5-containing building blocks. Tetrahedron 2022, 109, 132656. [Google Scholar] [CrossRef]
- Chan, J.M.W. Pentafluorosulfanyl group: An emerging tool in optoelectronic materials. J. Mater. Chem. C 2019, 7, 12822–12834. [Google Scholar] [CrossRef]
- Meanwell, N.A. Fluorine and Fluorinated Motifs in the Design and Application of Bioisosteres for Drug Design. J. Med. Chem. 2018, 61, 5822–5880. [Google Scholar] [CrossRef] [PubMed]
- Altomonte, S.; Zanda, M. Synthetic chemistry and biological activity of pentafluorosulphanyl (SF5) organic molecules. J. Fluorine Chem. 2012, 143, 57–93. [Google Scholar] [CrossRef]
- Frei, R.; Wodrich, M.D.; Hari, D.P.; Borin, P.-A.; Chauvier, C.; Waser, J. Fast and Highly Chemoselective Alkynylation of Thiols with Hypervalent Iodine Reagents Enabled through a Low Energy Barrier Concerted Mechanism. J. Am. Chem. Soc. 2014, 136, 16563–16573. [Google Scholar] [CrossRef]
- Abegg, D.; Frei, R.; Cerato, L.; Prasad Hari, D.; Wang, C.; Waser, J.; Adibekian, A. Proteome-Wide Profiling of Targets of Cysteine-reactive Small Molecules by using Ethynyl Benziodoxolone Reagents. Angew. Chem. Int. Ed. 2015, 54, 10852–10857. [Google Scholar] [CrossRef] [PubMed]
- Adusumalli, S.R.; Bernardes, G.J.L. Ethynylbenziodoxolone Reactivity in Cysteine Bioconjugation. Chem 2019, 5, 1932–1934. [Google Scholar] [CrossRef]
- Tessier, R.; Ceballos, J.; Guidotti, N.; Simonet-Davin, R.; Fierz, B.; Waser, J. “Doubly Orthogonal” Labeling of Peptides and Proteins. Chem 2019, 5, 2243–2263. [Google Scholar] [CrossRef]
- Liu, B.; Alegre-Requena, J.V.; Paton, R.S.; Miyake, G.M. Unconventional Reactivity of Ethynylbenziodoxolone Reagents and Thiols: Scope and Mechanism. Chem. Eur. J. 2020, 26, 2386–2394. [Google Scholar] [CrossRef] [PubMed]
- Li, M.; Wang, J.-H.; Li, W.; Wen, L.-R. Metal-Free Direct Construction of 2-(Oxazol-5-yl)phenols from N-Phenoxyamides and Alkynylbenziodoxolones via Sequential [3,3]-Rearrangement/Cyclization. Org. Lett. 2018, 20, 7694–7698. [Google Scholar] [CrossRef]
- Li, M.; Li, W.; Lin, C.-D.; Wang, J.-H.; Wen, L.-R. One Base for Two Shots: Metal-Free Substituent-Controlled Synthesis of Two Kinds of Oxadiazine Derivatives from Alkynylbenziodoxolones and Amidoximes. J. Org. Chem. 2019, 84, 6904–6915. [Google Scholar] [CrossRef] [PubMed]
- Shimizu, A.; Shibata, A.; Kano, T.; Kumai, Y.; Kawakami, R.; Esaki, H.; Fukushima, K.; Tada, N.; Itoh, A. Synthesis of 4-Imidazolidinones from Diamides and Ethynyl Benziodoxolones via Double Michael-Type Addition: Ethynyl Benziodoxolones as Electrophilic Ynol Synthons. Org. Lett. 2022, 24, 8859–8863. [Google Scholar] [CrossRef] [PubMed]
- Roy, A.; Das, M.K.; Chaudhuri, S.; Bisai, A. Transition-Metal Free Oxidative Alkynylation of 2-Oxindoles with Ethynylbenziodoxolone (EBX) Reagents. J. Org. Chem. 2018, 83, 403–421. [Google Scholar] [CrossRef] [PubMed]
- Chen, Z.-C.; Chen, P.; Chen, Z.; Ouyang, Q.; Liang, H.-P.; Du, W.; Chen, Y.-C. Organocatalytic Enantioselective 1,3-Difunctionalizations of Morita-Baylis-Hillman Carbonates. Org. Lett. 2018, 20, 6279–6283. [Google Scholar] [CrossRef]
- Meng, B.; Shi, Q.; Meng, Y.; Chen, J.; Cao, W.; Wu, X. Asymmetric catalytic alkynylation of thiazolones and azlactones for synthesis of quaternary α-amino acid precursors. Org. Biomol. Chem. 2021, 19, 5087–5092. [Google Scholar] [CrossRef]
- Chu, L.-F.; Yao, Y.; Lu, C.-D. Stereoselective Electrophilic α-Alkynylation of α,α-Disubstituted N-tert-Butanesulfinyl Ketimines for Construction of Less Accessible Acyclic Quaternary Stereocenters. Org. Lett. 2022, 24, 9135–9140. [Google Scholar] [CrossRef]
- Kitamura, T.; Fukuoka, T.; Fujiwara, Y. Synthesis of novel vinylbenziodoxolones from alkynyl(o-carboxyphenyl)iodonium salts. Synlett 1996, 1996, 659–660. [Google Scholar] [CrossRef]
- Wu, J.; Deng, X.; Hirao, H.; Yoshikai, N. Pd-Catalyzed Conversion of Alkynyl-λ3-iodanes to Alkenyl-λ3-iodanes via Stereoselective 1,2-Iodine(III) Shift/1,1-Hydrocarboxylation. J. Am. Chem. Soc. 2016, 138, 9105–9108. [Google Scholar] [CrossRef]
- Stridfeldt, E.; Seemann, A.; Bouma, M.J.; Dey, C.; Ertan, A.; Olofsson, B. Synthesis, Characterization and Unusual Reactivity of Vinylbenziodoxolones-Novel Hypervalent Iodine Reagents. Chem. Eur. J. 2016, 22, 16066–16070. [Google Scholar] [CrossRef]
- Boelke, A.; Caspers, L.D.; Nachtsheim, B.J. NH2-Directed C-H Alkenylation of 2-Vinylanilines with Vinylbenziodoxolones. Org. Lett. 2017, 19, 5344–5347. [Google Scholar] [CrossRef]
- Pisella, G.; Gagnebin, A.; Waser, J. Copper-Catalyzed Oxyvinylation of Diazo Compounds. Org. Lett. 2020, 22, 3884–3889. [Google Scholar] [CrossRef] [PubMed]
- Castoldi, L.; Di Tommaso, E.M.; Reitti, M.; Graefen, B.; Olofsson, B. Electrophilic Vinylation of Thiols under Mild and Transition Metal-Free Conditions. Angew. Chem. Int. Ed. 2020, 59, 15512–15516. [Google Scholar] [CrossRef] [PubMed]
- Sajith, P.K.; Suresh, C.H. Trans and Cis Influences in Hypervalent Iodine(III) Complexes: A DFT Study. Inorg. Chem. 2013, 52, 6046–6054. [Google Scholar] [CrossRef]
- Ochiai, M.; Sueda, T.; Miyamoto, K.; Kiprof, P.; Zhdankin, V.V. trans influence on hypervalent bonding of aryl l3-iodanes: Their stabilities and isodesmic reactions of benziodoxolones and benziodazolones. Angew. Chem. Int. Ed. 2006, 45, 8203–8206. [Google Scholar] [CrossRef]
- Ochiai, M.; Oshima, K.; Masaki, Y. Stereoselective synthesis of highly labile (Z)-b-alkylvinylphenyliodonium perchlorates. J. Chem. Soc. Chem. Commun. 1991, 13, 869–870. [Google Scholar] [CrossRef]
- Fujita, M.; Lee, H.J.; Okuyama, T. Stereochemical Inversion in the Vinylic Substitution of Boronic Esters To Give Iodonium Salts: Participation of the Internal Oxy Group. Org. Lett. 2006, 8, 1399–1401. [Google Scholar] [CrossRef] [PubMed]
- Laskar, R.A.; Ding, W.; Yoshikai, N. Iodo(III)-Meyer-Schuster Rearrangement of Propargylic Alcohols Promoted by Benziodoxole Triflate. Org. Lett. 2021, 23, 1113–1117. [Google Scholar] [CrossRef] [PubMed]
- Moran, W.J.; Rodriguez, A. Hypoiodous acid initiated rearrangement of tertiary propargylic alcohols to α-iodoenones. Org. Biomol. Chem. 2012, 10, 8590–8592. [Google Scholar] [CrossRef]
- Chen, S.; Wang, J. One-Pot Synthesis of α-Iodo-Substituted α,β-Unsaturated Aldehydes from Propargylic Alcohols. J. Org. Chem. 2007, 72, 4993–4996. [Google Scholar] [CrossRef]
- Puri, S.; Thirupathi, N.; Sridhar Reddy, M. Iodo Meyer-Schuster Rearrangement of 3-Alkoxy-2-yn-1-ols for β-Mono (Exclusively Z-Selective)-/Disubstituted α-Iodo-α,β-Unsaturated Esters. Org. Lett. 2014, 16, 5246–5249. [Google Scholar] [CrossRef]
- Zhu, H.-T.; Fan, M.-J.; Yang, D.-S.; Wang, X.-L.; Ke, S.; Zhang, C.-Y.; Guan, Z.-H. An iodine-promoted Meyer-Schuster rearrangement for the synthesis of α-iodo unsaturated ketones. Org. Chem. Front. 2015, 2, 506–509. [Google Scholar] [CrossRef]
- Caramenti, P.; Declas, N.; Tessier, R.; Wodrich, M.D.; Waser, J. Stereoselective synthesis of alkyl-, aryl-, vinyl- and alkynyl-substituted Z-enamides and enol ethers. Chem. Sci. 2019, 10, 3223–3230. [Google Scholar] [CrossRef] [PubMed]
- Ura, T.; Shimbo, D.; Yudasaka, M.; Tada, N.; Itoh, A. Synthesis of Phenol-Derived cis-Vinyl Ethers Using Ethynyl Benziodoxolone. Chem. Asian J. 2020, 15, 4000–4004. [Google Scholar] [CrossRef] [PubMed]
- Shimbo, D.; Maruyama, T.; Tada, N.; Itoh, A. N-Alkenylation of hydroxamic acid derivatives with ethynyl benziodoxolone to synthesize cis-enamides through vinyl benziodoxolones. Org. Biomol. Chem. 2021, 19, 2442–2447. [Google Scholar] [CrossRef]
- Wu, J.; Deng, X.; Yoshikai, N. Stereocontrolled Synthesis of Halovinylbenziodoxoles by Hydro- and Iodochlorination of Ethynylbenziodoxoles. Chem. Eur. J. 2019, 25, 7839–7842. [Google Scholar] [CrossRef]
- Chai, J.; Ding, W.; Wu, J.; Yoshikai, N. Fluorobenziodoxole-BF3 Reagent for Iodo(III)etherification of Alkynes in Ethereal Solvent. Chem. Asian J. 2020, 15, 2166–2169. [Google Scholar] [CrossRef] [PubMed]
- Ding, W.; Chai, J.; Wang, C.; Wu, J.; Yoshikai, N. Stereoselective Access to Highly Substituted Vinyl Ethers via trans-Difunctionalization of Alkynes with Alcohols and Iodine(III) Electrophile. J. Am. Chem. Soc. 2020, 142, 8619–8624. [Google Scholar] [CrossRef]
- Chai, J.; Ding, W.; Wang, C.; Ito, S.; Wu, J.; Yoshikai, N. Ritter-type iodo(III)amidation of unactivated alkynes for the stereoselective synthesis of multisubstituted enamides. Chem. Sci. 2021, 12, 15128–15133. [Google Scholar] [CrossRef]
- Kikuchi, J.; Maesaki, K.; Sasaki, S.; Wang, W.; Ito, S.; Yoshikai, N. Stereoselective Synthesis of β-Alkoxy-β-amido Vinylbenziodoxoles via Iodo(III)etherification of Ynamides. Org. Lett. 2022, 24, 6914–6918. [Google Scholar] [CrossRef]
- Wang, C.-S.; Tan, P.S.L.; Ding, W.; Ito, S.; Yoshikai, N. Regio- and Stereoselective Synthesis of Enol Carboxylate, Phosphate, and Sulfonate Esters via Iodo(III)functionalization of Alkynes. Org. Lett. 2022, 24, 430–434. [Google Scholar] [CrossRef]
- Wu, J.; Xu, K.; Hirao, H.; Yoshikai, N. Pd-Catalyzed, Ligand-Enabled Stereoselective 1,2-Iodine(III) Shift/1,1-Carboxyalkynylation of Alkynylbenziodoxoles. Chem. Eur. J. 2017, 23, 1521–1525. [Google Scholar] [CrossRef]
- Wodrich, M.D.; Caramenti, P.; Waser, J. Alkynylation of Thiols with Ethynylbenziodoxolone (EBX) Reagents: α- or β- π-Addition? Org. Lett. 2016, 18, 60–63. [Google Scholar] [CrossRef] [PubMed]
- Kitamura, T.; Furuki, R.; Taniguchi, H.; Stang, P.J. Stereoselective anti-addition of iodosylbenzene.trifluoromethanesulfonic acid to terminal alkynes. Preparation of E-[b-(trifluoromethanesulfonyloxy)vinyl]iodonium triflates. Tetrahedron Lett. 1990, 31, 703–704. [Google Scholar] [CrossRef]
- Yoshimura, A.; Huss, C.D.; Liebl, M.; Rohde, G.T.; Larson, S.M.; Frahm, G.B.; Luedtke, M.W.; Schumacher, T.J.; Gardner, Z.S.; Zhdankin, V.V.; et al. Preparation, Structure, and Reactivity of Pseudocyclic β-Trifluorosulfonyloxy Vinylbenziodoxolone Derivatives. Adv. Synth. Catal. 2021, 363, 3365–3371. [Google Scholar] [CrossRef]
- Yoshimura, A.; Huss, C.D.; Saito, A.; Kitamura, T.; Zhdankin, V.V. 2-Iodosylbenzoic acid activated by trifluoromethanesulfonic anhydride: Efficient oxidant and electrophilic reagent for preparation of iodonium salts. New J. Chem. 2021, 45, 16434–16437. [Google Scholar] [CrossRef]
- Ochiai, M.; Shu, T.; Nagaoka, T.; Kitagawa, Y. a-Vinylation of 1,3-Dicarbonyl Compounds with Alkenyl(aryl)iodonium Tetrafluoroborates: Effects of Substituents on the Aromatic Ring and of Radical Inhibitors. J. Org. Chem. 1997, 62, 2130–2138. [Google Scholar] [CrossRef]
- Castoldi, L.; Rajkiewicz, A.A.; Olofsson, B. Transition metal-free and regioselective vinylation of phosphine oxides and H-phosphinates with VBX reagents. Chem. Commun. 2020, 56, 14389–14392. [Google Scholar] [CrossRef]
- Di Tommaso, E.M.; Norrby, P.-O.; Olofsson, B. Explaining Regiodivergent Vinylations with Vinylbenziodoxolones. Angew. Chem. Int. Ed. 2022, 61, e202206347. [Google Scholar] [CrossRef]
- Davies, J.; Sheikh, N.S.; Leonori, D. Photoredox Imino Functionalizations of Olefins. Angew. Chem. Int. Ed. 2017, 56, 13361–13365. [Google Scholar] [CrossRef]
- Declas, N.; Waser, J. Access to Vinyl Ethers and Ketones with Hypervalent Iodine Reagents as Oxy-Allyl Cation Synthetic Equivalents. Angew. Chem. Int. Ed. 2020, 59, 18256–18260. [Google Scholar] [CrossRef]
- Deagostino, A.; Tivola, P.B.; Prandi, C.; Venturello, P. A short and efficient new synthesis of γ-halo-substituted α,β-unsaturated acetals and carbonyl compounds. Synlett 1999, 1999, 1841–1843. [Google Scholar] [CrossRef]
- Pawliczek, M.; Schneider, T.F.; Maass, C.; Stalke, D.; Werz, D.B. Formal anti-Carbopalladation Reactions of Non-Activated Alkynes: Requirements, Mechanistic Insights, and Applications. Angew. Chem. Int. Ed. 2015, 54, 4119–4123. [Google Scholar] [CrossRef] [PubMed]
- Chary, B.C.; Kim, S.-G.; Shin, D.-S.; Lee, P.-H. A regio- and stereoselective synthesis of trisubstituted alkenes via gold(I)-catalyzed hydrophosphoryloxylation of haloalkynes. Chem. Commun. 2011, 47, 7851–7853. [Google Scholar] [CrossRef]
- Martin, R.; Rivero, M.R.; Buchwald, S.L. Domino Cu-catalyzed C-N coupling/hydroamidation: A highly efficient synthesis of nitrogen heterocycles. Angew. Chem. Int. Ed. 2006, 45, 7079–7082. [Google Scholar] [CrossRef]
- Xu, H.; Gu, S.; Chen, W.; Li, D.; Dou, J. TBAF-mediated reactions of 1,1-dibromo-1-alkenes with thiols and amines and regioselective synthesis of 1,2-heterodisubstituted alkenes. J. Org. Chem. 2011, 76, 2448–2458. [Google Scholar] [CrossRef]
- Feng, C.; Feng, D.; Loh, T.-P. Rhodium(III)-catalyzed olefinic C-H alkynylation of enamides at room temperature. Chem. Commun. 2014, 50, 9865–9868. [Google Scholar] [CrossRef] [PubMed]
- Banerjee, B.; Litvinov, D.N.; Kang, J.; Bettale, J.D.; Castle, S.L. Stereoselective Additions of Thiyl Radicals to Terminal Ynamides. Org. Lett. 2010, 12, 2650–2652. [Google Scholar] [CrossRef]
- Garcia-Reynaga, P.; Carrillo, A.K.; Van Nieuwenhze, M.S. Decarbonylative approach to the synthesis of enamides from amino acids: Stereoselective synthesis of the (Z)-aminovinyl-D-cysteine unit of mersacidin. Org. Lett. 2012, 14, 1030–1033. [Google Scholar] [CrossRef] [PubMed]
- Lutz, J.A.; Subasinghege Don, V.; Kumar, R.; Taylor, C.M. Influence of Sulfur on Acid-Mediated Enamide Formation. Org. Lett. 2017, 19, 5146–5149. [Google Scholar] [CrossRef]
Disclaimer/Publisher’s Note: The statements, opinions and data contained in all publications are solely those of the individual author(s) and contributor(s) and not of MDPI and/or the editor(s). MDPI and/or the editor(s) disclaim responsibility for any injury to people or property resulting from any ideas, methods, instructions or products referred to in the content. |
© 2023 by the authors. Licensee MDPI, Basel, Switzerland. This article is an open access article distributed under the terms and conditions of the Creative Commons Attribution (CC BY) license (https://creativecommons.org/licenses/by/4.0/).




































































