Isolation and HPLC Quantitative Determination of 5α-Reductase Inhibitors from Tectona grandis L.f. Leaf Extract
Abstract
1. Introduction
2. Results and Discussion
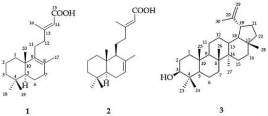
2.1. Extraction and Isolation of Bioactive Compounds
2.2. Steroid 5α-Reductase Inhibitory Activity
2.3. Quantitative HPLC Analysis of 5α-Reductase Inhibitors from T. grandis Leaf Extract
3. Materials and Methods
3.1. General Experimental Procedures
3.2. Plant Material
3.3. Extraction and Isolation
3.4. Measurement of 5α-Reductase Inhibitory Activity
3.4.1. Enzyme Preparation
3.4.2. Enzymatic 5α-Reductase Inhibition Assay
3.5. Quantitative HPLC Analysis of 5α-Reductase Inhibitors from T. grandis Leaf Extract
3.5.1. Reference Solutions
3.5.2. Chromatographic Conditions
3.5.3. Validation of HPLC Method
3.6. Statistical Analysis
4. Conclusions
Supplementary Materials
Author Contributions
Funding
Institutional Review Board Statement
Informed Consent Statement
Data Availability Statement
Acknowledgments
Conflicts of Interest
Sample Availability
References
- Handelsman, D.J.; Hirschberg, A.L.; Bermon, S. Circulating testosterone as the hormonal basis of sex differences in athletic performance. Endocr. Rev. 2018, 39, 803–829. [Google Scholar] [CrossRef] [PubMed]
- Azzouni, F.; Godoy, A.; Li, Y.; Mohler, J. The 5α-reductase isozyme family: A review of basic biology and their role in human diseases. Adv. Urol. 2012, 2012, 530121. [Google Scholar] [CrossRef] [PubMed]
- Russell, D.W.; Wilson, J.D. Steroid 5α-reductase: Two genes/two enzymes. Annu. Rev. Biochem. 1994, 63, 25–61. [Google Scholar] [CrossRef]
- Godoy, A.; Kawinski, E.; Li, Y.; Oka, D.; Alexiev, B.; Azzouni, F.; Titus, M.A.; Mohler, J.L. 5α-reductase type 3 expression in human benign and malignant tissues: A comparative analysis during prostate cancer progression. Prostate 2011, 71, 1033–1046. [Google Scholar] [CrossRef] [PubMed]
- Occhiato, E.G.; Guarna, A.; Danza, G.; Serio, M. Selective non-steroidal inhibitors of 5α-reductase type 1. J. Steroid. Biochem. Mol. Biol. 2004, 88, 1–16. [Google Scholar] [CrossRef] [PubMed]
- Randall, V.A. Role of 5α-reductase in health and disease. Baillieres Clin. Endocrinol. Metab. 1994, 8, 405–431. [Google Scholar] [CrossRef] [PubMed]
- Rathnayake, D.; Sinclair, R. Male androgenetic alopecia. Expert. Opin. Pharmacother. 2010, 11, 1295–1304. [Google Scholar] [CrossRef]
- Fu, D.; Huang, J.; Li, K.; Chen, Y.; He, Y.; Sun, Y.; Guo, Y.; Du, L.; Qu, Q.; Miao, Y.; et al. Dihydrotestosterone-induced hair regrowth inhibition by activating androgen receptor in C57BL6 mice simulates androgenetic alopecia. Biomed. Pharmacother. 2021, 137, 111247. [Google Scholar] [CrossRef]
- Libecco, J.F.; Bergfeld, W.F. Finasteride in the treatment of alopecia. Expert Opin. Pharmacother. 2004, 5, 933–940. [Google Scholar] [CrossRef]
- Meidan, V.M.; Touitou, E. Treatments for androgenetic alopecia and alopecia areata: Current options and future prospects. Drugs 2001, 61, 53–69. [Google Scholar] [CrossRef]
- Kumar, N.; Rungseevijitprapa, W.; Narkkhong, N.-A.; Suttajit, M.; Chaiyasut, C. 5α-reductase inhibition and hair growth promotion of some Thai plants traditionally used for hair treatment. J. Ethnopharmacol. 2012, 139, 765–771. [Google Scholar] [CrossRef] [PubMed]
- Rossi, A.; Cantisani, C.; Melis, L.; Iorio, A.; Scali, E.; Calvieri, S. Minoxidil use in dermatology, side effects and recent patents. Recent Pat. Inflamm. Allergy Drug. Discov. 2012, 6, 130–136. [Google Scholar] [CrossRef] [PubMed]
- Palanisamy, K.; Hegde, M.; Yi, J.-S. Teak (Tectona grandis Linn. f.): A renowned commercial timber species. J. For. Sci. 2009, 25, 1–24. [Google Scholar]
- Mascarenhas, A.R.P.; Sccoti, M.S.V.; Melo, R.R.d.; Corrêa, F.L.d.O.; Souza, E.F.M.d.; Pimenta, A.S. Quality assessment of teak (Tectona grandis) wood from trees grown in a multi-stratified agroforestry system established in an Amazon rainforest area. Holzforschung 2021, 75, 409–418. [Google Scholar] [CrossRef]
- Khare, C.P. Indian Medicinal Plants: An Illustrated Dictionary; Springer: New York, NY, USA, 2008; p. 649. [Google Scholar]
- Vyas, P.; Yadav, D.K.; Khandelwal, P. Tectona grandis (teak)—A review on its phytochemical and therapeutic potential. Nat. Prod. Res. 2019, 33, 2338–2354. [Google Scholar] [CrossRef]
- Aguinaldo, A.M.; Ocampo, O.P.M.; Bowden, B.F.; Gray, A.I.; Waterman, P.G. Tectograndone, an anthraquinone-naphthoquinone pigment from the leaves of Tectona grandis. Phytochemistry 1993, 33, 933–935. [Google Scholar] [CrossRef]
- Lacret, R.; Varela, R.M.; Molinillo, J.M.; Nogueiras, C.; Macias, F.A. Anthratectone and naphthotectone, two quinones from bioactive extracts of Tectona grandis. J. Chem. Ecol. 2011, 37, 1341–1348. [Google Scholar] [CrossRef]
- Vyas, P.; Wadhwani, B.D.; Khandelwal, P.; Araya, H.; Fujimoto, Y. Tectonaquinones A, B and C: Three new naphthoquinone derivatives from the heartwood of Tectona grandis. Nat. Prod. Res. 2020, 36, 1707–1715. [Google Scholar] [CrossRef] [PubMed]
- Macias, F.A.; Lacret, R.; Varela, R.M.; Nogueiras, C.; Molinillo, J.M. Isolation and phytotoxicity of terpenes from Tectona grandis. J. Chem. Ecol. 2010, 36, 396–404. [Google Scholar] [CrossRef]
- Macías, F.A.; Lacret, R.; Varela, R.M.; Nogueiras, C.; Molinillo, J.M.G. Bioactive apocarotenoids from Tectona grandis. Phytochemistry 2008, 69, 2708–2715. [Google Scholar] [CrossRef]
- Nayeem, N.; Karvekar, M.D. Isolation of phenolic compounds from the methanolic extract of Tectona grandis. Res. J. Pharm. Biol. Chem. Sci. 2010, 1, 221–225. [Google Scholar]
- Joshi, K.; Singh, P.; Pardasani, R.T. Chemical components of the roots of Tectona grandis and Gmelina arborea. Planta Med. 1977, 32, 71–75. [Google Scholar] [CrossRef] [PubMed]
- Lacret, R.; Varela, R.M.; Molinillo, J.M.G.; Nogueiras, C.; Macías, F.A. Tectonoelins, new norlignans from a bioactive extract of Tectona grandis. Phytochem. Lett. 2012, 5, 382–386. [Google Scholar] [CrossRef]
- Singh, N.; Shukla, N.; Singh, P.; Sharma, R.; Rajendran, S.M.; Maurya, R.; Palit, G. Verbascoside isolated from Tectona grandis mediates gastric protection in rats via inhibiting proton pump activity. Fitoterapia 2010, 81, 755–761. [Google Scholar] [CrossRef]
- Khan, Z.; Ali, M.; Bagri, P. A new steroidal glycoside and fatty acid esters from the stem bark of Tectona grandis Linn. Nat. Prod. Res. 2010, 24, 1059–1068. [Google Scholar] [CrossRef]
- Jaybhaye, D.; Varma, S.; Gagne, N.; Bonde, V.; Gite, A.; Bhosle, D. Effect of Tectona grandis Linn. seeds on hair growth activity of albino mice. Int. J. Ayurveda Res. 2010, 1, 211–215. [Google Scholar] [CrossRef]
- Fachrunniza, Y.; Srivilai, J.; Wisuitiprot, V.; Wisuitiprot, W.; Suphrom, N.; Temkitthawon, P.; Waranuch, N.; Ingkaninan, K. Tectona grandis, a potential active ingredient for hair growth promotion. Songklanakarin J. Sci. Technol. 2020, 42, 1352–1359. [Google Scholar]
- Aoki, W.; Ohtsuki, T.; Sadhu, S.K.; Sato, M.; Koyano, T.; Preeprame, S.; Kowithayakorn, T.; Ishibashi, M. First isolation of three diterpenes as naturally-occurring compounds from Sindora siamensis. J. Nat. Med. 2007, 61, 77–79. [Google Scholar] [CrossRef]
- Marsaioli, A.J.; Filho, H.F.L.; Campello, J.d.P. Diterpenes in the bark of Hymenea coubaril. Phytochemistry 1975, 14, 1882–1883. [Google Scholar] [CrossRef]
- Imamura, P.M.; Marsaioli, A.J.; Barata, L.E.; Rúveda, E.A. 13C NMR spectral analysis of eperuane diterpenes. Phytochemistry 1977, 16, 1842–1844. [Google Scholar] [CrossRef]
- Mouffok, S.; Haba, H.; Lavaud, C.; Long, C.; Benkhaled, M. Chemical constituents of Centaurea omphalotricha Coss. & Durieu ex Batt. & Trab. Rec. Nat. Prod. 2012, 6, 292–295. [Google Scholar]
- Pathak, N.K.R.; Neogi, P.; Biswas, M.; Tripathi, Y.; Pandey, V.B. Betulin aldehyde, an antitumour agent from the bark of Tectona grandis. Indian. J. Pharm. Sci. 1988, 50, 124–125. [Google Scholar]
- Ungur, N.; Gavagnin, M.; Cimino, G. Synthesis of diastereoisomeric ent-isocopalic acid glycerides. Tetrahedron Lett. 1996, 37, 3549–3552. [Google Scholar] [CrossRef]
- Ungur, N.; Gavagnin, M.; Fontana, A.; Cimino, G. Synthetic studies on natural diterpenoid glyceryl esters. Tetrahedron 2000, 56, 2503–2512. [Google Scholar] [CrossRef]
- Vlad, P.F.; Ungur, N.; Hung, N.V.; Perutsky, V.B. Superacidic low-temperature cyclization of terpenols and their acetates. Russ. Chem. Bull. 1995, 44, 2390–2403. [Google Scholar] [CrossRef]
- Suzuki, H.; Noma, M.; Kawashima, N. Two labdane diterpenoids from Nicotiana setchellii. Phytochemistry 1983, 22, 1294–1295. [Google Scholar] [CrossRef]
- Xiang, W.; Li, R.-T.; Song, Q.-S.; Na, Z.; Sun, H.-D. ent-Clerodanoids from Isodon scoparius. Helv. Chim. Acta 2004, 87, 2860–2865. [Google Scholar] [CrossRef]
- Sousa, J.P.B.d.; Nanayakkara, D.; Silva, A.A.B.; Bastos, J.K. Leishmanicidal and antimalarial activities of crude extracts from aerial parts of Copaifera langsdorffii and isolation of secondary metabolites. J. Pharm. Res. 2012, 5, 4103–4107. [Google Scholar]
- Jain, P.; Bari, S. Isolation of lupeol, stigmasterol and campesterol from petroleum ether extract of woody stem of Wrightia tinctoria. Asian. J. Plant. Sci. 2010, 9, 163–167. [Google Scholar] [CrossRef]
- Pandya, D.; Anand, I. Isolation and high-performance thin layer chromatographic estimation of lupeol from Oxystelma esculentum. Pharm. Methods 2011, 2, 99–105. [Google Scholar] [CrossRef]
- Díaz, K.; Espinoza, L.; Madrid, A.; Pizarro, L.; Chamy, R. Isolation and identification of compounds from bioactive extracts of Taraxacum officinale Weber ex F. H. Wigg. (Dandelion) as a potential source of antibacterial agents. Evid. Based. Complement. Alternat. Med. 2018, 2018, 2706417. [Google Scholar] [CrossRef] [PubMed]
- Srivilai, J.; Rabgay, K.; Khorana, N.; Waranuch, N.; Nuengchamnong, N.; Wisuitiprot, W.; Chuprajob, T.; Changtam, C.; Suksamrarn, A.; Chavasiri, W.; et al. Anti-androgenic curcumin analogues as steroid 5α-reductase inhibitors. Med. Chem. Res. 2017, 26, 1550–1556. [Google Scholar] [CrossRef]
- Liu, J.; Kurashiki, K.; Shimizu, K.; Kondo, R. 5α-reductase inhibitory effect of triterpenoids isolated from Ganoderma lucidum. Biol. Pharm. Bull. 2006, 29, 392–395. [Google Scholar] [CrossRef]
- Liu, J.; Kurashiki, K.; Shimizu, K.; Kondo, R. Structure-activity relationship for inhibition of 5α -reductase by triterpenoids isolated from Ganoderma lucidum. Bioorg. Med. Chem. 2006, 14, 8654–8660. [Google Scholar] [CrossRef] [PubMed]
- Srivilai, J.; Khorana, N.; Waranuch, N.; Wisuitiprot, W.; Suphrom, N.; Suksamrarn, A.; Ingkaninan, K. Germacrene analogs are anti-androgenic on androgen-dependent cells. Nat. Prod. Commun. 2016, 11, 1934578X1601100906. [Google Scholar] [CrossRef]
- Sánchez-Burgos, J.A.; Ramírez-Mares, M.; Gallegos-Infante, J.; González-Laredo, R.; Moreno-Jiménez, M.; Cháirez-Ramírez, M.H.; Medina-Torres, L.; Rocha-Guzmán, N. Isolation of lupeol from white oak leaves and its anti-inflammatory activity. Ind. Crop Prod. 2015, 77, 827–832. [Google Scholar] [CrossRef]
- Fotie, J.; Bohle, D.S.; Leimanis, M.L.; Georges, E.; Rukunga, G.; Nkengfack, A.E. Lupeol long-chain fatty acid esters with antimalarial activity from Holarrhena floribunda. J. Nat. Prod. 2006, 69, 62–67. [Google Scholar] [CrossRef]
- Martini, L. How to defeat male pattern alopecia in a trompeur de femmes, who loves to abuse of libido boosters? Our Dermatol. Online 2018, 9, 207–209. [Google Scholar] [CrossRef][Green Version]
- Sohag, A.A.M.; Hossain, M.T.; Rahaman, M.A.; Rahman, P.; Hasan, M.S.; Das, R.C.; Khan, M.K.; Sikder, M.H.; Alam, M.; Uddin, M.J.; et al. Molecular pharmacology and therapeutic advances of the pentacyclic triterpene lupeol. Phytomedicine 2022, 99, 154012. [Google Scholar] [CrossRef]
- Siddique, H.R.; Mishra, S.K.; Karnes, R.J.; Saleem, M. Lupeol, a novel androgen receptor inhibitor: Implications in prostate cancer therapy. Clin. Cancer Res. 2011, 17, 5379–5391. [Google Scholar] [CrossRef]
- Lachenmeier, D.W. Safety evaluation of topical applications of ethanol on the skin and inside the oral cavity. J. Occup. Med. Toxicol. 2008, 3, 26. [Google Scholar] [CrossRef] [PubMed]
- Oh, J.; Kim, M.K. Effect of alternative preservatives on the quality of rice cakes as halal food. Foods 2021, 10, 2291. [Google Scholar] [CrossRef] [PubMed]
- Mansur, A.R.; Oh, J.; Lee, H.S.; Oh, S.Y. Determination of ethanol in foods and beverages by magnetic stirring-assisted aqueous extraction coupled with GC-FID: A validated method for halal verification. Food Chem. 2022, 366, 130526. [Google Scholar] [CrossRef]
- Srivilai, J.; Rabgay, K.; Khorana, N.; Waranuch, N.; Nuengchamnong, N.; Ingkaninan, K. A new label-free screen for steroid 5α-reductase inhibitors using LC-MS. Steroids 2016, 116, 67–75. [Google Scholar] [CrossRef] [PubMed]
- Aggarwal, S.; Thareja, S.; Verma, A.; Bhardwaj, T.R.; Kumar, M. An overview on 5α-reductase inhibitors. Steroids 2010, 75, 109–153. [Google Scholar] [CrossRef]
- ICH Guideline, Q2 (R1). Validation of analytical procedures: Text and methodology. In International Conference on Harmonisation; IFPMA: Geneva, Switzerland, 2005.


| Samples | IC50 (µg/mL) | IC50 (µM) |
|---|---|---|
| Isolated Compounds | ||
| (+)-Eperua-8,13-dien-15-oic acid (1) | 4.31 ± 0.87 | 14.19 ± 2.87 a |
| (+)-Eperua-7,13-dien-15-oic acid (2) | 4.45 ± 0.10 | 14.65 ± 0.31a |
| Lupeol (3) | >170 | >400 |
| Positive controls [43] | ||
| Curcumin | 4.95 ± 0.15 | 13.40 ± 0.40 a |
| Finasteride | 0.28 ± 0.01 | 0.73 ± 0.03 b |
| Parameters | Values | |
|---|---|---|
| 1 | 2 | |
| Linearity range | 1.56–200 µg/mL | 1.56–200 µg/mL |
| Regression equation | y = 63.483x + 40.465 | y = 75.954x + 20.8 |
| Correlation coefficient (r2) | 0.9997 | 0.9995 |
| Limits of detection (LOD) | 0.09 µg/mL | 0.06 µg/mL |
| Limits of quantification (LOQ) | 0.30 µg/mL | 0.20 µg/mL |
| Accuracy | Precision | ||||||
|---|---|---|---|---|---|---|---|
| Concentration (µg/mL) | Recovery (%) ± SD | Concentration (µg/mL) | RSD (%) | ||||
| Intra-Day a | Inter-Day b | ||||||
| 1 | 2 | 1 | 2 | 1 | 2 | ||
| 15 | 92.78 ± 0.77 | 99.34 ± 3.06 | 20 | 0.46 | 2.33 | 1.90 | 2.10 |
| 75 | 100.61 ± 0.86 | 98.20 ± 0.77 | 75 | 0.11 | 0.50 | 1.02 | 1.51 |
| 135 | 97.13 ± 2.71 | 98.94 ± 1.26 | 150 | 0.02 | 0.60 | 0.13 | 1.15 |
| Samples | Contents (% w/w) | IC50 against 5α-Reductase (µg/mL) | |
|---|---|---|---|
| 1 | 2 | ||
| Hexane extract | 5.60 ± 0.05 | 3.23 ± 0.03 | 26.45 ± 0.69 |
| Ethanolic extract | 6.18 ± 0.12 a | 3.83 ± 0.04 a | 23.91 ± 0.17 a |
Publisher’s Note: MDPI stays neutral with regard to jurisdictional claims in published maps and institutional affiliations. |
© 2022 by the authors. Licensee MDPI, Basel, Switzerland. This article is an open access article distributed under the terms and conditions of the Creative Commons Attribution (CC BY) license (https://creativecommons.org/licenses/by/4.0/).
Share and Cite
Insumrong, K.; Ingkaninan, K.; Waranuch, N.; Tanuphol, N.; Wisuitiprot, W.; Promgool, T.; Suphrom, N. Isolation and HPLC Quantitative Determination of 5α-Reductase Inhibitors from Tectona grandis L.f. Leaf Extract. Molecules 2022, 27, 2893. https://doi.org/10.3390/molecules27092893
Insumrong K, Ingkaninan K, Waranuch N, Tanuphol N, Wisuitiprot W, Promgool T, Suphrom N. Isolation and HPLC Quantitative Determination of 5α-Reductase Inhibitors from Tectona grandis L.f. Leaf Extract. Molecules. 2022; 27(9):2893. https://doi.org/10.3390/molecules27092893
Chicago/Turabian StyleInsumrong, Kamonlak, Kornkanok Ingkaninan, Neti Waranuch, Nutchaninad Tanuphol, Wudtichai Wisuitiprot, Trinop Promgool, and Nungruthai Suphrom. 2022. "Isolation and HPLC Quantitative Determination of 5α-Reductase Inhibitors from Tectona grandis L.f. Leaf Extract" Molecules 27, no. 9: 2893. https://doi.org/10.3390/molecules27092893
APA StyleInsumrong, K., Ingkaninan, K., Waranuch, N., Tanuphol, N., Wisuitiprot, W., Promgool, T., & Suphrom, N. (2022). Isolation and HPLC Quantitative Determination of 5α-Reductase Inhibitors from Tectona grandis L.f. Leaf Extract. Molecules, 27(9), 2893. https://doi.org/10.3390/molecules27092893

