On the Development of Phenol-Formaldehyde Resins Using a New Type of Lignin Extracted from Pine Wood with a Levulinic-Acid Based Solvent
Abstract
1. Introduction
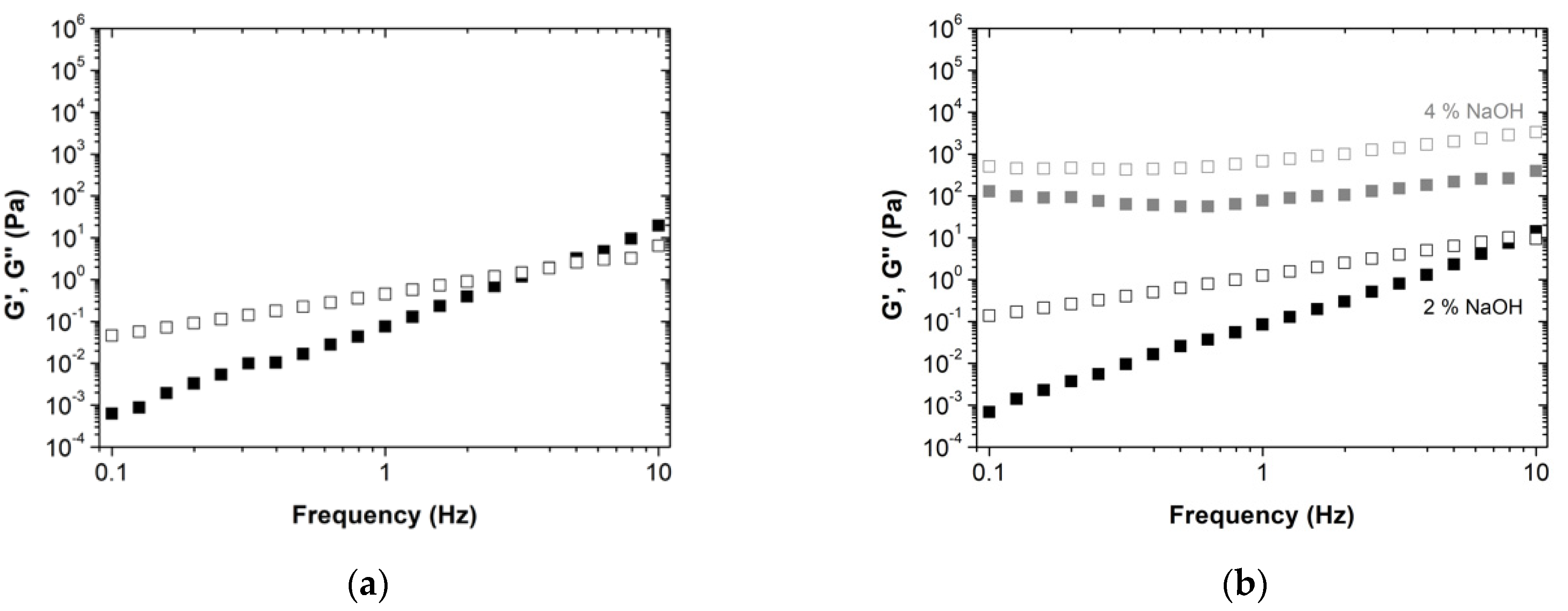
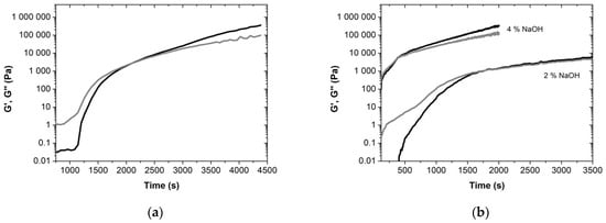
2. Results and Discussion
3. Materials and Methods
3.1. Materials
3.2. Extraction of Lignin from Pine Wood Sawdust
3.3. Preparation of Lignin-Based Resoles
3.4. Characterization of the Resoles
4. Conclusions
Supplementary Materials
Author Contributions
Funding
Institutional Review Board Statement
Informed Consent Statement
Data Availability Statement
Acknowledgments
Conflicts of Interest
Sample Availability
References
- Kopf, P.W. Phenolic Resins. In Kirk-Othmer Encyclopedia of Chemical Technology; Wiley Online Library: Hoboken, NJ, USA, 2000. [Google Scholar]
- Reghunadhan Nair, C.P. Non-Conventional Phenolic Resins: An Overview on Recent Advances. J. Sci. Ind. Res. 2002, 61, 17–33. [Google Scholar]
- Mougel, C.; Garnier, T.; Cassagnau, P.; Sintes-Zydowicz, N. Phenolic Foams: A Review of Mechanical Properties, Fire Resistance and New Trends in Phenol Substitution. Polymer 2019, 164, 86–117. [Google Scholar] [CrossRef]
- Yu, Y.; Huang, X.; Yu, W. High Performance of Bamboo-based Fiber Composites from Long Bamboo Fiber Bundles and Phenolic Resins. J. Appl. Polym. Sci. 2014, 131, 40371–40378. [Google Scholar] [CrossRef]
- Abdulganiyu, I.A.; Oguocha, I.N.A.; Odeshi, A.G. Influence of Microfillers Addition on the Flexural Properties of Carbon Fiber Reinforced Phenolic Composites. J. Compos. Mater. 2021, 55, 3973–3988. [Google Scholar] [CrossRef]
- Ku, H.; Rogers, D.; Davey, R.; Cardona, F.; Trada, M. Fracture Toughness of Phenol Formaldehyde Composites: Pilot Study. J. Mater. Eng. Perform. 2008, 17, 85–90. [Google Scholar] [CrossRef][Green Version]
- Asaro, L.; Manfredi, L.B.; Pellice, S.; Procaccini, R.; Rodriguez, E.S. Innovative Ablative Fire Resistant Composites Based on Phenolic Resins Modified with Mesoporous Silica Particles. Polym. Degrad. Stab. 2017, 144, 7–16. [Google Scholar] [CrossRef]
- Kawamoto, A.M.; Pardini, L.C.; Diniz, M.F.; Lourenço, V.L.; Takahashi, M.F.K. Synthesis of a Boron Modified Phenolic Resin. J. Aerosp. Technol. Manag. 2010, 2, 169–182. [Google Scholar] [CrossRef]
- Lucia, A.; van Herwijnen, H.W.G.; Rosenau, T. Wood-Based Resins and Other Bio-Based Binders for the Production of Mineral Wool. Holzforschung 2020, 74, 539–550. [Google Scholar] [CrossRef]
- Thébault, M.; Kandelbauer, A.; Müller, U.; Zikulnig-Rusch, E.; Lammer, H. Factors Influencing the Processing and Technological Properties of Laminates Based on Phenolic Resin Impregnated Papers. Eur. J. Wood Wood Prod. 2017, 75, 785–806. [Google Scholar] [CrossRef]
- Biedermann, M.; Grob, K. Phenolic Resins for Can Coatings: I. Phenol-Based Resole Analysed by GC–MS, GC×GC, NPLC–GC and SEC. LWT-Food Sci. Technol. 2006, 39, 633–646. [Google Scholar] [CrossRef]
- Feng, S.; Yuan, Z.; Leitch, M.; Xu, C.C. Adhesives Formulated from Bark Bio-Crude and Phenol Formaldehyde Resole. Ind. Crops Prod. 2015, 76, 258–268. [Google Scholar] [CrossRef]
- Sarika, P.R.; Nancarrow, P.; Khansaheb, A.; Ibrahim, T. Bio-Based Alternatives to Phenol and Formaldehyde for the Production of Resins. Polymers 2020, 12, 2237. [Google Scholar] [CrossRef] [PubMed]
- Azadi, P.; Inderwildi, O.R.; Farnood, R.; King, D.A. Liquid Fuels, Hydrogen and Chemicals from Lignin: A Critical Review. Renew. Sustain. Energy Rev. 2013, 21, 506–523. [Google Scholar] [CrossRef]
- Melro, E.; Filipe, A.; Sousa, D.; Medronho, B.; Romano, A. Revisiting Lignin: A Tour through Its Structural Features, Characterization Methods and Applications. New J. Chem. 2021, 45, 6986–7013. [Google Scholar] [CrossRef]
- Li, B.; Yuan, Z.; Schmidt, J.; Xu, C.C. New Foaming Formulations for Production of Bio-Phenol Formaldehyde Foams Using Raw Kraft Lignin. Eur. Polym. J. 2019, 111, 1–10. [Google Scholar] [CrossRef]
- Abdelwahab, N.A.; Nassar, M.A. Preparation, Optimisation and Characterisation of Lignin Phenol Formaldehyde Resin as Wood Adhesive. Pigment. Resin Technol. 2011, 40, 169–174. [Google Scholar] [CrossRef]
- Ghorbani, M.; Mahendran, A.R.; van Herwijnen, H.W.G.; Liebner, F.; Konnerth, J. Paper-Based Laminates Produced with Kraft Lignin-Rich Phenol–Formaldehyde Resoles Meet Requirements for Outdoor Usage. Eur. J. Wood Wood Prod. 2018, 76, 481–487. [Google Scholar] [CrossRef]
- Danielson, B.; Simonson, R. Kraft Lignin in Phenol Formaldehyde Resin. Part 1. Partial Replacement of Phenol by Kraft Lignin in Phenol Formaldehyde Adhesives for Plywood. J. Adhes. Sci. Technol. 1998, 12, 923–939. [Google Scholar] [CrossRef]
- Ghorbani, M.; Liebner, F.; van Herwijnen, H.W.G.; Pfungen, L.; Krahofer, M.; Budjav, E.; Konnerth, J. Lignin Phenol Formaldehyde Resoles: The Impact of Lignin Type on Adhesive Properties. BioResources 2016, 11, 6727–6741. [Google Scholar] [CrossRef]
- Hattalli, S.; Benaboura, A.; Ham-Pichavant, F.; Nourmamode, A.; Castellan, A. Adding Value to Alfa Grass (Stipa Tenacissima, L.) Soda Lignin as Phenolic Resins 1. Lignin Characterization. Polym. Degrad. Stab. 2002, 76, 259–264. [Google Scholar] [CrossRef]
- Wang, M.; Leitch, M.; Xu, C.C. Synthesis of Phenol–Formaldehyde Resol Resins Using Organosolv Pine Lignins. Eur. Polym. J. 2009, 45, 3380–3388. [Google Scholar] [CrossRef]
- Tachon, N.; Benjelloun-Mlayah, B.; Delmas, M. Organosolv Wheat Straw Lignin as a Phenol Substitute for Green Phenolic Resins. BioResources 2016, 11, 5797–5815. [Google Scholar] [CrossRef]
- Vithanage, A.E.; Chowdhury, E.; Alejo, L.D.; Pomeroy, P.C.; DeSisto, W.J.; Frederick, B.G.; Gramlich, W.M. Renewably Sourced Phenolic Resins from Lignin Bio-oil. J. Appl. Polym. Sci. 2017, 134, 44827–44836. [Google Scholar] [CrossRef]
- Qiao, W.; Li, S.; Xu, F. Preparation and Characterization of a Phenol-Formaldehyde Resin Adhesive Obtained From Bio-Ethanol Production Residue. Polym. Polym. Compos. 2016, 24, 99–105. [Google Scholar] [CrossRef]
- Ma, Y.; Zhao, X.; Chen, X.; Wang, Z. An Approach to Improve the Application of Acid-Insoluble Lignin from Rice Hull in Phenol–Formaldehyde Resin. Coll. Surf. A. Physicochem. Eng. Asp. 2011, 377, 284–289. [Google Scholar] [CrossRef]
- Li, J.; Wang, W.; Zhang, S.; Gao, Q.; Zhang, W.; Li, J. Preparation and Characterization of Lignin Demethylated at Atmospheric Pressure and Its Application in Fast Curing Biobased Phenolic Resins. RSC Adv. 2016, 6, 67435–67443. [Google Scholar] [CrossRef]
- Li, J.; Zhang, J.; Zhang, S.; Gao, Q.; Li, J.; Zhang, W. Fast Curing Bio-Based Phenolic Resins via Lignin Demethylated under Mild Reaction Condition. Polymers 2017, 9, 428. [Google Scholar] [CrossRef]
- Solt, P.; Rößiger, B.; Konnerth, J.; van Herwijnen, H.W.G. Lignin Phenol Formaldehyde Resoles Using Base-Catalysed Depolymerized Kraft Lignin. Polymers 2018, 10, 1162. [Google Scholar] [CrossRef]
- Melro, E.; Filipe, A.; Valente, A.J.M.; Antunes, F.E.; Romano, A.; Norgren, M.; Medronho, B. Levulinic Acid: A Novel Sustainable Solvent for Lignin Dissolution. Int. J. Biol. Macromol. 2020, 164, 3454–3461. [Google Scholar] [CrossRef]
- Mezger, T. The Rheology Handbook; Vincentz Network: Hanover, Germany, 2020; ISBN 3748603703. [Google Scholar]
- Kim, S.; Kim, H.-S.; Kim, H.-J.; Yang, H.-S. Fast Curing PF Resin Mixed with Various Resins and Accelerators for Building Composite Materials. Constr Build Mater 2008, 22, 2141–2146. [Google Scholar] [CrossRef]
- Hu, L.; Zhou, Y.; Zhang, M.; Liu, R. Characterization and Properties of a Lignosulfonate-Based Phenolic Foam. BioResources 2012, 7, 554–564. [Google Scholar] [CrossRef]
- Wei, R.F.; Li, J.X.; Tang, G.W.; Cang, D.Q. Strength and Consolidation Mechanism of Iron Ore and Coal Pellets. Ironmak. Steelmak. 2014, 41, 514–520. [Google Scholar] [CrossRef]
- Domínguez, J.C.; Oliet, M.; Alonso, M.V.; Rojo, E.; Rodríguez, F. Structural, Thermal and Rheological Behavior of a Bio-Based Phenolic Resin in Relation to a Commercial Resol Resin. Ind. Crops Prod. 2013, 42, 308–314. [Google Scholar] [CrossRef]
- Poljansek, I.; Krajnc, M. Characterization of Phenol-Formaldehyde Prepolymer Resins by in Line FT-IR Spectroscopy. Acta Chim. Slov. 2005, 52, 238. [Google Scholar]
- Zhang, W.; Ma, Y.; Wang, C.; Li, S.; Zhang, M.; Chu, F. Preparation and Properties of Lignin-Phenol-Formaldehyde Resins Based on Different Biorefinery Residues of Agricultural Biomass. Ind. Crops Prod. 2013, 43, 326–333. [Google Scholar] [CrossRef]
- Fernandes, C.; Melro, E.; Magalhães, S.; Alves, L.; Craveiro, R.; Filipe, A.; Valente, A.J.M.; Martins, G.; Antunes, F.E.; Romano, A. New Deep Eutectic Solvent Assisted Extraction of Highly Pure Lignin from Maritime Pine Sawdust (Pinus Pinaster). Int. J. Biol. Macromol. 2021, 177, 294–305. [Google Scholar] [CrossRef]
- Melro, E.; Valente, A.J.M.; Antunes, F.E.; Romano, A.; Medronho, B. Enhancing Lignin Dissolution and Extraction: The Effect of Surfactants. Polymers 2021, 13, 714. [Google Scholar] [CrossRef]
- ASTM-D4426-01; Standard Test Methods for Determination of Percent Nonvolatile Content of Liquid Phenolic Resins Used for Wood Lamination. ASTM International: West Conshohocken, PA, USA, 2006.
- ISO 9397:1995; Determination of Free-Formaldehyde Content—Hydroxylamine Hydrochloride Method. International Organization for Standardization: Geneva, Switzerland, 1995.
- Zhou, M.; Shi, H.; Li, C.; Sheng, X.; Sun, Y.; Hou, M.; Niu, M.; Pan, X. Depolymerization and Activation of Alkali Lignin by Solid Acid-Catalyzed Phenolation for Preparation of Lignin-Based Phenolic Foams. Ind. Eng. Chem. Res. 2020, 59, 14296–14305. [Google Scholar] [CrossRef]
- Hajikarimi, P.; Moghadas Nejad, F. Chapter 7—Application of Viscoelasticity for Experimental Tests. In Applications of Viscoelasticity; Hajikarimi, P., Moghadas Nejad, F., Eds.; Elsevier: Amsterdam, The Netherlands, 2021; pp. 141–180. ISBN 978-0-12-821210-3. [Google Scholar]







| Resin | Type of Lignin | NaOH (wt%) | pH | Solid Content (wt%) | Free Formaldehyde Content (wt%) | Chemically Unbound Lignin (wt%) |
|---|---|---|---|---|---|---|
| PF | 2 | 9.4 | 49.1 ± 0.7 | 0.26 ± 0.02 | - | |
| 30 wt% BPF | Dealkaline | 2 | 9.2 | 50.5 ± 0.1 | 0.75 ± 0.03 | 1.5 ± 0.1 |
| Alkaline | 2 | 9.9 | 51.2 ± 0.3 | 0.44 ± 0.06 | 0.28 ± 0.02 | |
| Lignosulfonate | 2 | 9.6 | 50.1 ± 0.4 | 0.49 ± 0.04 | 1.6 ± 0.0 | |
| Lignin-LA | 2 | 8.4 | 52.1 ± 0.4 | 1.84 ± 0.03 | 2.2 ± 0.1 | |
| 3 | 9.4 | 52.8 ± 0.0 | 0.70 ± 0.05 | 1.1 ± 0.2 | ||
| 50 wt% BPF | Dealkaline | 2 | 8.6 | 55.8 ± 0.8 | 1.27 ± 0.03 | 5.2 ± 0.6 |
| 3 | 9.2 | 54.4 ± 0.4 | 0.65 ± 0.04 | 0.89 ± 0.15 | ||
| Alkaline | 2 | 10.3 | 56.7 ± 0.3 | 0.51 ± 0.06 | 0.68 ± 0.03 | |
| Lignosulfonate | 2 | 9.5 | 53.3 ± 0.1 | 0.52 ± 0.02 | 4.4 ± 0.1 | |
| Lignin-LA | 2 | 7.4 | 48.2 ± 0.5 | 7.98 ± 0.05 | 21 ± 1 | |
| 3 | 8.3 | 57.7 ± 0.3 | 1.20 ± 0.02 | 3.1 ± 0.7 | ||
| 4 | 9.6 | 59.8 ± 0.2 | 0.77 ± 0.08 | 3.8 ± 0.8 |
| Resin | First Thermal Event Tmax (°C) | Second Thermal Event Tmax (°C) | Third Thermal Event Tmax (°C) | Weight Residue at 600 °C (wt%) | |
|---|---|---|---|---|---|
| Without lignin | 202 | 396 | 509 | 61.3 | |
| Type of lignin | wt% Phenol replaced | ||||
| Dealkaline lignin | 30 | 203 | 382 | 515 | 62.7 |
| 50 | 197 | 367 | 512 | 66.7 | |
| Alkaline lignin | 30 | 215 | 375 | 516 | 67.2 |
| 50 | 233 | 367 | 507 | 69.2 | |
| Lignosulfonate | 30 | 213 | 375 | 516 | 77.5 |
| 50 | 224 | 369 | 496 | 63.6 | |
| Lignin-LA | 30 | 186 | 375 | 489 | 60.3 |
| 50 | 186 | 373 | 478 | 58.0 | |
Publisher’s Note: MDPI stays neutral with regard to jurisdictional claims in published maps and institutional affiliations. |
© 2022 by the authors. Licensee MDPI, Basel, Switzerland. This article is an open access article distributed under the terms and conditions of the Creative Commons Attribution (CC BY) license (https://creativecommons.org/licenses/by/4.0/).
Share and Cite
Melro, E.; Antunes, F.E.; Valente, A.J.M.; Duarte, H.; Romano, A.; Medronho, B. On the Development of Phenol-Formaldehyde Resins Using a New Type of Lignin Extracted from Pine Wood with a Levulinic-Acid Based Solvent. Molecules 2022, 27, 2825. https://doi.org/10.3390/molecules27092825
Melro E, Antunes FE, Valente AJM, Duarte H, Romano A, Medronho B. On the Development of Phenol-Formaldehyde Resins Using a New Type of Lignin Extracted from Pine Wood with a Levulinic-Acid Based Solvent. Molecules. 2022; 27(9):2825. https://doi.org/10.3390/molecules27092825
Chicago/Turabian StyleMelro, Elodie, Filipe E. Antunes, Artur J. M. Valente, Hugo Duarte, Anabela Romano, and Bruno Medronho. 2022. "On the Development of Phenol-Formaldehyde Resins Using a New Type of Lignin Extracted from Pine Wood with a Levulinic-Acid Based Solvent" Molecules 27, no. 9: 2825. https://doi.org/10.3390/molecules27092825
APA StyleMelro, E., Antunes, F. E., Valente, A. J. M., Duarte, H., Romano, A., & Medronho, B. (2022). On the Development of Phenol-Formaldehyde Resins Using a New Type of Lignin Extracted from Pine Wood with a Levulinic-Acid Based Solvent. Molecules, 27(9), 2825. https://doi.org/10.3390/molecules27092825

