Levonorgestrel Microneedle Array Patch for Sustained Release Contraception: Formulation, Optimization and In Vivo Characterization
Abstract
:1. Introduction
2. Materials and Methods
2.1. Materials
2.2. Methods
2.2.1. Preparation of Liposomes
2.2.2. Characterization of Liposomes
Measurement of Particle Diameter and Zeta Potential
Determination of Drug Loading and Encapsulation Efficiency
Cryo High-Resolution Transmission Electron Microscopy (Cryo HR TEM)
Cryo Field Emission Gun Scanning Electron Microscopy (Cryo FEG SEM)
2.2.3. Fabrication of Microneedle Array Patch
2.2.4. Characterization of LNG Liposome-Loaded Microneedle Array Patch
Microscopy Study
Field Emission Gun Scanning Electron Microscopy (FEG SEM)
In Vitro Drug Release
Mechanical Strength Study
Skin Piercing Study
Skin Irritancy Study
2.2.5. Statistical Analysis
3. Results and Discussion
3.1. Preparation of LNG Loaded Liposomes
3.2. Characterization of Liposomes
3.2.1. Particle Size, Polydispersity Index, and Zeta Potential
3.2.2. Encapsulation Efficiency
3.2.3. Cryo High-Resolution Transmission Electron Microscopy (Cryo HR TEM)
3.2.4. Cryo Field Emission Gun Scanning Electron Microscopy (Cryo FEG SEM)
4. Fabrication of Microneedle Array Patch
5. Characterization of LNG Liposome-Loaded Microneedle Array Patch
5.1. Microscopy Study
5.2. Scanning Electron Microscopy (SEM) Study
5.3. In Vitro Release Study
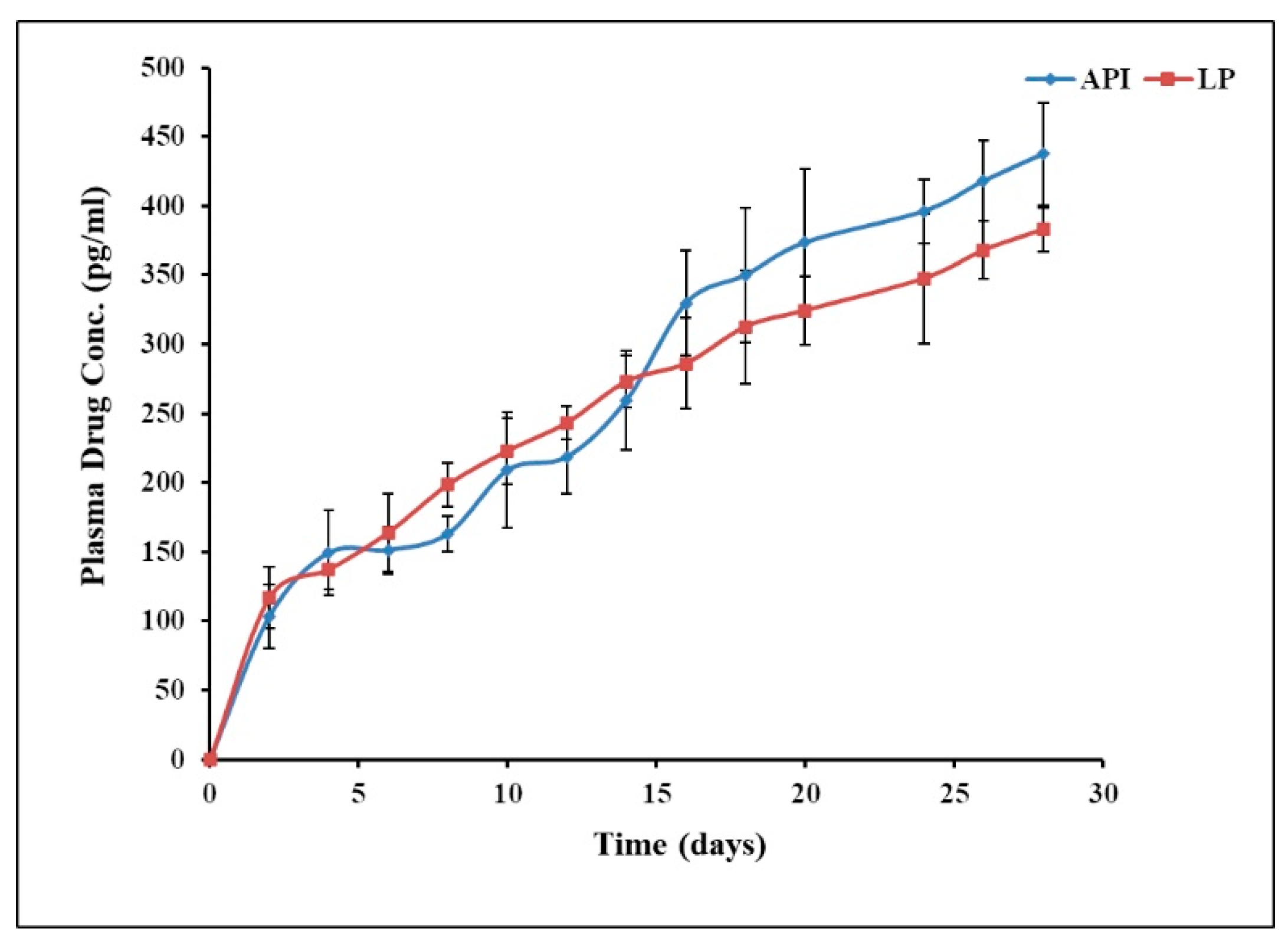
5.4. In Vivo Study in Rats
5.5. Mechanical Strength Study
5.6. Skin Piercing Study
5.7. Skin Irritation Study
6. Conclusions
Supplementary Materials
Author Contributions
Funding
Institutional Review Board Statement
Informed Consent Statement
Data Availability Statement
Acknowledgments
Conflicts of Interest
Abbreviations
| Term | Full Form |
| Cryo FEG SEM | Cryo Field Emission Gun Scanning Electron Microscopy |
| Cryo HR TEM | Cryo High-Resolution Transmission Electron Microscopy |
| DL | Drug loading |
| EE | Entrapment Efficiency |
| HPLC | High-Performance Liquid Chromatography |
| LNG | Levonorgestrel |
| LP | Liposomes |
| MNP | Microneedle Array Patch |
| PDA | Photodiode array |
| PS | Particle size |
References
- Amory, J.K. Development of novel male contraceptives. Clin. Transl. Sci. 2020, 13, 228–237. [Google Scholar] [CrossRef] [Green Version]
- Badran, M.; Kuntsche, J.; Fahr, A. Skin penetration enhancement by a microneedle device (Dermaroller®) in vitro: Dependency on needle size and applied formulation. Eur. J. Pharm. Sci. 2009, 36, 511–523. [Google Scholar] [CrossRef] [PubMed]
- Barry, B.; Barry, B. Mode of action of penetration enhancers in human skin. J. Control. Release 1987, 6, 85–97. [Google Scholar] [CrossRef]
- Baxa, U. Imaging of liposomes by transmission electron microscopy. In Characterization of Nanoparticles Intended for Drug Delivery; Springer: Berlin/Heidelberg, Germany, 2018; pp. 73–88. [Google Scholar]
- Bediz, B.; Korkmaz, E.; Khilwani, R.; Donahue, C.; Erdos, G.; Falo, L.D.; Ozdoganlar, O.B. Dissolvable Microneedle Arrays for Intradermal Delivery of Biologics: Fabrication and Application. Pharm. Res. 2013, 31, 117–135. [Google Scholar] [CrossRef] [Green Version]
- Bhatnagar, S.; Bankar, N.G.; Kulkarni, M.V.; Venuganti, V.V.K. Dissolvable microneedle patch containing doxorubicin and docetaxel is effective in 4T1 xenografted breast cancer mouse model. Int. J. Pharm. 2019, 556, 263–275. [Google Scholar] [CrossRef]
- Bhatt, P.; Lalani, R.; Vhora, I.; Patil, S.; Amrutiya, J.; Misra, A.; Mashru, R. Liposomes encapsulating native and cyclodextrin enclosed paclitaxel: Enhanced loading efficiency and its pharmacokinetic evaluation. Int. J. Pharm. 2018, 536, 95–107. [Google Scholar] [CrossRef]
- Charcosset, C.; Juban, A.; Valour, J.-P.; Urbaniak, S.; Fessi, H. Preparation of liposomes at large scale using the ethanol injection method: Effect of scale-up and injection devices. Chem. Eng. Res. Des. 2015, 94, 508–515. [Google Scholar] [CrossRef]
- Chen, C.M.; Lai, K.-Y.; Ling, M.-H.; Lin, C.-W. Enhancing immunogenicity of antigens through sustained intra-dermal delivery using chitosan microneedles with a patch-dissolvable design. Acta Biomater. 2018, 65, 66–75. [Google Scholar] [CrossRef]
- Chen, C.M.; Ling, M.-H.; Lai, K.-Y.; Pramudityo, E. Chitosan microneedle patches for sustained transdermal delivery of macromolecules. Biomacromolecules 2012, 13, 4022–4031. [Google Scholar] [CrossRef]
- Chu, Y.L.; Choi, S.-O.; Prausnitz, M.R. Fabrication of dissolving polymer microneedles for controlled drug en-capsulation and delivery: Bubble and pedestal microneedle designs. J. Pharm. Sci. 2010, 99, 4228–4238. [Google Scholar] [CrossRef]
- Chu, Y.L.; Prausnitz, M.R. Separable arrowhead microneedles. J. Control. Release 2011, 149, 242–249. [Google Scholar] [CrossRef] [PubMed] [Green Version]
- Colletier, J.-P.; Chaize, B.; Winterhalter, M.; Fournier, D. Protein encapsulation in liposomes: Efficiency depends on interactions between protein and phospholipid bilayer. BMC Biotechnol. 2002, 2, 9. [Google Scholar] [CrossRef] [PubMed] [Green Version]
- Don, T.-M.; Chen, M.; Lee, I.-C.; Huang, Y.-C. Preparation and characterization of fast dissolving ulvan microneedles for transdermal drug delivery system. Int. J. Biol. Macromol. 2022, 207, 90–99. [Google Scholar] [CrossRef] [PubMed]
- Dugam, S.; Tade, R.; Dhole, R.; Nangare, S. Emerging era of microneedle array for pharmaceutical and biomedical applications: Recent advances and toxicological perspectives. Futur. J. Pharm. Sci. 2021, 7, 19. [Google Scholar] [CrossRef]
- Elahpour, N.; Pahlevanzadeh, F.; Kharaziha, M.; Bakhsheshi-Rad, H.R.; Ramakrishna, S.; Berto, F. 3D printed microneedles for transdermal drug delivery: A brief review of two decades. Int. J. Pharm. 2021, 597, 120301. [Google Scholar] [CrossRef]
- Francoeur, M.L.; Golden, G.M.; Potts, R.O. Oleic Acid: Its Effects on Stratum Corneum in Relation to (Trans)Dermal Drug Delivery. Pharm. Res. 1990, 7, 621–627. [Google Scholar] [CrossRef] [PubMed]
- Gouda, A.; Sakr, O.S.; Nasr, M.; Sammour, O. Ethanol injection technique for liposomes formulation: An insight into development, influencing factors, challenges and applications. J. Drug Deliv. Sci. Technol. 2021, 61, 102174. [Google Scholar] [CrossRef]
- Halpern, V.; Stalter, R.M.; Owen, D.H.; Dorflinger, L.J.; Lendvay, A.; Rademacher, K.H. Towards the development of a longer-acting injectable contraceptive: Past research and current trends. Contraception 2015, 92, 3–9. [Google Scholar] [CrossRef] [Green Version]
- Jin, X.; Zhu, D.D.; Chen, B.Z.; Ashfaq, M.; Guo, X.D. Insulin delivery systems combined with microneedle technology. Adv. Drug Deliv. Rev. 2018, 127, 119–137. [Google Scholar] [CrossRef]
- Ke, J.C.; Lin, Y.-J.; Hu, Y.-C.; Chiang, W.-L.; Chen, K.-J.; Yang, W.-C.; Liu, H.-L.; Fu, C.-C.; Sung, H.-W. Multidrug release based on microneedle arrays filled with pH-responsive PLGA hollow microspheres. Biomaterials 2012, 33, 5156–5165. [Google Scholar] [CrossRef]
- Kim, -C.Y.; Park, J.-H.; Prausnitz, M.R. Microneedles for drug and vaccine delivery. Adv. Drug Deliv. Rev. 2012, 64, 1547–1568. [Google Scholar] [CrossRef] [PubMed] [Green Version]
- Kurano, T.; Kanazawa, T.; Ooba, A.; Masuyama, Y.; Maruhana, N.; Yamada, M.; Iioka, S.; Ibaraki, H.; Kosuge, Y.; Kondo, H.; et al. Nose-to-brain/spinal cord delivery kinetics of liposomes with different surface properties. J. Control. Release 2022. [Google Scholar] [CrossRef]
- Law, S.; Huang, K.; Chou, H. Preparation of desmopressin-containing liposomes for intranasal delivery. J. Control. Release 2001, 70, 375–382. [Google Scholar] [CrossRef]
- Lee, J.W.; Choi, S.-O.; Felner, E.I.; Prausnitz, M.R. Dissolving Microneedle Patch for Transdermal Delivery of Human Growth Hormone. Small 2011, 7, 531–539. [Google Scholar] [CrossRef] [Green Version]
- Lee, K.; Lee, C.Y.; Jung, H. Dissolving microneedles for transdermal drug administration prepared by stepwise controlled drawing of maltose. Biomaterials 2011, 32, 3134–3140. [Google Scholar] [CrossRef]
- Lee, Y.; Li, W.; Tang, J.; Schwendeman, S.P.; Prausnitz, M.R. Immediate detachment of microneedles by interfacial fracture for sustained delivery of a contraceptive hormone in the skin. J. Control. Release 2021, 337, 676–685. [Google Scholar] [CrossRef]
- Li, W.; Li, S.; Fan, X.; Prausnitz, M.R. Microneedle patch designs to increase dose administered to human subjects. J. Control. Release 2021, 339, 350–360. [Google Scholar] [CrossRef]
- Mady, M.M.; Darwish, M.M.; Khalil, S.; Khalil, W.M. Biophysical studies on chitosan-coated liposomes. Eur. Biophys. J. 2009, 38, 1127–1133. [Google Scholar] [CrossRef]
- McCrudden, T.M.; Alkilani, A.Z.; McCrudden, C.M.; McAlister, E.; McCarthy, H.O.; Woolfson, A.D.; Donnelly, R.F. Design and physicochemical characterisation of novel dissolving polymeric microneedle arrays for transdermal delivery of high dose, low molecular weight drugs. J. Control. Release 2014, 180, 71–80. [Google Scholar] [CrossRef] [PubMed] [Green Version]
- Men, Z.; Lu, X.; He, T.; Wu, M.; Su, T.; Shen, T. Microneedle patch-assisted transdermal administration of recombinant hirudin for the treatment of thrombotic diseases. Int. J. Pharm. 2021, 612, 121332. [Google Scholar] [CrossRef] [PubMed]
- Moniz, T.; Lima, S.A.C.; Reis, S. Marine polymeric microneedles for transdermal drug delivery. Carbohydr. Polym. 2021, 266, 118098. [Google Scholar] [CrossRef] [PubMed]
- Nguyen, X.H.; Bozorg, B.D.; Kim, Y.; Wieber, A.; Birk, G.; Lubda, D.; Banga, A.K. Poly (vinyl alcohol) microneedles: Fabrication, characterization, and application for transdermal drug delivery of doxorubicin. Eur. J. Pharm. Biopharm. 2018, 129, 88–103. [Google Scholar] [CrossRef] [PubMed]
- Panwar, P.; Pandey, B.; Lakhera, P.C.; Singh, K.P. Preparation, characterization, and in vitro release study of albendazole-encapsulated nanosize liposomes. Int. J. Nanomed. 2010, 5, 101–108. [Google Scholar]
- Paredes, A.J.; McKenna, P.E.; Ramöller, I.K.; Naser, Y.A.; Volpe-Zanutto, F.; Li, M.; Abbate, M.T.A.; Zhao, L.; Zhang, C.; Abu-Ershaid, J.M.; et al. Microarray Patches: Poking a Hole in the Challenges Faced When Delivering Poorly Soluble Drugs. Adv. Funct. Mater. 2020, 31. [Google Scholar] [CrossRef]
- Petitti, B.D.; Sidney, S.; Bernstein, A.; Wolf, S.; Quesenberry, C.; Ziel, H.K. Stroke in users of low-dose oral contraceptives. N. Engl. J. Med. 1996, 335, 8–15. [Google Scholar] [CrossRef]
- PRB. Family Planning Data Sheet. 2019. Available online: https://www.prb.org/2019-family-planning-data-sheet-highlights-family-planning-method-use-around-the-world (accessed on 31 August 2021).
- Sahatsapan, N.; Pamornpathomkul, B.; Rojanarata, T.; Ngawhirunpat, T.; Poonkhum, R.; Opanasopit, P.; Patrojanasophon, P. Feasibility of mucoadhesive chitosan maleimide-coated liposomes for improved buccal delivery of a protein drug. J. Drug Deliv. Sci. Technol. 2022, 69, 103173. [Google Scholar] [CrossRef]
- Saupe, A.; Gordon, K.C.; Rades, T. Structural investigations on nanoemulsions, solid lipid nanoparticles and nanostructured lipid carriers by cryo-field emission scanning electron microscopy and Raman spectroscopy. Int. J. Pharm. 2006, 314, 56–62. [Google Scholar] [CrossRef]
- Sedgh, G.; Bearak, J.; Singh, S.; Bankole, A.; Popinchalk, A.; Ganatra, B.; Rossier, C.; Gerdts, C.; Tunçalp, Ö.; Johnson, B.R., Jr. Abortion incidence between 1990 and 2014: Global, regional, and subregional levels and trends. Lancet 2016, 388, 258–267. [Google Scholar] [CrossRef] [Green Version]
- Shah, K.A.; Date, A.; Joshi, M.; Patravale, V.B. Solid lipid nanoparticles (SLN) of tretinoin: Potential in topical delivery. Int. J. Pharm. 2007, 345, 163–171. [Google Scholar] [CrossRef]
- Sitruk-Ware, R.; Nath, A.; Mishell, D.R. Contraception technology: Past, present and future. Contraception 2013, 87, 319–330. [Google Scholar] [CrossRef] [Green Version]
- Sivin, I.; Lähteenmäki, P.; Mishell, D.R.; Alvarez, F.; Diaz, S.; Ranta, S.; Grozinger, C.; Lacarra, M.; Brache, V.; Pavez, M.; et al. First week drug concentrations in women with levonorgestrel rod or Norplant® capsule implants. Contraception 1997, 56, 317–321. [Google Scholar] [CrossRef]
- Song, R.; Murphy, M.; Li, C.; Ting, K.; Soo, C.; Zheng, Z. Current development of biodegradable polymeric materials for biomedical applications. Drug Des. Dev. Ther. 2018, 12, 3117–3145. [Google Scholar] [CrossRef] [Green Version]
- Spuch, C.; Navarro, C. Liposomes for Targeted Delivery of Active Agents against Neurodegenerative Diseases (Alzheimer’s Disease and Parkinson’s Disease). J. Drug Deliv. 2011, 2011, 469679. [Google Scholar] [CrossRef] [Green Version]
- Sriwidodo; Umar, A.K.; Wathoni, N.; Zothantluanga, J.H.; Das, S.; Luckanagul, J.A. Liposome-polymer complex for drug delivery system and vaccine stabilization. Heliyon 2022, 8. [Google Scholar] [CrossRef] [PubMed]
- Takeuchi, Y.H.; Yasukawa, Y.; Yamaoka, Y.; Kato, Y.; Morimoto, Y.; Fukumori, Y.; Fukuda, T. Effects of fatty acids, fatty amines and propylene glycol on rat stratum corneum lipids and proteins in vitro measured by Fourier transform infra-red/attenuated total reflection (FT-IR/ATR) spectroscopy. Chem. Pharm. Bull. 1992, 40, 1887–1892. [Google Scholar] [CrossRef] [PubMed] [Green Version]
- Verma, D.D.; Verma, S.; Blume, G.; Fahr, A. Particle size of liposomes influences dermal delivery of substances into skin. Int. J. Pharm. 2003, 258, 141–151. [Google Scholar] [CrossRef]
- Wang, B.; Zhang, S.; Zhao, X.; Lian, J.; Gao, Y. Preparation, characterization, and in vivo evaluation of levonorgestrel-loaded thermostable microneedles. Drug Deliv. Transl. Res. 2021, 12, 944–956. [Google Scholar] [CrossRef] [PubMed]
- Wang, S.; Zhang, L.; Lin, F.; Sa, X.; Zuo, J.; Shao, Q.; Chen, G.; Zeng, S. Controlled release of levonorgestrel from biodegradable poly(d,l-lactide-co-glycolide) microspheres: In vitro and in vivo studies. Int. J. Pharm. 2005, 301, 217–225. [Google Scholar] [CrossRef]
- WHO. Family Planning: A Global Handbook for Providers. 2018. Available online: https://apps.who.int/iris/bitstream/handle/10665/260156/9780999203705-eng.pdf?sequence=1 (accessed on 2 September 2021).
- Wu, L.; Janagam, D.R.; Mandrell, T.D.; Johnson, J.R.; Lowe, T.L. Long-Acting Injectable Hormonal Dosage Forms for Contraception. Pharm. Res. 2015, 32, 2180–2191. [Google Scholar] [CrossRef]
- Xu, X.; Costa, A.; Burgess, D.J. Protein Encapsulation in Unilamellar Liposomes: High Encapsulation Efficiency and A Novel Technique to Assess Lipid-Protein Interaction. Pharm. Res. 2012, 29, 1919–1931. [Google Scholar] [CrossRef]
- Yang, -Z.Z.; Zhang, Y.-Q.; Wang, Z.-Z.; Wu, K.; Lou, J.-N.; Qi, X.-R. Enhanced brain distribution and pharmaco-dynamics of rivastigmine by liposomes following intranasal administration. Int. J. Pharm. 2013, 452, 344–354. [Google Scholar] [CrossRef] [PubMed]





| Ingredients | Batch No | |||||
|---|---|---|---|---|---|---|
| L1 (1:5) | L2 (1:7) | L3 (1:10) | L4 (5:5) | L5 (6:4) | L6 (7:3) | |
| Levonorgestrel (mg) | 10 | 10 | 10 | 10 | 10 | 10 |
| Soya PC (mg) | 43.13 | 60.40 | 86.26 | 36.42 | 40.06 | 43.12 |
| Oleic acid (mg) | 6.87 | 9.60 | 13.74 | 13.58 | 9.94 | 6.88 |
| Ethanol (mL) | 2.5 | 2.5 | 2.5 | 2.5 | 2.5 | 2.5 |
| Phosphate buffer pH 7.4 (mL) | 10 | 10 | 10 | 10 | 10 | 10 |
| Batch No. | Particle Size (nm) | Polydispersity Index (PDI) | Zeta Potential (mV) | Entrap. Efficiency (%) |
|---|---|---|---|---|
| L1 | 207 ± 4.21 | 0.216 ± 0.006 | −8 ± 2 | 65.34 ± 5.44 |
| L2 | 231 ± 6.22 | 0.249 ± 0.008 | −11 ± 3 | 71.32 ± 3.06 |
| L3 | 245 ± 7.15 | 0.338 ± 0.005 | −14 ± 3 | 82.14 ± 4.85 |
| L4 | 189 ± 5.15 | 0.315 ± 0.007 | −5 ± 1 | 77.11 ± 6.49 |
| L5 | 169 ± 6.88 | 0.305 ± 0.004 | −9 ± 2 | 80.54 ± 3.29 |
| L6 | 157 ± 4.54 | 0.231 ± 0.007 | −19 ± 4 | 85.24 ± 6.15 |
Publisher’s Note: MDPI stays neutral with regard to jurisdictional claims in published maps and institutional affiliations. |
© 2022 by the authors. Licensee MDPI, Basel, Switzerland. This article is an open access article distributed under the terms and conditions of the Creative Commons Attribution (CC BY) license (https://creativecommons.org/licenses/by/4.0/).
Share and Cite
Rajput, A.; Osmani, R.A.M.; Khire, A.; Jaiswal, S.; Banerjee, R. Levonorgestrel Microneedle Array Patch for Sustained Release Contraception: Formulation, Optimization and In Vivo Characterization. Molecules 2022, 27, 2349. https://doi.org/10.3390/molecules27072349
Rajput A, Osmani RAM, Khire A, Jaiswal S, Banerjee R. Levonorgestrel Microneedle Array Patch for Sustained Release Contraception: Formulation, Optimization and In Vivo Characterization. Molecules. 2022; 27(7):2349. https://doi.org/10.3390/molecules27072349
Chicago/Turabian StyleRajput, Amarjitsing, Riyaz Ali M. Osmani, Achyut Khire, Sanket Jaiswal, and Rinti Banerjee. 2022. "Levonorgestrel Microneedle Array Patch for Sustained Release Contraception: Formulation, Optimization and In Vivo Characterization" Molecules 27, no. 7: 2349. https://doi.org/10.3390/molecules27072349
APA StyleRajput, A., Osmani, R. A. M., Khire, A., Jaiswal, S., & Banerjee, R. (2022). Levonorgestrel Microneedle Array Patch for Sustained Release Contraception: Formulation, Optimization and In Vivo Characterization. Molecules, 27(7), 2349. https://doi.org/10.3390/molecules27072349

