Effect of Coconut Protein and Xanthan Gum, Soybean Polysaccharide and Gelatin Interactions in Oil-Water Interface
Abstract
1. Introduction
2. Results and Discussion
2.1. State Diagrams
2.2. Zeta Potential
2.3. ITC
2.4. Fluorescence Spectroscopy
2.5. SEM
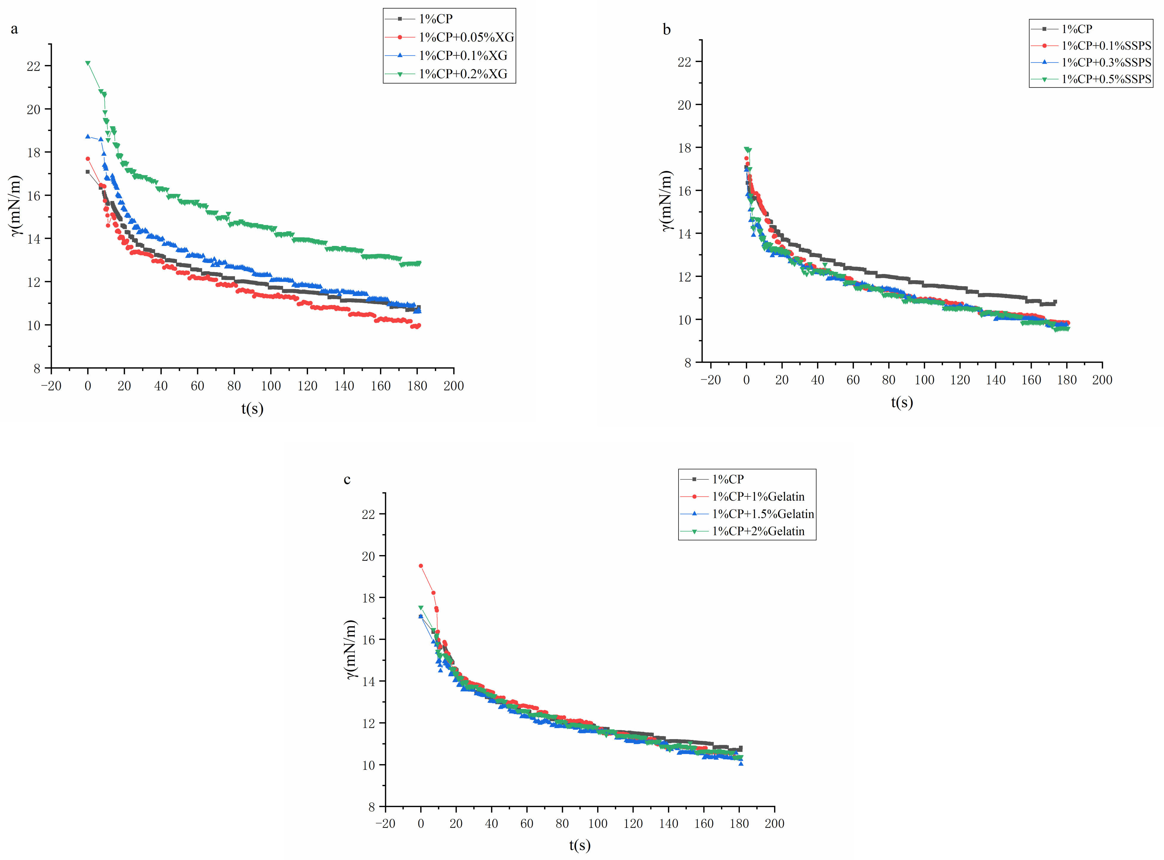
2.6. Interfacial Tension
2.7. Interfacial Dilatational Viscoelastic Properties
2.8. Visual Observations
2.9. Storage Stability
2.10. Microstructure of the Oil Droplets in Emulsions
3. Discussion
4. Materials and Methods
4.1. Coconut Materials and Chemicals
4.2. Extraction of Coconut Protein
4.3. Preparation of Coconut Protein and Hydrocolloid Complex Solution
4.4. Emulsions Preparation
4.5. Phase Diagram of CP-Hydrocolloid Complex Solution
4.6. Phase Diagram of Emulsions
4.7. Zeta Potential Measurement
4.8. Isothermal Titration Calorimetry (ITC)
4.9. Fluorescence Spectroscopy
4.10. SEM
4.11. Interfacial Adsorption Characterization
4.11.1. Interfacial Tension Measurements
4.11.2. Adsorption Kinetics and Interfacial Dilatational Viscoelastic Properties Analysis
4.12. Fluorescence Microscope Analysis
4.13. Stability of Complex Solution
4.14. Statistics Analysis
5. Conclusions
Author Contributions
Funding
Institutional Review Board Statement
Informed Consent Statement
Conflicts of Interest
References
- Salvia-Trujillo, L.D.E.A.; McClements, D.J. Influence of an anionic polysaccharide on the physical and oxidative stability of omega-3 nanoemulsions: Antioxidant effects of alginate. Food Hydrocoll. 2016, 52, 690–698. [Google Scholar] [CrossRef]
- Wang, S.; Yang, J.; Shao, G.; Qu, D.; Zhao, H.; Yang, L.; Zhu, L.; He, Y.; Liu, H.; Zhu, D. Soy protein isolated-soy hull polysaccharides stabilized O/W emulsion: Effect of polysaccharides concentration on the storage stability and interfacial rheological properties. Food Hydrocoll. 2019, 101, 105490. [Google Scholar] [CrossRef]
- Søren Jensen, C.R.; Ipsen, R. Stabilisation of acidified skimmed milk with HM pectin. Food Hydrocoll. 2010, 24, 291–299. [Google Scholar] [CrossRef]
- Jourdain, L.; Leser, M.E.; Schmitt, C.; Michel, M.; Dickinson, E. Stability of emulsions containing sodium caseinate and dextran sulfate: Relationship to complexation in solution. Food Hydrocoll. 2008, 22, 647–659. [Google Scholar] [CrossRef]
- Koupantsis, T.; Kiosseoglou, V. Whey protein–carboxymethylcellulose interaction in solution and in oil-in-water emulsion systems. Effect on emulsion stability. Food Hydrocoll. 2009, 23, 1156–1163. [Google Scholar] [CrossRef]
- Xu, X.; Luo, L.; Liu, C.; McClements, D.J. Utilization of anionic polysaccharides to improve the stability of rice glutelin emulsions: Impact of polysaccharide type, pH, salt, and temperature. Food Hydrocoll. 2016, 64, 112. [Google Scholar] [CrossRef]
- Turgeon, S.L.; Schmitt, C.; Sanchez, C. Protein–polysaccharide complexes and coacervates. Curr. Opin. Colloid Terface Sci. 2007, 12, 166–178. [Google Scholar] [CrossRef]
- Aryee, F.N.; Nickerson, M.T. Formation of electrostatic complexes involving mixtures of lentil protein isolates and gum Arabic polysaccharides. Food Res. Int. 2012, 48, 520–527. [Google Scholar] [CrossRef]
- Burgos-Díaz, C.; Wandersleben, T.; Marqués, A.M.; Rubilar, M. Multilayer emulsions stabilized by vegetable proteins and polysaccharides. Curr. Opin. Colloid Interface Sci. 2016, 25, 51–57. [Google Scholar] [CrossRef]
- Chen, L.; Chen, J.; Wu, K.; Yu, L. Improved Low pH Emulsification Properties of Glycated Peanut Protein Isolate by Ultrasound Maillard Reaction. J. Agric. Food Chem. 2016, 64, 5531–5538. [Google Scholar] [CrossRef]
- Liu, Q.-R.; Qi, J.-R.; Yin, S.-W.; Wang, J.-M.; Guo, J.; Feng, J.-L.; Cheng, M.; Cao, J.; Weng, J.-Y.; Yang, X.-Q. The influence of heat treatment on acid-tolerant emulsions prepared from acid soluble soy protein and soy soluble polysaccharide complexes. Food Res. Int. 2016, 89 Pt 1, 211–218. [Google Scholar] [CrossRef]
- Dickinson, E. Colloids in food: Ingredients, structure, and stability. Annu. Rev. Food Sci. Technol. 2015, 6, 211–233. [Google Scholar] [CrossRef]
- Vigila, A.G.; Baskaran, X. Immunomodulatory Effect of Coconut Protein on Cyclophosphamide Induced Immune Suppressed Swiss Albino Mice. Ethnobot. Leafl. 2008, 2008, 160. [Google Scholar]
- Kwon, K.; Bae, D.; Park, K.; Rhee, K. Aqueous Extraction and Membrane Techniques Improve Coconut Protein Concentrate Functionality. J. Food Sci. 1996, 61, 753–756. [Google Scholar] [CrossRef]
- Jin, B.; Zhou, X.; Li, B.; Lai, W.; Li, X. Influence of In vitro Digestion on Antioxidative Activity of Coconut Meat Protein Hydrolysates. Trop. J. Pharm. Res. 2015, 14, 441–447. [Google Scholar] [CrossRef][Green Version]
- Habibi, H.; Khosravi-Darani, K. Effective variables on production and structure of xanthan gum and its food applications: A review. Biocatal. Agric. Biotechnol. 2017, 10, 130–140. [Google Scholar] [CrossRef]
- Kobori, T.; Matsumoto, A.; Sugiyama, S. pH-Dependent interaction between sodium caseinate and xanthan gum. Carbohydr. Polym. 2009, 75, 719–723. [Google Scholar] [CrossRef]
- Hayati, I.N.; Ching, C.W.; Rozaini, M.Z.H. Flow properties of o/w emulsions as affected by xanthan gum, guar gum and carboxymethyl cellulose interactions studied by a mixture regression modelling. Food Hydrocoll. 2016, 53, 199–208. [Google Scholar] [CrossRef]
- Nasrabadi, M.N.; Goli, S.A.H.; Nasirpour, A. Stability assessment of conjugated linoleic acid (CLA) oil-in-water beverage emulsion formulated with acacia and xanthan gums. Food Chem. 2016, 199, 258–264. [Google Scholar] [CrossRef]
- Chivero, P.; Gohtani, S.; Yoshii, H.; Nakamura, A. Effect of xanthan and guar gums on the formation and stability of soy soluble polysaccharide oil-in-water emulsions. Food Res. Int. 2015, 70, 7–14. [Google Scholar] [CrossRef]
- Chivero, P.; Gohtani, S.; Ikeda, S.; Nakamura, A. The structure of soy soluble polysaccharide in aqueous solution. Food Hydrocoll. 2013, 35, 279–286. [Google Scholar] [CrossRef]
- Nobuhara, T.; Matsumiya, K.; Nambu, Y.; Nakamura, A.; Fujii, N.; Matsumura, Y. Stabilization of milk protein dispersion by soybean soluble polysaccharide under acidic pH conditions. Food Hydrocoll. 2014, 34, 39–45. [Google Scholar] [CrossRef]
- Nakamura, A.; Maeda, H.; Corredig, M. Emulsifying properties of enzyme-digested soybean soluble polysaccharide. Food Hydrocoll. 2006, 20, 1029–1038. [Google Scholar] [CrossRef]
- Nakamura, A.; Yoshida, R.; Maeda, H.; Furuta, H.; Corredig, M. Study of the Role of the Carbohydrate and Protein Moieties of Soy Soluble Polysaccharides in Their Emulsifying Properties. J. Agric. Food Chem. 2004, 52, 5506–5512. [Google Scholar] [CrossRef]
- Joly-Duhamel, C.; Hellio, D.; Djabourov, M. All Gelatin Networks: 1. Biodiversity and Physical Chemistry. Langmuir 2002, 18, 7208–7217. [Google Scholar] [CrossRef]
- Ding, M.; Zhang, T.; Zhang, H.; Tao, N.; Wang, X.; Zhong, J. Gelatin molecular structures affect behaviors of fish oil-loaded traditional and Pickering emulsions. Food Chem. 2019, 309, 125642. [Google Scholar] [CrossRef]
- Elmer, C.; Karaca, A.C.; Low, N.H.; Nickerson, M.T. Complex coacervation in pea protein isolate–chitosan mixtures. Food Res. Int. 2011, 44, 1441–1446. [Google Scholar] [CrossRef]
- Patino, J.M.R.; Pilosof, A.M. Protein–polysaccharide interactions at fluid interfaces. Food Hydrocoll. 2011, 25, 1925–1937. [Google Scholar] [CrossRef]
- Rahmati, N.F.; Koocheki, A.; Varidi, M.; Kadkhodaee, R. Thermodynamic compatibility and interactions between Speckled Sugar bean protein and xanthan gum for production of multilayer O/W emulsion. J. Food Sci. Technol. 2018, 55, 1143–1153. [Google Scholar] [CrossRef]
- Tangsuphoom, N.; Coupland, J.N. Effect of pH and ionic strength on the physicochemical properties of coconut milk emulsions. J. Food Sci. 2008, 73, E274–E280. [Google Scholar] [CrossRef]
- Azarikia, F.; Abbasi, S. Mechanism of soluble complex formation of milk proteins with native gums (tragacanth and Persian gum). Food Hydrocoll. 2016, 59, 35–44. [Google Scholar] [CrossRef]
- Zhao, Q.; Long, Z.; Kong, J.; Liu, T.; Sun-Waterhouse, D.; Zhao, M. Sodium caseinate/flaxseed gum interactions at oil–water interface: Effect on protein adsorption and functions in oil-in-water emulsion. Food Hydrocoll. 2015, 43, 137–145. [Google Scholar] [CrossRef]
- Pang, Z.; Deeth, H.; Sopade, P.; Sharma, R.; Bansal, N. Rheology, texture and microstructure of gelatin gels with and without milk proteins. Food Hydrocoll. 2013, 35, 484–493. [Google Scholar] [CrossRef]
- Chang, Y.; Hu, Y.; McClements, D.J. Competitive adsorption and displacement of anionic polysaccharides (fucoidan and gum arabic) on the surface of protein-coated lipid droplets. Food Hydrocoll. 2015, 52, 820–826. [Google Scholar] [CrossRef]
- Emaga, T.H.; Garna, H.; Paquot, M.; Deleu, M. Purification of pectin from apple pomace juice by using sodium caseinate and characterisation of their binding by isothermal titration calorimetry. Food Hydrocoll. 2012, 29, 211–218. [Google Scholar] [CrossRef]
- Xiong, W.; Ren, C.; Jin, W.; Tian, J.; Wang, Y.; Shah, B.R.; Li, J.; Li, B. Ovalbumin-chitosan complex coacervation: Phase be-havior, thermodynamic and rheological properties. Food Hydrocoll. 2016, 61, 895–902. [Google Scholar] [CrossRef]
- Cui, C.; Zhao, M.; Yuan, B.; Zhang, Y.; Ren, J. Effect of pH and Pepsin Limited Hydrolysis on the Structure and Functional Properties of Soybean Protein Hydrolysates. J. Food Sci. 2013, 78, C1871–C1877. [Google Scholar] [CrossRef]
- Benjamins, J. Static and Dynamic Properties of Proteins Adsorbed at Liquid Interfaces; Wageningen University and Research: Wageningen, The Netherlands, 2000. [Google Scholar]
- Liu, L.; Zhao, Q.; Liu, T.; Zhao, M. Dynamic surface pressure and dilatational viscoelasticity of sodium caseinate/xanthan gum mixtures at the oil–water interface. Food Hydrocoll. 2011, 25, 921–927. [Google Scholar] [CrossRef]
- Yang, T.; Liu, T.-X.; Li, X.-T.; Tang, C.-H. Novel nanoparticles from insoluble soybean polysaccharides of Okara as unique Pickering stabilizers for oil-in-water emulsions. Food Hydrocoll. 2019, 94, 255–267. [Google Scholar] [CrossRef]
- Vall-Llosera, M.; Jessen, F.; Henriet, P.; Marie, R.; Jahromi, M.; Sloth, J.J.; Mohammadifar, M.A.; Petersen, H.O.; Jørgensen, B.M.; Casanova, F. Physical Stability and Interfacial Properties of Oil in Water Emulsion Stabilized with Pea Protein and Fish Skin Gelatin. Food Biophys. 2020, 16, 139–151. [Google Scholar] [CrossRef]
- Tan, Y.; Deng, X.; Liu, T.; Yang, B.; Zhao, M.; Zhao, Q. Influence of NaCl on the oil/water interfacial and emulsifying properties of walnut protein-xanthan gum. Food Hydrocoll. 2017, 72, 73–80. [Google Scholar] [CrossRef]
- Fernandes, R.N.; Simiqueli, A.A.; Vidigal, M.C.T.R.; Minim, V.P.R.; Minim, L.A. Kinetic stability of the oil-in-water emulsions and dynamic interfacial properties of mixtures of sucrose esters and polysaccharides. Food Chem. 2021, 357, 129693. [Google Scholar] [CrossRef]
- Medeni Maskan, F. Effect of sugar on the rheological properties of sunflower oil-water emulsions. J. Food Eng. 2000, 43, 173–177. [Google Scholar] [CrossRef]
- Dickinson, E. Hydrocolloids and emulsion stability. In Handbook of Hydrocolloids; Woodhead Publishing: Sawston, UK, 2009; pp. 23–49. [Google Scholar] [CrossRef]
- Jin, Q.; Li, X.; Cai, Z.; Zhang, F.; Yadav, M.P.; Zhang, H. A comparison of corn fiber gum, hydrophobically modified starch, gum arabic and soybean soluble polysaccharide: Interfacial dynamics, viscoelastic response at oil/water interfaces and emulsion stabilization mechanisms. Food Hydrocoll. 2017, 70, 329–344. [Google Scholar] [CrossRef]
- Dickinson, E. Strategies to control and inhibit the flocculation of protein-stabilized oil-in-water emulsions. Food Hydrocoll. 2019, 96, 209–223. [Google Scholar] [CrossRef]
- Liang, Y.; Gillies, G.; Patel, H.; Matia-Merino, L.; Ye, A.; Golding, M. Physical stability, microstructure and rheology of sodi-um-caseinate-stabilized emulsions as influenced by protein concentration and non-adsorbing polysaccharides. Food Hydrocoll. 2014, 36, 245–255. [Google Scholar] [CrossRef]
- Krstonošić, V.; Dokić, L.; Nikolić, I.; Milanović, M. Influence of xanthan gum on oil-in-water emulsion characteristics stabilized by OSA starch. Food Hydrocoll. 2015, 45, 9–17. [Google Scholar] [CrossRef]
- Yuan, Y.; Wan, Z.-L.; Yang, X.-Q.; Yin, S.-W. Associative interactions between chitosan and soy protein fractions: Effects of pH, mixing ratio, heat treatment and ionic strength. Food Res. Int. 2014, 55, 207–214. [Google Scholar] [CrossRef]












| N | K (M) | ΔH (KJ/mol) | ΔG (KJ/mol) | TΔS (KJ/mol) | |
|---|---|---|---|---|---|
| SSPS | 0.588 | 9.79 × 10−9 | −355 | −34.3 | 301 |
| N1/N2 | K1 (M) | ΔH1 (KJ/mol) | K2 (M) | ΔH2 (KJ/mol) | |
| Gelatin | 2.69/1.51 | 4.33 × 10−6 | −11.5 | 136 × 10−6 | −6.34 |
Publisher’s Note: MDPI stays neutral with regard to jurisdictional claims in published maps and institutional affiliations. |
© 2022 by the authors. Licensee MDPI, Basel, Switzerland. This article is an open access article distributed under the terms and conditions of the Creative Commons Attribution (CC BY) license (https://creativecommons.org/licenses/by/4.0/).
Share and Cite
Yang, Y.; Xiang, D. Effect of Coconut Protein and Xanthan Gum, Soybean Polysaccharide and Gelatin Interactions in Oil-Water Interface. Molecules 2022, 27, 2879. https://doi.org/10.3390/molecules27092879
Yang Y, Xiang D. Effect of Coconut Protein and Xanthan Gum, Soybean Polysaccharide and Gelatin Interactions in Oil-Water Interface. Molecules. 2022; 27(9):2879. https://doi.org/10.3390/molecules27092879
Chicago/Turabian StyleYang, Yi, and Dong Xiang. 2022. "Effect of Coconut Protein and Xanthan Gum, Soybean Polysaccharide and Gelatin Interactions in Oil-Water Interface" Molecules 27, no. 9: 2879. https://doi.org/10.3390/molecules27092879
APA StyleYang, Y., & Xiang, D. (2022). Effect of Coconut Protein and Xanthan Gum, Soybean Polysaccharide and Gelatin Interactions in Oil-Water Interface. Molecules, 27(9), 2879. https://doi.org/10.3390/molecules27092879

