Strategies for the Preparation of Chitosan Derivatives for Antimicrobial, Drug Delivery, and Agricultural Applications: A Review
Abstract
:1. Introduction
2. Global Research Trends of Chitosan
3. Preparation Methods of Chitosan Derivatives
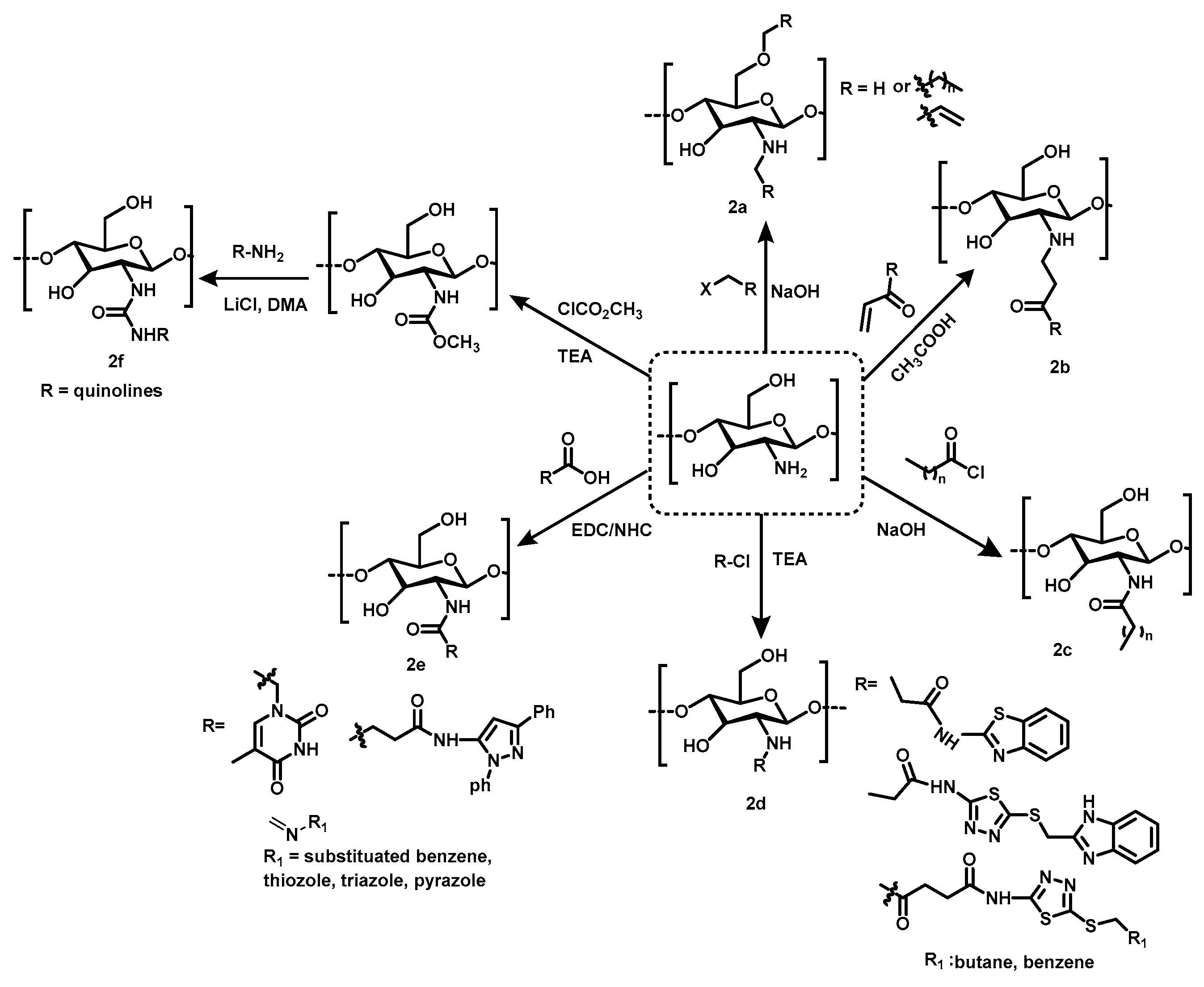
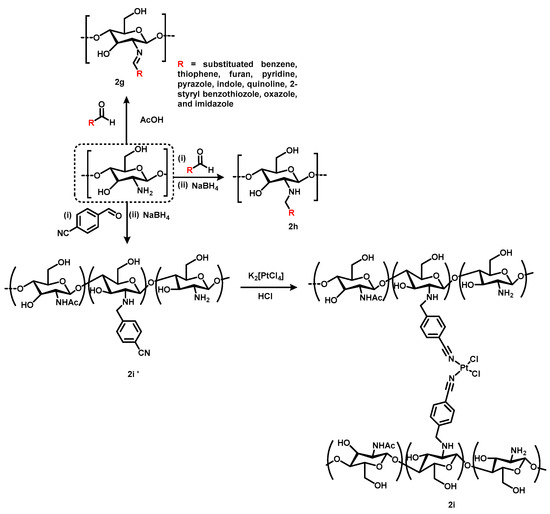
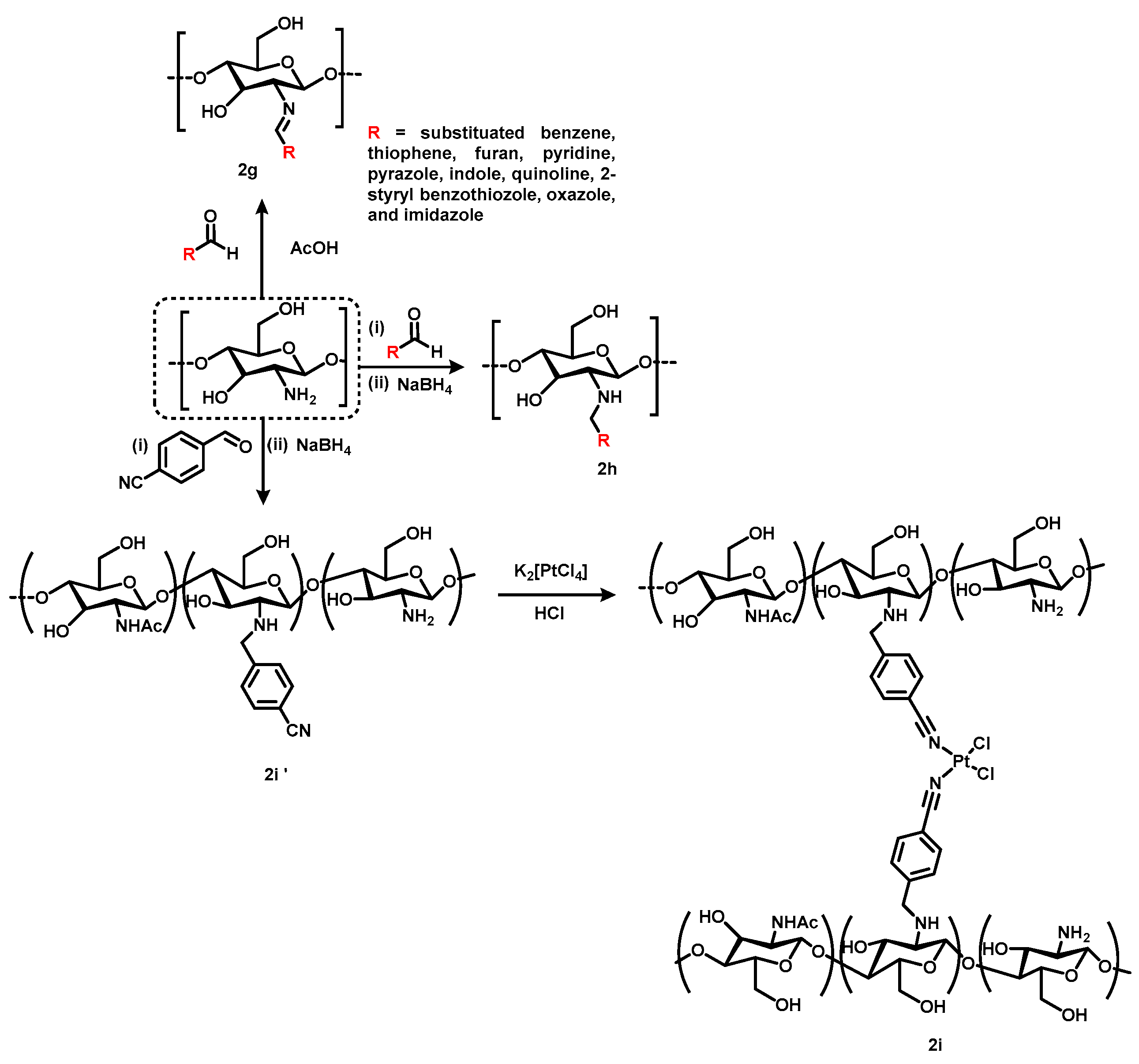
3.1. Alkylation, Acylation, and Schiff Base-Based Chitosan Derivatives
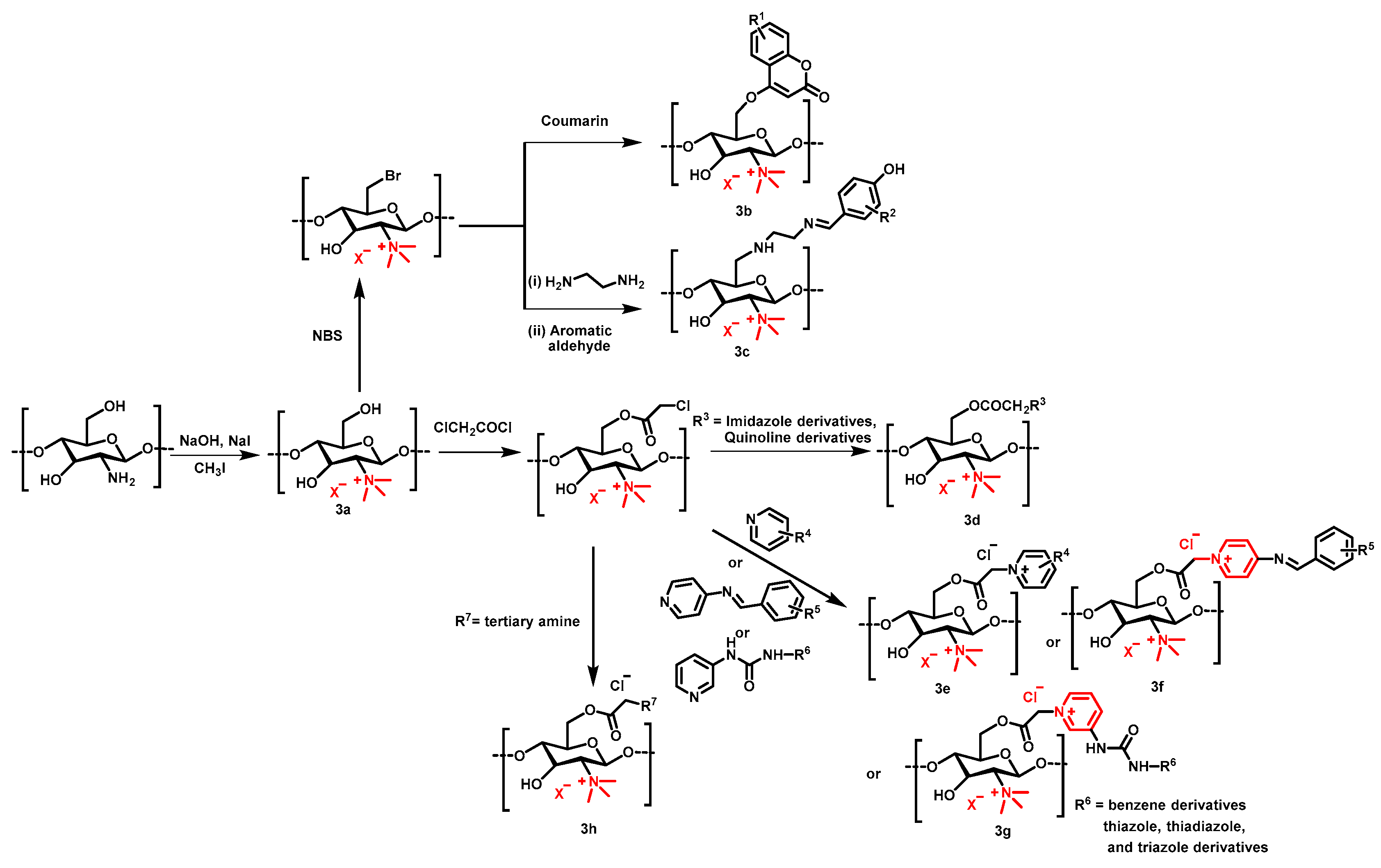
3.2. Quaternary Ammonium Chitosan Derivatives
3.3. Guanidine Chitosan Derivatives
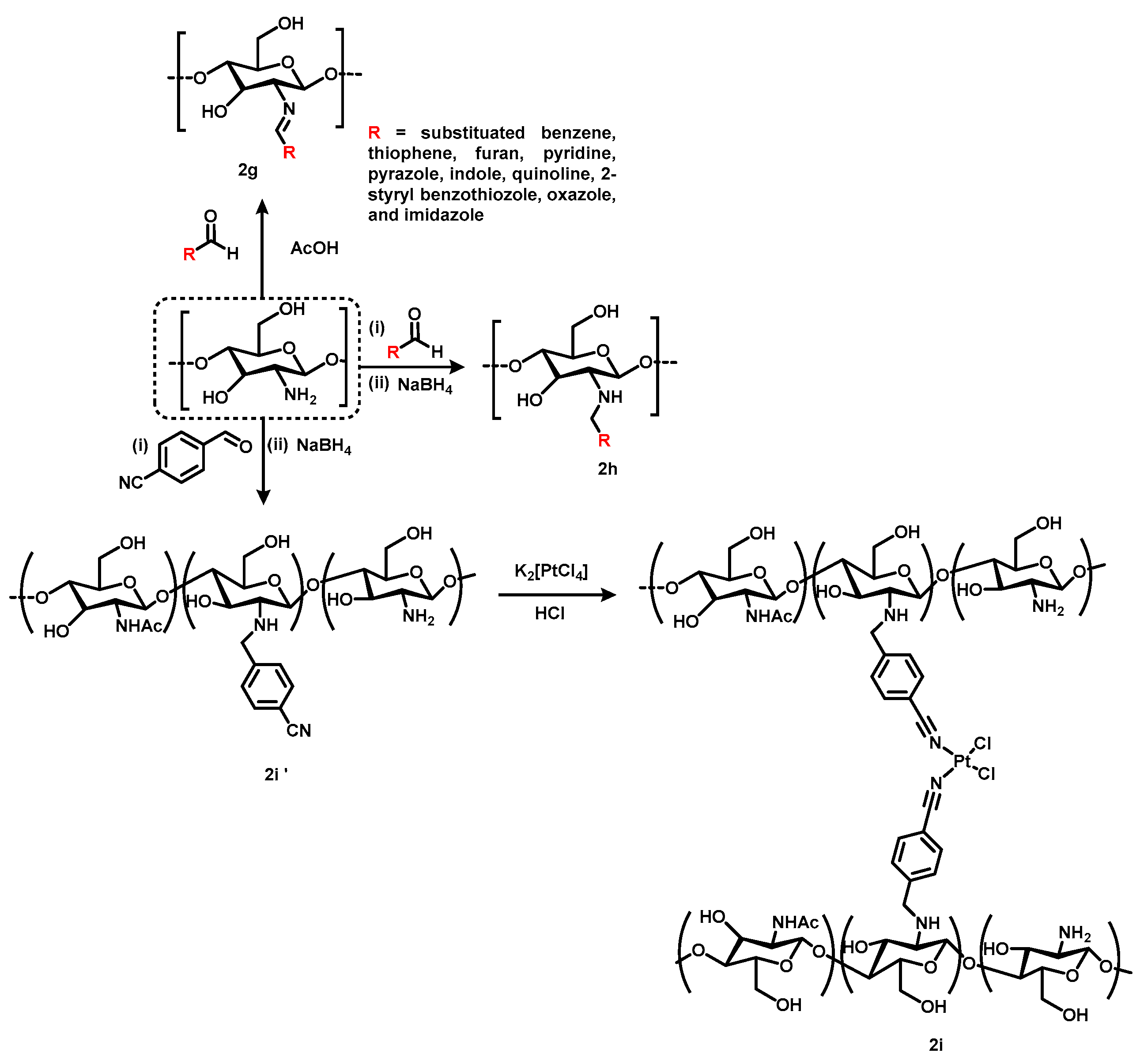
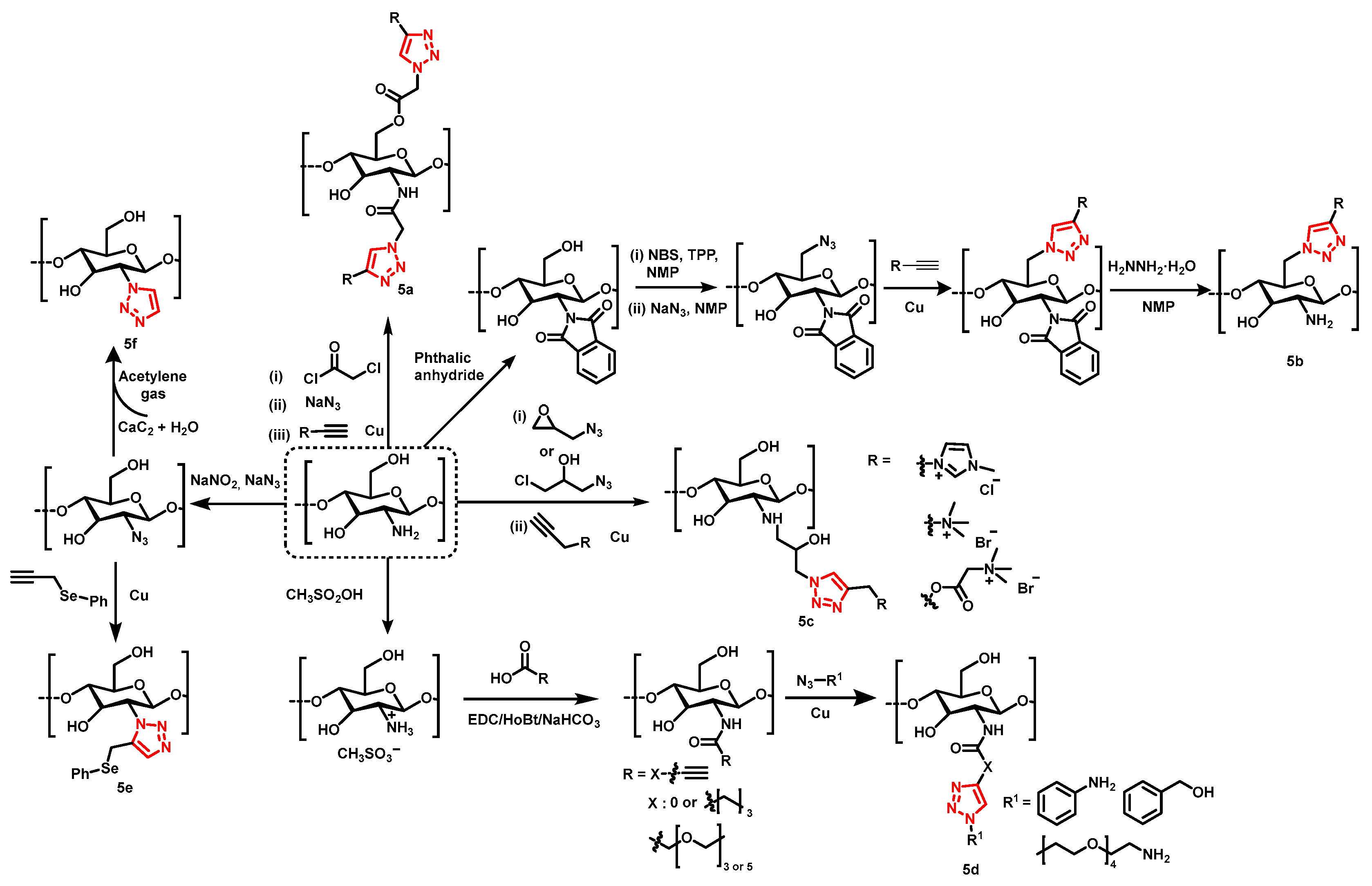
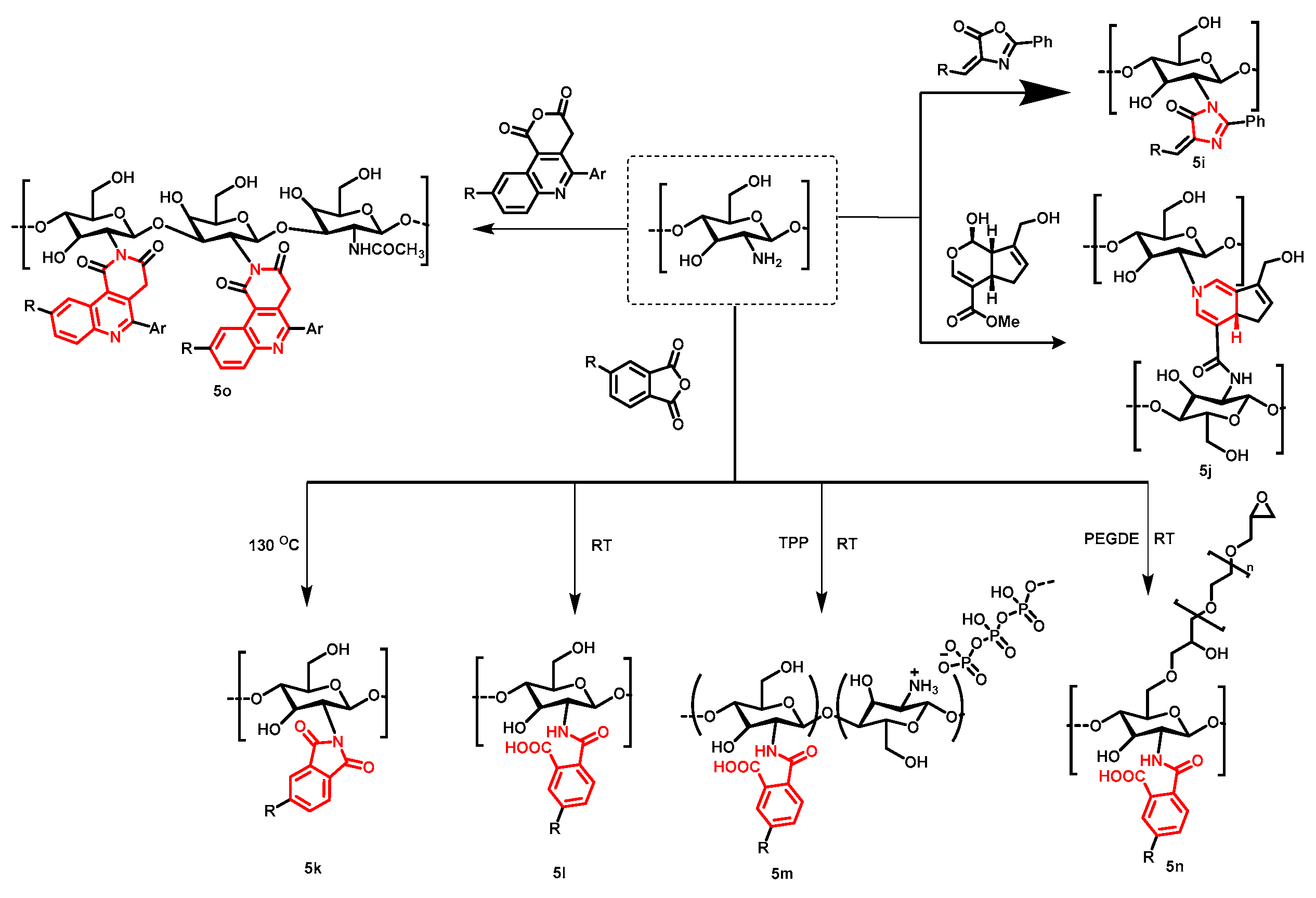
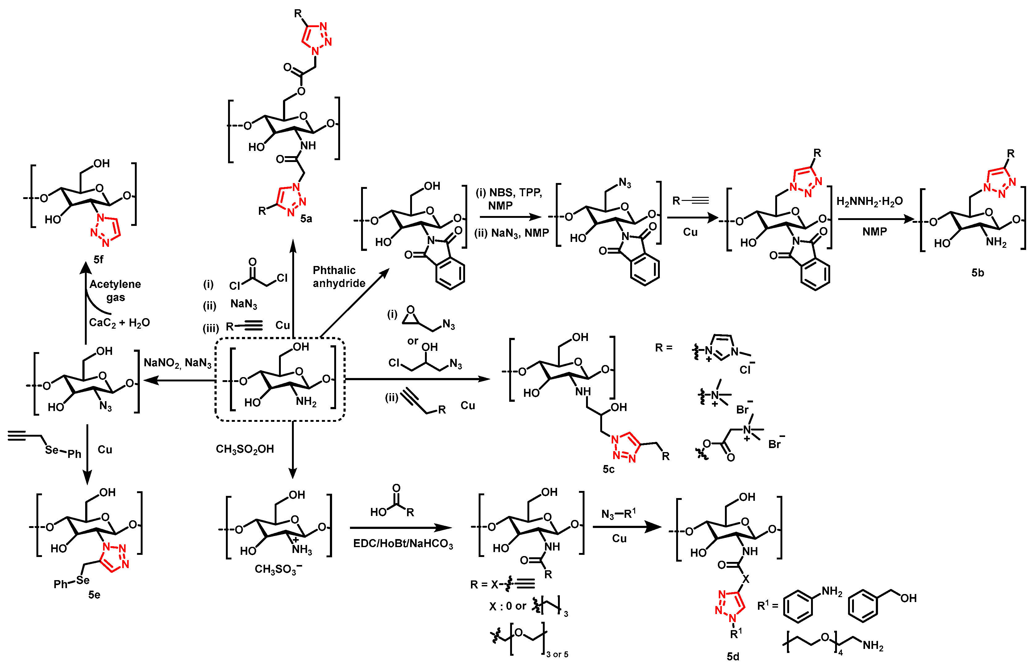
3.4. Heterocyclic Chitosan Derivatives via Click Chemistry or N-Functionalized Reaction
4. Applications of Chitosan Derivatives
4.1. Antimicrobial Actions of Chitosan
| CS Derivative/Preparations | Bacteria | Assay | Effect/Mechanism of Action | References |
|---|---|---|---|---|
| CS with benzoimidazolyl-thiadiazole | S. aureus, B. subtilis, E. coli, P. aeruginosa, C. albicans | Agar well diffusion method | Presence of polar groups, sulfur, and nitrogen, increases the solubility and electrostatic attraction between polymer and bacterial cell wall and increases cell death | [70] |
| Thiadiazole CS derivative | E. coli, P. aeruginosa, B. subtilis, S. aureus | Agar well diffusion method | Increase solubility due to cationic groups contributing to improved antibacterial activity | [71] |
| 1,3,4-thiadiazole modified CS | E. coli, P. aeruginosa, B. subtilis, S. aureus | Agar well diffusion method | Increase solubility due to hydrophilic thiadiazole derivatives | [72] |
| Thymine-modified CS | P. aeruginosa, A. baumannii, S. aureus, E. coli, MRSA | 96-well plate microdilution method, scanning electron microscopy | Increase ζ-potential of the positively charged thiamine-modified CS derivatives; higher positive electric density; enhance electrostatic interaction with the negatively charged bacterial membrane | [74] |
| CS linked with diphenyl pyrazole with succinic anhydride | B. subtilis, S. aureus, P. aeruginosa | Agar well diffusion method | Polycationic nature of CS and presence of amino group in pyrazole; penetration of CS into nucleus, blocking binding sites of RNA to DNA, inhibiting synthesis of cell wall proteins | [75] |
| CS coupled with 4-((5, 5-dimethyl-3-oxocyclohex-1-en-1-yl) amino) benzene-sulfonamide (CS Schiff base) | E. coli, S. aureus | Visible spectroscopy analysis, MIC assay | Increase hydrophobicity of CS Schiff base, improving interaction with peptidoglycan | [78] |
| CS with heteroaryl pyrazole derivatives (CS Schiff base) | E. coli, K. pneumonia, S. aureus, S. mutans | Agar well diffusion method | Functional modification with pyrazole ring bearing pyridyl moiety enhanced antibacterial effect | [80] |
| CS with formyl pyrazole derivatives (CS/pyrazole Schiff base) | S. aureus, B. cereus, E. coli | Agar well diffusion method | Presence of furan ring and nitro groups; enhance entry of CS to nucleus and interaction with RNA/DNA | [81] |
| CS with indole-3-carboxaldehyde and 4-dimethylaminobenzaldehyde (phenolic CS Schiff bases) | S. aureus, B. cereus, E. coli, P. aeruginosa, S. spp. | Agar well diffusion method | Interaction with bacterial cell membrane and disruption of cell wall integrity | [82] |
| Chitooligosaccharide-niacin acid conjugate | S. aureus, E. coli, V. harveyi | Broth dilution assay | Increase lipophilicity, hydrophobic interaction of the trialkyl chain, increased interaction of quaternary ammonium salts and lipid structure of bacterial cell membrane | [115] |
| Pyridine-4-aldehyde Schiff bases grafted chloracetyl CS oligosaccharide derivatives | S. aureus, E. coli | Agar well diffusion method | Increase positive charge of the derivative and interaction with bacterial cell membrane | [116] |
| L-arginine Schiff bases acylated CS derivatives | B. cinerea, S. aureus, E. coli | Plate colony counting method | Free positive charge and guanidine carried by CS combines with the negatively charged components of the bacterial cell wall | [135] |
| N-guanidinium CS acetate, N-guanidinium CS chloride | E. coli, P. aeruginosa, S. aureus, B. subtilis | Turbidimetric method | Cationic groups enhance the permeability via adsorption followed binding to intracellular constituents | [141] |
| Chitotriazolan (poly(β(1-4)-2-(1H-1,2,3-triazol-1-yl)-2-deoxy-D-glucose)) | S. aureus, E. coli | 96-well plate microdilution method | Loss of integrity to bacterial cell wall | [146] |
| Calcium–CS–triazole nanocomplex | E. coli, B. subtilis | Agar well diffusion method | Enhance antibacterial activity contributed by triazole moiety | [157] |
| CS hydrogel containing hydroxypropyl methylcellulose (HPMC) | S. aureus, P. aeruginosa | Biofilm assay/confocal scanning laser microscopy | Increase adhesiveness and penetration into biofilm and disruption | [182] |
| Thioether CS oligosaccharide (CS oligosaccharide coupled with 3-bromopropene and tiopronin) | S. aureus, B. subtilis, L. monocytogenes, E. coli, P. aeruginosa | MIC and MBC determination, cytotoxicity evaluation, antioxidant activity assays | Enhance antimicrobial capability due to carboxyl groups possessing positive charges, which bind to negatively charged cell membranes. Increased iron chelation from tiopronin. | [183] |
| Biogenic CS–silver nanocomposite | S. aureus, P. aeruginosa, S. spp., E. spp., S. spp., Shigella spp. | Well diffusion technique for antimicrobial susceptibility | Synergistic effect of CS and silver; greater adsorption onto the surface of bacterial cells and can easily penetrate the bacterial cell wall causing cell death | [184] |
| N-(2-ethylamino)-CS and N-2(2,6-diaminohexanamide)-CS polymers | S. aureus | Bacterial growth inhibition, cytocompatibility studies | Presence of the amino groups: hydrophobic interaction with the bacterial wall is responsible for the enhanced activity | [185] |
| CS Schiff base (CS with 2,4,6-trimethoxybenzaldehyde) | S. aureus, E. coli, P. aeruginosa, K. pneumonia, S. haemolyticus | Turbidity assay | Enhance interaction of CS with peptidoglycan and plasma membrane due to aromatic substitution | [186] |
| CS coupled with cyclohexanone and 2-N-methyl pyrrolidone (CS Schiff base) | S. aureus, E. coli, P. aeruginosa, B. cereus | Agar well diffusion assay, MIC determination, bactericidal studies | Interaction with teichoic and lipoteichoic acid in Gram-positive bacteria and with O-specific side chain of LPS of Gram-negative bacteria | [187] |
| CS with immobilized ZnO nanoparticles | E. coli, S. aureus | Agar well diffusion method | Antibacterial activities | [195] |
| Low-molecular-weight CS | E. coli DH5α, P. putida F1, L. lactis IO-1, B. subtilis 168 | Zeta potential measurement, contact angle measurement | Alteration of cell surface charge, cell surface hydrophobicity | [196] |
| CS nanoparticles | P. spp. | Disk diffusion test, antibiofilm assay | Compromise structural integrity of the biofilms, heterogeneous destruction of the biofilm matrix | [197] |
| Thiazolium CS (Quaternary CS) | L. innocua, S. epidermidis, S. aureus, MRSA | Broth dilution method | Combine antibacterial effect of thiazolium and CS | [198] |
| CS covalently bounded to isocyanate terminated quaternary ammonium salt and sulfopropylbetaine | E. coli, S.aureus | Real-time turbidity monitoring via automated turbidimetric system | NH2 group of the derivative binds with Mg2+ and Ca2+ in bacterial outer membrane | [199] |
4.2. Chitosan Derivatives as Drug or Vaccine Delivery System
4.3. Chitosan Derivatives in Plant Agriculture
| CS or Its Derivatives | Form | Plant | Interference | References |
|---|---|---|---|---|
| CS | Seed priming | Cucumber |
| [251] |
| CS | Seed priming | Mung bean |
| [252] |
| CS | Seed soaking | P. grandiflorus |
| [253] |
| CS | Seedling and callus culture | C. copticum L. |
| [254] |
| CS | Seed treatment | Fenugreek |
| [255] |
| CS– ferulic acid and CS– caffeic acid conjugate | Seed treatment | Cucumber |
| [256] |
| Carboxymethyl CS | Seed coating | P. davidiana |
| [257] |
| CS nanoparticle | Seed treatment | Tomato |
| [259] |
| Garlic essential oil-loaded CS nanoparticle | Seedling | Barley |
| [260] |
| CS silver nanocomposites | Seed treatment | Chili |
| [261] |
| CS and its nanoparticles | Foliar spray | Tomato |
| [264] |
| CS | Foliar spray | Bermudagrass |
| [265] |
| CS lactate | Foliar spray | O. basilicum L. and M. officinalis L. |
| [266] |
| CS–selenium nanoparticle | Foliar spray | Bitter melon |
| [267] |
5. Conclusions and Future Outlooks
Author Contributions
Funding
Institutional Review Board Statement
Informed Consent Statement
Data Availability Statement
Conflicts of Interest
References
- Paradowska-Stolarz, A.; Wieckiewicz, M.; Owczarek, A.; Wezgowiec, J. Natural Polymers for the Maintenance of Oral Health: Review of Recent Advances and Perspectives. Int. J. Mol. Sci. 2021, 22, 10337. [Google Scholar] [CrossRef]
- Gupta, R.K.; Guha, P.; Srivastav, P.P. Natural Polymers in Bio-Degradable/Edible Film: A Review on Environmental Concerns, Cold Plasma Technology and Nanotechnology Application on Food Packaging—A Recent Trends. Food Chem. Adv. 2022, 1, 100135. [Google Scholar] [CrossRef]
- Puertas-Bartolomé, M.; Mora-Boza, A.; García-Fernández, L. Emerging Biofabrication Techniques: A Review on Natural Polymers for Biomedical Applications. Polymers 2021, 13, 1209. [Google Scholar] [CrossRef] [PubMed]
- Tong, X.; Pan, W.; Su, T.; Zhang, M.; Dong, W.; Qi, X. Recent Advances in Natural Polymer-Based Drug Delivery Systems. React. Funct. Polym. 2020, 148, 104501. [Google Scholar] [CrossRef]
- Vasile, C.; Pamfil, D.; Stoleru, E.; Baican, M. New Developments in Medical Applications of Hybrid Hydrogels Containing Natural Polymers. Molecules 2020, 25, 1539. [Google Scholar] [CrossRef]
- Hamedi, H.; Moradi, S.; Hudson, S.M.; Tonelli, A.E.; King, M.W. Chitosan Based Bioadhesives for Biomedical Applications: A Review. Carbohydr. Polym. 2022, 282, 119100. [Google Scholar] [CrossRef]
- Fan, P.; Zeng, Y.; Zaldivar-Silva, D.; Agüero, L.; Wang, S. Chitosan-Based Hemostatic Hydrogels: The Concept, Mechanism, Application, and Prospects. Molecules 2023, 28, 1473. [Google Scholar] [CrossRef] [PubMed]
- Ressler, A. Chitosan-Based Biomaterials for Bone Tissue Engineering Applications: A Short Review. Polymers 2022, 14, 3430. [Google Scholar] [CrossRef] [PubMed]
- Mohammed, M.H.; Williams, P.A.; Tverezovskaya, O. Extraction of Chitin from Prawn Shells and Conversion to Low Molecular Mass Chitosan. Food Hydrocoll. 2013, 31, 166–171. [Google Scholar] [CrossRef]
- Harmsen, R.A.G.; Tuveng, T.R.; Antonsen, S.G.; Eijsink, V.G.H.; Sørlie, M. Can We Make Chitosan by Enzymatic Deacetylation of Chitin? Molecules 2019, 24, 3862. [Google Scholar] [CrossRef]
- Kaczmarek, M.B.; Struszczyk-Swita, K.; Li, X.; Szczęsna-Antczak, M.; Daroch, M. Enzymatic Modifications of Chitin, Chitosan, and Chitooligosaccharides. Front. Bioeng. Biotechnol. 2019, 7, 243. [Google Scholar] [CrossRef] [PubMed]
- No, H.K.; Meyers, S.P.; Lee, K.S. Isolation and Characterization of Chitin from Crawfish Shell Waste. J. Agric. Food Chem. 1989, 37, 575–579. [Google Scholar] [CrossRef]
- Arbia, W.; Arbia, L.; Adour, L.; Amrane, A. Chitin extraction from crustacean shells using biological methods—A review. Food Technol. Biotechnol. 2013, 51, 12–25. [Google Scholar]
- Pillai, C.K.S.; Paul, W.; Sharma, C.P. Chitin and Chitosan Polymers: Chemistry, Solubility and Fiber Formation. Prog. Polym. Sci. 2009, 34, 641–678. [Google Scholar] [CrossRef]
- Li, X.; Xia, W. Effects of concentration, degree of deacetylation and molecular weight on emulsifying properties of chitosan. Int. J. Biol. Macromol. 2011, 48, 768–772. [Google Scholar] [CrossRef]
- Kou, S.G.; Peters, L.M.; Mucalo, M.R. Chitosan: A review of sources and preparation methods. Int. J. Biol. Macromol. 2021, 169, 85–94. [Google Scholar] [CrossRef]
- Kou, S.G.; Peters, L.; Mucalo, M. Chitosan: A review of molecular structure, bioactivities and interactions with the human body and micro-organisms. Carbohydr. Polym. 2022, 282, 119132. [Google Scholar] [CrossRef]
- Zargar, V.; Asghari, M.; Dashti, A. A Review on Chitin and Chitosan Polymers: Structure, Chemistry, Solubility, Derivatives, and Applications. ChemBioEng Rev. 2015, 2, 204–226. [Google Scholar] [CrossRef]
- Kim, S. Competitive Biological Activities of Chitosan and Its Derivatives: Antimicrobial, Antioxidant, Anticancer, and Anti-Inflammatory Activities. Int. J. Polym. Sci. 2018, 2018, 1708172. [Google Scholar] [CrossRef]
- Ke, C.-L.; Deng, F.-S.; Chuang, C.-Y.; Lin, C.-H. Antimicrobial Actions and Applications of Chitosan. Polymers 2021, 13, 904. [Google Scholar] [CrossRef] [PubMed]
- Negm, N.A.; Hefni, H.H.H.; Abd-Elaal, A.A.A.; Badr, E.A.; Abou Kana, M.T.H. Advancement on Modification of Chitosan Biopolymer and Its Potential Applications. Int. J. Biol. Macromol. 2020, 152, 681–702. [Google Scholar] [CrossRef] [PubMed]
- Sahariah, P.; Másson, M. Antimicrobial Chitosan and Chitosan Derivatives: A Review of the Structure–Activity Relationship. Biomacromolecules 2017, 18, 3846–3868. [Google Scholar] [CrossRef]
- Argüelles-Monal, W.; Lizardi-Mendoza, J.; Fernández-Quiroz, D.; Recillas-Mota, M.; Montiel-Herrera, M. Chitosan Derivatives: Introducing New Functionalities with a Controlled Molecular Architecture for Innovative Materials. Polymers 2018, 10, 342. [Google Scholar] [CrossRef] [PubMed]
- Cohen, E.; Poverenov, E. Hydrophilic Chitosan Derivatives: Synthesis and Applications. Chem. Eur. J. 2022, 28, e202202156. [Google Scholar] [CrossRef]
- Boominathan, T.; Sivaramakrishna, A. Recent Advances in the Synthesis, Properties, and Applications of Modified Chitosan Derivatives: Challenges and Opportunities. Top. Curr. Chem. 2021, 379, 19. [Google Scholar] [CrossRef]
- Frigaard, J.; Jensen, J.L.; Galtung, H.K.; Hiorth, M. The Potential of Chitosan in Nanomedicine: An Overview of the Cytotoxicity of Chitosan Based Nanoparticles. Front. Pharmacol. 2022, 13, 880377. [Google Scholar] [CrossRef] [PubMed]
- Naskar, S.; Kuotsu, K.; Sharma, S. Chitosan-Based Nanoparticles as Drug Delivery Systems: A Review on Two Decades of Research. J. Drug Target. 2019, 27, 379–393. [Google Scholar] [CrossRef]
- Precedence Research. Chitosan Market Size to Surpass around US$ 29 Billion by 2030; GlobeNewswire: Los Angeles, CA, USA, 2021. [Google Scholar]
- Wang, W.; Meng, Q.; Li, Q.; Liu, J.; Zhou, M.; Jin, Z.; Zhao, K. Chitosan derivatives and their application in biomedicine. Int. J. Mol. Sci. 2020, 21, 487. [Google Scholar] [CrossRef]
- Kertmen, A.; Dziedzic, I.; Ehrlich, H. Patentology of chitinous biomaterials. Part II: Chitosan. Carbohydr. Polym. 2023, 301, 120224. [Google Scholar] [CrossRef]
- Thambiliyagodage, C.; Jayanetti, M.; Mendis, A.; Ekanayake, G.; Liyanaarachchi, H.; Vigneswaran, S. Recent Advances in Chitosan-Based Applications-A Review. Materials 2023, 16, 2073. [Google Scholar] [CrossRef]
- Elangwe, C.N.; Morozkina, S.N.; Olekhnovich, R.O.; Krasichkov, A.; Polyakova, V.O.; Uspenskaya, M.V. A Review on Chitosan and Cellulose Hydrogels for Wound Dressings. Polymers 2022, 14, 5163. [Google Scholar] [CrossRef]
- Lacasse, P.; Lanctôt, S.; Fustier, P.; Bégin, A.; Taherian, A.R.; Bisakowski, B. Chitosan hydrogels for accelerating involution and preventing infection of the mammary gland at drying-off. U.S. Patent No. 10, 828, 319, 10 November 2020. [Google Scholar]
- Armendariz, I.O.; Gomez, L.E.V.; Estrada, S.A.M. Biodegradable Film Made of Carboximethyl Chitosan and Mimosa Tenuifloraethanolic Extract for Wounds Treatment. Patent MX 2016007284 A, 3 June 2016. Available online: https://lens.org/157-946-545-478-401 (accessed on 4 December 2017).
- Travan, A.; Borgogna, M.A.; Parravicini, M.; De Lollis, A.; Siccardi, F. Biocompatible Compositions Comprising a Biocompatible Thickening Polymer and a Chitosan Derivative. U.S. Patent No. 17/597,280, 6 October 2022. [Google Scholar]
- Chuan, W.; Xiang, Z.; Lin, S.; Sijing, L.; Mingjuan, J.; Huan, H.; Yongyu, L.; Ting, L.; Yuzhen, Z. Chitosan Oligosaccharide Coated Listeria Iuanuii and Preparation Method and Application Thereof. Patent CN 109248312 A, 23 March 2021. Available online: https://lens.org/019-931-768-976-410 (accessed on 22 January 2019).
- Weiwei, W.; Wenshuai, L.; Pingsheng, H.; Huijuan, S.; Deling, K. Double Quaternized Chitosan Derivative, Synthetic Method Thereof, Composite Sponge Biological Dressing Containing Double Quaternized Chitosan Derivative and Application Thereof. Patent CN 111690078 A, 20 September 2022. Available online: https://lens.org/158-377-650-080-779 (accessed on 22 September 2020).
- Triviño, G.C. Chitosan Gels (A) Containing Metal Nanoparticles of Copper, Silver and Antibiotics (Ciprofloxacin, Cefotaxime, Gentamicin and Cloxacillin). U.S. Patent No. 16/973,000, 21 October 2021. [Google Scholar]
- Alcantar, N.A.; Falahat, R.; Wiranowska, M.; Toomey, R.G.U.S. Enhanced targeted drug delivery system via chitosan hydrogel and chlorotoxin. U.S. Patent No. 9522114B1, 20 December 2016. [Google Scholar]
- Aleksandrovna, Z.A.; Vladimirovna, K.M.; Tsyrendorzhievna, S.B.; Viktorovna, S.E.; Petrovich, V.V. Method of Producing Chitosan Derivatives for Visualizing Cell Membranes and Creating Drug Delivery Systems with High Mucoadhesion. Patent RU 2697872 C1, 21 August 2019. Available online: https://lens.org/079-602-098-619-834 (accessed on 27 September 2023).
- Jianhua, Z.; Liangxia, W.; Sheng, G.; Ling, C.; Chaoying, W.; Yongli, L.; Wanting, X.; Yumei, M. Chitosan nanoparticle CS-IL-17RC and preparation method thereof. CN 107519481 A, 27 August 2017. Available online: https://lens.org/105-221-674-703-471 (accessed on 29 December 2017).
- Panicker, R.K.G.; Veilleux, D.; Lian, P.; Tam, N.C.M.; Fleet, C.; Cheung, A.; Dauphinee, S.; Chen, X.; Jose, L.O.R.A. Chitosan Polyplex-Based Localized Expression of Il-12 Alone or in Combination with Type-I Ifn Inducers for Treatment of Mucosal Cancers. U.S. Patent No. 17/438,922, 24 November 2022. [Google Scholar]
- Pillay, V.; Choonara, Y.E.; Kumar, P.; Du Toit, L.C.; Ramburrun, P. Biodegradable Implant. U.S. Patent No. US10478527B2, 19 November 2019. [Google Scholar]
- Qiliang, H.; Lidong, C.; Chunli, X.; Chong, C.; Pengyue, Z.; Fengmin, L.; Yongquan, Z. Method for Preparing Prothioconazole Sustained-Release Gel Particles by Carboxymethyl Chitosan-Metal Ion Crosslinking Method. Patent CN 111887244 A, 15 July 2020. Available online: https://lens.org/095-820-269-282-291 (accessed on 6 November 2020).
- Arne, T.; Bjugan, A.B.; Linda, H.; Morten, S.; Hafizur, R.; Line, N.A.; Vincent, E. Composition Comprising Chitosan and a Fungicide. U.S. Patent No. 10172353B2, 8 January 2019. [Google Scholar]
- Jiajia, C. Berberine and Chitosan Containing Pesticide Composition. Patent CN 110024801 A, 27 May 2019. Available online: https://lens.org/196-874-974-995-823 (accessed on 19 July 2019).
- Zhiping, P.; Jichuan, H.; Yuting, T.; Zhijun, L.; Linxiang, Y.; Xuena, W. Method for Preparing Liquid Fertilizer Containing Amino Acid and Chitosan by Using Shrimp-Crab Residual Materials. Patent CN 108456033 A, 2 February 2018. Available online: https://lens.org/040-149-136-430-541 (accessed on 28 August 2018).
- Chen, Y.; Li, J.; Li, Q.; Shen, Y.; Ge, Z.; Zhang, W.; Chen, S. Enhanced Water-Solubility, Antibacterial Activity and Biocompatibility upon Introducing Sulfobetaine and Quaternary Ammonium to Chitosan. Carbohydr. Polym. 2016, 143, 246–253. [Google Scholar] [CrossRef]
- Ifuku, S.; Matsumoto, C.; Wada, M.; Morimoto, M.; Saimoto, H. Preparation of Highly Regioselective Amphiprotic Chitosan Derivative via “Click Chemistry”. Int. J. Biol. Macromol. 2013, 52, 72–76. [Google Scholar] [CrossRef]
- Kurita, K.; Ikeda, H.; Yoshida, Y.; Shimojoh, M.; Harata, M. Chemoselective Protection of the Amino Groups of Chitosan by Controlled Phthaloylation: Facile Preparation of a Precursor Useful for Chemical Modifications. Biomacromolecules 2002, 3, 1–4. [Google Scholar] [CrossRef]
- Holappa, J.; Nevalainen, T.; Soininen, P.; Másson, M.; Järvinen, T. Synthesis of Novel Quaternary Chitosan Derivatives via N-Chloroacyl-6-O-Triphenylmethylchitosans. Biomacromolecules 2006, 7, 407–410. [Google Scholar] [CrossRef]
- Kurita, K.; Hirakawa, M.; Kikuchi, S.; Yamanaka, H.; Yang, J. Trimethylsilylation of Chitosan and Some Properties of the Product. Carbohydr. Polym. 2004, 56, 333–337. [Google Scholar] [CrossRef]
- Rathinam, S.; Ólafsdóttir, S.; Jónsdóttir, S.; Hjálmarsdóttir, M.Á.; Másson, M. Selective Synthesis of N,N,N-Trimethylated Chitosan Derivatives at Different Degree of Substitution and Investigation of Structure-Activity Relationship for Activity against P. Aeruginosa and MRSA. Int. J. Biol. Macromol. 2020, 160, 548–557. [Google Scholar] [CrossRef] [PubMed]
- Song, W.; Gaware, V.S.; Rúnarsson, Ö.V.; Másson, M.; Mano, J.F. Functionalized Superhydrophobic Biomimetic Chitosan-Based Films. Carbohydr. Polym. 2010, 81, 140–144. [Google Scholar] [CrossRef]
- Sogias, I.A.; Khutoryanskiy, V.V.; Williams, A.C. Exploring the factors affecting the solubility of chitosan in water. Macromol. Chem. Phys. 2010, 211, 426–433. [Google Scholar] [CrossRef]
- Panda, P.K.; Yang, J.M.; Chang, Y.H.; Su, W.W. Modification of different molecular weights of chitosan by p-Coumaric acid: Preparation, characterization and effect of molecular weight on its water solubility and antioxidant property. Int. J. Biol. Macromol. 2019, 136, 661–667. [Google Scholar] [CrossRef] [PubMed]
- Wu, Q.X.; Lin, D.Q.; Yao, S.J. Design of chitosan and its water soluble derivatives-based drug carriers with polyelectrolyte complexes. Mar. Drugs 2014, 12, 6236–6253. [Google Scholar] [CrossRef]
- Panda, P.K.; Dash, P.; Chang, Y.H.; Yang, J.M. Improvement of chitosan water solubility by fumaric acid modification. Mater. Lett. 2022, 316, 132046. [Google Scholar] [CrossRef]
- Wu, Q.X.; Lin, D.Q.; Yao, S.J. Fabrication and formation studies on single-walled CA/NaCS-WSC microcapsules. Mater. Sci. Eng. C 2016, 59, 909–915. [Google Scholar] [CrossRef]
- Wang, W.; Xue, C.; Mao, X. Chitosan: Structural modification, biological activity and application. Int. J. Biol. Macromol. 2020, 164, 4532–4546. [Google Scholar] [CrossRef] [PubMed]
- Vilčnik, A.; Jerman, I.; Šurca Vuk, A.; Koželj, M.; Orel, B.; Tomšič, B.; Simončič, B.; Kovač, J. Structural Properties and Antibacterial Effects of Hydrophobic and Oleophobic Sol−Gel Coatings for Cotton Fabrics. Langmuir 2009, 25, 5869–5880. [Google Scholar] [CrossRef]
- Pei, L.; Cai, Z.; Shang, S.; Song, Z. Synthesis and Antibacterial Activity of Alkylated Chitosan under Basic Ionic Liquid Conditions. J. Appl. Polym. Sci. 2014, 131, 40052–40059. [Google Scholar] [CrossRef]
- Sun, X.; Li, J.; Shao, K.; Su, C.; Bi, S.; Mu, Y.; Zhang, K.; Cao, Z.; Wang, X.; Chen, X.; et al. A Composite Sponge Based on Alkylated Chitosan and Diatom-Biosilica for Rapid Hemostasis. Int. J. Biol. Macromol. 2021, 182, 2097–2107. [Google Scholar] [CrossRef]
- Akopova, T.A.; Demina, T.S.; Cherkaev, G.V.; Khavpachev, M.A.; Bardakova, K.N.; Grachev, A.V.; Vladimirov, L.V.; Zelenetskii, A.N.; Timashev, P.S. Solvent-Free Synthesis and Characterization of Allyl Chitosan Derivatives. RSC Adv. 2019, 9, 20968–20975. [Google Scholar] [CrossRef]
- Ma, G.; Yang, D.; Zhou, Y.; Xiao, M.; Kennedy, J.F.; Nie, J. Preparation and Characterization of Water-Soluble N-Alkylated Chitosan. Carbohydr. Polym. 2008, 74, 121–126. [Google Scholar] [CrossRef]
- Naidoo, S.; Nomadolo, N.; Matshe, W.M.R.; Cele, Z.; Balogun, M. Exploring the Potential of N-Acylated Chitosan for the Removal of Toxic Pollutants from Wastewater. IOP Conf. Ser. Mater. Sci. Eng. 2019, 655, 012047. [Google Scholar] [CrossRef]
- Reis, B.; Gerlach, N.; Steinbach, C.; Haro Carrasco, K.; Oelmann, M.; Schwarz, S.; Müller, M.; Schwarz, D. A Complementary and Revised View on the N-Acylation of Chitosan with Hexanoyl Chloride. Mar. Drugs 2021, 19, 385. [Google Scholar] [CrossRef] [PubMed]
- Champagne, L.M. The Synthesis of Water Soluble N-Acyl Chitosan Derivatives for Characterization as Antibacterial Agents; Louisiana State University and Agricultural & Mechanical College: Baton Rouge, LA, USA, 2008. [Google Scholar]
- Gamal, A.; Ibrahim, A.G.; Eliwa, E.M.; El-Zomrawy, A.H.; El-Bahy, S.M. Synthesis and Characterization of a Novel Benzothiazole Functionalized Chitosan and Its Use for Effective Adsorption of Cu(II). Int. J. Biol. Macromol. 2021, 183, 1283–1292. [Google Scholar] [CrossRef] [PubMed]
- Mohamed, A.E.; Elgammal, W.E.; Eid, A.M.; Dawaba, A.M.; Ibrahim, A.G.; Fouda, A.; Hassan, S.M. Synthesis and Characterization of New Functionalized Chitosan and Its Antimicrobial and In-Vitro Release Behavior from Topical Gel. Int. J. Biol. Macromol. 2022, 207, 242–253. [Google Scholar] [CrossRef]
- Ibrahim, A.G.; Fouda, A.; Elgammal, W.E.; Eid, A.M.; Elsenety, M.M.; Mohamed, A.E.; Hassan, S.M. New Thiadiazole Modified Chitosan Derivative to Control the Growth of Human Pathogenic Microbes and Cancer Cell Lines. Sci. Rep. 2022, 12, 21423. [Google Scholar] [CrossRef] [PubMed]
- Mohamed, A.E.; Elgammal, W.E.; Dawaba, A.M.; Ibrahim, A.G.; Fouda, A.; Hassan, S.M. A Novel 1,3,4-Thiadiazole Modified Chitosan: Synthesis, Characterization, Antimicrobial Activity, and Release Study from Film Dressings. Appl. Biol. Chem. 2022, 65, 54. [Google Scholar] [CrossRef]
- Ibrahim, A.G.; Elgammal, W.E.; Hashem, A.H.; Mohamed, A.E.; Awad, M.A.; Hassan, S.M. Development of a Chitosan Derivative Bearing the Thiadiazole Moiety and Evaluation of Its Antifungal and Larvicidal Efficacy. Polym. Bull. 2023, 1–33. [Google Scholar] [CrossRef]
- Deng, P.; Chen, J.; Yao, L.; Zhang, P.; Zhou, J. Thymine-Modified Chitosan with Broad-Spectrum Antimicrobial Activities for Wound Healing. Carbohydr. Polym. 2021, 257, 117630. [Google Scholar] [CrossRef]
- Hamodin, A.G.; Elgammal, W.E.; Eid, A.M.; Ibrahim, A.G. Synthesis, Characterization, and Biological Evaluation of New Chitosan Derivative Bearing Diphenyl Pyrazole Moiety. Int. J. Biol. Macromol. 2023, 243, 125180. [Google Scholar] [CrossRef]
- Mi, Y.; Li, Q.; Miao, Q.; Tan, W.; Zhang, J.; Guo, Z. Enhanced Antifungal and Antioxidant Activities of New Chitosan Derivatives Modified with Schiff Base Bearing Benzenoid/Heterocyclic Moieties. Int. J. Biol. Macromol. 2022, 208, 586–595. [Google Scholar] [CrossRef]
- Wang, L.; Liu, X.; Tan, W.; Li, Q.; Guo, Z.; Zhang, J. Preparation and Antioxidant Activity of Novel Chitosan Oligosaccharide Quinolinyl Urea Derivatives. Carbohydr. Res. 2022, 521, 108678. [Google Scholar] [CrossRef]
- Omer, A.M.; Eltaweil, A.S.; El-Fakharany, E.M.; Abd El-Monaem, E.M.; Ismail, M.M.F.; Mohy-Eldin, M.S.; Ayoup, M.S. Novel Cytocompatible Chitosan Schiff Base Derivative as a Potent Antibacterial, Antidiabetic, and Anticancer Agent. Arab. J. Sci. Eng. 2023, 48, 7587–7601. [Google Scholar] [CrossRef]
- Antony, R.; Arun, T.; Manickam, S.T.D. A Review on Applications of Chitosan-Based Schiff Bases. Int. J. Biol. Macromol. 2019, 129, 615–633. [Google Scholar] [CrossRef] [PubMed]
- Hamed, A.A.; Abdelhamid, I.A.; Saad, G.R.; Elkady, N.A.; Elsabee, M.Z. Synthesis, Characterization and Antimicrobial Activity of a Novel Chitosan Schiff Bases Based on Heterocyclic Moieties. Int. J. Biol. Macromol. 2020, 153, 492–501. [Google Scholar] [CrossRef]
- El-Gharably, A.A.; Kenawy, E.-R.S.; Safaan, A.A.; Aboamna, S.A.; Mahmoud, Y.A.-G.; Mandour, H.S.A. Synthesis, Characterization and Application of Chitosan Conjugated Heterocyclic Compounds. J. Polym. Res. 2022, 29, 141. [Google Scholar] [CrossRef]
- Hassan, M.A.; Omer, A.M.; Abbas, E.; Baset, W.M.A.; Tamer, T.M. Preparation, Physicochemical Characterization and Antimicrobial Activities of Novel Two Phenolic Chitosan Schiff Base Derivatives. Sci. Rep. 2018, 8, 11416. [Google Scholar] [CrossRef] [PubMed]
- Manchaiah, A.S.; Badalamoole, V. Novel Heterocyclic Chitosan-based Schiff Base: Evaluation as Adsorbent for Removal of Methyl Orange from Aqueous Solution. Water Environ. J. 2020, 34, 364–373. [Google Scholar] [CrossRef]
- El-Naggar, M.M.; Haneen, D.S.A.; Mehany, A.B.M.; Khalil, M.T. New Synthetic Chitosan Hybrids Bearing Some Heterocyclic Moieties with Potential Activity as Anticancer and Apoptosis Inducers. Int. J. Biol. Macromol. 2020, 150, 1323–1330. [Google Scholar] [CrossRef]
- Paula, H.C.B.; Silva, R.B.C.; Santos, C.M.; Dantas, F.D.S.; De Paula, R.C.M.; De Lima, L.R.M.; De Oliveira, E.F.; Figueiredo, E.A.T.; Dias, F.G.B. Eco-Friendly Synthesis of an Alkyl Chitosan Derivative. Int. J. Biol. Macromol. 2020, 163, 1591–1598. [Google Scholar] [CrossRef]
- Kritchenkov, A.S.; Egorov, A.R.; Artemjev, A.A.; Kritchenkov, I.S.; Volkova, O.V.; Kiprushkina, E.I.; Zabodalova, L.A.; Suchkova, E.P.; Yagafarov, N.Z.; Tskhovrebov, A.G.; et al. Novel Heterocyclic Chitosan Derivatives and Their Derived Nanoparticles: Catalytic and Antibacterial Properties. Int. J. Biol. Macromol. 2020, 149, 682–692. [Google Scholar] [CrossRef]
- Wang, L.; Zhang, J.; Liu, X.; Tan, W.; Li, Q.; Guo, Z. Preparation of Novel Chitosan Oligosaccharide Quaternary Ammonium Derivatives Bearing Quinoline with Antioxidative and Antibacterial Activities. Starch-Stärke 2023, 75, 2300001. [Google Scholar] [CrossRef]
- Andreica, B.-I.; Cheng, X.; Marin, L. Quaternary Ammonium Salts of Chitosan. A Critical Overview on the Synthesis and Properties Generated by Quaternization. Eur. Polym. J. 2020, 139, 110016. [Google Scholar] [CrossRef]
- Wang, Y.; Yang, Z.; Hu, H.; Wu, J.; Finšgar, M. Indolizine Quaternary Ammonium Salt Inhibitors: The Inhibition and Anti-Corrosion Mechanism of New Dimer Derivatives from Ethyl Acetate Quinolinium Bromide and n-Butyl Quinolinium Bromide. Colloids Surf. Physicochem. Eng. Asp. 2022, 651, 129649. [Google Scholar] [CrossRef]
- Muzzarelli, R.A.A.; Tanfani, F. The N-Permethylation of Chitosan and the Preparation of N-Trimethyl Chitosan Iodide. Carbohydr. Polym. 1985, 5, 297–307. [Google Scholar] [CrossRef]
- Ali, I.; Nadeem Lone, M.; Al-Othman, Z.A.; Al-Warthan, A.; Marsin Sanagi, M. Heterocyclic Scaffolds: Centrality in Anticancer Drug Development. Curr. Drug Targets 2015, 16, 711–734. [Google Scholar] [CrossRef]
- Li, Q.; Wei, L.; Zhang, J.; Gu, G.; Guo, Z. Significantly Enhanced Antioxidant Activity of Chitosan through Chemical Modification with Coumarins. Polym. Chem. 2019, 10, 1480–1488. [Google Scholar] [CrossRef]
- Li, Q.; Mi, Y.; Tan, W.; Guo, Z. Highly Efficient Free Radical-Scavenging Property of Phenolic-Functionalized Chitosan Derivatives: Chemical Modification and Activity Assessment. Int. J. Biol. Macromol. 2020, 164, 4279–4288. [Google Scholar] [CrossRef]
- Wei, L.; Li, Q.; Chen, Y.; Zhang, J.; Mi, Y.; Dong, F.; Lei, C.; Guo, Z. Enhanced Antioxidant and Antifungal Activity of Chitosan Derivatives Bearing 6-O-Imidazole-Based Quaternary Ammonium Salts. Carbohydr. Polym. 2019, 206, 493–503. [Google Scholar] [CrossRef]
- Li, Q.; Zhang, C.; Tan, W.; Gu, G.; Guo, Z. Novel Amino-Pyridine Functionalized Chitosan Quaternary Ammonium Derivatives: Design, Synthesis, and Antioxidant Activity. Molecules 2017, 22, 156. [Google Scholar] [CrossRef]
- Wei, L.; Tan, W.; Wang, G.; Li, Q.; Dong, F.; Guo, Z. The Antioxidant and Antifungal Activity of Chitosan Derivatives Bearing Schiff Bases and Quaternary Ammonium Salts. Carbohydr. Polym. 2019, 226, 115256. [Google Scholar] [CrossRef]
- Zhang, J.; Tan, W.; Li, Q.; Dong, F.; Guo, Z. Synthesis and Characterization of N,N,N-Trimethyl-O-(Ureidopyridinium)Acetyl Chitosan Derivatives with Antioxidant and Antifungal Activities. Mar. Drugs 2020, 18, 163. [Google Scholar] [CrossRef] [PubMed]
- Zhang, J.; Mi, Y.; Sun, X.; Chen, Y.; Miao, Q.; Tan, W.; Li, Q.; Dong, F.; Guo, Z. Improved Antioxidant and Antifungal Activity of Chitosan Derivatives Bearing Urea Groups. Starch-Stärke 2020, 72, 1900205. [Google Scholar] [CrossRef]
- Wei, L.; Mi, Y.; Zhang, J.; Li, Q.; Dong, F.; Guo, Z. Evaluation of Quaternary Ammonium Chitosan Derivatives Differing in the Length of Alkyl Side-Chain: Synthesis and Antifungal Activity. Int. J. Biol. Macromol. 2019, 129, 1127–1132. [Google Scholar] [CrossRef] [PubMed]
- Jiang, Y.; Zhang, Y.; Zhang, H.; Zhu, R.; Hu, Y. Synthesis of N-alkylated Quaternary Ammonium Chitosan and Its Long-term Antibacterial Finish for Rabbit Hair Fabric. Polym. Adv. Technol. 2022, 33, 314–325. [Google Scholar] [CrossRef]
- Mi, Y.; Zhang, J.; Han, X.; Tan, W.; Miao, Q.; Cui, J.; Li, Q.; Guo, Z. Modification of Carboxymethyl Inulin with Heterocyclic Compounds: Synthesis, Characterization, Antioxidant and Antifungal Activities. Int. J. Biol. Macromol. 2021, 181, 572–581. [Google Scholar] [CrossRef]
- Mi, Y.; Miao, Q.; Cui, J.; Tan, W.; Guo, Z. Novel 2-Hydroxypropyltrimethyl Ammonium Chitosan Derivatives: Synthesis, Characterization, Moisture Absorption and Retention Properties. Molecules 2021, 26, 4238. [Google Scholar] [CrossRef] [PubMed]
- Li, W.; Duan, Y.; Huang, J.; Zheng, Q. Synthesis, Antioxidant and Cathepsin D Inhibition Activity of Quaternary Ammonium Chitosan Derivatives. Carbohydr. Polym. 2016, 136, 884–891. [Google Scholar] [CrossRef] [PubMed]
- Spinelli, V.A.; Laranjeira, M.C.M.; Fávere, V.T. Preparation and Characterization of Quaternary Chitosan Salt: Adsorption Equilibrium of Chromium(VI) Ion. React. Funct. Polym. 2004, 61, 347–352. [Google Scholar] [CrossRef]
- Sangeetha, Y.; Meenakshi, S.; SairamSundaram, C. Corrosion Mitigation of N-(2-Hydroxy-3-Trimethyl Ammonium)Propyl Chitosan Chloride as Inhibitor on Mild Steel. Int. J. Biol. Macromol. 2015, 72, 1244–1249. [Google Scholar] [CrossRef]
- Tan, W.; Lin, C.; Zhang, J.; Li, Q.; Guo, Z. Synthesis of Hydroxypropyltrimethyl Ammonium Chitosan Derivatives Bearing Thioctate and the Potential for Antioxidant Application. Molecules 2022, 27, 2682. [Google Scholar] [CrossRef]
- Li, P.; He, L.; Li, X.; Liu, X.; Sun, M. Corrosion Inhibition Effect of N-(4-Diethylaminobenzyl) Quaternary Ammonium Chitosan for X80 Pipeline Steel in Hydrochloric Acid Solution. Int. J. Electrochem. Sci. 2021, 16, 150931. [Google Scholar] [CrossRef]
- Li, Z.; Yang, F.; Yang, R. Synthesis and Characterization of Chitosan Derivatives with Dual-Antibacterial Functional Groups. Int. J. Biol. Macromol. 2015, 75, 378–387. [Google Scholar] [CrossRef] [PubMed]
- Kratky, M.; Vinsova, J. Antimycobacterial activity of quaternary pyridinium salts and pyridinium N-oxides-review. Curr. Pharm. Des. 2013, 19, 1343–1355. [Google Scholar] [CrossRef] [PubMed]
- Sowmiah, S.; Esperança, J.M.S.S.; Rebelo, L.P.N.; Afonso, C.A.M. Pyridinium Salts: From Synthesis to Reactivity and Applications. Org. Chem. Front. 2018, 5, 453–493. [Google Scholar] [CrossRef]
- Wei, L.; Li, Q.; Tan, W.; Dong, F.; Luan, F.; Guo, Z. Synthesis, Characterization, and the Antioxidant Activity of Double Quaternized Chitosan Derivatives. Molecules 2017, 22, 501. [Google Scholar] [CrossRef] [PubMed]
- Oyervides-Muñoz, E.; Avérous, L.; Sosa-Santillán, G.D.J.; Pollet, E.; Pérez-Aguilar, N.V.; Rojas-Caldera, C.M.; Fuentes-Avilés, J.G.; García-Astrain, C. EDC-Mediated Grafting of Quaternary Ammonium Salts onto Chitosan for Antibacterial and Thermal Properties Improvement. Macromol. Chem. Phys. 2019, 220, 1800530. [Google Scholar] [CrossRef]
- Franconetti, A.; Contreras-Bernal, L.; Prado-Gotor, R.; Cabrera-Escribano, F. Synthesis of Hyperpolarizable Biomaterials at Molecular Level Based on Pyridinium–Chitosan Complexes. RSC Adv. 2015, 5, 74274–74283. [Google Scholar] [CrossRef]
- Jia, R.; Duan, Y.; Fang, Q.; Wang, X.; Huang, J. Pyridine-Grafted Chitosan Derivative as an Antifungal Agent. Food Chem. 2016, 196, 381–387. [Google Scholar] [CrossRef]
- Lin, C.; Guo, Z.; Jiang, A.; Liang, X.; Tan, W. Cationic Chitooligosaccharide Derivatives Bearing Pyridinium and Trialkyl Ammonium: Preparation, Characterization and Antimicrobial Activities. Polymers 2022, 15, 14. [Google Scholar] [CrossRef]
- Zhang, J.; Zhang, S.; Wang, L.; Tan, W.; Li, Q.; Guo, Z. The Antioxidant and Antibacterial Activities of the Pyridine-4-Aldehyde Schiff Bases Grafted Chloracetyl Chitosan Oligosaccharide Derivatives. Starch-Stärke 2023, 75, 2100268. [Google Scholar] [CrossRef]
- Zhang, J.; Sun, X.; Chen, Y.; Mi, Y.; Tan, W.; Miao, Q.; Li, Q.; Dong, F.; Guo, Z. Preparation of 2,6-Diurea-Chitosan Oligosaccharide Derivatives for Efficient Antifungal and Antioxidant Activities. Carbohydr. Polym. 2020, 234, 115903. [Google Scholar] [CrossRef]
- Zincke, T.; Heuser, G.; Möller, W.I. Ueber Dinitrophenylpyridiniumchlorid und Dessen Umwandlungsproducte. Justus Liebigs Ann. Chem. 1904, 333, 296–345. [Google Scholar] [CrossRef]
- Cheng, W.-C.; Kurth, M.J. The Zincke Reaction. A Review. Org. Prep. Proced. Int. 2002, 34, 585–608. [Google Scholar] [CrossRef]
- Venegas-García, D.J.; Steiger, B.G.K.; Wilson, L.D. A Pyridinium-Modified Chitosan-Based Adsorbent for Arsenic Removal via a Coagulation-like Methodology. RSC Sustain. 2023, 1, 1259–1269. [Google Scholar] [CrossRef]
- Gonçalves, F.; Freitas, R. Modification of Chitosan by Zincke Reaction: Synthesis of a Novel Polycationic Chitosan-Pyridinium Derivative. J. Braz. Chem. Soc. 2019, 30, 2318–2323. [Google Scholar] [CrossRef]
- Meng, X.; Edgar, K.J. “Click” Reactions in Polysaccharide Modification. Prog. Polym. Sci. 2016, 53, 52–85. [Google Scholar] [CrossRef]
- Li, Q.; Sun, X.; Gu, G.; Guo, Z. Novel Water Soluble Chitosan Derivatives with 1,2,3-Triazolium and Their Free Radical-Scavenging Activity. Mar. Drugs 2018, 16, 107. [Google Scholar] [CrossRef]
- Tan, W.; Zhang, J.; Mi, Y.; Dong, F.; Li, Q.; Guo, Z. Synthesis, Characterization, and Evaluation of Antifungal and Antioxidant Properties of Cationic Chitosan Derivative via Azide-Alkyne Click Reaction. Int. J. Biol. Macromol. 2018, 120, 318–324. [Google Scholar] [CrossRef]
- Tan, W.; Zhang, J.; Mi, Y.; Dong, F.; Li, Q.; Guo, Z. Enhanced Antifungal Activity of Novel Cationic Chitosan Derivative Bearing Triphenylphosphonium Salt via Azide-Alkyne Click Reaction. Int. J. Biol. Macromol. 2020, 165, 1765–1772. [Google Scholar] [CrossRef]
- Kim, S.-H.; Semenya, D.; Castagnolo, D. Antimicrobial Drugs Bearing Guanidine Moieties: A Review. Eur. J. Med. Chem. 2021, 216, 113293. [Google Scholar] [CrossRef]
- Eckert-Maksić, M.; Glasovac, Z.; Trošelj, P.; Kütt, A.; Rodima, T.; Koppel, I.; Koppel, I.A. Basicity of Guanidines with Heteroalkyl Side Chains in Acetonitrile. Eur. J. Org. Chem. 2008, 2008, 5176–5184. [Google Scholar] [CrossRef]
- Zhai, X.; Sun, P.; Luo, Y.; Ma, C.; Xu, J.; Liu, W. Guanidinylation: A Simple Way to Fabricate Cell Penetrating Peptide Analogue-Modified Chitosan Vector for Enhanced Gene Delivery: Guanidinylation. J. Appl. Polym. Sci. 2011, 121, 3569–3578. [Google Scholar] [CrossRef]
- Hu, Y.; Du, Y.; Yang, J.; Kennedy, J.; Wang, X.; Wang, L. Synthesis, Characterization and Antibacterial Activity of Guanidinylated Chitosan. Carbohydr. Polym. 2007, 67, 66–72. [Google Scholar] [CrossRef]
- Lahmer, R.A.; Williams, A.P.; Townsend, S.; Baker, S.; Jones, D.L. Antibacterial Action of Chitosan-Arginine against Escherichia Coli O157 in Chicken Juice. Food Control 2012, 26, 206–211. [Google Scholar] [CrossRef]
- Lv, J.; Jiang, M.; Fang, Y.; Zhang, W.; Wu, M.; Zheng, F.; Lei, K.; Shang, L.; Zhao, Y. The Mimicked Cell Penetration Peptides of Chitosan Derivates with Low Molecular Weight for Transdermal Enhancement Studies. Eur. Polym. J. 2023, 195, 112197. [Google Scholar] [CrossRef]
- Zhou, Y.; Liu, G.; Huang, H.; Wu, J. Advances and Impact of Arginine-Based Materials in Wound Healing. J. Mater. Chem. B 2021, 9, 6738–6750. [Google Scholar] [CrossRef] [PubMed]
- Xiao, B.; Wan, Y.; Zhao, M.; Liu, Y.; Zhang, S. Preparation and Characterization of Antimicrobial Chitosan-N-Arginine with Different Degrees of Substitution. Carbohydr. Polym. 2011, 83, 144–150. [Google Scholar] [CrossRef]
- Lv, H.-X.; Zhang, Z.-H.; Wang, X.-P.; Cheng, Q.-Q.; Wang, W.; Huang, X.-H.; Zhou, J.-P.; Zhang, Q.; Hou, L.-L.; Huo, W. A Biomimetic Chitosan Derivates: Preparation, Characterization and Transdermal Enhancement Studies of N-Arginine Chitosan. Molecules 2011, 16, 6778–6790. [Google Scholar] [CrossRef]
- Cui, J.; Sun, Y.; Wang, L.; Miao, Q.; Tan, W.; Guo, Z. Preparation of L-Arginine Schiff Bases Modified Chitosan Derivatives and Their Antimicrobial and Antioxidant Properties. Mar. Drugs 2022, 20, 688. [Google Scholar] [CrossRef]
- Salama, H.E.; Saad, G.R.; Sabaa, M.W. Synthesis, Characterization and Antimicrobial Activity of Biguanidinylated Chitosan-g-Poly[(R)-3-Hydroxybutyrate]. Int. J. Biol. Macromol. 2017, 101, 438–447. [Google Scholar] [CrossRef] [PubMed]
- Sang, W.; Tang, Z.; He, M.-Y.; Hua, Y.-P.; Xu, Q. Synthesis and Preservative Application of Quaternized Carboxymethyl Chitosan Containing Guanidine Groups. Int. J. Biol. Macromol. 2015, 75, 489–494. [Google Scholar] [CrossRef]
- Sahariah, P.; Óskarsson, B.M.; Hjálmarsdóttir, M.Á.; Másson, M. Synthesis of Guanidinylated Chitosan with the Aid of Multiple Protecting Groups and Investigation of Antibacterial Activity. Carbohydr. Polym. 2015, 127, 407–417. [Google Scholar] [CrossRef] [PubMed]
- Chen, S.; Li, C.; Hou, T.; Cai, Y.; Liang, L.; Chen, L.; Li, M. Polyhexamethylene Guanidine Functionalized Chitosan Nanofiber Membrane with Superior Adsorption and Antibacterial Performances. React. Funct. Polym. 2019, 145, 104379. [Google Scholar] [CrossRef]
- Salama, A.; Hesemann, P. New N-Guanidinium Chitosan/Silica Ionic Microhybrids as Efficient Adsorbent for Dye Removal from Waste Water. Int. J. Biol. Macromol. 2018, 111, 762–768. [Google Scholar] [CrossRef] [PubMed]
- Salama, A.; Hasanin, M.; Hesemann, P. Synthesis and Antimicrobial Properties of New Chitosan Derivatives Containing Guanidinium Groups. Carbohydr. Polym. 2020, 241, 116363. [Google Scholar] [CrossRef] [PubMed]
- Shaabani, A.; Sedghi, R. Preparation of Chitosan Biguanidine/PANI-Containing Self-Healing Semi-Conductive Waterborne Scaffolds for Bone Tissue Engineering. Carbohydr. Polym. 2021, 264, 118045. [Google Scholar] [CrossRef] [PubMed]
- Agrahari, A.K.; Bose, P.; Jaiswal, M.K.; Rajkhowa, S.; Singh, A.S.; Hotha, S.; Mishra, N.; Tiwari, V.K. Cu(I)-Catalyzed Click Chemistry in Glycoscience and Their Diverse Applications. Chem. Rev. 2021, 121, 7638–7956. [Google Scholar] [CrossRef]
- Badria, A. Click Chemistry: A Promising Tool for Building Hierarchical Structures. Polymers 2022, 14, 4077. [Google Scholar] [CrossRef] [PubMed]
- Chen, Y.; Yu, L.; Zhang, B.; Feng, W.; Xu, M.; Gao, L.; Liu, N.; Wang, Q.; Huang, X.; Li, P.; et al. Design and Synthesis of Biocompatible, Hemocompatible, and Highly Selective Antimicrobial Cationic Peptidopolysaccharides via Click Chemistry. Biomacromolecules 2019, 20, 2230–2240. [Google Scholar] [CrossRef]
- Rathinam, S.; Hjálmarsdóttir, M.Á.; Thygesen, M.B.; Másson, M. Chitotriazolan (Poly(β(1-4)-2-(1H-1,2,3-Triazol-1-Yl)-2-Deoxy-d-Glucose)) Derivatives: Synthesis, Characterization, and Evaluation of Antibacterial Activity. Carbohydr. Polym. 2021, 267, 118162. [Google Scholar] [CrossRef]
- Chen, Y.; Wang, F.; Yun, D.; Guo, Y.; Ye, Y.; Wang, Y.; Tan, H. Preparation of a C6 Quaternary Ammonium Chitosan Derivative through a Chitosan Schiff Base with Click Chemistry. J. Appl. Polym. Sci. 2013, 129, 3185–3191. [Google Scholar] [CrossRef]
- Tirino, P.; Laurino, R.; Maglio, G.; Malinconico, M.; d’Ayala, G.G.; Laurienzo, P. Synthesis of Chitosan–PEO Hydrogels via Mesylation and Regioselective Cu(I)-Catalyzed Cycloaddition. Carbohydr. Polym. 2014, 112, 736–745. [Google Scholar] [CrossRef] [PubMed]
- Koshiji, K.; Nonaka, Y.; Iwamura, M.; Dai, F.; Matsuoka, R.; Hasegawa, T. C6-Modifications on Chitosan to Develop Chitosan-Based Glycopolymers and Their Lectin-Affinities with Sigmoidal Binding Profiles. Carbohydr. Polym. 2016, 137, 277–286. [Google Scholar] [CrossRef] [PubMed]
- Barbosa, M.; Vale, N.; Costa, F.M.T.A.; Martins, M.C.L.; Gomes, P. Tethering Antimicrobial Peptides onto Chitosan: Optimization of Azide-Alkyne “Click” Reaction Conditions. Carbohydr. Polym. 2017, 165, 384–393. [Google Scholar] [CrossRef]
- Qin, Y.; Liu, S.; Xing, R.; Li, K.; Yu, H.; Li, P. Synthesis and Antifungal Evaluation of (1,2,3-Triazol-4-Yl)Methyl Nicotinate Chitosan. Int. J. Biol. Macromol. 2013, 61, 58–62. [Google Scholar] [CrossRef]
- Tan, W.; Zhang, J.; Zhao, X.; Dong, F.; Li, Q.; Guo, Z. Synthesis and Antioxidant Action of Chitosan Derivatives with Amino-Containing Groups via Azide-Alkyne Click Reaction and N-Methylation. Carbohydr. Polym. 2018, 199, 583–592. [Google Scholar] [CrossRef]
- Lunkov, A.; Shagdarova, B.; Lyalina, T.; Dubinnyi, M.A.; Karpova, N.; Lopatin, S.; Il’ina, A.; Varlamov, V. Simple Method for Ultrasound Assisted «click» Modification of Azido-Chitosan Derivatives by CuAAC. Carbohydr. Polym. 2022, 282, 119109. [Google Scholar] [CrossRef]
- Kritchenkov, A.S.; Egorov, A.R.; Dysin, A.P.; Volkova, O.V.; Zabodalova, L.A.; Suchkova, E.P.; Kurliuk, A.V.; Shakola, T.V. Ultrasound-Assisted Cu(I)-Catalyzed Azide-Alkyne Click Cycloaddition as Polymer-Analogous Transformation in Chitosan Chemistry. High Antibacterial and Transfection Activity of Novel Triazol Betaine Chitosan Derivatives and Their Nanoparti-cles. Int. J. Biol. Macromol. 2019, 137, 592–603. [Google Scholar] [CrossRef]
- Sahariah, P.; Másson, M. Efficient Synthesis of Chitosan Derivatives as Clickable Tools. Eur. Polym. J. 2022, 166, 111039. [Google Scholar] [CrossRef]
- Nornberg, A.B.; De Aquino, T.F.B.; Martins, C.C.; Luchese, C.; Wilhelm, E.A.; Jacob, R.G.; Hartwig, D.; Fajardo, A.R. Organoselenium-Chitosan Derivative: Synthesis via “Click” Reaction, Characterization and Antioxidant Activity. Int. J. Biol. Macromol. 2021, 191, 19–26. [Google Scholar] [CrossRef]
- Manisha D., P.; Chawla, R.; Dutta, P.K. “Click” Synthesized Non-Substituted Triazole Modified Chitosan from CaC2 as a Novel Antibacterial and Antioxidant Polymer. J. Polym. Res. 2022, 29, 179. [Google Scholar] [CrossRef]
- Guaresti, O.; García–Astrain, C.; Palomares, T.; Alonso–Varona, A.; Eceiza, A.; Gabilondo, N. Synthesis and Characterization of a Biocompatible Chitosan–Based Hydrogel Cross–Linked via ‘Click’ Chemistry for Controlled Drug Release. Int. J. Biol. Macromol. 2017, 102, 1–9. [Google Scholar] [CrossRef] [PubMed]
- Ruiz-Pardo, C.; Silva-Gutiérrez, L.; Lizardi-Mendoza, J.; López-Franco, Y.; Peniche-Covas, C.; Argüelles-Monal, W. Chitosan Hydrogels Based on the Diels–Alder Click Reaction: Rheological and Kinetic Study. Polymers 2022, 14, 1202. [Google Scholar] [CrossRef] [PubMed]
- Azmy, E.A.M.; Hashem, H.E.; Mohamed, E.A.; Negm, N.A. Synthesis, Characterization, Swelling and Antimicrobial Efficacies of Chemically Modified Chitosan Biopolymer. J. Mol. Liq. 2019, 284, 748–754. [Google Scholar] [CrossRef]
- Muzzarelli, R.; El Mehtedi, M.; Bottegoni, C.; Aquili, A.; Gigante, A. Genipin-Crosslinked Chitosan Gels and Scaffolds for Tissue Engineering and Regeneration of Cartilage and Bone. Mar. Drugs 2015, 13, 7314–7338. [Google Scholar] [CrossRef]
- Kandile, N.G.; Mohamed, H.M. New Chitosan Derivatives Inspired on Heterocyclic Anhydride of Potential Bioactive for Medical Applications. Int. J. Biol. Macromol. 2021, 182, 1543–1553. [Google Scholar] [CrossRef]
- Kandile, N.G.; Mohamed, M.I.; Zaky, H.T.; Nasr, A.S.; Ali, Y.G. Quinoline Anhydride Derivatives Cross-Linked Chitosan Hydrogels for Potential Use in Biomedical and Metal Ions Adsorption. Polym. Bull. 2022, 79, 2461–2486. [Google Scholar] [CrossRef]
- Rabea, E.I.; Badawy, M.E.-T.; Stevens, C.V.; Smagghe, G.; Steurbaut, W. Chitosan as Antimicrobial Agent: Applications and Mode of Action. Biomacromolecules 2003, 4, 1457–1465. [Google Scholar] [CrossRef]
- Zia, K.M.; Barikani, M.; Zuber, M.; Bhatti, I.A.; Sheikh, M.A. Molecular engineering of chitin based polyurethane elastomers. Carbohy. Polym. 2008, 74, 149–158. [Google Scholar] [CrossRef]
- Sudarshan, N.R.; Hoover, D.G.; Knorr, D. Antibacterial action of chitosan. Food Biotechnol. 1992, 6, 257–272. [Google Scholar] [CrossRef]
- Perinelli, D.R.; Fagioli, L.; Campana, R.; Lam, J.K.W.; Baffone, W.; Palmieri, G.F.; Casettari, L.; Bonacucina, G. Chitosan-Based Nanosystems and Their Exploited Antimicrobial Activity. Eur. J. Pharm. Sci. 2018, 117, 8–20. [Google Scholar] [CrossRef] [PubMed]
- Yilmaz Atay, H. Antibacterial Activity of Chitosan-Based Systems. In Functional Chitosan; Jana, S., Jana, S., Eds.; Springer: Singapore, 2019; pp. 457–489. ISBN 9789811502620. [Google Scholar]
- Kong, M.; Chen, X.G.; Xing, K.; Park, H.J. Antimicrobial Properties of Chitosan and Mode of Action: A State of the Art Review. Int. J. Food Microbiol. 2010, 144, 51–63. [Google Scholar] [CrossRef] [PubMed]
- Jeon, Y. Antimicrobial Effect of Chitooligosaccharides Produced by Bioreactor. Carbohydr. Polym. 2001, 44, 71–76. [Google Scholar] [CrossRef]
- Xing, K.; Chen, X.G.; Liu, C.S.; Cha, D.S.; Park, H.J. Oleoyl-Chitosan Nanoparticles Inhibits Escherichia Coli and Staphylococcus Aureus by Damaging the Cell Membrane and Putative Binding to Extracellular or Intracellular Targets. Int. J. Food Microbiol. 2009, 132, 127–133. [Google Scholar] [CrossRef] [PubMed]
- Clifton, L.A.; Skoda, M.W.A.; Le Brun, A.P.; Ciesielski, F.; Kuzmenko, I.; Holt, S.A.; Lakey, J.H. Effect of Divalent Cation Removal on the Structure of Gram-Negative Bacterial Outer Membrane Models. Langmuir 2015, 31, 404–412. [Google Scholar] [CrossRef]
- Hosseinnejad, M.; Jafari, S.M. Evaluation of Different Factors Affecting Antimicrobial Properties of Chitosan. Int. J. Biol. Macromol. 2016, 85, 467–475. [Google Scholar] [CrossRef]
- Brown, S.; Santa Maria, J.P.; Walker, S. Wall Teichoic Acids of Gram-Positive Bacteria. Annu. Rev. Microbiol. 2013, 67, 313–336. [Google Scholar] [CrossRef] [PubMed]
- Pasquina-Lemonche, L.; Burns, J.; Turner, R.D.; Kumar, S.; Tank, R.; Mullin, N.; Wilson, J.S.; Chakrabarti, B.; Bullough, P.A.; Foster, S.J.; et al. The Architecture of the Gram-Positive Bacterial Cell Wall. Nature 2020, 582, 294–297. [Google Scholar] [CrossRef]
- Matica, M.A.; Aachmann, F.L.; Tøndervik, A.; Sletta, H.; Ostafe, V. Chitosan as a Wound Dressing Starting Material: Antimicrobial Properties and Mode of Action. Int. J. Mol. Sci. 2019, 20, 5889. [Google Scholar] [CrossRef]
- Je, J.-Y.; Kim, S.-K. Chitosan Derivatives Killed Bacteria by Disrupting the Outer and Inner Membrane. J. Agric. Food Chem. 2006, 54, 6629–6633. [Google Scholar] [CrossRef]
- Feng, P.; Luo, Y.; Ke, C.; Qiu, H.; Wang, W.; Zhu, Y.; Hou, R.; Xu, L.; Wu, S. Chitosan-Based Functional Materials for Skin Wound Repair: Mechanisms and Applications. Front. Bioeng. Biotechnol. 2021, 9, 650598. [Google Scholar] [CrossRef] [PubMed]
- Gan, L.; Chen, S.; Jensen, G.J. Molecular Organization of Gram-Negative Peptidoglycan. Proc. Natl. Acad. Sci. USA 2008, 105, 18953–18957. [Google Scholar] [CrossRef]
- Khalid, S.; Piggot, T.J.; Samsudin, F. Atomistic and Coarse Grain Simulations of the Cell Envelope of Gram-Negative Bacteria: What Have We Learned? Acc. Chem. Res. 2019, 52, 180–188. [Google Scholar] [CrossRef] [PubMed]
- Helander, I.M.; Nurmiaho-Lassila, E.-L.; Ahvenainen, R.; Rhoades, J.; Roller, S. Chitosan Disrupts the Barrier Properties of the Outer Membrane of Gram-Negative Bacteria. Int. J. Food Microbiol. 2001, 71, 235–244. [Google Scholar] [CrossRef] [PubMed]
- Chen, C.-P.; Hsieh, C.-M.; Tsai, T.; Yang, J.-C.; Chen, C.-T. Optimization and Evaluation of a Chitosan/Hydroxypropyl Methylcellulose Hydrogel Containing Toluidine Blue O for Antimicrobial Photodynamic Inactivation. Int. J. Mol. Sci. 2015, 16, 20859–20872. [Google Scholar] [CrossRef]
- Xia, W.; Wei, X.-Y.; Xie, Y.-Y.; Zhou, T. A Novel Chitosan Oligosaccharide Derivative: Synthesis, Antioxidant and Antibacterial Properties. Carbohydr. Polym. 2022, 291, 119608. [Google Scholar] [CrossRef]
- Arjunan, N.; Kumari, H.L.J.; Singaravelu, C.M.; Kandasamy, R.; Kandasamy, J. Physicochemical Investigations of Biogenic Chitosan-Silver Nanocomposite as Antimicrobial and Anticancer Agent. Int. J. Biol. Macromol. 2016, 92, 77–87. [Google Scholar] [CrossRef]
- Rahayu, D.P.; De Mori, A.; Yusuf, R.; Draheim, R.; Lalatsa, A.; Roldo, M. Enhancing the Antibacterial Effect of Chitosan to Combat Orthopaedic Implant-Associated Infections. Carbohydr. Polym. 2022, 289, 119385. [Google Scholar] [CrossRef]
- Tamer, T.M.; Zhou, H.; Hassan, M.A.; Abu-Serie, M.M.; Shityakov, S.; Elbayomi, S.M.; Mohy-Eldin, M.S.; Zhang, Y.; Cheang, T. Synthesis and Physicochemical Properties of an Aromatic Chitosan Derivative: In Vitro Antibacterial, Antioxidant, and Anticancer Evaluations, and in Silico Studies. Int. J. Biol. Macromol. 2023, 240, 124339. [Google Scholar] [CrossRef]
- Hassan, M.A.; Tamer, T.M.; Omer, A.M.; Baset, W.M.A.; Abbas, E.; Mohy-Eldin, M.S. Therapeutic Potential of Two Formulated Novel Chitosan Derivatives with Prominent Antimicrobial Activities against Virulent Microorganisms and Safe Profiles toward Fibroblast Cells. Int. J. Pharm. 2023, 634, 122649. [Google Scholar] [CrossRef]
- Zaki, N.M.; Hafez, M.M. Enhanced Antibacterial Effect of Ceftriaxone Sodium-Loaded Chitosan Nanoparticles Against Intracellular Salmonella Typhimurium. AAPS PharmSciTech 2012, 13, 411–421. [Google Scholar] [CrossRef] [PubMed]
- Jamil, B.; Habib, H.; Abbasi, S.; Nasir, H.; Rahman, A.; Rehman, A.; Bokhari, H.; Imran, M. Cefazolin Loaded Chitosan Nanoparticles to Cure Multi Drug Resistant Gram-Negative Pathogens. Carbohydr. Polym. 2016, 136, 682–691. [Google Scholar] [CrossRef]
- Maya, S.; Indulekha, S.; Sukhithasri, V.; Smitha, K.T.; Nair, S.V.; Jayakumar, R.; Biswas, R. Efficacy of Tetracycline Encapsulated O-Carboxymethyl Chitosan Nanoparticles against Intracellular Infections of Staphylococcus Aureus. Int. J. Biol. Macromol. 2012, 51, 392–399. [Google Scholar] [CrossRef]
- Mawad, A.; Helmy, Y.A.; Shalkami, A.-G.; Kathayat, D.; Rajashekara, G.E. Coli Nissle Microencapsulation in Alginate-Chitosan Nanoparticles and Its Effect on Campylobacter Jejuni in Vitro. Appl. Microbiol. Biotechnol. 2018, 102, 10675–10690. [Google Scholar] [CrossRef] [PubMed]
- Rhim, J.-W.; Hong, S.-I.; Park, H.-M.; Ng, P.K.W. Preparation and Characterization of Chitosan-Based Nanocomposite Films with Antimicrobial Activity. J. Agric. Food Chem. 2006, 54, 5814–5822. [Google Scholar] [CrossRef]
- Kumar-Krishnan, S.; Prokhorov, E.; Hernández-Iturriaga, M.; Mota-Morales, J.D.; Vázquez-Lepe, M.; Kovalenko, Y.; Sanchez, I.C.; Luna-Bárcenas, G. Chitosan/Silver Nanocomposites: Synergistic Antibacterial Action of Silver Nanoparticles and Silver Ions. Eur. Polym. J. 2015, 67, 242–251. [Google Scholar] [CrossRef]
- Mu, H.; Liu, Q.; Niu, H.; Sun, Y.; Duan, J. Gold Nanoparticles Make Chitosan–Streptomycin Conjugates Effective towards Gram-Negative Bacterial Biofilm. RSC Adv. 2016, 6, 8714–8721. [Google Scholar] [CrossRef]
- P, M.R.; Muraleedaran, K.; Mujeeb, V.M.A. Applications of Chitosan Powder with in Situ Synthesized Nano ZnO Particles as an Antimicrobial Agent. Int. J. Biol. Macromol. 2015, 77, 266–272. [Google Scholar] [CrossRef] [PubMed]
- Hanpanich, O.; Wongkongkatep, P.; Pongtharangkul, T.; Wongkongkatep, J. Turning Hydrophilic Bacteria into Biorenewable Hydrophobic Material with Potential Antimicrobial Activity via Interaction with Chitosan. Bioresour. Technol. 2017, 230, 97–102. [Google Scholar] [CrossRef]
- Rivera Aguayo, P.; Bruna Larenas, T.; Alarcón Godoy, C.; Cayupe Rivas, B.; González-Casanova, J.; Rojas-Gómez, D.; Caro Fuentes, N. Antimicrobial and Antibiofilm Capacity of Chitosan Nanoparticles against Wild Type Strain of Pseudomonas sp. Isolated from Milk of Cows Diagnosed with Bovine Mastitis. Antibiotics 2020, 9, 551. [Google Scholar] [CrossRef]
- Muñoz-Nuñez, C.; Cuervo-Rodríguez, R.; Echeverría, C.; Fernández-García, M.; Muñoz-Bonilla, A. Synthesis and Characterization of Thiazolium Chitosan Derivative with Enhanced Antimicrobial Properties and Its Use as Component of Chitosan Based Films. Carbohydr. Polym. 2023, 302, 120438. [Google Scholar] [CrossRef]
- Zou, W.; Gu, J.; Li, J.; Wang, Y.; Chen, S. Tailorable Antibacterial and Cytotoxic Chitosan Derivatives by Introducing Quaternary Ammonium Salt and Sulfobetaine. Int. J. Biol. Macromol. 2022, 218, 992–1001. [Google Scholar] [CrossRef]
- Alenzi, A.M.; Albalawi, S.A.; Alghamdi, S.G.; Albalawi, R.F.; Albalawi, H.S.; Qushawy, M. Review on Different Vesicular Drug Delivery Systems (VDDSs) and TheirApplications. Recent Pat. Nanotechnol. 2023, 17, 18–32. [Google Scholar] [CrossRef]
- Pacheco, C.; Baião, A.; Ding, T.; Cui, W.; Sarmento, B. Recent Advances in Long-Acting Drug Delivery Systems for Anticancer Drug. Adv. Drug Deliv. Rev. 2023, 194, 114724. [Google Scholar] [CrossRef] [PubMed]
- Lukova, P.; Katsarov, P. Contemporary Aspects of Designing Marine Polysaccharide Microparticles as Drug Carriers for Biomedical Application. Pharmaceutics 2023, 15, 2126. [Google Scholar] [CrossRef] [PubMed]
- Lee, J.H.; Yeo, Y. Controlled drug release from pharmaceutical nanocarriers. Chem. Eng. Sci. 2015, 125, 75–84. [Google Scholar] [CrossRef]
- Desai, N.; Rana, D.; Salave, S.; Gupta, R.; Patel, P.; Karunakaran, B.; Sharma, A.; Giri, J.; Benival, D.; Kommineni, N. Chitosan: A Potential Biopolymer in Drug Delivery and Biomedical Applications. Pharmaceutics 2023, 15, 1313. [Google Scholar] [CrossRef] [PubMed]
- Jin, H.; Zhao, Z.; Lan, Q.; Zhou, H.; Mai, Z.; Wang, Y.; Ding, X.; Zhang, W.; Pi, J.; Evans, C.E.; et al. Nasal Delivery of Hesperidin/Chitosan Nanoparticles Suppresses Cytokine Storm Syndrome in a Mouse Model of Acute Lung Injury. Front. Pharmacol. 2021, 11, 592238. [Google Scholar] [CrossRef]
- Abdallah, H.M.; Abu Elella, M.H.; Abdel-Aziz, M.M. One-Pot Green Synthesis of Chitosan Biguanidine Nanoparticles for Targeting M. tuberculosis. Int. J. Biol. Macromol. 2023, 232, 123394. [Google Scholar] [CrossRef]
- Petkar, K.C.; Chavhan, S.; Kunda, N.; Saleem, I.; Somavarapu, S.; Taylor, K.M.G.; Sawant, K.K. Development of Novel Octanoyl Chitosan Nanoparticles for Improved Rifampicin Pulmonary Delivery: Optimization by Factorial Design. AAPS PharmSciTech 2018, 19, 1758–1772. [Google Scholar] [CrossRef]
- Niaz, T.; Sarkar, A.; Mackie, A.; Imran, M. Impact of Albumin Corona on Mucoadhesion and Antimicrobial Activity of Carvacrol Loaded Chitosan Nano-Delivery Systems under Simulated Gastro-Intestinal Conditions. Int. J. Biol. Macromol. 2021, 169, 171–182. [Google Scholar] [CrossRef]
- Yildiz-Peköz, A.; Akbal, O.; Tekarslan, S.H.; Sagirli, A.O.; Mulazimoglu, L.; Morina, D.; Cevher, E. Preparation and Characterization of Doripenem-Loaded Microparticles for Pulmonary Delivery. J. Aerosol Med. Pulm. Drug Deliv. 2018, 31, 347–357. [Google Scholar] [CrossRef]
- Hemmingsen, L.M.; Julin, K.; Ahsan, L.; Basnet, P.; Johannessen, M.; Škalko-Basnet, N. Chitosomes-In-Chitosan Hydrogel for Acute Skin Injuries: Prevention and Infection Control. Mar. Drugs 2021, 19, 269. [Google Scholar] [CrossRef] [PubMed]
- Abilova, G.K.; Kaldybekov, D.B.; Irmukhametova, G.S.; Kazybayeva, D.S.; Iskakbayeva, Z.A.; Kudaibergenov, S.E.; Khutoryanskiy, V.V. Chitosan/Poly(2-Ethyl-2-Oxazoline) Films with Ciprofloxacin for Application in Vaginal Drug Delivery. Materials 2020, 13, 1709. [Google Scholar] [CrossRef] [PubMed]
- Priya Dharshini, K.; Fang, H.; Ramya Devi, D.; Yang, J.-X.; Luo, R.-H.; Zheng, Y.-T.; Brzeziński, M.; Vedha Hari, B.N. pH-Sensitive Chitosan Nanoparticles Loaded with Dolutegravir as Milk and Food Admixture for Paediatric Anti-HIV Therapy. Carbohydr. Polym. 2021, 256, 117440. [Google Scholar] [CrossRef] [PubMed]
- Gondil, V.S.; Dube, T.; Panda, J.J.; Yennamalli, R.M.; Harjai, K.; Chhibber, S. Comprehensive Evaluation of Chitosan Nanoparticle Based Phage Lysin Delivery System; A Novel Approach to Counter S. pneumoniae Infections. Int. J. Pharm. 2020, 573, 118850. [Google Scholar] [CrossRef]
- Zareshahrabadi, Z.; Khorram, M.; Pakshir, K.; Tamaddon, A.-M.; Jafari, M.; Nouraei, H.; Ardekani, N.T.; Amirzadeh, N.; Irajie, C.; Barzegar, A.; et al. Magnetic Chitosan Nanoparticles Loaded with Amphotericin B: Synthesis, Properties and Potentiation of Antifungal Activity against Common Human Pathogenic Fungal Strains. Int. J. Biol. Macromol. 2022, 222, 1619–1631. [Google Scholar] [CrossRef]
- Pramanik, A.; Jones, S.; Gao, Y.; Sweet, C.; Begum, S.; Shukla, M.K.; Buchanan, J.P.; Moser, R.D.; Ray, P.C. A Bio-Conjugated Chitosan Wrapped CNT Based 3D Nanoporous Architecture for Separation and Inactivation of Rotavirus and Shigella Waterborne Pathogens. J. Mater. Chem. B 2017, 5, 9522–9531. [Google Scholar] [CrossRef]
- Liu, L.; Ma, Q.; Wang, S.; Gao, Y.; Zhu, C.; Zhao, W.; Sun, W.; Ma, H.; Sun, Y. Efficient Epidermal Delivery of Antibiotics by Self-Assembled Lecithin/Chitosan Nanoparticles for Enhanced Therapy on Epidermal Bacterial Infections. Int. J. Biol. Macromol. 2022, 218, 568–579. [Google Scholar] [CrossRef]
- Silva, M.; Calado, R.; Marto, J.; Bettencourt, A.; Almeida, A.; Gonçalves, L. Chitosan Nanoparticles as a Mucoadhesive Drug Delivery System for Ocular Administration. Mar. Drugs 2017, 15, 370. [Google Scholar] [CrossRef]
- Rashki, S.; Safardoust-Hojaghan, H.; Mirzaei, H.; Abdulsahib, W.K.; Mahdi, M.A.; Salavati-Niasari, M.; Khaledi, A.; Khorshidi, A.; Mousavi, S.G.A. Delivery LL37 by Chitosan Nanoparticles for Enhanced Antibacterial and Antibiofilm Efficacy. Carbohydr. Polym. 2022, 291, 119634. [Google Scholar] [CrossRef] [PubMed]
- Mosafer, J.; Sabbaghi, A.-H.; Badiee, A.; Dehghan, S.; Tafaghodi, M. Preparation, Characterization and In Vivo Evaluation of Alginate-Coated Chitosan and Trimethylchitosan Nanoparticles Loaded with PR8 Influenza Virus for Nasal Immunization. Asian J. Pharm. Sci. 2019, 14, 216–221. [Google Scholar] [CrossRef]
- Jearanaiwitayakul, T.; Sunintaboon, P.; Chawengkittikul, R.; Limthongkul, J.; Midoeng, P.; Chaisuwirat, P.; Warit, S.; Ubol, S. Whole Inactivated Dengue Virus-Loaded Trimethyl Chitosan Nanoparticle-Based Vaccine: Immunogenic Properties in Ex Vivo and in Vivo Models. Hum. Vaccines Immunother. 2021, 17, 2793–2807. [Google Scholar] [CrossRef]
- Acevedo-Villanueva, K.Y.; Lester, B.; Renu, S.; Han, Y.; Shanmugasundaram, R.; Gourapura, R.; Selvaraj, R. Efficacy of Chitosan-Based Nanoparticle Vaccine Administered to Broiler Birds Challenged with Salmonella. PLoS ONE 2020, 15, e0231998. [Google Scholar] [CrossRef] [PubMed]
- Helmy, Y.A.; Closs, G.; Jung, K.; Kathayat, D.; Vlasova, A.; Rajashekara, G. Effect of Probiotic E. coli Nissle 1917 Supplementation on the Growth Performance, Immune Responses, Intestinal Morphology, and Gut Microbes of Campylobacter Jejuni Infected Chickens. Infect. Immun. 2022, 90, e00337-22. [Google Scholar] [CrossRef]
- Bento, D.; Jesus, S.; Lebre, F.; Gonçalves, T.; Borges, O. Chitosan Plus Compound 48/80: Formulation and Preliminary Evaluation as a Hepatitis B Vaccine Adjuvant. Pharmaceutics 2019, 11, 72. [Google Scholar] [CrossRef] [PubMed]
- Zhao, K.; Li, S.; Li, W.; Yu, L.; Duan, X.; Han, J.; Wang, X.; Jin, Z. Quaternized Chitosan Nanoparticles Loaded with the Combined Attenuated Live Vaccine against Newcastle Disease and Infectious Bronchitis Elicit Immune Response in Chicken after Intranasal Administration. Drug Deliv. 2017, 24, 1574–1586. [Google Scholar] [CrossRef]
- Hajam, I.A.; Senevirathne, A.; Hewawaduge, C.; Kim, J.; Lee, J.H. Intranasally Administered Protein Coated Chitosan Nanoparticles Encapsulating Influenza H9N2 HA2 and M2e mRNA Molecules Elicit Protective Immunity against Avian Influenza Viruses in Chickens. Vet. Res. 2020, 51, 37. [Google Scholar] [CrossRef]
- Helmi, O.; Elshishiny, F.; Mamdouh, W. Targeted Doxorubicin Delivery and Release within Breast Cancer Environment Using PEGylated Chitosan Nanoparticles Labeled with Monoclonal Antibodies. Int. J. Biol. Macromol. 2021, 184, 325–338. [Google Scholar] [CrossRef]
- Naseer, F.; Ahmad, T.; Kousar, K.; Kakar, S.; Gul, R.; Anjum, S. Formulation of Surface-Functionalized Hyaluronic Acid-Coated Thiolated Chitosan Nano-Formulation for the Delivery of Vincristine in Prostate Cancer: A Multifunctional Targeted Drug Delivery Approach. J. Drug Deliv. Sci. Technol. 2022, 74, 103545. [Google Scholar] [CrossRef]
- Hu, H.; Qi, Q.; Dong, Z.; Yu, X.; Mo, Y.; Luo, J.; Wang, Y.; Du, S.; Lu, Y. Albumin Coated Trimethyl Chitosan-Based Targeting Delivery Platform for Photothermal/Chemo-Synergistic Cancer Therapy. Carbohydr. Polym. 2020, 241, 116335. [Google Scholar] [CrossRef]
- El-Dakroury, W.A.; Zewail, M.B.; Amin, M.M. Design, Optimization, and in-Vivo Performance of Glipizide-Loaded O-Carboxymethyl Chitosan Nanoparticles in Insulin Resistant/Type 2 Diabetic Rat Model. J. Drug Deliv. Sci. Technol. 2023, 79, 104040. [Google Scholar] [CrossRef]
- Wilson, B.; Mohamed Alobaid, B.N.; Geetha, K.M.; Jenita, J.L. Chitosan Nanoparticles to Enhance Nasal Absorption and Brain Targeting of Sitagliptin to Treat Alzheimer’s Disease. J. Drug Deliv. Sci. Technol. 2021, 61, 102176. [Google Scholar] [CrossRef]
- Li, B.; Wang, J.; Gui, Q.; Yang, H. Drug-Loaded Chitosan Film Prepared via Facile Solution Casting and Air-Drying of Plain Water-Based Chitosan Solution for Ocular Drug Delivery. Bioact. Mater. 2020, 5, 577–583. [Google Scholar] [CrossRef]
- Akhlaq, M.; Azad, A.K.; Fuloria, S.; Meenakshi, D.U.; Raza, S.; Safdar, M.; Nawaz, A.; Subramaniyan, V.; Sekar, M.; Sathasivam, K.V.; et al. Fabrication of Tizanidine Loaded Patches Using Flaxseed Oil and Coriander Oil as a Penetration Enhancer for Transdermal Delivery. Polymers 2021, 13, 4217. [Google Scholar] [CrossRef] [PubMed]
- Wei, H.; Liu, S.; Tong, Z.; Chen, T.; Yang, M.; Guo, Y.; Sun, H.; Wu, Y.; Chu, Y.; Fan, L. Hydrogel-Based Microneedles of Chitosan Derivatives for Drug Delivery. React. Funct. Polym. 2022, 172, 105200. [Google Scholar] [CrossRef]
- Pourjavadi, A.; Bagherifard, M.; Doroudian, M. Synthesis of Micelles Based on Chitosan Functionalized with Gold Nanorods as a Light Sensitive Drug Delivery Vehicle. Int. J. Biol. Macromol. 2020, 149, 809–818. [Google Scholar] [CrossRef]
- Chen, X.; Gu, J.; Sun, L.; Li, W.; Guo, L.; Gu, Z.; Wang, L.; Zhang, Y.; Zhang, W.; Han, B.; et al. Efficient Drug Delivery and Anticancer Effect of Micelles Based on Vitamin E Succinate and Chitosan Derivatives. Bioact. Mater. 2021, 6, 3025–3035. [Google Scholar] [CrossRef] [PubMed]
- Gu, H.; Chen, P.; Liu, X.; Lian, Y.; Xi, J.; Li, J.; Song, J.; Li, X. Trimethylated Chitosan-Coated Flexible Liposomes with Resveratrol for Topical Drug Delivery to Reduce Blue-Light-Induced Retinal Damage. Int. J. Biol. Macromol. 2023, 252, 126480. [Google Scholar] [CrossRef]
- Khodarahmi, M.; Abbasi, H.; Kouchak, M.; Mahdavinia, M.; Handali, S.; Rahbar, N. Nanoencapsulation of Aptamer-Functionalized 5-Fluorouracil Liposomes Using Alginate/Chitosan Complex as a Novel Targeting Strategy for Colon-Specific Drug Delivery. J. Drug Deliv. Sci. Technol. 2022, 71, 103299. [Google Scholar] [CrossRef]
- Ding, Y.; Yang, R.; Yu, W.; Hu, C.; Zhang, Z.; Liu, D.; An, Y.; Wang, X.; He, C.; Liu, P.; et al. Chitosan Oligosaccharide Decorated Liposomes Combined with TH302 for Photodynamic Therapy in Triple Negative Breast Cancer. J. Nanobiotechnol. 2021, 19, 147. [Google Scholar] [CrossRef] [PubMed]
- Jafernik, K.; Ładniak, A.; Blicharska, E.; Czarnek, K.; Ekiert, H.; Wiącek, A.E.; Szopa, A. Chitosan-Based Nanoparticles as Effective Drug Delivery Systems-A review. Molecules 2023, 28, 1963. [Google Scholar] [CrossRef] [PubMed]
- Aydin, R.S.T.; Pulat, M. 5-Fluorouracil encapsulated chitosan nanoparticles for pH-stimulated drug delivery: Evaluation of controlled release kinetics. J. Nanomater. 2012, 2012, 42. [Google Scholar] [CrossRef]
- Lim, E.K.; Huh, Y.M.; Yang, J.; Lee, K.; Suh, J.S.; Haam, S. pH-triggered drug-releasing magnetic nanoparticles for cancer therapy guided by molecular imaging by MRI. Adv. Mater. 2011, 23, 2436–2442. [Google Scholar] [CrossRef] [PubMed]
- Hu, X.; Wu, T.; Bao, Y.; Zhang, Z. Nanotechnology based therapeutic modality to boost anti-tumor immunity and collapse tumor defense. J. Control. Release 2017, 256, 26–45. [Google Scholar] [CrossRef]
- Liu, H.; Liu, W.; Tan, Z.; Zeng, Z.; Yang, H.; Luo, S.; Wang, L.; Xi, T.; Xing, Y. Promoting Immune Efficacy of the Oral Helicobacter pylori Vaccine by HP55/PBCA Nanoparticles against the Gastrointestinal Environment. Mol. Pharm. 2018, 15, 3177–3186. [Google Scholar] [CrossRef]
- Bhavsar, C.; Momin, M.; Gharat, S.; Omri, A. Functionalized and graft copolymers of chitosan and its pharmaceutical applications. Expert Opin. Drug Deliv. 2017, 14, 1189–1204. [Google Scholar] [CrossRef]
- Gierszewska, M.; Ostrowska-Czubenko, J.; Chrzanowska, E. pH-responsive chitosan/alginate polyelectrolyte complex membranes reinforced by tripolyphosphate. Eur. Polym. J. 2018, 101, 282–290. [Google Scholar] [CrossRef]
- Stasińska-Jakubas, M.; Hawrylak-Nowak, B. Protective, Biostimulating, and Eliciting Effects of Chitosan and Its Derivatives on Crop Plants. Molecules 2022, 27, 2801. [Google Scholar] [CrossRef]
- Riseh, R.S.; Hassanisaadi, M.; Vatankhah, M.; Babaki, S.A.; Barka, E.A. Chitosan as a Potential Natural Compound to Manage Plant Diseases. Int. J. Biol. Macromol. 2022, 220, 998–1009. [Google Scholar] [CrossRef]
- García-Carrasco, M.; Valdez-Baro, O.; Cabanillas-Bojórquez, L.A.; Bernal-Millán, M.J.; Rivera-Salas, M.M.; Gutiérrez-Grijalva, E.P.; Heredia, J.B. Potential Agricultural Uses of Micro/Nano Encapsulated Chitosan: A Review. Macromol 2023, 3, 614–635. [Google Scholar] [CrossRef]
- Doares, S.H.; Syrovets, T.; Weiler, E.W.; Ryan, C.A. Oligogalacturonides and Chitosan Activate Plant Defensive Genes through the Octadecanoid Pathway. Proc. Natl. Acad. Sci. USA 1995, 92, 4095–4098. [Google Scholar] [CrossRef] [PubMed]
- Sun, W.; Shahrajabian, M.H.; Petropoulos, S.A.; Shahrajabian, N. Developing Sustainable Agriculture Systems in Medicinal and Aromatic Plant Production by Using Chitosan and Chitin-Based Biostimulants. Plants 2023, 12, 2469. [Google Scholar] [CrossRef] [PubMed]
- Jogaiah, S.; Satapute, P.; De Britto, S.; Konappa, N.; Udayashankar, A.C. Exogenous Priming of Chitosan Induces Upregulation of Phytohormones and Resistance against Cucumber Powdery Mildew Disease Is Correlated with Localized Biosynthesis of Defense Enzymes. Int. J. Biol. Macromol. 2020, 162, 1825–1838. [Google Scholar] [CrossRef]
- Hidangmayum, A.; Dwivedi, P. Effect of Chitosan Seed Priming on Mungbean Seedlings Subjected to Different Levels of Water Potential. Acta Physiol. Plant. 2023, 45, 6. [Google Scholar] [CrossRef]
- Liu, H.; Zheng, Z.; Han, X.; Zhang, C.; Li, H.; Wu, M. Chitosan Soaking Improves Seed Germination of Platycodon Grandiflorus and Enhances Its Growth, Photosynthesis, Resistance, Yield, and Quality. Horticulturae 2022, 8, 943. [Google Scholar] [CrossRef]
- Razavizadeh, R.; Adabavazeh, F.; Komatsu, S. Chitosan Effects on the Elevation of Essential Oils and Antioxidant Activity of Carum copticum L. Seedlings and Callus Cultures under in Vitro Salt Stress. J. Plant Biochem. Biotechnol. 2020, 29, 473–483. [Google Scholar] [CrossRef]
- Ghule, M.R.; Ramteke, P.K.; Ramteke, S.D.; Kodre, P.S.; Langote, A.; Gaikwad, A.V.; Holkar, S.K.; Jambhekar, H. Impact of Chitosan Seed Treatment of Fenugreek for Management of Root Rot Disease Caused by Fusarium Solani under In Vitro and In Vivo Conditions. 3 Biotech 2021, 11, 290. [Google Scholar] [CrossRef]
- Nedved, E.L.; Kalatskaja, J.N.; Ovchinnikov, I.A.; Rybinskaya, E.I.; Kraskouski, A.N.; Nikalaichuk, V.V.; Hileuskaya, K.S.; Kulikouskaya, V.I.; Agabekov, V.E.; Laman, N.A. Growth Parameters and Antioxidant Activity in Cucumber Seedlings with the Application of Chitosan and Hydroxycinnamic Acids Conjugates under Salt Stress. Appl. Biochem. Microbiol. 2022, 58, 69–76. [Google Scholar] [CrossRef]
- Xu, D.; Li, H.; Lin, L.; Liao, M.; Deng, Q.; Wang, J.; Lv, X.; Deng, H.; Liang, D.; Xia, H. Effects of Carboxymethyl Chitosan on the Growth and Nutrient Uptake in Prunus Davidiana Seedlings. Physiol. Mol. Biol. Plants 2020, 26, 661–668. [Google Scholar] [CrossRef]
- Hoang, N.H.; Le Thanh, T.; Sangpueak, R.; Treekoon, J.; Saengchan, C.; Thepbandit, W.; Papathoti, N.K.; Kamkaew, A.; Buensanteai, N. Chitosan Nanoparticles-Based Ionic Gelation Method: A Promising Candidate for Plant Disease Management. Polymers 2022, 14, 662. [Google Scholar] [CrossRef] [PubMed]
- Narasimhamurthy, K.; Udayashankar, A.C.; De Britto, S.; Lavanya, S.N.; Abdelrahman, M.; Soumya, K.; Shetty, H.S.; Srinivas, C.; Jogaiah, S. Chitosan and Chitosan-Derived Nanoparticles Modulate Enhanced Immune Response in Tomato against Bacterial Wilt Disease. Int. J. Biol. Macromol. 2022, 220, 223–237. [Google Scholar] [CrossRef] [PubMed]
- Mondéjar-López, M.; Rubio-Moraga, A.; López-Jimenez, A.J.; García Martínez, J.C.; Ahrazem, O.; Gómez-Gómez, L.; Niza, E. Chitosan Nanoparticles Loaded with Garlic Essential Oil: A New Alternative to Tebuconazole as Seed Dressing Agent. Carbohydr. Polym. 2022, 277, 118815. [Google Scholar] [CrossRef] [PubMed]
- Gowda, S.; Sriram, S. Green Synthesis of Chitosan Silver Nanocomposites and Their Antifungal Activity against Colletotrichum Truncatum Causing Anthracnose in Chillies. Plant Nano Biol. 2023, 5, 100041. [Google Scholar] [CrossRef]
- Sathiyabama, M.; Manikandan, A. Foliar Application of Chitosan Nanoparticle Improves Yield, Mineral Content and Boost Innate Immunity in Finger Millet Plants. Carbohydr. Polym. 2021, 258, 117691. [Google Scholar] [CrossRef]
- Chouhan, D.; Mandal, P. Applications of Chitosan and Chitosan Based Metallic Nanoparticles in Agrosciences-A Review. Int. J. Biol. Macromol. 2021, 166, 1554–1569. [Google Scholar] [CrossRef]
- El Amerany, F.; Meddich, A.; Wahbi, S.; Porzel, A.; Taourirte, M.; Rhazi, M.; Hause, B. Foliar Application of Chitosan Increases Tomato Growth and Influences Mycorrhization and Expression of Endochitinase-Encoding Genes. Int. J. Mol. Sci. 2020, 21, 535. [Google Scholar] [CrossRef]
- Hao, T.; Yang, Z.; Liang, J.; Yu, J.; Liu, J. Foliar Application of Carnosine and Chitosan Improving Drought Tolerance in Bermudagrass. Agronomy 2023, 13, 442. [Google Scholar] [CrossRef]
- Hawrylak-Nowak, B.; Dresler, S.; Rubinowska, K.; Matraszek-Gawron, R. Eliciting Effect of Foliar Application of Chitosan Lactate on the Phytochemical Properties of Ocimum basilicum L. and Melissa officinalis L. Food Chem. 2021, 342, 128358. [Google Scholar] [CrossRef] [PubMed]
- Sheikhalipour, M.; Esmaielpour, B.; Behnamian, M.; Gohari, G.; Giglou, M.T.; Vachova, P.; Rastogi, A.; Brestic, M.; Skalicky, M. Chitosan–Selenium Nanoparticle (Cs–Se NP) Foliar Spray Alleviates Salt Stress in Bitter Melon. Nanomaterials 2021, 11, 684. [Google Scholar] [CrossRef]
- Ji, H.; Wang, J.; Chen, F.; Fan, N.; Wang, X.; Xiao, Z.; Wang, Z. Meta-Analysis of Chitosan-Mediated Effects on Plant Defense against Oxidative Stress. Sci. Total Environ. 2022, 851, 158212. [Google Scholar] [CrossRef]
- Zhang, Z.; Jin, F.; Wu, Z.; Jin, J.; Li, F.; Wang, Y.; Wang, Z.; Tang, S.; Wu, C.; Wang, Y. O-acylation of chitosan nanofibers by short-chain and long-chain fatty acids. Carbohydr. Polym. 2017, 177, 203–209. [Google Scholar] [CrossRef] [PubMed]
- Wedmore, I.; McManus, J.G.; Pusateri, A.E.; Holcomb, J.B. A special report on the chitosan-based hemostatic dressing: Experience in current combat operations. J. Trauma Acute Care Surg. 2006, 60, 655–658. [Google Scholar] [CrossRef] [PubMed]
- Malmquist, J.P.; Clemens, S.C.; Oien, H.J.; Wilson, S.L. Hemostasis of oral surgery wounds with the HemCon Dental Dressing. J. Oral Maxillofac. Surg. 2008, 66, 1177–1183. [Google Scholar] [CrossRef] [PubMed]
















| Patent Area | Application | Final Form | References |
|---|---|---|---|
| Biomedical/Antimicrobial | As a teat sealant wherein CS hydrogels accelerate involution and prevent infection of mammary gland | Hydrogels | [33] |
| Biomedical/Antimicrobial | An adsorbent biodegradable wound dressing | Films | [34] |
| Biomedical/Antimicrobial | CS coating in metallic nanoparticles as an anti-biofilm agent on medically implantable articles | Nanoparticles/powder | [35] |
| Biomedical/Antimicrobial | For coating Listeria iuanuii, to enhance negative surface charge and thus immune response | CS oligosaccharide | [36] |
| Biomedical/Antimicrobial | Antimicrobial wound dressing material with quaternized CS | Quaternized CS sponges | [37] |
| Biomedical/Antimicrobial | Formulation of CS with metallic nanoparticles for treating skin lesions/infections | Gel matrix | [38] |
| Biomedical/Drug delivery | CS hydrogel used for targeted drug delivery | Hydrogels | [39] |
| Biomedical/Drug delivery | Low-toxicity and high-affinity CS derivative for drug delivery | Quaternized, acylated CS derivative | [40] |
| Biomedical/Drug delivery | Delivery of IL17RC protein that function by improving nasal adsorption | Nanoparticles | [41] |
| Biomedical/Drug delivery | CS–nucleic acid polyplexes for delivery of nucleic acid encoding IL-2 | Nanoparticles | [42] |
| Biomedical/Drug delivery | Treatment of transected peripheral nerve injuries | CS hydrogel | [43] |
| Agricultural | Gel microspheres of CS with manganese and prothioconazole for use against pests | Gel microspheres | [44] |
| Agricultural | Antifungal activity in plants | CS derivative | [45] |
| Agricultural | Pesticides that comprise CS and berberine | Powder, suspension | [46] |
| Agricultural | Liquid fertilizer with CS oligosaccharides and amino acids | Liquid | [47] |
| CS Derivative/Nanomaterials | Preparation | Interference | References |
|---|---|---|---|
| Hesperidin-loaded CS nanoparticle | Emulsification and evaporation methods |
| [205] |
| CS biguanidine nanoparticle | One pot, green, ionic gelation method |
| [206] |
| Rifampicin-loaded octanoyl CS nanoparticle | Double emulsion solvent evaporation technique |
| [207] |
| Carvacrol-loaded bovine serum albumin (BSA) CS nanoparticle | Ionic gelation method |
| [208] |
| Doripenem-loaded CS micro-particles | Ionic gelation, spray-drying method |
| [209] |
| Chlorhexidine-infused CS | One-pot method |
| [210] |
| Ciprofloxacin-loaded CS/poly (2-ethyl-2-oxazoline) | Solvent evaporation method |
| [211] |
| CS nanoparticle loaded with dolutegravir | Spray-drying method |
| [212] |
| CS nanoparticle loaded with phage endolysin Cpl-1 | Ionic gelation method |
| [213] |
| Magnetic CS loaded with amphotericin B | Chemical coprecipitation method followed by surface coating |
| [214] |
| CS-wrapped carbon nano tubes | Cross-linking method of CS and CNTs |
| [215] |
| CS/lecithin nanoparticles loaded with antibiotics | Central rotatable composite design method |
| [216] |
| CS–hyaluronic acid-based nanoparticle containing ceftazidime | Ionic gelation method |
| [217] |
| CS nanoparticle containing LL-37 | Ionotropic gelation method |
| [218] |
| Inactivated PR8 influenza virus-loaded CS alginate and trimethyl CS nanoparticles | Ionic gelation method |
| [219] |
| Inactivated Dengue virus (DENV)-loaded trimethyl CS nanoparticle | Ionotropic gelation method |
| [220] |
| CS-based nanoparticle vaccine loaded with Salmonella Enteritidis outer membrane proteins and flagellin proteins | Ionic gelation method |
| [221] |
| E. coli Nissle 1917 microencapsulated CS–alginate | Ionic gelation method |
| [222] |
| Mast cell activator C48/80 with CS nanoparticle | Mixing of C48/80 compound with CS, lyophilization |
| [223] |
| Newcastle disease virus (NDV/La Sota) and infectious bronchitis virus (IBV/H120)-loaded quaternized CS (-2-hydroxypropyl trimethyl ammonium chloride CS (N-2-HACC) and N, O-carboxymethyl CS) nanoparticles | Polyelectrolyte composite method |
| [224] |
| CS nanoparticles encapsulating influenza H9N2 HA2 and M2e mRNA molecules | Anionic gelation method |
| [225] |
| Form | Drug Carrier System | Drug or Enzymes | Preparation | Interference | References |
|---|---|---|---|---|---|
| Nanoparticle | Anti-hMAM and anti-HER2 PEGylated CS nanoparticle | Doxorubicin (DOX) | Mixing the DOX in the PEG-CS solution, cross-linking with TPP. |
| [226] |
| Hyaluronic acid-coated thiolated CS nano particle | Vincristine | Ionic gelation process |
| [227] | |
| Human serum albumin (HSA)-coated trimethyl CS | IR780 (I) or bufalin (B) | Ionic gelation process and electrostatic absorption |
| [228] | |
| O-carboxymethyl CS nanoparticle | Glipizide | Ionotropic gelation method |
| [229] | |
| CS nanoparticle | Sitagliptin | Ionic gelation method |
| [230] | |
| Film | CS-based film | Brimonidine tartrate (BT) | Dissolution method |
| [231] |
| Patches | CS, thiolated CS patches with flaxseed oil and coriander oil | Tizanidine | The solvent casting method |
| [232] |
| Hydrogel | Carboxymethyl CS–silk fibroin peptide/oxidized pullulan (CMCS-SFP/OPL) hydrogel-based microneedle | Salvia miltiorrhiza | Polydimethylsiloxane (PDMS) mold |
| [233] |
| Micelles | CS thiourea with gold nanorods | Paclitaxel | Ring opening polymerization, dialysis, gold-thiolate complex formation |
| [234] |
| O-CMCTS-VES micelles nanoparticles | Doxorubicin | Dehydrative condensation of the carboxyl group of the carboxymethyl CS and the amino group of the vitamin E succinate, self-assembled nano-micelles |
| [235] | |
| Liposome | Trimethylated CS-coated flexible liposomes | Resveratrol | Solvent injection method, electrostatic adsorption |
| [236] |
| Aptamer-functionalized liposomal coated with calcium alginate/CS/PEC | 5- Fluorouracil (AFL5-FU) | Optimized thin film method, freeze–thaw process |
| [237] | |
| CS oligosaccharide (CO) nanoparticle based on liposomes | Photosensitizer HPPH and the hypoxia-activated prodrug TH302 (CO-HPPH- TH302/Lipo) | O/W emulsification method, mixing the lipids, drugs, and CO-OA |
| [238] |
Disclaimer/Publisher’s Note: The statements, opinions and data contained in all publications are solely those of the individual author(s) and contributor(s) and not of MDPI and/or the editor(s). MDPI and/or the editor(s) disclaim responsibility for any injury to people or property resulting from any ideas, methods, instructions or products referred to in the content. |
© 2023 by the authors. Licensee MDPI, Basel, Switzerland. This article is an open access article distributed under the terms and conditions of the Creative Commons Attribution (CC BY) license (https://creativecommons.org/licenses/by/4.0/).
Share and Cite
Shrestha, R.; Thenissery, A.; Khupse, R.; Rajashekara, G. Strategies for the Preparation of Chitosan Derivatives for Antimicrobial, Drug Delivery, and Agricultural Applications: A Review. Molecules 2023, 28, 7659. https://doi.org/10.3390/molecules28227659
Shrestha R, Thenissery A, Khupse R, Rajashekara G. Strategies for the Preparation of Chitosan Derivatives for Antimicrobial, Drug Delivery, and Agricultural Applications: A Review. Molecules. 2023; 28(22):7659. https://doi.org/10.3390/molecules28227659
Chicago/Turabian StyleShrestha, Rajeev, Anusree Thenissery, Rahul Khupse, and Gireesh Rajashekara. 2023. "Strategies for the Preparation of Chitosan Derivatives for Antimicrobial, Drug Delivery, and Agricultural Applications: A Review" Molecules 28, no. 22: 7659. https://doi.org/10.3390/molecules28227659
APA StyleShrestha, R., Thenissery, A., Khupse, R., & Rajashekara, G. (2023). Strategies for the Preparation of Chitosan Derivatives for Antimicrobial, Drug Delivery, and Agricultural Applications: A Review. Molecules, 28(22), 7659. https://doi.org/10.3390/molecules28227659

