Progress in the Research on Branched Polymers with Emphasis on the Chinese Petrochemical Industry
Abstract
:1. Introduction
2. Synthesis of Branched Polymers
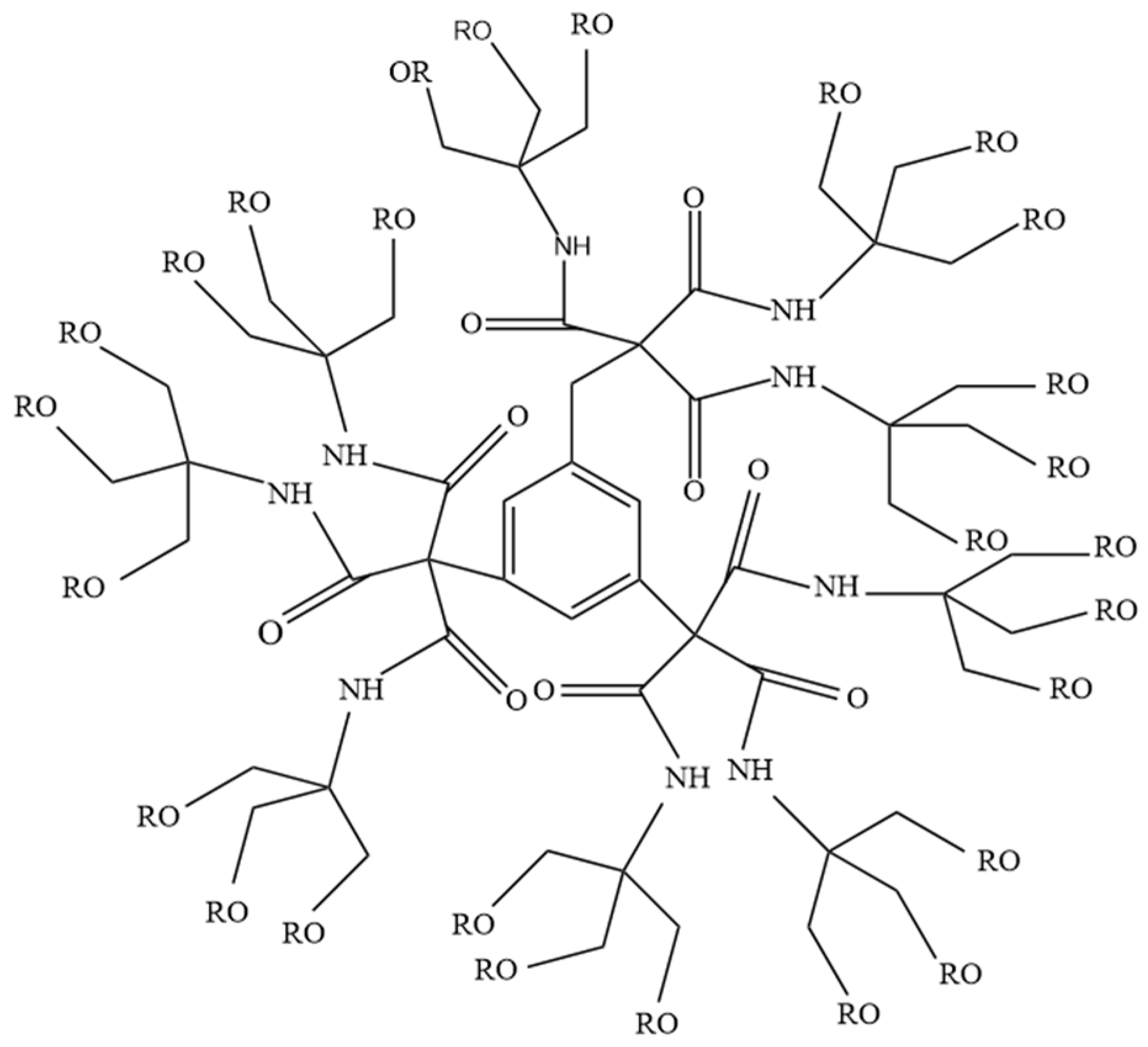
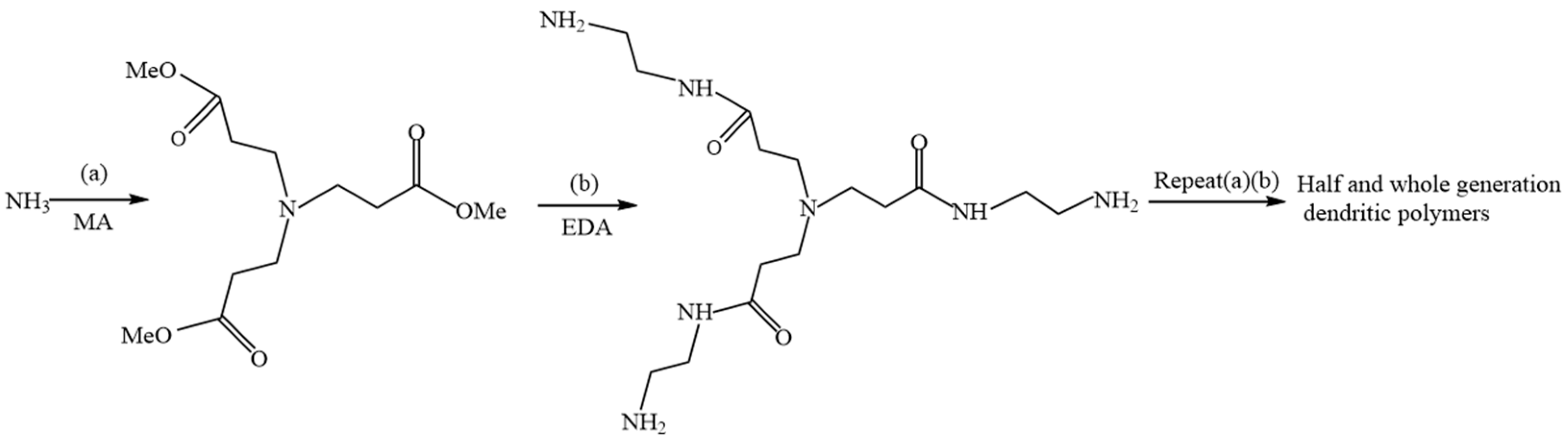
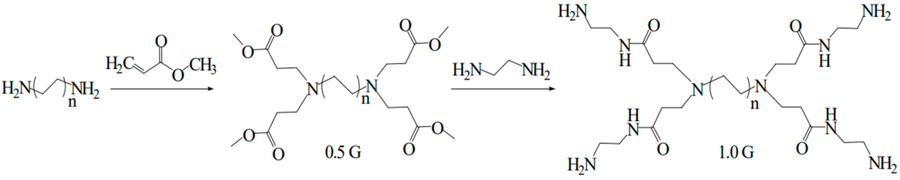
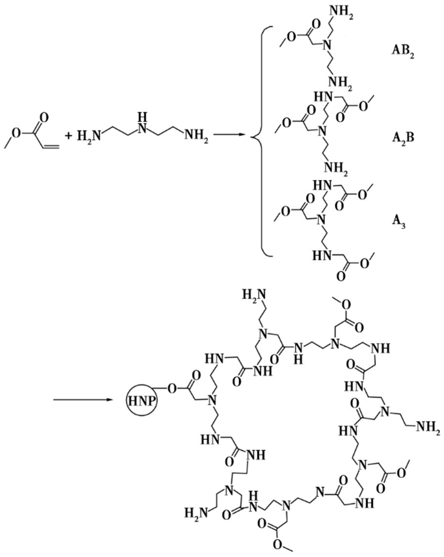
2.1. Dendritic Polymer
2.2. Hyperbranched Polymer
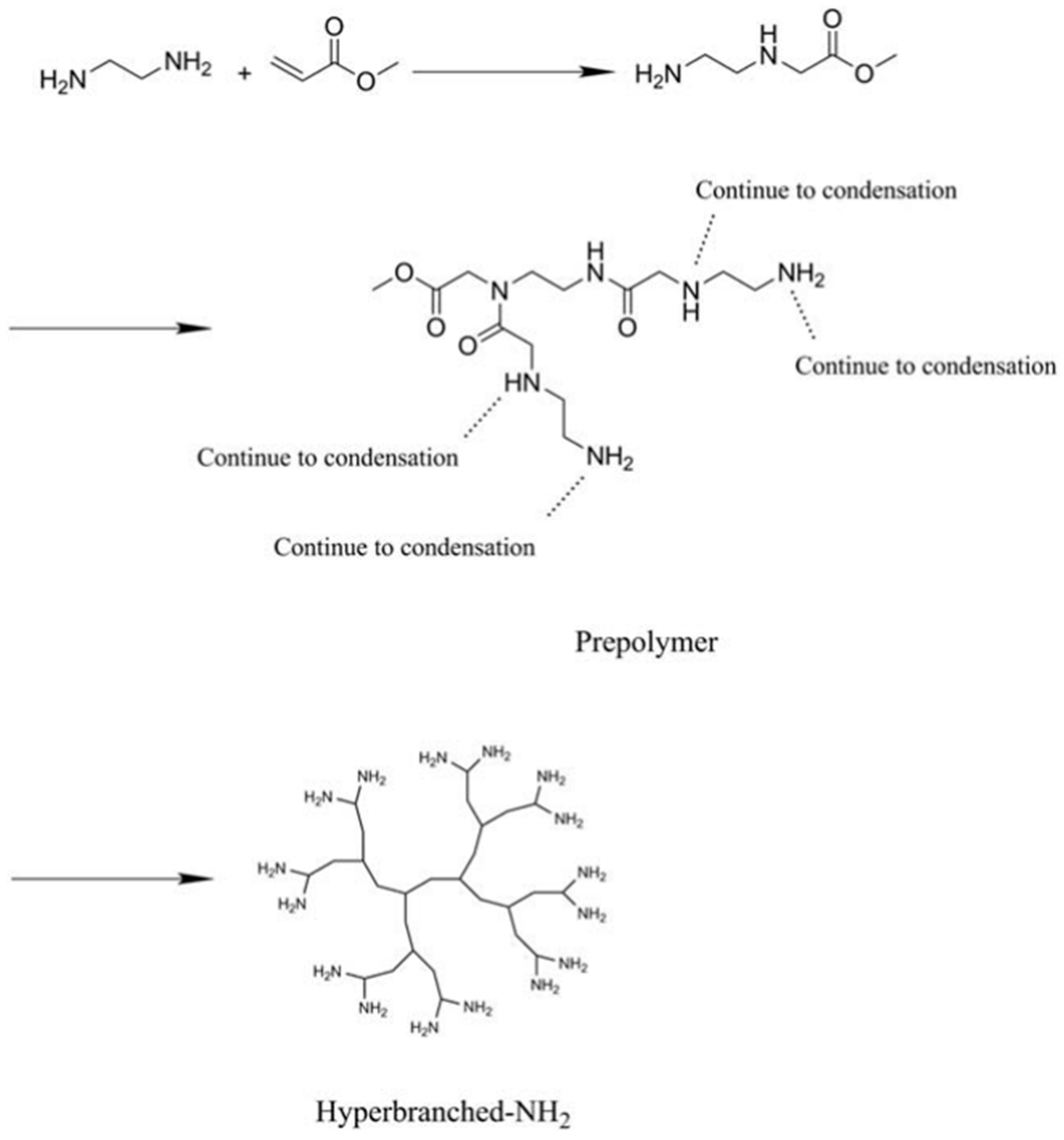
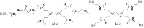
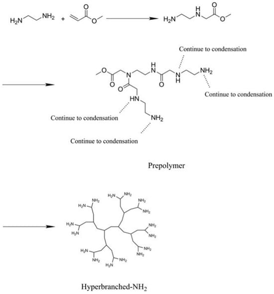
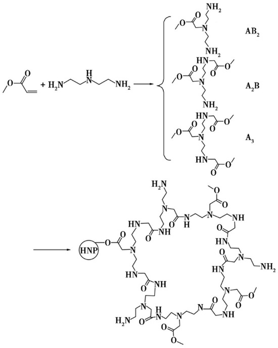
2.2.1. Polycondensation Synthesis
2.2.2. Ring-Opening Polymerization
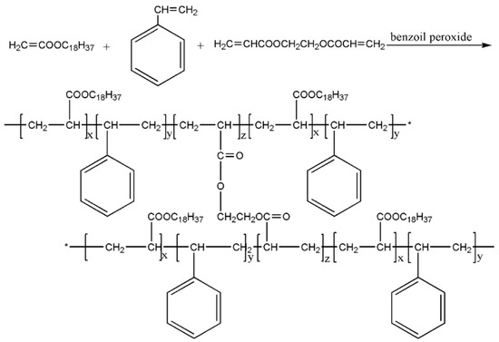
2.2.3. Free-Radical Polymerization
3. Application of Branched Polymers
3.1. Oil-Displacing Agents
3.2. Crude Oil Demulsifier
3.3. Heavy Oil Viscosity Reducer
3.4. Shale Inhibitor
3.5. Plugging Agent
4. Summaries
4.1. Conclusions
- (1)
- The divergent synthetic method is currently the primary strategy for the preparation of dendritic polymers, involving an initial core containing reactive functional groups that initiate polymerization in a stepwise manner from the interior to the exterior. However, the increase in reaction complexity leads to a higher propensity for defects in the dendritic molecular structure. The convergent synthetic method offers superior control over the dendritic polymer structure, albeit with a relatively low yield, which is currently limiting its broader application. The complexity of the reaction process and the associated high synthesis costs have precluded the widespread adoption of the divergent–convergent co-use method.
- (2)
- Polymers with hyperbranched structures are primarily synthesized using the condensation reaction method, which benefits from well-established synthetic conditions, straightforward operation procedures, and relatively low production costs. As research into these materials continues to advance, additional methods for synthesizing hyperbranched macromolecules have emerged, including self-condensation vinyl polymerization, cross-coupling reactions, coupling monomer approaches, and the Huisgen reaction. Each of these techniques possesses its own merits and drawbacks, and it is recommended that the most appropriate synthetic method be selected based on the specific requirements of industrial applications.
- (3)
- Polymers with a branched structure, under complex conditions such as high temperatures and salinity in oil fields, can offer ample sites for the grafting of various groups. Loaded with diverse chemical groups, these polymers can exhibit exceptional properties, including temperature resistance, shear resistance, and salt resistance. In the realm of the petrochemical industry, these branched polymers are not only applicable in the aforementioned areas but can also be employed in fields related to scale inhibitors, fracturing fluid thickeners, water-blocking agents, and drilling fluids. Their application scope is continuously expanding.
4.2. Future Prospects
- (1)
- Currently, numerous branched polymers in the field of petrochemical research are still at the stage of laboratory synthesis and evaluation. Further field tests are required to validate the feasibility of industrial applications for these branched polymers. For instance, addressing the urgent issues of synthesis costs and reaction efficiency is crucial for their widespread implementation.
- (2)
- Considering the synthesis cost and efficacy of various branched polymers, it is generally advisable to utilize hyperbranched polymers instead of dendrimers in practical industrial applications unless there are stringent requirements for polymer performance.
- (3)
- If the synthesis of hyperbranched polyamide esters or similar ester polymers is required, it is recommended to employ polycondensation synthesis. Ring-opening polymerization is commonly utilized for synthesizing hyperbranched polymers with high molecular weights and amphiphilicity, and the resulting polymers do not necessitate the removal of small-molecule compounds. Free-radical polymerization is suitable for synthesizing products using olefin monomers containing unsaturated double bonds.
Funding
Institutional Review Board Statement
Informed Consent Statement
Data Availability Statement
Conflicts of Interest
References
- National Energy Administration. Guidelines on Energy Work in 2022; National Energy Administration: Beijing, China, 2022. [Google Scholar]
- Guo, H.; Li, B. Review of China’s Energy Policy in 2022 and Study on the Direction of Adjustment in 2023. Int. Pet. Econ. 2023, 31, 48–55. Available online: https://kns.cnki.net/kcms2/article/abstract?v=lVku9qtM8H_KzoFVKSSuVA88zef_nTiNfaiE_CUFn4a34S4NSJFRRMsW4wfDmWiYEqR9Np9StxsU7yet4mDAdGGkywD4L_9xD-U0Zg2mk76VYMDoTO8YTdIEa-4nVAZCT7gMTFVkgueBTlM16zM9Gw==&uniplatform=NZKPT&language=CHS (accessed on 2 August 2023).
- Zhu, E. Survey of New Technology Level of Tertiary Oil Recovery Abroad; China National Petroleum Corporation Information Research Institute: Beijing, China, 1992; pp. 1–2. Available online: http://img.sslibrary.com/n/slib/book/slib/10174333/9c29694c578149ec951eb19cf6880f84/dfe275ecef53a0a1911b92325c833be0.shtml?dxbaoku=false&moocbaoku=false&deptid=2519&fav=https%3A%2F%2Fwww.sslibrary.com%2Freader%2Fpdg%2Fpdgreader%3Fd%3Df4879e2c59e75a8614f43f28c645f21a%26ssid%3D10174333&fenlei=18080505&spage=1&t=5&username=218.61.108.114&view=-1 (accessed on 5 September 2023).
- Yuan, S.; Wang, Q. New Progress and Prospect of Oilfield Development Agent Technology in China. Pet. Explor. Dev. 2018, 45, 657–669. Available online: https://kns.cnki.net/kcms2/article/abstract?v=gMQMAE8gPKEZUoJDsxJxdVnLcxkvxA5K9-CHo6oyJPSDiWk7edTQn0KmAul0M7fVd8hUf8SHBujnzXWe7IyspWb4nOE9-_sdlwPjyAd1p5TNnzTXErDvi5W79Kz3gHvIxG27lKJCpwQ=&uniplatform=NZKPT&language=CHS (accessed on 11 July 2023). [CrossRef]
- Liao, G.; Wang, Q.; Wang, H.; Liu, W.; Wang, Z.; Amp, P.; Company, P. Development Status and Prospect of Chemical Flooding. Acta Pet. Sin. 2017, 38, 196–207. Available online: https://kns.cnki.net/kcms2/article/abstract?v=gMQMAE8gPKGBiWjeRGLjrpWENdGONK4wDHO2Ymwz-8OneiSSPrZGHoZYxBAja5BmVqNSgGYM0IeKzumJHHKWsAbTDOYOHe0k7BwZQJVHtHZIUp0K5-o3UweSuk_j2N5ssEAMuruAVgY=&uniplatform=NZKPT&language=CHS (accessed on 11 July 2023).
- Seright, R.S.; Campbell, A.R.; Mozley, P.S.; Han, P. Stability of Partially Hydrolyzed Polyacrylamides at Elevated Temperatures in the Absence of Divalent Cations. SPE J. 2009, 15, 341–348. [Google Scholar] [CrossRef]
- Qi, S.; Li, S.; Yang, S.; Ding, X.; Chen, H. Heat resistance salt type instant displacement in the preparation of polyacrylamide and performance study. J. Colloid Polym. 2021, 33. 11–13+17. [Google Scholar] [CrossRef]
- Zhou, M.; Yi, R.; Gu, Y.; Tu, H. Synthesis and Evaluation of a Tetra-Copolymer for Oil Displacement. J. Pet. Sci. Eng. 2019, 179, 669–674. [Google Scholar] [CrossRef]
- Ye, Z.; Feng, M.; Gou, S.; Liu, M.; Huang, Z.; Liu, T. Hydrophobically Associating Acrylamide-Based Copolymer for Chemically Enhanced Oil Recovery. J. Appl. Polym. Sci. 2013, 130, 2901–2911. [Google Scholar] [CrossRef]
- Du, D.; Pu, W.; Tang, Z.-J.; Liu, R.; Han, S.; Zhang, W.; Zhao, B.; Wei, J. Solution Properties and Displacement Characteristics of Core–Shell Hyperbranched Associative Polyacrylamide for Enhanced Oil Recovery. Energy Fuels 2018, 32, 8154–8166. [Google Scholar] [CrossRef]
- Flory, P.J. Molecular Size Distribution in Three Dimensional Polymers. VI. Branched Polymers Containing A—R—Bf-1Type Units. J. Am. Chem. Soc. 1952, 74, 2718–2723. [Google Scholar] [CrossRef]
- Buhleier, E.; Wehner, W.; Vögtle, F. “Cascade”- and “Nonskid-Chain-Like” Syntheses of Molecular Cavity Topologies. Synthesis 1978, 1978, 155–158. [Google Scholar] [CrossRef]
- Tomalia, D.A.; Baker, H.; Dewald, J.; Hall, M.; Kallos, G.; Martin, S.; Roeck, J.; Ryder, J.; Smith, P. Dendritic Macromolecules: Synthesis of Starburst Dendrimers. Macromolecules 1986, 19, 2466–2468. [Google Scholar] [CrossRef]
- Newkome, G.R.; Yao, Z.; Baker, G.R.; Gupta, V.K. Micelles. Part 1. Cascade Molecules: A New Approach to Micelles. A [27]-Arborol. J. Org. Chem. 1985, 50, 2003–2004. [Google Scholar] [CrossRef]
- Zhu, M.; Zhang, Q.; Hou, Z. New Advances in the Synthesis of Dendritic Polymers. Bull. Polym. 2002, 4, 32–40. Available online: https://kns.cnki.net/kcms2/article/abstract?v=3uoqIhG8C44YLTlOAiTRKgchrJ08w1e7lwLRIsgSA9_n3nIwU-jyE5Jh5XWusvEOAv48C7Y-keigr_3oHi60Gat2vfVwTEIP&uniplatform=NZKPT (accessed on 22 September 2023).
- Zhao, H.; Luo, Y.; Song, H. Advances in Hyperbranched Polymers (II) Synthesis of Hyperbranched Polymers. Thermosetting Resins 2004, 19, 31–34. Available online: https://kns.cnki.net/kcms2/article/abstract?v=3uoqIhG8C44YLTlOAiTRKgchrJ08w1e7eeyE9jLkqq8vJW28R1dFG9Ab5euYnT0NGtFScr_IN6rnADyiS_ajM_9vgFQnyaBK&uniplatform=NZKPT (accessed on 23 September 2023).
- Xiao, W.; Hu, J.; Tu, W. Advances in Synthesis Methods and Applications of Hyperbranched Polymers. Chem. Eng. Prog. 2007, 4, 1253–1257. Available online: https://kns.cnki.net/kcms2/article/abstract?v=3uoqIhG8C44YLTlOAiTRKgchrJ08w1e7aLpFYbsPrqFfPvJ5_-Z_Eh9J-MSk_6stww9ZyV9pllE9Qd-tnBFPq_5D8VAaahc1&uniplatform=NZKPT (accessed on 24 October 2023).
- Gao, R.; Gu, Y.; Liang, G.; Yuan, L. Advances in the Synthesis of Hyperbranched Polymers. Mater. Rev. Nanometrics New Mater. 2009, 23, 383–387. Available online: https://xueshu.baidu.com/usercenter/paper/show?paperid=18ff31a8a5e51f20a4280482eb94fff6&site=xueshu_se (accessed on 12 August 2023).
- Shi, W.; Huang, H. Research Progress of Hyperbranched Polymers. Chem. J. China Univ. 1997, 18, 1398–1405. Available online: https://kns.cnki.net/kcms2/article/abstract?v=3uoqIhG8C44YLTlOAiTRKjkpgKvIT9NkZNmQNo4kSVqgBDxchoYN3zap6S8U6Qp5wh2BKiKU2jfH59Fz6eFaxdFc_L3vsWAX&uniplatform=NZKPT (accessed on 24 July 2023).
- Chi, R. Synthesis and Demulsification of Modified Polyamide-Amine. Master’s Thesis, Ocean University of China, Qingdao, China, 2010. Available online: https://kns.cnki.net/kcms2/article/abstract?v=3uoqIhG8C475KOm_zrgu4lQARvep2SAkWGEmc0QetxDh64Dt3veMp509GTEJ9jqe1EF05ipZJ76zMRb0MBGHesj70-tL8oDP&uniplatform=NZKPT (accessed on 2 October 2023).
- Tomalia, D.A.; Baker, H.; Dewald, J.; Hall, M.; Kallos, G.; Martin, S.; Roeck, J.; Ryder, J.; Smith, P. A New Class of Polymers: Starburst-Dendritic Macromolecules. Polym. J. 1985, 17, 117–132. [Google Scholar] [CrossRef]
- Li, J.; Wang, J.; Zhou, L. Demulsification Properties of PAMAM Dendritic Polyamide-Amine and Demulsification Mechanism. J. Oilfield Chem. 2005, 1. 65–67+71. Available online: https://kns.cnki.net/kcms2/article/abstract?v=3uoqIhG8C44YLTlOAiTRKgchrJ08w1e7F1IFNsBV5Ut3De0co1R4a1H6NfggE26CGSSAFScKBblVdASPkrK_fpG-AsPLqbYv&uniplatform=NZKPT (accessed on 24 July 2023).
- Wang, J. Synthesis and Properties of Dendritic Macromolecules Polyamide-Amines. Master’s Thesis, Dalian University of Technology, Dalian, China, 2005. Available online: https://kns.cnki.net/kcms2/article/abstract?v=3uoqIhG8C447WN1SO36whBaOoOkzJ23ELn_-3AAgJ5enmUaXDTPHrFYY7T3NzrFbq84AhbISabl7uDXAmmuTDr5kyxV9B9od&uniplatform=NZKPT (accessed on 13 August 2023).
- Zhang, Y. More than the Type Synthesis and Properties of Fluorinated Rheological Agent Research. Master’s Thesis, Northeast Petroleum University, Daqing, China, 2023. Available online: https://kns.cnki.net/kcms2/article/abstract?v=3uoqIhG8C475KOm_zrgu4sq25HxUBNNTmIbFx6y0bOQ0cH_CuEtpsN709eEZDHDewBmdeJIwUssjmAQEqToF-vBjyy6c_EmJ&uniplatform=NZKPT (accessed on 25 October 2023).
- Cheng, D. Synthesis, Characterization and Scale Inhibition of Dendrimer PAMAM. Master’s Thesis, China University of Petroleum, Beijing, China, 2009. Available online: https://kns.cnki.net/kcms2/article/abstract?v=3uoqIhG8C475KOm_zrgu4lQARvep2SAk0Wn9WGrcQB-qSRGXKNE7s1AASmENeNQeVpVzr3Ti_QmfGSuvFXdQ0Dbz8Jr9U8md&uniplatform=NZKPT (accessed on 9 October 2023).
- Hawker, C.J.; Frechet, J.M.J. Control of Surface Functionality in the Synthesis of Dendritic Macromolecules Using the Convergent-Growth Approach. Macromolecules 1990, 23, 4726–4729. [Google Scholar] [CrossRef]
- Kawaguchi, T.; Walker, K.; Wilkins, C.L.; Moore, J.S. Double Exponential Dendrimer Growth. J. Am. Chem. Soc. 1995, 117, 2159–2165. [Google Scholar] [CrossRef]
- Gao, C.; Yan, D. Hyperbranched Polymers: From Synthesis to Applications. Prog. Polym. Sci. 2004, 29, 183–275. [Google Scholar] [CrossRef]
- Kim, Y.H.; Webster, O.W. Hyperbranched Polyphenylenes. Macromolecules 1992, 25, 5561–5572. [Google Scholar] [CrossRef]
- Zhong, C.; Luo, P.; Ye, Z.; Chen, H. Characterization and Solution Properties of a Novel Water-Soluble Terpolymer for Enhanced Oil Recovery. Polym. Bull. 2008, 62, 79–89. [Google Scholar] [CrossRef]
- Rousseau, G.; Fensterbank, H.; Baczko, K.; Cano, M.; Stenger, I.; Larpent, C.; Allard, E. Synthesis of Clickable Water-Soluble Poly(Amidoamine) Fullerodendrimers and Their Use for Surface Functionalization of Azido-Coated Polymer Nanoparticles. ChemPlusChem 2013, 78, 352–363. [Google Scholar] [CrossRef]
- Wang, Y.; Li, W.; Liu, C.; Huang, W.; Kang, H. Synthesis of Hyperbranched Poly(ester amide)s and Their Application in Polycarbonate as Rheological Modification Agent. Acta Polym. Sin. 2017, 8, 1304–1311. [Google Scholar]
- Qian, K.; Qin, D.; Xu, Y.; Yang, G.; Xing, W. End Carboxyl of Synthesis of Hyperbranched Polyamide Scale Inhibitor research. J. Mod. Chem. Ind. 2018, 38, 127–131. Available online: https://kns.cnki.net/kcms2/article/abstract?v=3uoqIhG8C44YLTlOAiTRKibYlV5Vjs7i0-kJR0HYBJ80QN9L51zrP0kOhKPNuLeSimjcNUZlxakLyjXUbsDbDrx73YdjI8s2&uniplatform=NZKPT (accessed on 10 July 2023).
- Suzuki, M.; Ii, A.; Saegusa, T. Multibranching Polymerization: Palladium-Catalyzed Ring-Opening Polymerization of Cyclic Carbamate to Produce Hyperbranched Dendritic Polyamine. Macromolecules 1992, 25, 7071–7072. [Google Scholar] [CrossRef]
- Testud, B.; Pintori, D.; Grau, E.; Taton, D.; Cramail, H. Hyperbranched Polyesters by Polycondensation of Fatty Acid-Based ABn-Type Monomers. Green Chem. 2017, 19, 259–269. [Google Scholar] [CrossRef]
- Xiao, L.; Liu, Z.; Li, N.; Li, S.; Fu, P.; Wang, Y.; Huang, J.; Chen, J.; Nie, X. A Hyperbranched Polymer from Tung Oil for the Modification of Epoxy Thermoset with Simultaneous Improvement in Toughness and Strength. New J. Chem. 2020, 44, 16856–16863. [Google Scholar] [CrossRef]
- Yang, X.; Zheng, Y.; Zhang, J.; Yu, P.; Shi, W. Synthesis and Characterization of Aromatic Hyperbranched Polyester Type Epoxy Resin. J. Mater. Sci. Eng. 2009, 27, 837–840. Available online: https://kns.cnki.net/kcms2/article/abstract?v=3uoqIhG8C44YLTlOAiTRKgchrJ08w1e75TZJapvoLK3Dm1eSU6uN71u-Tq-n_9WE7VDEP8myWizpwsLi1hlcM2X7-01eWvdV&uniplatform=NZKPT (accessed on 11 July 2023).
- Frechet, J.M.J.; Henmi, M.; Gitsov, I.; Aoshima, S.; Leduc, M.R.; Grubbs, R.B. Self-Condensing Vinyl Polymerization: An Approach to Dendritic Materials. Science 1995, 269, 1080–1083. [Google Scholar] [CrossRef] [PubMed]
- Marasini, N.; Fu, C.; Fletcher, N.L.; Subasic, C.; Er, G.; Mardon, K.; Thurecht, K.J.; Whittaker, A.K.; Kaminskas, L.M. The Impact of Polymer Size and Cleavability on the Intravenous Pharmacokinetics of PEG-Based Hyperbranched Polymers in Rats. Nanomaterials 2020, 10, 2452. [Google Scholar] [CrossRef] [PubMed]
- Li, Q. Study on Ultra-High Molecular Weight Polyacrylamide. Master’s Thesis, Daqing Petroleum Institute, Daqing, China, 2003. Available online: https://kns.cnki.net/kcms2/article/abstract?v=3uoqIhG8C475KOm_zrgu4m9eu-VXu9H75RhMZCEMue9h8LplqMYx9_BxJxaLgKVxvL4GNzBWz9sz1VyLaK4iKrJO-e98uZ75&uniplatform=NZKPT (accessed on 23 September 2023).
- Cheng, J. Synthesis of Ultra-High Molecular Weight Polyacrylamide and Its Application in Tertiary Oil Recovery. Master’s Thesis, Dalian University of Technology, Dalian, China, 2000. Available online: https://kns.cnki.net/kcms2/article/abstract?v=3uoqIhG8C447WN1SO36whBaOoOkzJ23ELn_-3AAgJ5enmUaXDTPHrDtpOD0BVUl8VrLs1yPvGimqzIU601ogbbt_x0twQgVx&uniplatform=NZKPT (accessed on 23 September 2023).
- Guo, Z.; Dong, M.; Chen, Z.; Yao, J. Dominant Scaling Groups of Polymer Flooding for Enhanced Heavy Oil Recovery. Ind. Eng. Chem. Res. 2012, 52, 911–921. [Google Scholar] [CrossRef]
- Lv, F. Branched Type Acrylamide Class Flooding Polymer Research. Master’s Thesis, China University of Petroleum (East China), Qingdao, China, 2020. Available online: https://kns.cnki.net/kcms2/article/abstract?v=3uoqIhG8C475KOm_zrgu4lQARvep2SAkaWjBDt8_rTOnKA7PWSN5ML0HTVTSrjE0sigmivYjpFDTTOeyjCItsBq7VyoEWnNv&uniplatform=NZKPT (accessed on 22 September 2023).
- Gou, R. Oil Displacement with Branched Polymer Synthesis and Performance Evaluation. Master’s Thesis, Southwest Petroleum University, Chengdu, China, 2020. Available online: https://kns.cnki.net/kcms2/article/abstract?v=3uoqIhG8C475KOm_zrgu4lQARvep2SAkaWjBDt8_rTOnKA7PWSN5MLb2sR-SxpGds5Qw3NZehIkR4lyrQ1kLqtimSyKXOlQ8&uniplatform=NZKPT (accessed on 13 October 2023).
- Hu, K.; Zhang, J.; Xue, X.; Chen, W.; Hua, C.; Shi, L. Synthesis and Properties of Long-Acting Shear Resistant Polymer Flooding Agents. J. Xi’an Shiyou Univ. (Nat. Sci. Ed.) 2019, 34, 100–107. Available online: https://kns.cnki.net/kcms2/article/abstract?v=3uoqIhG8C44YLTlOAiTRKibYlV5Vjs7iLik5jEcCI09uHa3oBxtWoC7JUxa1Ja-OzlPKKX_CaJFIRSJcdvzPYPqU51v6gdhd&uniplatform=NZKPT (accessed on 14 October 2023).
- Tang, Z. Study on Adaptability of Hyperbranched Polymer prepared by Sewage in H Well Area of Xinjiang Oilfield. Master’s Thesis, Southwest Petroleum University, Chengdu, China, 2019. Available online: https://kns.cnki.net/kcms2/article/abstract?v=3uoqIhG8C475KOm_zrgu4lQARvep2SAkOsSuGHvNoCRcTRpJSuXuqZnyG30EetJ387IDYZwmMvln8a9ZS9GMuzRnGGBepU5d&uniplatform=NZKPT (accessed on 16 October 2023).
- Liu, J.; Wang, H.; Li, X.; Jia, W.; Zhao, Y.; Ren, S. Recyclable Magnetic Graphene Oxide for Rapid and Efficient Demulsification of Crude Oil-In-Water Emulsion. Fuel 2017, 189, 79–87. [Google Scholar] [CrossRef]
- Sun, Y.; Lu, F.; Yang, H.; Ding, C.; Yuan, Z.; Lu, C. Fluorescent Sensor Array for Separation-Free Dopamine Analogue Discrimination Via Polyethyleneimine-Mediated Self-Polymerization Reaction. Nanoscale 2019, 11, 12889–12897. [Google Scholar] [CrossRef]
- Zhang, L.; Hao, Y.; Yan, S.; Zhan, N.; Guo, Y.; Fang, W. Hyperbranched Poly(Amido Amine) Demulsifiers with Ethylenediamine/1,3-Propanediamine as an Initiator for Oil-In-Water Emulsions with Microdroplets. Fuel 2018, 226, 381–388. [Google Scholar] [CrossRef]
- Feng, X.; Jiang, S.; Li, B.; Yang, Y.; Shen, L.; Zhang, Z.; Yuan, H.; Ye, F.; Mi, Y. Synthesis of a Hyperbranched Polymer with a Dihydroxyl Nucleus and Its Demulsifying Performance. Chem. Eng. Res. Des. 2021, 174, 267–275. [Google Scholar] [CrossRef]
- Yan, S.; He, G.; Ye, D.; Guo, Y.; Fang, W. Amphiphilic Hyperbranched Polyethyleneimine for Highly Efficient Oil–Water Separation. J. Mater. Chem. A Mater. Energy Sustain. 2020, 8, 2412–2423. [Google Scholar] [CrossRef]
- Yan, Z. Branched Type of Heavy oil Viscosity Reduction Agent in the Synthesis and Performance Research. Master’s Thesis, Shandong University, Jinan, China, 2021. Available online: https://kns.cnki.net/kcms2/article/abstract?v=3uoqIhG8C475KOm_zrgu4lQARvep2SAkOTSE1G1uB0_um8HHdEYmZmIZXrHoWVvTH-tuC_SsBDaYqtVqu3VwGfUe-Tw_pxeO&uniplatform=NZKPT (accessed on 17 October 2023).
- Zheng, C.; Fu, H.; Wang, Y.; Zhang, T.; Huang, Z.; Duan, W. Preparation and Mechanism of Hyperbranched Heavy Oil Viscosity Reducer. J. Pet. Sci. Eng. 2021, 196, 107941. [Google Scholar] [CrossRef]
- Al-Arfaj, M.K.; Amanullah, M.; Sultan, A.S.; Hossain, M.E.; Abdulraheem, A. Chemical and Mechanical Aspects of Wellbore Stability in Shale Formations: A Literature Review. In Proceedings of the Abu Dhabi International Petroleum Exhibition and Conference, Abu Dhabi, UAE, 11–14 November 2014. [Google Scholar] [CrossRef]
- Bai, X.; Wang, H.; Luo, Y.; Zheng, X.; Zhang, X.; Zhou, S.; Pu, X. The Structure and Application of Amine-Terminated Hyperbranched Polymer Shale Inhibitor for Water-Based Drilling Fluid. J. Appl. Polym. Sci. 2017, 134, 45466. [Google Scholar] [CrossRef]
- Ferreira, C.C.; Teixeira, G.T.; Lachter, E.R.; Nascimento, R.S.V. Partially Hydrophobized Hyperbranched Polyglycerols as Non-Ionic Reactive Shale Inhibitors for Water-Based Drilling Fluids. Appl. Clay Sci. 2016, 132, 122–132. [Google Scholar] [CrossRef]
- Tan, L. Experimental Study on Plugging Agent for Old Fractures and New Fractures in Block W, Huabei Oilfield. Master’s Thesis, Southwest Petroleum University, Chengdu, China, 2017. Available online: https://kns.cnki.net/kcms2/article/abstract?v=3uoqIhG8C475KOm_zrgu4lQARvep2SAkVtq-vp-8QbjqyhlE-4l1Yq3HtTe4ROWQPDKzBqLaDK4bhH6QAGJYYV0mq9JVKkib&uniplatform=NZKPT (accessed on 18 October 2023).





















| Polymer Types | Permeability/10−3 μm2 | Water Drive Recovery Rate/% | Polymer Flooding Recovery Rate/% | Improvement Rate/% | |
|---|---|---|---|---|---|
| HAP | 2.025 | 35.11 | 54.56 | 16.45 | Crude oil viscosity 70 mPa·s; 65 °C |
| LSRP | 2.248 | 37.71 | 60.17 | 22.46 | |
| LSRP | 2.573 | 20.51 | 45.58 | 25.07 | Crude oil viscosity 300 mPa·s; 65 °C |
Disclaimer/Publisher’s Note: The statements, opinions and data contained in all publications are solely those of the individual author(s) and contributor(s) and not of MDPI and/or the editor(s). MDPI and/or the editor(s) disclaim responsibility for any injury to people or property resulting from any ideas, methods, instructions or products referred to in the content. |
© 2023 by the authors. Licensee MDPI, Basel, Switzerland. This article is an open access article distributed under the terms and conditions of the Creative Commons Attribution (CC BY) license (https://creativecommons.org/licenses/by/4.0/).
Share and Cite
Pan, Y.; Bai, J.; Yang, G.; Li, Z. Progress in the Research on Branched Polymers with Emphasis on the Chinese Petrochemical Industry. Molecules 2023, 28, 7934. https://doi.org/10.3390/molecules28237934
Pan Y, Bai J, Yang G, Li Z. Progress in the Research on Branched Polymers with Emphasis on the Chinese Petrochemical Industry. Molecules. 2023; 28(23):7934. https://doi.org/10.3390/molecules28237934
Chicago/Turabian StylePan, Yi, Jie Bai, Gang Yang, and Zhaoxuan Li. 2023. "Progress in the Research on Branched Polymers with Emphasis on the Chinese Petrochemical Industry" Molecules 28, no. 23: 7934. https://doi.org/10.3390/molecules28237934
APA StylePan, Y., Bai, J., Yang, G., & Li, Z. (2023). Progress in the Research on Branched Polymers with Emphasis on the Chinese Petrochemical Industry. Molecules, 28(23), 7934. https://doi.org/10.3390/molecules28237934
