Synthesis of Imidazolium Cations Linked to Para-t-Butylcalix[4]arene Frameworks and Their Use as Synthons for Nickel-NHC Complexes Tethered to Calix[4]arenes
Abstract
1. Introduction
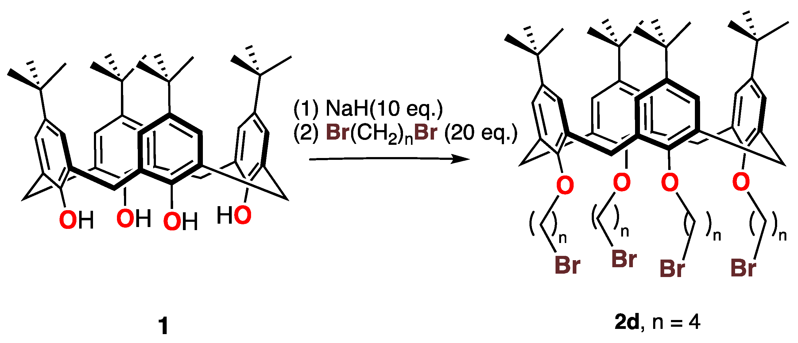
2. Results and Discussion
3. Synthesis of Nickel NHC Complexes
4. Conclusions
5. Procedures
5.1. Synthesis of 7a
5.2. Synthesis of Complex 8
Supplementary Materials
Author Contributions
Funding
Institutional Review Board Statement
Informed Consent Statement
Data Availability Statement
Acknowledgments
Conflicts of Interest
References
- Gutsch, C.D. (Ed.) Calixarenes: An Introduction, 2nd ed.; Royal Society of Chemistry Publishing: London, UK, 2008; 276p. [Google Scholar]
- Mandolini, L.; Ungaro, R. (Eds.) Calixarenes in Action; Imperial College Press: London, UK, 2000; 271p. [Google Scholar]
- Casnati, A. Calixarenes and cations: A time-lapse photography of the big-bang. Chem. Commun. 2013, 49, 6827. [Google Scholar] [CrossRef] [PubMed]
- Morohashi, N.; Iijima, S.; Akasaka, K.; Hattori, T. Selective extraction of Pd(II) by p-tert-butylcalix[4]arenedicarboxylic acid. N. J. Chem. 2017, 41, 2231. [Google Scholar] [CrossRef]
- He, Q.; Zhang, Z.; Brewster, J.T.; Lynch, V.M.; Kim, S.K.; Sessler, J.L. Hemispherand-Strapped Calix[4]pyrrole: An Ion-pair Receptor for the Recognition and Extraction of Lithium Nitrite. J. Am. Chem. Soc. 2016, 138, 9779–9782. [Google Scholar] [CrossRef] [PubMed]
- Yeon, Y.; Leem, S.; Wagen, C.; Lynch, V.M.; Kim, S.K.; Sessler, J.L. 3-(Dicyanomethylidene)indan-1-one-Functionalized Calix[4]arene-Calix[4]pyrrole Hybrid: An Ion-Pair Sensor for Cesium Salts. Org. Lett. 2016, 18, 4396. [Google Scholar] [CrossRef] [PubMed]
- Costa, A.I.; Barata, P.D.; Fialho, C.B.; Prata, J.V. Highly sensitive and selective fluorescent probes for Cu (II) detection based on calix[4]arene-oxacyclophane architectures. Molecules 2020, 25, 2456. [Google Scholar] [CrossRef]
- Canard, G.; Edzang, J.A.; Chen, Z.; Chesse, M.; Elhabiri, M.; Giorgi, M.; Siri, O. 1,3-Alternate Tetraamido-Azacalix[4]arenes as Selective Anion Receptors. Chem. Eur. J. 2016, 22, 5756. [Google Scholar] [CrossRef] [PubMed]
- Marcos, P.M.; Teixeira, F.A.; Segurado, M.A.P.; Ascenso, J.R.; Bernardino, R.J.; Michel, S.; Hubscher-Bruder, V.J. Bidentate Urea Derivatives of p-tert-Butyldihomooxacalix[4]arene: Neutral Receptors for Anion Complexation. Org. Chem. 2014, 79, 742. [Google Scholar] [CrossRef] [PubMed]
- Oh, J.H.; Hay, B.P.; Lynch, V.M.; Li, H.; Sessler, J.L.; Kim, S.K. Calix[4]pyrrole-Based Molecular Capsule: Dihydrogen Phosphate-Promoted 1:2 Fluoride Anion Complexation. J. Am. Chem. Soc. 2022, 144, 16996. [Google Scholar] [CrossRef] [PubMed]
- Xiong, S.; Nanda Kishore, M.V.; Zhou, W.; He, Q. Recent advances in selective recognition of fluoride with macrocyclic receptors. Coord. Chem. Rev. 2022, 461, 214480. [Google Scholar] [CrossRef]
- Duncan, N.C.; Roach, B.D.; Williams, N.J.; Bonnesen, P.V.; Rajbanshi, A.; Moyer, B.A. N, N’-Dicyclohexyl-N’’-Isotridecylguanidine as Suppressor for the Next Generation Caustic Side Solvent Extraction (NG-CSSX) Process. Sep. Sci. Technol. 2012, 47, 2074. [Google Scholar]
- Casnati, A.; Della, C.N.; Fontanella, M.; Sansone, F.; Ugozzoli, F.; Ungaro, R.; Liger, K.; Dozol, J.-F. Calixarene-based picolinamide extractants for selective An/Ln separation from radioactive waste. Eur. J. Org. Chem. 2005, 11, 2338. [Google Scholar] [CrossRef]
- Jeunesse, C.; Armspach, D.; Matt, D. Playing with podands based on cone-shaped cavities. How can a cavity influence the properties of an appended metal center? Chem. Commun. 2005, 45, 5603–5614. [Google Scholar] [CrossRef] [PubMed]
- Peramo, A.; Abdellah, I.; Pecnard, S.; Mougin, J.; Martini, C.; Couvreur, P.; Huc, V.; Desmaeele, D. A Self-Assembling NHC-Pd-Loaded Calixarene as a Potent Catalyst for the Suzuki-Miyaura Cross-Coupling Reaction in Water. Molecules 2020, 25, 1459. [Google Scholar] [CrossRef]
- Zhang, X.; Tong, S.; Zhu, J.; Wang, M.-X. Inherently chiral calixarenes by a catalytic enantioselective desymmetrizing crossdehydrogenative coupling. Chem. Sci. 2023, 14, 827. [Google Scholar] [CrossRef] [PubMed]
- Notestein, J.M.; Iglesia, E.; Katz, A.J. Grafted Metallocalixarenes as Single-Site Surface Organometallic Catalysts. Am. Chem. Soc. 2004, 126, 6478. [Google Scholar] [CrossRef]
- Gramage-Doria, R.; Armspach, D.; Matt, D. Metalated cavitands (calixarenes, resorcinarenes, cyclodextrins) with internal coordination sites. Coord. Chem. Rev. 2013, 257, 776. [Google Scholar] [CrossRef]
- Gutsche, C.D.; Iqbal, M. p-tert-butylcalix[4]arene. Org. Synth. 1990, 68, 234. [Google Scholar]
- Gutsche, C.D.; Muthukrishnan, R. Calixarenes. 1. Analysis of the product mixtures produced by the base-catalyzed condensation of formaldehyde with para-substituted phenols. J. Org. Chem. 1978, 43, 4905. [Google Scholar] [CrossRef]
- Wang, S.; Wang, X. Imidazolium Ionic Liquids, Imidazolylidene Heterocyclic Carbenes, and Zeolitic Imidazolate Frameworks for CO2 Capture and Photochemical Reduction. Angew. Chem. Int. Ed. 2016, 55, 2308. [Google Scholar] [CrossRef]
- Stassen, H.K.; Ludwig, R.; Wulf, A. Dupont, Imidazolium Salt Ion Pairs in Solution. J. Chem. Eur. J. 2015, 21, 8324. [Google Scholar] [CrossRef]
- Ritleng, V.; Barth, C.; Brenner, E.; Milosevic, S.; Chetcuti, M.J. Synthesis, structure, and solution dynamics of pentamethylcyclopentadienyl nickel complexes bearing N-heterocyclic carbene ligands. Organometallics 2008, 27, 4223. [Google Scholar] [CrossRef]
- Abernethy, C.D.; Cowley, A.H.; Jones, R.A.J. Reaction of nickelocene with 1,3-dimesitylimidazolium chloride. Organomet. Chem. 2000, 596, 3. [Google Scholar] [CrossRef]
- Kelly, R.A.; Scott, N.M.; Díez-González, S.; Stevens, E.D.; Nolan, S.P. Simple Synthesis of CpNi(NHC)Cl Complexes (Cp = Cyclopentadienyl; NHC = N-Heterocyclic Carbene). Organometallics 2005, 24, 3442. [Google Scholar] [CrossRef]
- Huynh, H.V. (Ed.) The Organometallic Chemistry of N-Heterocyclic Carbenes; Wiley: Hoboken, NJ, USA; West Sussex, UK, 2017. [Google Scholar]
- Nolan, S.; Cazin, C. Science of Synthesis: N-Heterocyclic Carbenes in Catalytic Organic Synthesis 1; Georg Thieme Verlag: Stuttgart, NY, USA, 2017. [Google Scholar]
- Chetcuti, M.J.; Devoille, A.M.J.; Ben Othman, A.; Souane, R.; Thiéury, P.; Vicens, J. Synthesis of mono-, di- and tetra-alkyne functionalized calix[4]arenes: Reactions of these multipodal ligands with dicobalt octacarbonyl to give complexes which contain up to eight cobalt atoms. Dalton Trans. 2009, 16, 2999. [Google Scholar] [CrossRef] [PubMed]
- Aloui, L.; Elhabiri, M.; Platas-Iglesias, C.; Esteban-Gomez, D.; Abidi, R.; Chetcuti, M.J. Synthesis and Characterization of Positively Charged tris-Imidazolium Calix[6]arene Hosts for Anion Recognition. ChemistrySelect 2019, 4, 321. [Google Scholar] [CrossRef]
- Aloui, L.; Abidi, R.; Chetcuti, M.J. We recently reported the syntheses and catalytic properties of calix[6]arenes tethered via N-heterocyclic carbene ligands, to (cyclopentadienyl)nickel complexes. Syntheses and characterization of nickel-N-heterocyclic carbenes linked to a calix[6]arene platform and their applications in Suzuki-Miyaura cross-coupling catalysis. Chim. Acta. 2020, 505, 119494. [Google Scholar]
- Ritleng, V.; Henrion, M.; Chetcuti, M.J. Nickel N-Heterocyclic Carbene-Catalyzed C-Heteroatom Bond Formation, Reduction, and Oxidation: Reactions and Mechanistic Aspects. ACS Catal. 2016, 6, 890. [Google Scholar] [CrossRef]
- Henrion, M.; Ritleng, V.; Chetcuti, M.J. Nickel N-Heterocyclic Carbene-Catalyzed C-C Bond Formation: Reactions and Mechanistic Aspects. ACS Catal. 2015, 5, 1283. [Google Scholar] [CrossRef]
- Rocquin, M.; Ritleng, V.; Barroso, S.; Martins, A.M.; Chetcuti, M.J. Synthesis of inexpensive chiral half-sandwich nickel N-heterocyclic carbene complexes: X-ray diffraction study of the D-menthyl-functionalized complex [Ni(iPr2Ph-NHC-CH2OMent)ClCp]. J. Organomet. Chem. 2016, 808, 57. [Google Scholar] [CrossRef]
- Henrion, M.; Chetcuti, M.J.; Ritleng, V. From acetone metalation to the catalytic α-arylation of acyclic ketones with NHC-nickel(II) complexes. Chem. Commun. 2014, 50, 4624. [Google Scholar] [CrossRef] [PubMed]
- Shahane, S.d.P.; Cardoso, B.; Chetcuti, M.J.; Ritleng, V. Benzothiazole nickelation: An obstacle to the catalytic arylation of azoles by cyclopentadienyl nickel N-heterocyclic carbene complexes. Catalysts 2019, 9, 76. [Google Scholar] [CrossRef]
- Ulm, F.; Poblador-Bahamonde, A.I.; Choppin, S.; Bellemin-Laponnaz, S.; Chetcuti, M.J.; Achard, T.; Ritleng, V. Synthesis, characterization, and catalytic application in aldehyde hydrosilylation of half-sandwich nickel complexes bearing (κ1-C)- and hemilabile (κ2-C,S)-thioether-functionalized NHC ligands. Dalton Trans. 2018, 47, 17134–17145. [Google Scholar] [CrossRef]
- Cardoso, B.d.P.; Bernard-Schaaf, J.-M.; Shahane, S.; Veiros, L.F.; Chetcuti, M.J.; Ritleng, V. Displacement of η5-cyclopentadienyl ligands from half-sandwich C,C-(NHC-cyanoalkyl)-nickel(II) metallacycles: Further insight into the structure of the resulting Cp-free nickelacycles and a catalytic activity study. Dalton Trans. 2018, 47, 1535. [Google Scholar] [CrossRef] [PubMed]
- Ulm, F.; Djukic, J.-P.; Chetcuti, M.J.; Ritleng, V. Hydroboration of Alkenes Catalysed by a Nickel N-Heterocyclic Carbene Complex: Reaction and Mechanistic Aspects. Chem. Eur. J. 2020, 26, 8916. [Google Scholar] [CrossRef] [PubMed]
- Ulm, F.; Shahane, S.; Truong-Phuoc, L.; Romero, T.; Papaefthimiou, V.; Chessé, M.; Chetcuti, M.J.; Pham-Huu, C.; Michon, C.; Ritleng, V. Half-Sandwich Nickel(II) NHC-Picolyl Complexes as Catalysts for the Hydrosilylation of Carbonyl Compounds: Evidence for NHC-Nickel Nanoparticles under Harsh Reaction Conditions. Eur. J. Inorg. Chem. 2021, 2021, 3074. [Google Scholar] [CrossRef]
- Bullough, E.K.; Kilner, C.A.; Little, M.A.; Willans, C.E. Tetrakis(methylimidazole) and tetrakis(methylimidazolium) calix[4]arenes: Competitive anion binding and deprotonation. Org. Biomolec. Chem. 2012, 10, 2824. [Google Scholar] [CrossRef] [PubMed]
- Botha, F.; Budka, J.; Eigner, V.; Hudeček, O.; Vrzal, L.; Císařová, I.; Lhoták, P. Recognition of chiral anions using calix[4]arene-based ureido receptor in the 1,3-alternate conformation. Tetrahedron 2014, 70, 477. [Google Scholar] [CrossRef]
- Tabakci, M.; Tabakci, B.; Beduk, A.D. Synthesis and application of an efficient calix[4]arene-based anion receptor bearing imidazole groups for Cr(VI) anionic species. Tetrahedron 2012, 68, 4182. [Google Scholar] [CrossRef]
- Sabater, P.; Zapata, F.; Caballero, A.; De La Visitación, N.; Alkorta, I.; Elguero, J.; Molina, P.J. Comparative Study of Charge-Assisted Hydrogen- and Halogen-Bonding Capabilities in Solution of Two-Armed Imidazolium Receptors toward Oxoanions. Org. Chem. 2016, 81, 7448. [Google Scholar] [CrossRef] [PubMed]
- Naghmouchi, H.; Chetcuti, M.J. Unpublished Results; University of Strasbourg: Strasbourg, France, 2016. [Google Scholar]
- Natarajan, N.; Chavagnan, T.; Semeril, D.; Brenner, E.; Matt, D.; Ramesh, R.; Toupet, L. Cavitand Chemistry: Nickel Half-Sandwich Complexes with Imidazolylidene Ligands Bearing One or Two Resorcinarenyl Substituents. Eur. J. Inorg. Chem. 2018, 7, 890. [Google Scholar] [CrossRef]
- Monnereau, L.; Semeril, D.; Matt, D.; Gourlaouen, C. Catalytic Behaviour of Calixarenylphosphanes in Nickel-Catalysed Suzuki-Miyaura Cross-Coupling. Eur. J. Inorg. Chem. 2017, 3, 581. [Google Scholar] [CrossRef]
- Sahin, N.; Semeril, D.; Brenner, E.; Matt, D.; Oezdemir, I.; Kaya, C.; Toupet, L. Catalytic Behaviour of Calixarenylphosphanes in Nickel-Catalysed Suzuki-Miyaura Cross-Coupling. Eur. J. Org. Chem. 2013, 20, 4443. [Google Scholar]
- Crabtree, R.H. The Organometallic Chemistry of the Transition Metals, 6th ed.; Wiley Interscience: Hoboken, NJ, USA, 2014; p. 147. [Google Scholar]
- Henrion, M.; Oertel, A.M.; Ritleng, V.; Chetcuti, M.J. Facile displacement of η5-cyclopentadienyl ligands from half-sandwich alkyl,NHC-nickel complexes: An original route to robust cis-C,C-nickel square planar complexes. Chem. Commun. 2013, 49, 6424. [Google Scholar] [CrossRef]
- McGuinness, D.S.; Cavell, K.J.; Skelton, B.W.; White, A.H. Zerovalent Palladium and Nickel Complexes of Heterocyclic Carbenes: Oxidative Addition of Organic Halides, Carbon-Carbon Coupling Processes, and the Heck Reaction. Organometallics 1999, 18, 1596. [Google Scholar] [CrossRef]
- Huynh, H.V.; Holtgrewe, C.; Pape, T.; Koh, L.L.; Hahn, E. Synthesis and Structural Characterization of the First Bis(benzimidazolin-2-ylidene) Complexes of Nickel(II). Organometallics 2006, 25, 245. [Google Scholar] [CrossRef]
- Matsubara, K.; Ueno, K.; Shibata, Y. Synthesis and Structures of Nickel Halide Complexes Bearing Mono- and Bis-coordinated N-Heterocyclic Carbene Ligands, Catalyzing Grignard Cross-Coupling Reactions. Organometallics 2006, 25, 3422. [Google Scholar] [CrossRef]
- Liu, Z.-H.; Xu, Y.-C.; Xie, L.-Z.; Sun, H.-M.; Shen, Q.; Zhang, Y. Controlled synthesis of nickel(ii) dihalides bearing two different or identical N-heterocyclic carbene ligands and the influence of carbene ligands on their structures and catalysis. Dalton Trans. 2011, 40, 4697. [Google Scholar] [CrossRef]
- Milosevic, S.; Brenner, E.; Ritleng, V.; Chetcuti, M.J. Unsaturated dinickel-molybdenum clusters with N-heterocyclic carbene ligands. Dalton Trans. 2008, 15, 1973. [Google Scholar] [CrossRef] [PubMed]
- Astakhov, A.V.; Khazipov, O.V.; Degtyareva, E.S.; Khrustalev, V.N.; Chernyshev, V.M.; Ananikov, V.P. Facile Hydrolysis of Nickel(II) Complexes with N-Heterocyclic Carbene Ligands. Organometallics 2015, 34, 5759. [Google Scholar] [CrossRef]
- Sheldrick, G.M. Crystal structure refinement with SHELXL. Acta Cryst. 2015, C71, 3. [Google Scholar]








Disclaimer/Publisher’s Note: The statements, opinions and data contained in all publications are solely those of the individual author(s) and contributor(s) and not of MDPI and/or the editor(s). MDPI and/or the editor(s) disclaim responsibility for any injury to people or property resulting from any ideas, methods, instructions or products referred to in the content. |
© 2023 by the authors. Licensee MDPI, Basel, Switzerland. This article is an open access article distributed under the terms and conditions of the Creative Commons Attribution (CC BY) license (https://creativecommons.org/licenses/by/4.0/).
Share and Cite
Chetcuti, M.J.; Naghmouchi, H.; Hamdi, A.; Karmazin, L. Synthesis of Imidazolium Cations Linked to Para-t-Butylcalix[4]arene Frameworks and Their Use as Synthons for Nickel-NHC Complexes Tethered to Calix[4]arenes. Molecules 2023, 28, 5697. https://doi.org/10.3390/molecules28155697
Chetcuti MJ, Naghmouchi H, Hamdi A, Karmazin L. Synthesis of Imidazolium Cations Linked to Para-t-Butylcalix[4]arene Frameworks and Their Use as Synthons for Nickel-NHC Complexes Tethered to Calix[4]arenes. Molecules. 2023; 28(15):5697. https://doi.org/10.3390/molecules28155697
Chicago/Turabian StyleChetcuti, Michael J., Haithem Naghmouchi, Abdelwaheb Hamdi, and Lydia Karmazin. 2023. "Synthesis of Imidazolium Cations Linked to Para-t-Butylcalix[4]arene Frameworks and Their Use as Synthons for Nickel-NHC Complexes Tethered to Calix[4]arenes" Molecules 28, no. 15: 5697. https://doi.org/10.3390/molecules28155697
APA StyleChetcuti, M. J., Naghmouchi, H., Hamdi, A., & Karmazin, L. (2023). Synthesis of Imidazolium Cations Linked to Para-t-Butylcalix[4]arene Frameworks and Their Use as Synthons for Nickel-NHC Complexes Tethered to Calix[4]arenes. Molecules, 28(15), 5697. https://doi.org/10.3390/molecules28155697

