Micronized Powder of Raspberry Pomace as a Source of Bioactive Compounds
Abstract
1. Introduction
2. Results
2.1. Particle Size and Color Results of Micronized Byproduct Raspberry Powders
2.2. FTIR Results of Micronized Byproduct Raspberry Powders
2.3. Identification of Sugars in Micronized Byproduct Raspberry Powders
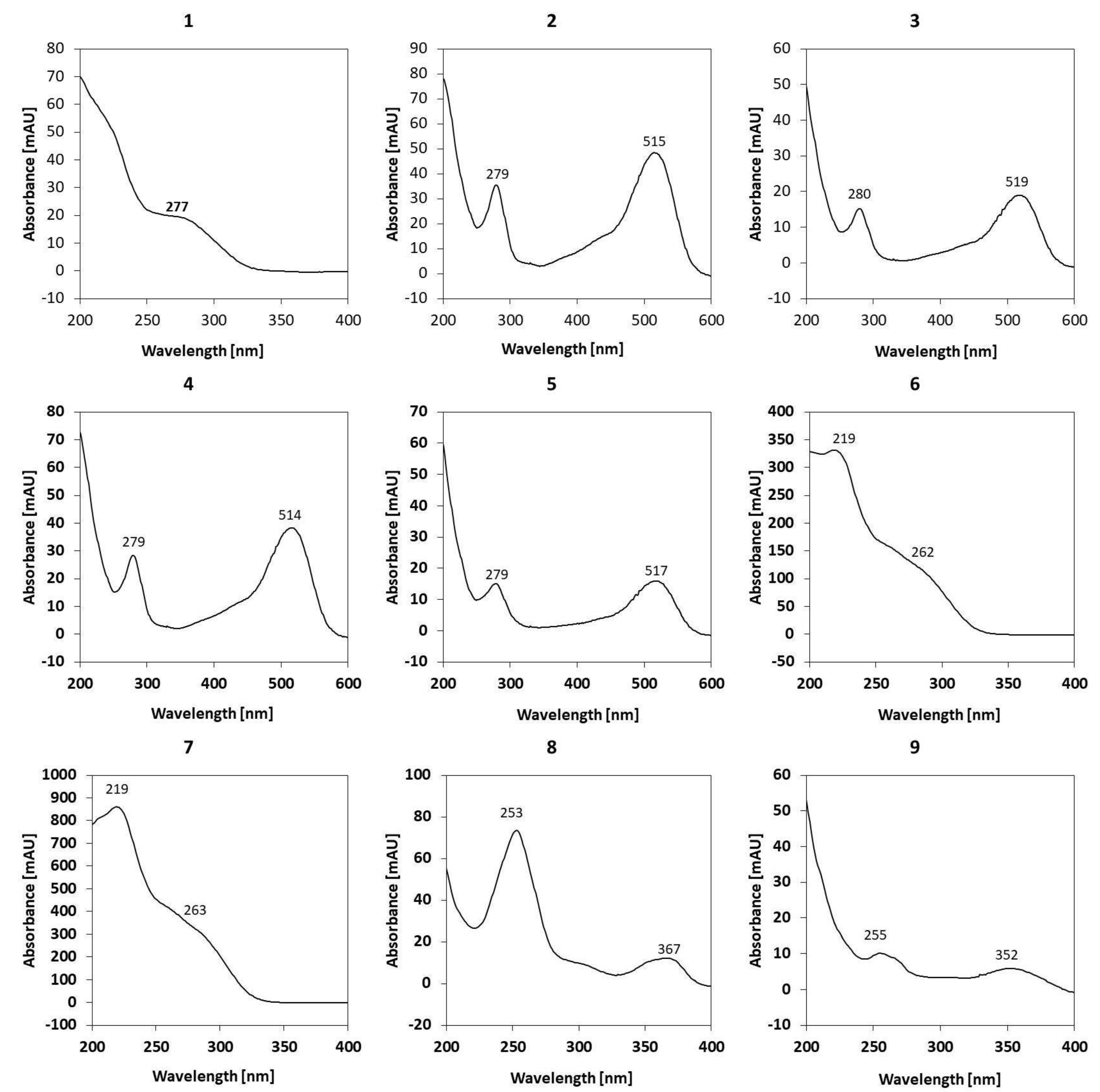
2.4. Identification of Phenolic Compounds in Micronized Byproduct Raspberry Powders
2.5. Antioxidant Potential of Micronized Byproduct Raspberry Powders
3. Materials and Methods
3.1. Materials
3.2. Micronization of Raspberry Byproduct Powders
3.3. Particle Size Analysis
3.4. Color Measurements
3.5. Infrared Spectra Measurements
3.6. Sugar Identification
3.7. Phenolic Compounds Extraction
3.8. HPLC-DAD Analysis of Phenolic Compounds
3.9. Identification of Phenolic Compounds
3.10. Antiradical Activity Evaluation
3.11. Photochemiluminescence Assay
3.12. Statistical Analysis
4. Conclusions
Author Contributions
Funding
Institutional Review Board Statement
Informed Consent Statement
Data Availability Statement
Conflicts of Interest
Sample Availability
References
- Wu, Q.; Naeem, A.; Zou, J.; Yu, C.; Wang, Y.; Chen, J.; Ping, Y. Isolation of Phenolic Compounds from Raspberry Based on Molecular Imprinting Techniques and Investigation of Their Anti-Alzheimer’s Disease Properties. Molecules 2022, 27, 6893. [Google Scholar] [CrossRef] [PubMed]
- Yang, Y.; Yin, X.; Zhang, D.; Zhang, B.; Lu, J.; Wang, X. Structural Characteristics, Antioxidant, and Immunostimulatory Activities of an Acidic Polysaccharide from Raspberry Pulp. Molecules 2022, 27, 4385. [Google Scholar] [CrossRef] [PubMed]
- Rao, A.V.; Snyder, D.M. Raspberries and human health: A review. J. Agric. Food Chem. 2010, 58, 3871–3883. [Google Scholar] [CrossRef] [PubMed]
- Noratto, G.; Chew, B.P.; Ivanov, I. Red raspberry decreases heart biomarkers of cardiac remodeling associated with oxidative and inflammatory stress in obese diabetic db/db mice. Food Funct. 2016, 7, 4944–4955. [Google Scholar] [CrossRef] [PubMed]
- Burton-Freeman, B.M.; Sandhu, A.K.; Edirisinghe, I. Red raspberries and their bioactive polyphenols: Cardiometabolic and neuronal health links. Adv. Nutr. 2016, 7, 44–65. [Google Scholar] [CrossRef]
- Beekwilder, J.; Jonker, H.; Meesters, P.; Hall, R.D.; Van Der Meer, I.M.; De Vos, C.H.R. Antioxidants in raspberry: On-line analysis links antioxidant activity to a diversity of individual metabolites. J. Agric. Food Chem. 2005, 53, 3313–3320. [Google Scholar] [CrossRef]
- Frías-Moreno, M.N.; Parra-Quezada, R.A.; González-Aguilar, G.; Ruíz-Canizales, J.; Molina-Corral, F.J.; Sepulveda, D.R.; Salas-Salazar, N.; Olivas, G.I. Quality, bioactive compounds, antioxidant capacity, and enzymes of raspberries at different maturity stages, effects of organic vs. Conventional fertilization. Foods 2021, 10, 953. [Google Scholar] [CrossRef]
- Shoukat, S.; Mahmudiono, T.; Al-Shawi, S.G.; Abdelbasset, W.K.; Yasin, G.; Shichiyakh, R.A.; Iswanto, A.H.; Kadhim, A.J.; Kadhim, M.M.; Al–Rekaby, H.Q. Determination of the antioxidant and mineral contents of raspberry varieties. Food Sci. Technol. 2022, 42, e118521. [Google Scholar] [CrossRef]
- Sariburun, E.; Şahin, S.; Demir, C.; Türkben, C.; Uylaşer, V. Phenolic content and antioxidant activity of raspberry and blackberry cultivars. J. Food Sci. 2010, 75, 328–335. [Google Scholar] [CrossRef]
- Schell, J.; Betts, N.M.; Lyons, T.J.; Basu, A. Raspberries improve postprandial glucose and acute and chronic inflammation in adults with type 2 diabetes. Ann. Nutr. Metab. 2019, 74, 165–174. [Google Scholar] [CrossRef]
- Franck, M.; de Toro-Martín, J.; Garneau, V.; Guay, V.; Kearney, M.; Pilon, G.; Roy, D.; Couture, P.; Couillard, C.; Marette, A.; et al. Effects of daily raspberry consumption on immune-metabolic health in subjects at risk of metabolic syndrome: A randomized controlled trial. Nutrients 2020, 12, 3858. [Google Scholar] [CrossRef] [PubMed]
- Galli, R.L.; Carey, A.N.; Luskin, K.A.; Bielinski, D.F.; Shukitt-Hale, B. Red raspberries can improve motor function in aged rats. J. Berry Res. 2016, 6, 97–103. [Google Scholar] [CrossRef]
- Lee, J. Rosaceae products: Anthocyanin quality and comparisons between dietary supplements and foods. NFS J. 2016, 4, 1–8. [Google Scholar] [CrossRef]
- Bredsdorff, L.; Wedebye, E.B.; Nikolov, N.G.; Hallas-Møller, T.; Pilegaard, K. Raspberry ketone in food supplements—High intake, few toxicity data—A cause for safety concern? Regul. Toxicol. Pharmacol. 2015, 73, 196–200. [Google Scholar] [CrossRef]
- Abdelaal, S.H.; El Azab, N.F.; Hassan, S.A.; El-Kosasy, A.M. Quality control of dietary supplements: An economic green spectrofluorimetric assay of Raspberry ketone and its application to weight variation testing. Spectrochim. Acta Part A Mol. Biomol. Spectrosc. 2021, 261, 120032. [Google Scholar] [CrossRef]
- Piechowiak, T.; Grzelak-Błaszczyk, K.; Sójka, M.; Balawejder, M. Changes in phenolic compounds profile and glutathione status in raspberry fruit during storage in ozone-enriched atmosphere. Postharvest Biol. Technol. 2020, 168, e111277. [Google Scholar] [CrossRef]
- Żyżelewicz, D.; Oracz, J.; Bilicka, M.; Kulbat-Warycha, K.; Klewicka, E. Influence of Freeze-Dried Phenolic-Rich Plant Powders on the Bioactive Compounds Profile, Antioxidant Activity and Aroma of Different Types of Chocolates. Molecules 2021, 26, 7058. [Google Scholar] [CrossRef]
- Bélafi-Bakó, K.; Cserjési, P.; Beszédes, S.; Csanádi, Z.; Hodúr, C. Berry Pectins: Microwave-Assisted Extraction and Rheological Properties. Food Bioprocess Technol. 2012, 5, 1100–1105. [Google Scholar] [CrossRef]
- Si, X.; Chen, Q.; Bi, J.; Wu, X.; Yi, J.; Zhou, L.; Li, Z. Comparison of different drying methods on the physical properties, bioactive compounds and antioxidant activity of raspberry powders. J. Sci. Food Agric. 2016, 96, 2055–2062. [Google Scholar] [CrossRef]
- Szadzińska, J.; Łechtańska, J.; Pashminehazar, R.; Kharaghani, A.; Tsotsas, E. Microwave- and ultrasound-assisted convective drying of raspberries: Drying kinetics and microstructural changes. Dry. Technol. 2019, 37, 1–12. [Google Scholar] [CrossRef]
- Domin, M.; Ćwiklińska, M.; Góral-Kowalczyk, M. Reeze-Drying Impact on Hardness of Selected Soft Fruit Liophilisates. Agric. Eng. 2021, 25, 135–146. [Google Scholar] [CrossRef]
- Gagneten, M.; Corfield, R.; Mattson, M.G.; Sozzi, A.; Leiva, G.; Salvatori, D.; Schebor, C. Spray-dried powders from berries extracts obtained upon several processing steps to improve the bioactive components content. Powder Technol. 2019, 342, 1008–1015. [Google Scholar] [CrossRef]
- Szymanowska, U.; Baraniak, B. Antioxidant and potentially anti-inflammatory activity of anthocyanin fractions from pomace obtained from enzymatically treated raspberries. Antioxidants 2019, 8, 299. [Google Scholar] [CrossRef]
- Sadowska, A.; Świderski, F.; Hallmann, E. Properties of raspberry powder obtained by a new method of fluidized-bed jet milling and drying compared to other drying methods. J. Sci. Food Agric. 2020, 100, 4303–4309. [Google Scholar] [CrossRef] [PubMed]
- Alam, S.A.; Järvinen, J.; Kirjoranta, S.; Jouppila, K.; Poutanen, K.; Sozer, N. Influence of particle size reduction on structural and mechanical properties of extruded rye bran. Food Bioprocess Technol. 2014, 7, 2121–2133. [Google Scholar] [CrossRef]
- Chen, T.; Zhang, M.; Bhandari, B.; Yang, Z. Micronization and nanosizing of particles for an enhanced quality of food: A review. Crit. Rev. Food Sci. Nutr. 2018, 58, 993–1001. [Google Scholar] [CrossRef]
- Protonotariou, S.; Mandala, I.; Rosell, C.M. Jet Milling Effect on Functionality, Quality and In Vitro Digestibility of Whole Wheat Flour and Bread. Food Bioprocess Technol. 2015, 8, 1319–1329. [Google Scholar] [CrossRef]
- Różyło, R.; Piekut, J.; Dziki, D.; Smolewska, M.; Gawłowski, S.; Wójtowicz, A.; Gawlik-Dziki, U. Effects of Wet and Dry Micronization on the GC-MS Identification of the Phenolic Compounds and Antioxidant Properties of Freeze-Dried Spinach Leaves and Stems. Molecules 2022, 27, 8174. [Google Scholar] [CrossRef]
- Zhang, J.; Dong, Y.; Nisar, T.; Fang, Z.; Wang, Z.C.; Guo, Y. Effect of superfine-grinding on the physicochemical and antioxidant properties of Lycium ruthenicum Murray powders. Powder Technol. 2020, 372, 68–75. [Google Scholar] [CrossRef]
- Silventoinen, P.; Rommi, K.; Holopainen-Mantila, U.; Poutanen, K.; Nordlund, E. Biochemical and Techno-Functional Properties of Protein- and Fibre-Rich Hybrid Ingredients Produced by Dry Fractionation from Rice Bran. Food Bioprocess Technol. 2019, 12, 1487–1499. [Google Scholar] [CrossRef]
- Sheng, K.; Qu, H.; Liu, C.; Yan, L.; You, J.; Shui, S.; Zheng, L. A comparative assess of high hydrostatic pressure and superfine grinding on physicochemical and antioxidant properties of grape pomace. Int. J. Food Sci. Technol. 2017, 52, 2106–2114. [Google Scholar] [CrossRef]
- Meng, Q.; Fan, H.; Chen, F.; Xiao, T.; Zhang, L. Preparation and characterization of Dendrobium officinale powders through superfine grinding. J. Sci. Food Agric. 2018, 98, 1906–1913. [Google Scholar] [CrossRef] [PubMed]
- Radoš, K.; Čukelj Mustač, N.; Drakula, S.; Novotni, D.; Benković, M.; Kraljić, K.; Štifter, S.; Voučko, B.; Ćurić, D. The effect of cryo-grinding and size separation on bioactive profile of buckwheat hulls. Int. J. Food Sci. Technol. 2022, 57, 1911–1919. [Google Scholar] [CrossRef]
- Dziki, D.; Tarasiuk, W.; Gawlik-Dziki, U. Micronized oat husk: Particle size distribution, phenolic acid profile and antioxidant properties. Materials 2021, 14, 5443. [Google Scholar] [PubMed]
- Andrianjaka-Camps, Z.N.; Baumgartner, D.; Camps, C.; Guyer, E.; Arrigoni, E.; Carlen, C. Prediction of raspberries puree quality traits by Fourier transform infrared spectroscopy. LWT-Food Sci. Technol. 2015, 63, 1056–1062. [Google Scholar] [CrossRef]
- Chen, F.; Zhang, M.; Mujumdar, A.S.; Guo, C.; Yu, D. Comparative analysis of composition and hygroscopic properties of infrared freeze-dried blueberries, cranberries and raspberries. Dry. Technol. 2021, 39, 1261–1270. [Google Scholar]
- Gales, O.; Rodemann, T.; Jones, J.; Swarts, N. Application of near infra-red spectroscopy as an instantaneous and simultaneous prediction tool for anthocyanins and sugar in whole fresh raspberry. J. Sci. Food Agric. 2021, 101, 2449–2454. [Google Scholar] [CrossRef]
- Kupryaniuk, K.; Wójtowicz, A.; Mazurkiewicz, J.; Słowik, T.; Matwijczuk, A. The Influence of the Pressure-Thermal Agglomeration Methods of Corn Bran on Their Selected Physicochemical Properties and Biogas Efficiency. Energies 2021, 14, 6997. [Google Scholar] [CrossRef]
- Przybył, K.; Koszela, K.; Adamski, F.; Samborska, K.; Walkowiak, K.; Polarczyk, M. Deep and machine learning using SEM, FTIR, and texture analysis to detect polysaccharide in raspberry powders. Sensors 2021, 21, 5823. [Google Scholar] [CrossRef]
- Tian, Q.; Giusti, M.M.; Stoner, G.D.; Schwartz, S.J. Characterization of a new anthocyanin in black raspberries (Rubus occidentalis) by liquid chromatography electrospray ionization tandem mass spectrometry. Food Chem. 2006, 94, 465–468. [Google Scholar] [CrossRef]
- Xu, Y.; Liu, N.; Fu, X.; Wang, L.; Yang, Y.; Ren, Y.; Liu, J.; Wang, L. Structural characteristics, biological, rheological and thermal properties of the polysaccharide and the degraded polysaccharide from raspberry fruits. Int. J. Biol. Macromol. 2019, 132, 109–118. [Google Scholar] [CrossRef] [PubMed]
- Dastangoo, S.; Hamed Mosavian, M.T.; Yeganehzad, S. Optimization of pulsed electric field conditions for sugar extraction from carrots. Food Sci. Nutr. 2020, 8, 2025–2034. [Google Scholar] [CrossRef] [PubMed]
- Zhu, L.; Yu, B.; Chen, H.; Yu, J.; Yan, H.; Luo, Y.; Chen, D. Comparisons of the micronization, steam explosion, and gamma irradiation treatment on chemical composition, structure, physicochemical properties, and in vitro digestibility of dietary fiber from soybean hulls. Food Chem. 2022, 366, e130618. [Google Scholar] [CrossRef] [PubMed]
- Yu, Y.; Li, Z.; Cao, G.; Li, S.; Yang, H. Effects of ball milling micronization on amino acids profile and antioxidant activities of Polygonatum cyrtonema Hua tuber powder. J. Food Meas. Charact. 2019, 13, 2106–2117. [Google Scholar] [CrossRef]
- Ross, H.A.; McDougall, G.J.; Stewart, D. Antiproliferative activity is predominantly associated with ellagitannins in raspberry extracts. Phytochemistry 2007, 68, 218–228. [Google Scholar] [CrossRef]
- Kula, M.; Majdan, M.; Głód, D.; Krauze-Baranowska, M. Phenolic composition of fruits from different cultivars of red and black raspberries grown in Poland. J. Food Compos. Anal. 2016, 52, 74–82. [Google Scholar] [CrossRef]
- Lee, J.; Dossett, M.; Finn, C.E. Rubus fruit phenolic research: The good, the bad, and the confusing. Food Chem. 2012, 130, 785–796. [Google Scholar] [CrossRef]
- Lee, G.E.; Kim, R.H.; Lim, T.; Kim, J.; Kim, S.; Kim, H.G.; Hwang, K.T. Optimization of accelerated solvent extraction of ellagitannins in black raspberry seeds using artificial neural network coupled with genetic algorithm. Food Chem. 2022, 396, 133712. [Google Scholar]
- Kashchenko, N.I.; Olennikov, D.N.; Chirikova, N.K. Metabolites of Siberian raspberries: LC-MS profile, seasonal variation, antioxidant activity and, thermal stability of Rubus matsumuranus phenolome. Plants 2021, 10, 2317. [Google Scholar] [CrossRef]
- Bender, A.B.B.; Speroni, C.S.; Moro, K.I.B.; Morisso, F.D.P.; dos Santos, D.R.; da Silva, L.P.; Penna, N.G. Effects of micronization on dietary fiber composition, physicochemical properties, phenolic compounds, and antioxidant capacity of grape pomace and its dietary fiber concentrate. LWT-Food Sci. Technol. 2020, 117, e108652. [Google Scholar] [CrossRef]
- Tomas, M. Effect of dietary fiber addition on the content and in vitro bioaccessibility of antioxidants in red raspberry pure. Food Chem. 2022, 375, 131897. [Google Scholar] [CrossRef]
- Ziemichód, A.; Różyło, R.; Dziki, D. Impact of Whole and Ground-by-Knife and Ball Mill Flax Seeds on the Physical and Sensorial Properties of Gluten Free-Bread. Processes 2020, 8, 452. [Google Scholar] [CrossRef]
- Sobaszek, P.; Różyło, R.; Dziki, L.; Gawlik-Dziki, U.; Biernacka, B.; Panasiewicz, M. Evaluation of color, texture, sensory and antioxidant properties of gels composed of freeze-dried maqui berries and agave sugar. Processes 2020, 8, 1294. [Google Scholar] [CrossRef]
- Southgate, D.A.T. Determination of Food Carbohydrates, 2nd ed.; Elsevier Applied Science: Amsterdam, The Netherlands, 1991; Chapter 3. [Google Scholar]
- Singleton, V.L.; Orthofer, R.; Lamuela-Raventos, R.M. Analysis of total phenols and other oxidation substrates and antioxidants by means of Folin-Ciocalteu reagent. and antioxidant activity of selected plant species from the Canadian prairies. Food Chem. 1999, 84, 551–562. [Google Scholar]
- Re, R.; Pellegrini, N.; Proteggente, A.; Pannala, A.; Yang, M.; Rice-Evans, C. Antioxidant activity applying an improved ABTS radical cation decolorization assay. Free. Radic. Biol. Med. 1999, 26, 1231–1237. [Google Scholar] [CrossRef]
- Amarowicz, R.; Troszyńska, A.; Baryłko-Pikielna, N.; Shahidi, F. Polyphenolics extracts from legume seeds: Correlations between total antioxidant activity, total phenolics content, tannins content and astringency. J. Food Lipids 2004, 11, 278–286. [Google Scholar] [CrossRef]
- Benzie, I.F.F.; Strain, J.J. The reducing ability of plasma as a measure of ‘antioxidant power’—The FRAP assay. Anal. Biochem. 1996, 239, 70–76. [Google Scholar] [CrossRef]
- Popov, I.; Lewin, G. Oxidants and antioxidants part B-Antioxidative homeostasis: Characterization by means of chemiluminescent technique. Methods Enzymol. 1999, 300, 437–456. [Google Scholar]







| FTIR | Type and Origin of Vibrations |
|---|---|
| Positioning of Band (cm−1) | |
| 3312 | ν(O-H) in H2O and intra-molecular hydrogen bonding |
| 2914 | ν(C-H) in CH2 and CH3 asymmetrical and symmetrical |
| 2845 | |
| 1723 | ν(C=O) |
| 1635 | ν(C=C) or/and δ (O-H) adsorbed H2O |
| 1541 | ν(C=C) |
| 1407 | δ(-OH in plane), δ(CH2), δ(C-H) |
| 1363 | |
| 1326 | δ(C-H) and δ (O-H) |
| 1222 | δ(C-H) and asymmetrical bridge oxygen stretching -OH in-plane bending |
| 1146 | asymmetrical in phase ring stretching and ν(C-O-C) and ν(C-O) and ring stretching modes |
| 1017 | |
| 912/893/866 | β-linkage of cellulose ring breathing and asymmetrical out of phase stretching -OH out-of-plane bending and CH2 rocking |
| 813/772 | |
| 613/580/550/511 |
| Compound Number | Ionization | Compound Name | MS | MS/MS |
|---|---|---|---|---|
| 1 | [M − H]− | Ellagic acid derivative | 571 | 301, 229 |
| 2 | [M − H]+ | Cyanidin-3-sophoroside | 611 | 449, 287, 269 |
| 3 | [M − H]+ | Cyanidin-3-(2-glucosylrutinoside) | 757 | 611, 287 |
| 4 | [M − H]+ | Cyanidin-3-rutinoside | 449 | 287 |
| 5 | [M − H]+ | Pelargonidin-3-rutinoside | 579 | 271 |
| 6 | [M − H]− | Ellagic acid derivative | 934 | 1235, 934, 633, 315, 301 |
| 7 | [M − H]− | Ellagic acid derivative | 934 | 1235, 934, 633, 315, 301 |
| 8 | [M − H]− | Ellagic acid | 301 | 229 |
| 9 | [M − H]− | Rutin | 609 | 301 |
| Compound Number | Compound Name | CRP | 10 MRP | 20 MRP |
|---|---|---|---|---|
| 1 | Ellagic acid derivative | 0.132 ± 0.003 b | 0.161 ± 0.010 a | 0.166 ± 0.008 a |
| 2 | Cyanidin-3-sophoroside | 0.354± 0.001 a | 0.372 ± 0.014 a | 0.347 ± 0.013 a |
| 3 | Cyanidin-3-(2-glucosylrutinoside) | 0.134 ± 0.001 a | 0.142 ± 0.005 a | 0.132 ± 0.005 a |
| 4 | Cyanidin-3-rutinoside | 0.402 ± 0.003 a | 0.418 ± 0.015 a | 0.385 ± 0.010 b |
| 5 | Pelargonidin-3-rutinoside | 0.162 ± 0.001 a | 0.169 ± 0.006 a | 0.157 ± 0.002 b |
| 6 | Ellagic acid derivative | 0.697 ± 0.024 b | 1.034 ± 0.068 a | 0.878 ± 0.082 a |
| 7 | Ellagic acid derivative | 2.164 ± 0.041 b | 2.631 ± 0.120 a | 2.627 ± 0.128 a |
| 8 | Ellagic acid | 0.079 ± 0.001 b | 0.093 ± 0.004 a | 0.098 ± 0.003 a |
| 9 | Rutin | 0.012 ± 0.001 b | 0.013 ± 0.001 a | 0.014 ± 0.001 a |
| Antioxidant Potential | CRP | 10 MRP | 20 MRP |
|---|---|---|---|
| Total phenolics (mg GAE/g) | 19.74 ± 0.055 b | 22.79 ± 0.78 a | 23.94 ± 0.95 a |
| ABTS (mmol TE/g) | 0.180 ± 0.005 b | 0.221 ± 0.004 a | 0.216 ± 0.005 a |
| DPPH (mmol TE/g) | 0.241 ± 0.004 a | 0.201 ± 0.004 c | 0.218 ± 0.007 b |
| FRAP (mmol Fe2+/g) | 0.151 ± 0.003 b | 0.181 ± 0.004 a | 0.179 ± 0.004 a |
| ACL (mmol TE/g) | 0.183 ± 0.006 a | 0.178 ± 0.003 a | 0.180 ± 0.007 a |
Disclaimer/Publisher’s Note: The statements, opinions and data contained in all publications are solely those of the individual author(s) and contributor(s) and not of MDPI and/or the editor(s). MDPI and/or the editor(s) disclaim responsibility for any injury to people or property resulting from any ideas, methods, instructions or products referred to in the content. |
© 2023 by the authors. Licensee MDPI, Basel, Switzerland. This article is an open access article distributed under the terms and conditions of the Creative Commons Attribution (CC BY) license (https://creativecommons.org/licenses/by/4.0/).
Share and Cite
Różyło, R.; Amarowicz, R.; Janiak, M.A.; Domin, M.; Gawłowski, S.; Kulig, R.; Łysiak, G.; Rząd, K.; Matwijczuk, A. Micronized Powder of Raspberry Pomace as a Source of Bioactive Compounds. Molecules 2023, 28, 4871. https://doi.org/10.3390/molecules28124871
Różyło R, Amarowicz R, Janiak MA, Domin M, Gawłowski S, Kulig R, Łysiak G, Rząd K, Matwijczuk A. Micronized Powder of Raspberry Pomace as a Source of Bioactive Compounds. Molecules. 2023; 28(12):4871. https://doi.org/10.3390/molecules28124871
Chicago/Turabian StyleRóżyło, Renata, Ryszard Amarowicz, Michał Adam Janiak, Marek Domin, Sławomir Gawłowski, Ryszard Kulig, Grzegorz Łysiak, Klaudia Rząd, and Arkadiusz Matwijczuk. 2023. "Micronized Powder of Raspberry Pomace as a Source of Bioactive Compounds" Molecules 28, no. 12: 4871. https://doi.org/10.3390/molecules28124871
APA StyleRóżyło, R., Amarowicz, R., Janiak, M. A., Domin, M., Gawłowski, S., Kulig, R., Łysiak, G., Rząd, K., & Matwijczuk, A. (2023). Micronized Powder of Raspberry Pomace as a Source of Bioactive Compounds. Molecules, 28(12), 4871. https://doi.org/10.3390/molecules28124871

