Next Article in Journal
Vegetables and Their Bioactive Compounds as Anti-Aging Drugs
Next Article in Special Issue
Effects of Artemisia macrocephala Jacquem on Memory Deficits and Brain Oxidative Stress in Streptozotocin-Induced Diabetic Mice
Previous Article in Journal
The Potential of 2-Substituted Quinolines as Antileishmanial Drug Candidates
Previous Article in Special Issue
Structure-Based Molecular Networking for the Discovery of Anti-HBV Compounds from Saussurea lappa (Decne.) C.B Clarke
 
 
Font Type:
Arial Georgia Verdana
Font Size:
Aa Aa Aa
Line Spacing:
Column Width:
Background:
Article

HESI-MS/MS Analysis of Phenolic Compounds from Calendula aegyptiaca Fruits Extracts and Evaluation of Their Antioxidant Activities

1
Laboratory of Organic Chemistry LR17ES08, Natural Substances Team, Faculty of Sciences of Sfax, University of Sfax, P.O. Box 1171, Sfax 3000, Tunisia
2
Equipe BTSB-EA 7417, Institut National Universitaire Jean-François Champollion, Université de Toulouse, Place de Verdun, 81012 Albi, France
*
Author to whom correspondence should be addressed.
Molecules 2022, 27(7), 2314; https://doi.org/10.3390/molecules27072314
Submission received: 15 March 2022 / Revised: 28 March 2022 / Accepted: 31 March 2022 / Published: 2 April 2022
(This article belongs to the Special Issue Discovery of Bioactive Ingredients from Natural Products, 2nd Edition)

Abstract

:
Considering medicinal plants as an inexhaustible source of active ingredients that may be easily isolated using simple and inexpensive techniques, phytotherapy is becoming increasingly popular. Various experimental approaches and analytical methods have been used to demonstrate that the genus Calendula (Asteraceae) has a particular richness in active ingredients, especially phenolic compounds, which justifies the growing interest in scientific studies on this genus’ species. From a chemical and biological viewpoint, Calendula aegyptiaca is a little-studied plant. For the first time, high-performance liquid chromatography combined with negative electrospray ionization mass spectrometry (HPLC-HESI-MS) was used to analyze methanolic extracts of Calendula aegyptiaca (C. aegyptiaca) fruits. Thirty-five molecules were identified. Flavonoids (47.87%), phenolic acids (5.18%), and saponins (6.47%) formed the majority of these chemicals. Rutin, caffeic acid hexoside, and Soyasaponin βg’ were the most abundant molecules in the fruit methanolic extract, accounting for 17.49% of total flavonoids, 2.32 % of total phenolic acids, and 0.95% of total saponins, respectively. The antioxidant activity of the fruit extracts of C. aegyptiaca was investigated using FRAP, TAC, and DPPH as well as flavonoids and total phenols content. Because the phenolic components were more extractable using polar solvents, the antioxidant activity of the methanolic extract was found to be higher than that of the dichloromethane and hexane extracts. The IC50 value for DPPH of methanolic extract was found to be 0.041 mg·mL−1. Our findings showed that C. aegyptiaca is an important source of physiologically active compounds.

1. Introduction

Medicinal plants have a variety of biological and therapeutic properties that are helpful to one’s health and effective in the treatment of a variety of disorders [1]. In both a therapeutic and preventive context, these natural resources have the potential to be a viable alternative to synthetic medications. Tunisia has the most diverse flora in North Africa. This wealth is due to the geographic and climatic changes observed from north to south of the country. Nonetheless, from a phytochemical and biological point of view, this floristic fortune has only briefly been examined. The Asteraceae are angiosperms’ most important family, with around 25,000 species grouped into 1600 genus [2]. Calendula is the most well known of the Asteraceae family, with roughly 25 species (C. officinalis and C. arvensis…). From an economic and medicinal standpoint, this genus is extremely valuable. Indeed, several species of Calendula are used in a variety of goods nowadays. It has been shown in the literature to have anti-inflammatory, healing, anticancer, antidiabetic, and gastro-protective activities [3]. Considering the widespread use of this genus, the current research intended to investigate a novel plant, C. aegyptiaca. This plant is mainly found in Africa (Tunisia, Egypt, Algeria, Morocco, and Chad) and Europe (Spain and Portugal). Generally, polar extraction solvents such as methanol are used to obtain extracts rich in bioactive metabolites. As a result, the methanolic extract of the fruits of C. aegyptiaca was chosen in this work for a structural examination of particular molecules, which are primarily responsible for the antioxidant property described in this paper. Compound identification was performed using HPLC-HESI-MS.

2. Results and Discussions

2.1. Extraction

The maceration method is based on the degree of solubility of organic molecules in organic solvents [4]. The selection of an appropriate extraction solvent is required for plant materials that include many components. The extract had a dark brownish color in methanol (MeOH), a greenish color in dichloromethane (DCM), and a yellowish color in n-hexane. The findings revealed that fruits’ ingredients were best soluble in polar solvents (MeOH). The resulting extract exhibited the highest yield, which was 9.67%. In the n-hexane and DCM extracts, lower yields were recorded (Table 1).

2.2. Total Phenolics and Flavonoids Contents of Various Extracts from C. aegyptiaca Fruits

Two families of chemicals were detected in all extracts: phenolic acids and flavonoids. Total phenolics and flavonoids contents of C. aegyptiaca fruits extracts, expressed in mg of gallic acid equivalent per g of dried extract (mg GAE/g DE) and mg of quercetin equivalent per g of dried extract (mg QE/g DE), respectively, are summarized in Table 2. The MeOH extract had a higher concentration of phenolic acids (275.38 mg GAE/g DE) and flavonoids (204.57 mg QE/g DE) than the DCM and hexane extracts (p 0.05).
There was no information on the total phenol and flavonoid contents of Calendula species fruits in previous studies. In comparison to C. arvensis flowers, total phenols and flavonoids contents of dried MeOH extract did not exceed 118.18 mg GAE/g and 74.14 mg QE/g, respectively [5]. This result indicates the richness of C. aegyptiaca fruits in phenols, mainly flavonoids.

2.3. Phytochemical Constituents

LC–MS/MS was used to describe and characterize the major metabolites found in C. aegyptiaca’s methanolic extract of fruits. Figure 1 depicts the total ion mass chromatogram profile of this extract. Table 3 shows the MS/MS data of the substances which were tentatively identified.
Thirty-five compounds were identified according to the literature data and LC/HESI-MS fragmentation. Peaks 14, 14, and 16 were identified as phenolic acids. Peaks 612 and 1719 were identified as flavonoids. Peaks 21, 22, 25, 27, 28, 3437, 39, and 4245 were assigned as saponins. Peaks 24, 41, 46, and 50 were identified as fatty acids.
Peak 1 (TR = 6.31 min, 2.32%) exhibited a molecular ion [M-H] at m/z 341, and its MS2 fragmentation gave a base peak at m/z 179 due to the loss of an hexoside moiety [M-H-162]. The obtained fragment was characteristic of deprotonated caffeic acid. Fragments at m/z 161 and m/z 135 were characteristic of the loss of water [M-H-162-18] and carbon dioxide [M-H-162-44], respectively. Therefore, compound 1 could be attributed to caffeic acid hexoside [6].
Peak 2 (TR = 8.15 min) presented a pseudo molecular ion [M-H] at m/z 315. Analysis of MS2 spectra of this compound showed fragments at m/z 153 (base peak) and m/z 109 corresponding to the loss of an hexose [M-H-162] and carbon dioxide [M-H-162-44], respectively. Thus, this compound could be tentatively proposed as Protocatechuic acid-4-O-hexoside [7].
Peaks 3, 4, and 14 at TR = 8.51, 11.06, and 18.74 min, respectively, resulted in the observation of a common ion at m/z 191 that could be attributed to quinic acid. Peak 3 was identified as quinic acid due to its molecular ion [M-H] at m/z 191 and other characteristic fragments m/z 173 [M-H-18] (loss of H2O), m/z 171 [M-20] (losses of H2O and H2), m/z 127 [M-H-64] (losses of H2O, CO2 and H2), m/z 109 [M-H-82] (losses of 2H2O, CO2 and H2), and m/z 93 [phenol moiety] [8]. Peak 4 was proved to be chlorogenic acid with a molecular ion [M-H] at m/z 353 and MS2 fragment ion at m/z, 191 [9,10]. Peak 14 showed [M-H] ions at m/z 515 and produced daughter ions at m/z 353 (glucose loss), 335 and 317 (caffeoyl quinic acid loss), 299 (water loss), 255 (carbon dioxide loss), and 191 (deprotonated caffeic acid). According to the fragmentation scheme suggested by Michael et al., this compound was identified as 1, 4-di-O-caffeoylquinic acid [11].
Peaks 6 and 18, revealed at TR = 13.42 and 20.88 min, respectively, corresponded to apigenin derivatives. The first, identified as apigenin C-hexoside-C-pentoside [12], generated a parent ion peak [M-H] at m/z 563 and daughter ion peaks at m/z 503 [M-H-C2H4O2], m/z 473 [M-H-C3H6O3], m/z 443 [M-H-C4H8O4], m/z 383 [M-H-C3H6O3-C2H4O2-CH2O], and m/z 353 [M-H-C4H8O4-C3H6O3]. The second, with the same molecular ion, was identified as apigenin-O-hexosylpentosyl [13], and its fragmentation led to a fragment ion at m/z 401 [M-H-162] resulting from hexose loss.
Peaks 79, 11, and 19 were identified as quercetin derivatives due to a characteristic fragment ion at m/z 301. Peak 7 (TR = 13.82, 8.8%) showed [M-H] at m/z 625. This deprotonated molecular ion generated [M-H-C12H20O10], [M-H-C12H20O10-CH2O], and [M-H-C12H20O10-CO-H2O] ions at m/z 301, 271, and 255, respectively. This compound was tentatively identified as Quercetin-3,4′-di-O-glucoside [14]. Peak 8 (TR = 14.96, 17.49%) generated its [M-H] ion at m/z 609. A series of fragment ions appeared at m/z 343, 301, 300, 271, and 255. According to the literature data, this compound could be identified as rutin [10,14]. Peak 9 (TR = 15.65, 7.57%) produced its [M-H] ion at m/z 463. Further fragmentation produced the [M-H-162] ion at m/z 301, which correspond to the loss of glucose. Thus, compound 9 was deduced as Quercetin-3-O-glucoside [15,16]. Peak 11 (TR = 16.96) could be attributed to Quercetin-O-acetyl-glucoside. Indeed, a molecular ion was observed in this molecule at m/z 505. Further fragmentation led to [M-H-42] and [M-H-162], corresponding to characteristic fragmentations of glucose [17]. Peak 19 (TR = 21.11) gave a pseudo molecular ion at m/z 301 [M-H]. MS2 ions were observed at m/z 179 [M-H-122] (resulted from a Retro-Diels–Alder cleavage fragmentation) and m/z 151 [M-H-150]. Then, compound 19 was identified as quercetin [8]. The presence of these chemicals at high levels could be responsible for the antioxidant activity verified in this paper.
Three peaks, 10, 12, and 17, with main MS2 fragmentation ions at m/z 315 were attributed to isorhamnetin derivatives. Peak 10 (TR = 16.42, 6.15%) was identified as isorhamnetin-3-O-rutinoside with [M-H] ion at m/z 623 and MS2 fragmentation at m/z 315 [M-H-308] due to the loss of rutinose, m/z 300 and 271 characteristic of isorhamnetin aglycone fragmentation [18]. Peak 12 (TR = 17.13) had [M-H] at m/z 477. The molecular ion fragmentation yielded ions at m/z 357, 315, and 314, corresponding to characteristic fragmentations of the glucose moiety. Thus, compound 12 was tentatively identified as isorhamnetin 3-O-glucoside [19]. Peak 17 (TR = 19.93) exhibited a molecular anion at m/z 491 and MS2 fragments at m/z 459, 447, 323, and 315. The last corresponded to the loss of 176 mass unit, which is characteristic, according to the literature data, to glucuronide moiety. Therefore, this compound could be assigned as isorhamnetin-3-O-glucuronide [20,21].
Peak 16 (TR = 19.38 min) produced an [M-H] ion at m/z 137. In the MS2 spectrum, the predominant ion was revealed at m/z 93 [M-H-44], which gave the proof for a carbon dioxide unit loss. Then, compound 16 was identified as p-hydroxybenzoic acid [22].
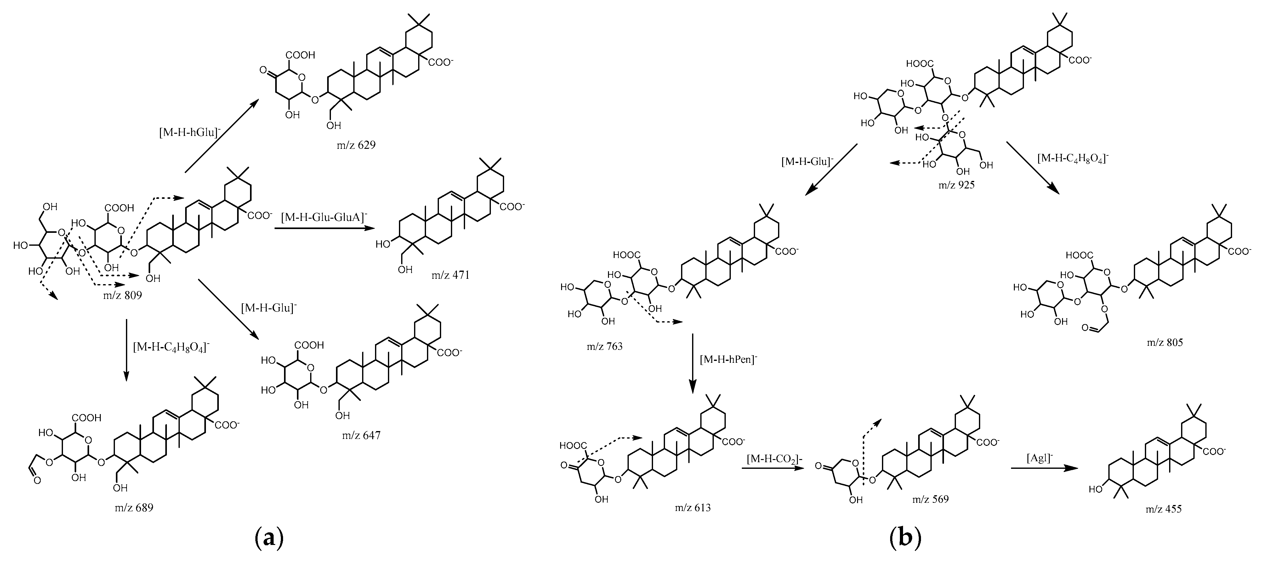
Peaks 21, 22, 32, 35, and 36 presented a common fragment ion at m/z 471 characteristic of hedragenin derivatives. Peak 21 (TR = 22.42 min) corresponded to betavulgaroside VI with a pseudo molecular ion [M-H] at m/z 971 and MS2 fragments at m/z 851 (loss of C4H8O4), 809 (loss of hexose), and 629 (loss of hexose and hydrated hexose) [23]. Peak 22 (TR = 22.74 min) presented a molecular ion [M–H]− at m/z 809. The fragmentation of this saponin yielded daughter ions at m/z 689, 647, 629, and 471. These ions corresponded to [M-H-C4H8O4], [M-H-hexose], [M-H-hydrated hexose], and [aglycon-H], respectively, as illustrated in Figure 2a. Thus, compound 22 was identified as gluco-glucuronic acid hedragenin [24]. Peak 32 (TR = 28.01 min), with its molecular ion [M-H]- at m/z 647 and MS2 fragments at 629 (water loss), 571 (water and C2H2O2 losses), and 471 (deprotonated hedragenin), was identified, according to the literature, as glucuronic acid hedragenin [25]. Peak 35 (TR = 28.95min) exhibited a parent ion [M-H] at m/z 777 with daughter ions at m/z 633 [M-H-dehydrated hexose], m/z 615 [M-H-hexose], and m/z 471 [aglycon-H]. This compound was then identified as hedragenin dihexoside. Peak 36 (TR = 29.21 min), which presented [M-H] at m/z 791, presented the same profile of fragmentation of saponin 22. Thus, this compound could be assigned as dehydrated gluco-glucuronic acid hedragenin.
Four peaks, 23, 41, 46, and 50, were attributed to fatty acids. Peaks 23, 41, and 50, revealed at TR = 23.35, 30.81, and 34.17 min, respectively, were identified as octadecenoic acid derivatives. These compounds showed a common MS2 daughter ion at m/z 171 corresponding to the fragment OOC(CH2)7-CH-OH. The literature data proved that compound 23 ([M-H] at m/z 327) presented a mixture of 9-oxo-12,13-dihydroxy-10-octadecenoic and 13-oxo-9,10-dihydroxy-11-octadecenoic acids [26,27]. For compound 41 ([M-H] at m/z 313), MS2 spectra showed consecutive losses of water molecules as well as aliphatic residues. This compound was assigned to be dihydroxyoctadecenoic acid [19]. Peak 50, exhibiting an [M-H] ion at m/z 279 and MS2 fragments at m/z 261 (water loss), m/z 235 (carbon dioxide loss), and m/z 171, could be tentatively identified as deprotonated linoleic acid [28]. Peak 46 observed at TR = 33.05 min presented a pseudo molecular ion [M-H] at m/z 295. MS2 fragmentation showed characteristic peaks at m/z 277 (water loss), m/z 251 (carbon dioxide loss), m/z 171. Then, compound 46 was identified according to Seon et al. as 9-hydroxy-10,12-actadecadienoic acid [29].
Eight peaks, 25, 27, 29, 34, 42, 43, 44, and 45, were identified as oleanolic acid saponins derivatives. MS2 analysis of those saponins showed a typical fragment ion at m/z 455 corresponding to deprotonated oleanolic acid aglycone. Peak 25 (TR = 24.41 min) presented a base peak at m/z 955 and exhibited m/z 793 [M-H-162] (loss of glucose), m/z 613 [M-H-342] (loss of water and two glucose moieties), and m/z 455 ions in the MS2 spectra. By comparing it with the literature data, this compound was tentatively identified as ginsenoside Ro [30]. Saponin 27 (TR = 25.02 min) afforded a pseudo molecular ion [M-H] at m/z 925. Based on the MS2 fragmentation, this molecule consisted of the oleanolic acid aglycone ion at m/z 455 with sugar unit structures (uronic acid, hexose, and pentose) which were linked in different positions, as demonstrated in Figure 2b [23,31]. Saponins 29 (TR = 26.15 min) and 34 (TR = 28.69 min) showed [M-H] ions at m/z 793 and 835, respectively. Both compounds presented the same profile of MS2 fragmentation m/z 673, 631, 613, and 569. For saponin 29, these fragment ions corresponded to consecutive losses of 120 amu (characteristic fragmentation of hexose), 162 amu (hexose loss), 180 amu (hydrated hexose loss), and 224 amu (carbon dioxide with hydrated hexose losses). Compound 29 was then identified according to Faustino et al. as calenduloside G [13], while compound 34 could be tentatively identified as calenduloside G derivative. Peak 42 (TR = 31.30 min) and 44 (TR = 32.02 min) presented molecular ions [M-H] at m/z 617 and 761, respectively. MS2 fragmentation of compound 42 showed fragment ions at m/z 599 (water loss), m/z 571 (water and carbone dioxide losses), m/z 497 (-120 amu characteristic of hexose fragmentation), and m/z 455, corresponding to deprotonated aglycone oleanolic acid. This saponin could therefore be attributed to oleanolic acid 28-O-β-D-glucopyranoside isolated by Kumar et al. [32]. MS2 fragmentation of compound 44 showed the same fragment ions as compound 42 and could be assigned as oleanolic acid dihexoside. To the best of our knowledge, the last two compounds were fragmented using LC-HESI-MS for the first time in the current paper. Compound 43 (TR = 31.62 min) was identified by Mroczek et al. as 3-O-β-D glucuruopyranosyl of oleanolic acid due to its [M-H] ion at m/z 631 and fragment ion at m/z 455 (oleanolic acid aglycone) obtained after the loss of 176 amu (glucuronic acid loss) [24]. Compound 45 (TR = 32.27 min), [M-H] at m/z 775, presented the same structure of compound 43 with a supplement hexose moiety, as evidenced by its MS2 fragmentation.
Peaks 37 and 39 were proposed to be soyasapogenol E derivatives with characteristic fragment ions attributed to the aglycone at m/z 455. Saponin 37 (TR = 29.5 min) showed the same molecular ion as saponin 30, [M-H] ion at m/z 793 and exhibited MS2 fragment ions at m/z 775 (water loss), m/z 731 (water and carbone dioxide losses), and m/z 613 (hexose and water losses). Therefore, this compound was assigned according to Nascimento et al. as soyasaponin βe’ [33]. In addition, soyasaponin βg’ (compound 39, TR = 30.34 min) was also identified in the same paper with a parent ion [M-H] ion at m/z 763 and characteristic MS2 fragment ions at m/z 719, 701, 613, 523, and 455.
Table 3. Compounds from C. aegyptiaca fruits (MeOH extract) identified through LC–MS/MS (negative mode).
Table 3. Compounds from C. aegyptiaca fruits (MeOH extract) identified through LC–MS/MS (negative mode).
CompoundTR (min)Relative Abundance (%) [M-H] (m/z)Molecular Formula LC/HESI-MS2 (m/z)Tentative Identification Reference
16.312.32341C15H18O9179 (100), 161, 135Caffeic acid hexoside[6]
28.151.94315C13H16O9153 (100), 109Protocatechuic acid-4-O-hexoside[7]
38.510.04191C7H12O6173, 171, 127 (100), 109, 93Quinic acid[8]
411.060.73353C16H18O9191 (100)Chlorogenic acid[9,10]
513.011.29507-325 (100), 181Unidentified-
613.421.49563C26H28O14503, 473, 443 (100), 383, 353Apigenin C-hexoside- C-pentoside[12]
713.828.80625C27H30O17301 (100), 271, 255Quercetin-3,4′-di-O-glucoside[14]
814.9617.49609C27H30O16343, 301 (100), 300, 271, 255Rutin[10,14]
915.657.57463C21H20O12301 (100)Quercetin-3-O-glucoside[15,16]
1016.426.15623C28H32O16315 (100), 300, 271Isorhamnetin-3-O-rutinoside[18]
1116.965.13505C23H22O13463, 301 (100)Quercetin-O-acetyl glucoside[17]
1217.130.88477C22H22O12357, 315, 314 (100)Isorhamnetin 3-O-glucoside[19]
1318.381.27461-323 (100), 137Unidentified-
1418.740.08515C25H24O12353 (100), 335, 317, 299, 255,191, 1731,4-di-O-caffeoylquinic acid[11]
1518.810.14465-297 (100), 183Unidentified-
1619.380.07137C7H6O393 (100)p-Hydroxybenzoic acid[22]
1719.930.17491C22H20O13459, 447, 323, 315 (100)Isorhamnetin-3-O-glucuronide[21,22]
1820.880.14563C26H28O14401 (100)Apigenin-O-hexosylpentosyl[13]
1921.110.05301C15H10O7179 (100), 151Quercetin[8]
2021.443.351165-1146, 1002 (100), 657, 463Unidentified-
2122.420.14971C47H72O21851, 809 (100), 629Betavulgaroside VI[23]
2222.740.20809C42H66O15791, 689, 647 (100), 629,471Gluco-glucuronic acid hedragenin[24]
2323.352.00327C18H32O5291, 229 (100), 211, 209, 171Oxo-dihydroxy-octadecenoic acid[26,27]
2423.7113.021149-1131,1048,970 (100), 839,444Unidentified-
2524.410.34955C48H76O19793 (100), 613, 455Ginsenoside Ro[30]
2624.662.9987-925,825 (100), 791, 543Unidentified-
2725.020.19925C47H73O18805, 763 (100), 613Hexose-pentose uronic acid
oleanolic acid
[23,31]
2825.855.261027-1009, 983 (100), 966Unidentified-
2926.150.78793C42H66O14673, 631 (100), 613, 569, 455Calenduloside G[13]
3026.800.25695-533 (10), 371Unidentified-
3127.465.33937-793 (100)Unidentified-
3228.010.94647C36H56O10629, 571, 471 (100)Glucuronic acid hedragenin[25]
3328.300.69987-969, 841, 824 (100), 816, 614Unidentified-
3428.690.25835-793, 775, 673, 613, 569 (100), 455Calenduloside G derivative-
3528.950.45777C42H68O14633 (100), 615, 471Hedragenin dihexoside-
3629.210.34791C42H64O14689, 647 (100), 629Dehydrated gluco-glucuronic acid
Hedragenin
-
3729.50.12793C42H65O14775, 731, 613 (100), 455Soyasaponin βe’[33]
3830.010.39793-613, 551, 483 (100), 455Unidentified-
3930.340.95763C41H63O13719, 701, 613 (100), 523, 455Soyasaponin βg’[33]
4030.601.74675-415, 937 (100), 305, 235Unidentified-
4130.810.41313C18H34O4295, 277, 201 (100), 171Dihydroxyoctadecenoic acid[19]
4231.300.17617C36H58O8599, 571, 497, 455 (100)Oleanolic acid 28-O-β-D-glucopyranoside[32]
4331.620.52631C36H56O9613, 455(100)3-O-β-D glucuruopyranosyl of oleanolic acid[24]
4432.020.28761C42H66O12617, 599 (100), 571, 497, 455 Oleanolic acid dihexoside-
4532.270.80775C42H64O13631 (100), 613, 455Gluco- glucuruopyranosyl of oleanolic acid-
4633.050.03295C18H32O3277 (100), 251, 1719-Hydroxy-10,12-actadecadienoic acid[29]
4733.120.03527-509, 277 (100), 249Unidentified-
4833.380.12564-504 (100)Unidentified-
4933.500.09504-279 (100)Unidentified-
5034.170.01279C18H32O2261 (100), 235, 171Linoleic acid[28]

2.4. Antioxidant Activity of Fruit Extracts In Vitro

The total antioxidant capacity (TAC) of the extracts (Table 4) was calculated using the phosphomolybdenum method. By forming a green phosphomolybdenum complex (V) with a maximum absorbance at 695 nm, the antioxidant compounds converted Mo(VI) to Mo(V). MeOH extract had the highest antioxidant capacity (253.394 mg gallic acid equivalents (GAE/g extract), followed by DCM (181.414 mg GAE/g extract) and n-hexane (123.771 mg GAE/g extract) extracts, which could be explained by its high levels of total phenolic acids and flavonoids contents (Table 2).
The DPPH scavenging activity of phenols and flavonoids was also investigated (Table 4). When compared to DCM and n-hexane extracts (IC50 = 0.050 mg·mL−1 and IC50 = 0.054 mg·mL−1), which presented a moderate and low significance, respectively, the MeOH extract of C. aegyptiaca had significantly higher DPPH scavenging activity (IC50 = 0.041 mg·mL−1). Our findings suggest that hydroxyl groups could intervene as electron donors, transforming free radicals into much more stable substances by scavenging radicals. According to the literature [34], the methanolic extract of this plant had higher DPPH scavenging activity (IC50 = 0.041 mg·mL−1) than the hydro-methanol extract of C. officinalis leaves (0.57 mg·mL−1) and lower than that of flowers (0.35 mg·mL−1).
The Ferric reducing activity power (FRAP) method is based on electron-donating antioxidants reducing the Fe3+ tripyridyltriazine complex (colorless complex) to Fe2+-tripyridyltriazine (blue complex) at low pH. The reducing power of extracts and vitamin C was determined (Figure 3). The FRAP test revealed an increase in absorbance with increasing doses of the tested extracts, which corresponded to an increase in reducing power. The obtained results revealed that the extracts’ reducing power increased in direct proportion to their concentration. Because of its highest levels of phenolic and flavonoid content (Table 2), MeOH extract had the highest reducing power (p < 0.05), followed by DCM and n-hexane extracts.

2.5. Correlations

To evaluate the influence of phytochemical constituents on antioxidant capacity, the correlations between the phenolics and flavonoids contents and antioxidant activity of extracts were measured. Table 5 shows different correlations between all extracts; nonetheless, we found strong linear correlations with the respective coefficient of R2 = 0.994 (FRAP-TPC), R2 = 0.905 (TFC-TPC), R2 = 0.941 (TAC-TFC), R2 = 0.921 (TAC-DPPH), and R2 = 0.969 (TAC-FRAP), and moderate linear correlations with the respective coefficient of R2 = 0.859 (TFC-DPPH), R2 = 0.884 (TPC-DPPH), R2 = 0.861 (TFC-FRAP), and R2 = 0.866 (FRAP-DPPH).

3. Materials and Methods

3.1. Plant Material

C. aegyptiaca fruits were collected from Sfax south Tunisia in March 2020, placed in the shade in a well-ventilated area with low humidity (22–25%) at a temperature range of 18–25 °C for 21 days, and then crushed. The plant was recognized by Pr. Mohamed Chaieb [35], Biology Department Faculty of Sciences of Sfax, and a voucher specimen (LCSN150) was stored at the herbarium of the Laboratory of Organic Chemistry (LR17-ES08), Faculty of Sciences, University of Sfax, Tunisia.

3.2. Extraction

The dried fruits were crushed in a grinder from Fritsch Company (reference 14.3000.00) in order to obtain much finer particles (2, 3 mm) and then stored in airtight jars away from humidity at room temperature. The moisture content of fruits was evaluated to be 19.71%. The obtained powder was extracted successively with organic solvents of increasing polarities (n-hexane, dichloromethane and methanol) with mechanical stirring (plant material/solvent ratio 1:8 (w/v)). Each extraction was carried out three times at room temperature and for 24 h each time. The macerates were then filtered and evaporated under vacuum to concentrate the extracts. The evaporation process resulted in crude extracts that had no moisture content.

3.3. Determination of Phenolic Content

The spectrophotometric method was used to determine the total phenol content (TPC) [36]. A total of 0.5 mL of Folin–Ciocalteu reagent was added to a solution containing 1 mL of a known concentration extract (1 mg·mL−1) and 3 mL of distilled water. After 5 min, 0.5 mL of 2% aqueous sodium carbonate (Na2CO3) was added. After 90 min of incubation at 25 °C, the absorbance at 760 nm was measured. The test was carried out three times. A standard gallic acid graph was used to calculate TPC, which was expressed in milligrams of gallic acid equivalent per gram of dry weight of extract.

3.4. Determination of Flavonoid Content

The method established by Heimler et al. [37] was used to determine total flavonoid content (TFC). The approach is based on the creation of a very stable combination between aluminum chloride and the oxygen atoms found on the flavonoids’ carbons 4 and 5, with a maximum absorbance of 430 nm. The calibration curve was generated using quercetin (commercial, Sigma-Aldrich, St. Louis, MO, USA). An amount of 1 mL of 2% aluminum trichloride (AlCl3) was blended with 1 mL of sample (1 mg·mL−1). The absorbance of the mixture was measured at 430 nm with a spectrophotometer after 15 min of incubation at room temperature. TFC was measured in milligrams of quercetin equivalent (QE) per gram of extract. The experiment was repeated three times.

3.5. Antioxidant Activity

3.5.1. Free Radical Scavenging Activity

The DPPH test was used to assess the extracts’ capacity to scavenge free radicals, as described earlier [38]. DPPH radicals were absorbed at 517 nm; however, absorbance dropped when they were reduced by an antioxidant agent. The decrease in absorbance at 515 nm was measured using UV spectrometry. For concentrations of 0.063, 0.125, 0.25, 0.5, and 1 mg·mL−1 of plant extract, vitamin C was employed as a positive control, and all tests were carried out three times. For the assay, different concentrations were used. A total of 2 mL of the DPPH solution and 2 mL of the sample were mixed and left to react in the dark at 37 °C for 30 min as well as a blank test. The results of radical scavenging tests were expressed as 50% inhibition concentration (IC50).

3.5.2. Total Antioxidant Capacity

Total antioxidant capacity of the extracts was assessed using the method of phosphomolybdenum complex formation [39]. The reduction of ammonium molybdate and the transmission of electrons are the basis of this approach. A green ammonium phosphate/molybdate complex formed during the process. In total, 1 mL of the reagent solution (sodium phosphate, sulfuric acid, and ammonium molybdate) was combined with 0.1 mL of the sample. The mixes were then incubated for 1 h 30 min in boiling water (95 °C). After the samples cooled, the absorbance was determined at 695 nm. The total antioxidant capacity was expressed as mg of gallic acid equivalents per g of extract. The test was performed in triplicate.

3.5.3. Reducing Power Assay

The procedure used was that of Barros et al. [40]. At various concentrations, 1 mL of each sample was treated with a mixture of potassium ferricyanide (1%) and sodium phosphate (0.2 M). The mixtures were incubated at 50 °C for 20 min. The trichloroacetic acid was then added, and the mixture was placed in the centrifuge for 10 min. After recovery, the supernatant of each mixture was mixed with the ferric chloride solution 0.1% in 2.5 mL of distilled water. Every test was performed three times.

3.6. LC-HESI-MS

Fruit methanolic extract of C. aegyptiaca was investigated using a Thermo Scientific LTQ XL Mass Spectrometer fitted with a hot electrospray ionization source in the negative mode. Thermo Xcalibur software was used to record ion spectra. A C18 reversed phase Luna column at 30 °C (5 µm, 150 mm × 2.1 mm) was delivered to Vanquish HPLC (Thermo Scientific Inc., Waltham, MA, USA) for analysis. A: 0.1% formic acid in water (5% ACN), v/v and B: 0.1% formic acid in acetonitrile, v/v, were the selected solvents. The elution gradient was set from 0 to 40% of B during 40 min, 100% B after 50 min, and the column was re-equilibrated between individual runs. The mobile phase had a flow rate of 0.2 mL·min−1, and the injection volume was 20 µL. The ion spray voltage was fixed at 3.5 V, the ESI source and the capillary temperature was calibrated at 300 °C, and the sheath and auxiliary gas pressures were set to 50 and 5 psi, respectively. The spectral range was from m/z 50 to 1200. The approach combined full scans and MS/MS experiments using a collision energy ranging from 10 to 35 eV, depending on the molecular mass of compounds.

3.7. Statistical Analysis

A one-way ANOVA was used to assess statistical significance followed by Tukey’s post hoc test for multiple comparisons with p = 0.05 and correlation coefficients (r). The Statistical Product and Service Solutions application (SPSS) version 20 was used to conduct these analyses.

4. Conclusions

The HPLC–HESI–MSn method was effectively established in this study for the quick separation and identification of various chemicals in the methanol extract of C. aegyptiaca fruits. Thirty-five chemicals were identified: six phenolic acids (compounds 14, 14, and 16), then flavonoids including apigenin derivatives (compounds 6 and 18), quercetin derivatives (compounds 79, 11, and 19) and isorhamnetin derivatives (compounds 10, 12, and 17), four fatty acids (compounds 24, 41, 46, and 50), and fifteen saponins. Oleanolic acid derivatives and hedragenin derivatives were the most commonly reported saponins. As far as we know, compounds 3436, 44, and 45 were described for the first time for this species in this paper. Oleanolic acid saponins are known to have anti-inflammatory, anticancer, antihepatotoxic, antidiabetic, and cytotoxic properties. MeOH extract had the highest total phenolic content, as well as the highest total flavonoid contents (275.38 ± 0.39mg GAE/g DE and 204.57 ± 4.101 mg QE/g DE, respectively). These findings imply that phenolic acids (particularly caffeic acid, which accounts for 2.32%) and flavonoids (rutin 17.57%, quercetin-3,4′-di-O-glucoside 8.8%, quercetin-3-O-glucoside 7.57%) could be responsible for this plant’s antioxidant properties. As a result, fruits of C. aegyptiaca should be thought of as a novel source of bioactive compounds with potential applications in a variety of fields. However, more research is required to investigate additional biological activities.

Author Contributions

W.G., S.S., B.B. and A.A. performed the experiments. R.M.-J. designed the chemical experiments. M.T. and N.T. designed and performed the LC-ESI-MS/MS experiments. The data was examined, and the paper was written by all of the authors. All authors have read and agreed to the published version of the manuscript.

Funding

This research received no external funding.

Institutional Review Board Statement

Not applicable.

Informed Consent Statement

Not applicable.

Data Availability Statement

Not applicable.

Acknowledgments

The authors acknowledge the financial support provided by the Tunisian Ministry of Higher Education and Scientific Research to the Laboratory of Organic Chemistry LR17ES08, University of Sfax, Tunisia.

Conflicts of Interest

The authors declare no conflict of interest.

Sample Availability

Samples of the extracts are available from the authors.

References

  1. Shukla, S.; Mehta, A. Anticancer potential of medicinal plants and their phytochemicals: A review. Braz. J. Bot. 2015, 38, 199–210. [Google Scholar] [CrossRef]
  2. Rolnik, A.; Olas, B. The plants of the Asteraceae family as agents in the protection of human health. Int. J. Mol. Sci. 2021, 22, 3009. [Google Scholar] [CrossRef] [PubMed]
  3. Jan, N.; Andrabi, K.I.; John, R. Calendula officinalis—An important medicinal plant with potential biological properties. Proc. Indian Natl. Sci. Acad. 2017, 83, 769–787. [Google Scholar] [CrossRef]
  4. Bouzayani, B.; Koubaa, I.; Frikha, D.; Samet, S.; Ben Younes, A.; Chawech, R.; Maalej, S.; Allouche, N.; Mezghani Jarraya, R. Spectrometric analysis, phytoconstituents isolation and evaluation of in vitro antioxidant and antimicrobial activities of Tunisian Cistanche violacea (Desf). Chem. Pap. 2022, 1–20. [Google Scholar] [CrossRef]
  5. Ercetin, T.; Senol, F.S.; Orhan, I.E.; Toker, G. Comparative assessment of antioxidant and cholinesterase inhibitory properties of the marigold extracts from Calendula arvensis L. and Calendula officinalis L. Ind. Crops Prod. 2012, 36, 203–208. [Google Scholar] [CrossRef]
  6. Hossain, M.B.; Rai, D.K.; Brunton, N.P.; Martin-Diana, A.B.; Barry-Ryan, C. Characterization of phenolic composition in Lamiaceae spices by LC-ESI-MS/MS. J. Agric. Food Chem. 2010, 58, 10576–10581. [Google Scholar] [CrossRef] [PubMed]
  7. Salomon, L.; Lorenz, P.; Ehrmann, B.; Spring, O.; Stintzing, F.C.; Kammerer, D.R. Impact of environmental conditions on growth and the phenolic profile of Achillea atrata L. Processes 2021, 9, 853. [Google Scholar] [CrossRef]
  8. Fathoni, A.; Saepudin, E.; Cahyana, A.H.; Rahayu, D.U.C.; Haib, J. Identification of nonvolatile compounds in clove (Syzygium aromaticum) from Manado. AIP Conf. Proc. 2017, 1862, 030079. [Google Scholar] [CrossRef] [Green Version]
  9. Simirgiotis, M.J.; Benites, J.; Areche, C.; Sepúlveda, B. Antioxidant capacities and analysis of phenolic compounds in three endemic Nolana species by HPLC-PDA-ESI-MS. Molecules 2015, 20, 11490–11507. [Google Scholar] [CrossRef] [Green Version]
  10. Sonmezdag, A.S.; Kelebek, H.; Selli, S. Characterization of aroma-active and phenolic profiles of wild thyme (Thymus serpyllum) by GC-MS-Olfactometry and LC-ESI-MS/MS. J. Food Sci. Technol. 2016, 53, 1957–1965. [Google Scholar] [CrossRef] [Green Version]
  11. Clifford, M.N.; Knight, S.; Kuhnert, N. Discriminating between the six isomers of dicaffeoylquinic acid by LC-MS n. J. Agric. Food Chem. 2005, 53, 3821–3832. [Google Scholar] [CrossRef] [PubMed]
  12. Farooq, M.U.; Mumtaz, M.W.; Mukhtar, H.; Rashid, U.; Akhtar, M.T.; Raza, S.A.; Nadeem, M. UHPLC-QTOF-MS/MS based phytochemical characterization and anti-hyperglycemic prospective of hydro-ethanolic leaf extract of Butea monosperma. Sci. Rep. 2020, 10, 3530. [Google Scholar] [CrossRef] [PubMed] [Green Version]
  13. Faustino, M.V.; Pinto, D.C.; Gonçalves, M.J.; Salgueiro, L.; Silveira, P.; Silva, A.M. Calendula L. species polyphenolic profile and in vitro antifungal activity. J. Funct. Foods 2018, 45, 254–267. [Google Scholar] [CrossRef]
  14. Kumar, S.; Singh, A.; Kumar, B. Identification and characterization of phenolics and terpenoids from ethanolic extracts of Phyllanthus species by HPLC-ESI-QTOF-MS/MS. J. Pharm. Anal. 2017, 7, 214–222. [Google Scholar] [CrossRef] [PubMed]
  15. Silva, S.; Matias, A.A.; Nunes, A.; Duarte, C.; Coelhe, A.V.; Bronze, M.R. Identification of flavonol glycosides in winemaking by-products by HPLC with different detectors and hyphenated with mass spectrometry. Ciênc. Téc. Vitiviníc. 2005, 20, 17–33. [Google Scholar]
  16. Affes, S.; Ben Younes, A.; Frikha, D.; Allouche, N.; Treilhou, M.; Tene, N.; Mezghani-Jarraya, R. ESI-MS/MS analysis of phenolic compounds from Aeonium arboreum leaf extracts and evaluation of their antioxidant and antimicrobial activities. Molecules 2021, 26, 4338. [Google Scholar] [CrossRef]
  17. Villalva, M.; Santoyo, S.; Salas-Pérez, L.; de la Nieves Siles-Sánchez, M.; Rodríguez García-Risco, M.; Fornari, T.; Reglero, G.; Jaime, L. Sustainable extraction techniques for obtaining antioxidant and anti-inflammatory compounds from the Lamiaceae and Asteraceae species. Foods 2021, 10, 2067. [Google Scholar] [CrossRef]
  18. Li, Z.H.; Guo, H.; Xu, W.B.; Ge, J.; Li, X.; Alimu, M.; He, D.J. Rapid identification of flavonoid constituents directly from PTP1B inhibitive extract of raspberry (Rubus idaeus L.) leaves by HPLC–ESI–QTOF–MS-MS. J. Chromatogr. Sci. 2016, 54, 805–810. [Google Scholar] [CrossRef] [PubMed] [Green Version]
  19. Kang, J.; Price, W.E.; Ashton, J.; Tapsell, L.C.; Johnson, S. Identification and characterization of phenolic compounds in hydromethanolic extracts of Sorghum wholegrains by LC-ESI-MSn. Food Chem. 2016, 211, 215–226. [Google Scholar] [CrossRef] [PubMed] [Green Version]
  20. Parejo, I.; Jauregui, O.; Sánchez-Rabaneda, F.; Viladomat, F.; Bastida, J.; Codina, C. Separation and characterization of phenolic compounds in fennel (Foeniculum vulgare) using liquid chromatography−negative electrospray ionization tandem mass spectrometry. J. Agric. Food Chem. 2004, 52, 3679–3687. [Google Scholar] [CrossRef] [PubMed]
  21. Chen, S.; Fang, L.; Xi, H.; Guan, L.; Fang, J.; Liu, Y.; Wu, B.; Li, S. Simultaneous qualitative assessment and quantitative analysis of flavonoids in various tissues of lotus (Nelumbo nucifera) using high performance liquid chromatography coupled with triple quad mass spectrometry. Anal. Chim. Acta 2012, 724, 127–135. [Google Scholar] [CrossRef] [PubMed]
  22. Khallouki, F.; Ricarte, I.; Breuer, A.; Owen, R.W. Characterization of phenolic compounds in mature Moroccan Medjool date palm fruits (Phoenix dactylifera) by HPLC-DAD-ESI-MS. J. Food Compos. Anal. 2018, 70, 63–71. [Google Scholar] [CrossRef]
  23. Mikołajczyk-Bator, K.; Błaszczyk, A.; Czyżniejewski, M.; Kachlicki, P. Characterisation and identification of triterpene saponins in the roots of red beets (Beta vulgaris L.) using two HPLC–MS systems. Food Chem. 2016, 192, 979–990. [Google Scholar] [CrossRef] [PubMed]
  24. Mroczek, A.; Kapusta, I.; Janda, B.; Janiszowska, W. Triterpene saponin content in the roots of red beet (Beta vulgaris L.) cultivars. J. Agric. Food Chem. 2012, 60, 12397–12402. [Google Scholar] [CrossRef] [PubMed]
  25. Pollier, J.; Morreel, K.; Geelen, D.; Goossens, A. Metabolite profiling of triterpene saponins in Medicago truncatula hairy roots by liquid chromatography Fourier transform ion cyclotron resonance mass spectrometry. J. Nat. Prod. 2011, 74, 1462–1476. [Google Scholar] [CrossRef] [PubMed] [Green Version]
  26. Llorent-Martínez, E.J.; Spínola, V.; Gouveia, S.; Castilho, P.C. HPLC-ESI-MSn characterization of phenolic compounds, terpenoid saponins, and other minor compounds in Bituminaria bituminosa. Ind. Crops Prod. 2015, 69, 80–90. [Google Scholar] [CrossRef]
  27. Püssa, T.; Raudsepp, P.; Toomik, P.; Pällin, R.; Mäeorg, U.; Kuusik, S.; Soidla, R.; Rei, M. A study of oxidation products of free polyunsaturated fatty acids in mechanically deboned meat. J. Food Compos. Anal. 2009, 22, 307–314. [Google Scholar] [CrossRef]
  28. Zhou, Y.; Wu, Z.; Li, C.; Wang, N.; Zhang, X.; Chen, H.; Xiao, S. Coupling neutral desorption sampling to dielectric barrier discharge ionization mass spectrometry for direct oil analysis. Anal. Methods 2014, 6, 1538–1544. [Google Scholar] [CrossRef]
  29. Lee, S.H.; Williams, M.V.; DuBois, R.N.; Blair, I.A. Targeted lipidomics using electron capture atmospheric pressure chemical ionization mass spectrometry. Rapid Commun. Mass Spectrom. 2003, 17, 2168–2176. [Google Scholar] [CrossRef] [PubMed]
  30. Jiang, P.; Dou, S.; Liu, L.; Zhang, W.; Chen, Z.; Xu, R.; Ding, J.; Liu, R. Identification of multiple constituents in the TCM-formula Shexiang Baoxin pill by LC coupled with DAD-ESI-MS-MS. Chromatographia 2009, 70, 133–142. [Google Scholar] [CrossRef]
  31. Ridout, C.L.; Price, K.R.; Parkin, G.; Dijoux, M.G.; Lavaud, C. Saponins from sugar beet and the floc problem. J. Agric. Food Chem. 1994, 42, 279–282. [Google Scholar] [CrossRef]
  32. Kumar, R.; Joshi, G.; Kler, H.; Kalra, S.; Kaur, M.; Arya, R. Toward an understanding of structural insights of xanthine and aldehyde oxidases: An overview of their inhibitors and role in various diseases. Med. Res. Rev. 2018, 38, 1073–1125. [Google Scholar] [CrossRef]
  33. Nascimento, Y.M.; Abreu, L.S.; Lima, R.L.; Costa, V.C.O.; Melo, J.I.M.D.; Braz-Filho, R.; Sobral Silva, M.; Tavares, J.F. Rapid characterization of triterpene saponins from Zornia brasiliensis by HPLC-ESI-MS/MS. Molecules 2019, 24, 2519. [Google Scholar] [CrossRef] [PubMed] [Green Version]
  34. Ismahene, S.; Ratiba, S.; Miguel, C.M.D.; Nuria, C. Phytochemical composition and evaluation of the antioxidant activity of the ethanolic extract of Calendula suffruticosa subsp. suffruticosa Vahl. Pharmcogn. J. 2018, 10, 64–70. [Google Scholar] [CrossRef] [Green Version]
  35. Mseddi, K.; Al-Shammari, A.; Sharif, H.; Chaieb, M. Plant diversity and relationships with environmental factors after rangeland exclosure in arid Tunisia. Turk. J. Bot. 2016, 40, 287–297. [Google Scholar] [CrossRef]
  36. Akrout, A.; Conzalez, A.L.; Jani, E.J.; Madrid, C.P. Antioxidant and antitumor activities of Artemisia campestris and Thymelaea hirsuta from southern Tunisia. Food Chem. Toxicol. 2011, 49, 342–347. [Google Scholar] [CrossRef] [PubMed]
  37. Heimler, D.; Isolani, L.; Vignolani, P.; Romani, A. Polyphenol content and antiradical activity of Cichorium intybus L. from biodynamic and conventional farming. Food Chem. 2009, 114, 765–770. [Google Scholar] [CrossRef]
  38. Chen, Y.; Wang, M.; Rosen, R.T.; Ho, C.T. 2, 2-Diphenyl-1-picrylhydrazyl radical-scavenging active components from Polygonum multiflorum thunb. J. Agric. Food Chem. 1999, 47, 2226–2228. [Google Scholar] [CrossRef] [PubMed]
  39. Prieto, P.; Pineda, M.; Aguilar, M. Spectrophotometric quantitation of antioxidant capacity through the formation of a phosphomolybdenum complex. Anal. Biochem. 1999, 269, 337–341. [Google Scholar] [CrossRef]
  40. Barros, L.; Baptista, P.; Ferreira, I.C.F.R. Effect of Lactarius piperatus fruiting body maturity stage on antioxidant activity measured by several biochemical assays. Food Chem. Toxicol. 2007, 45, 1731–1737. [Google Scholar] [CrossRef] [PubMed] [Green Version]
Figure 1. Total ion chromatogram of C. aegyptiaca methanolic extract in negative mode.
Figure 1. Total ion chromatogram of C. aegyptiaca methanolic extract in negative mode.
Molecules 27 02314 g001
Figure 2. Fragmentation pathway of saponin 22 [M-H] at m/z 809 (a) and saponin 27 [M-H] at m/z 925 (b). Glu: glucose, hGlu: hydrated glucose, GluA: glucuronic acid, hPent: hydrated pentose, Agl: aglycone.
Figure 2. Fragmentation pathway of saponin 22 [M-H] at m/z 809 (a) and saponin 27 [M-H] at m/z 925 (b). Glu: glucose, hGlu: hydrated glucose, GluA: glucuronic acid, hPent: hydrated pentose, Agl: aglycone.
Molecules 27 02314 g002
Figure 3. Ferric reducing antioxidant power (FRAP) assays (n = 3) compared to vitamin C as standard; the differences were analyzed using Duncan and Tukey’s post hoc test for multiple comparisons with p < 0.05.
Figure 3. Ferric reducing antioxidant power (FRAP) assays (n = 3) compared to vitamin C as standard; the differences were analyzed using Duncan and Tukey’s post hoc test for multiple comparisons with p < 0.05.
Molecules 27 02314 g003
Table 1. Yields (%) of C. aegyptiaca fruit extracts.
Table 1. Yields (%) of C. aegyptiaca fruit extracts.
ExtractsYields (%)
n-Hexane0.93
DCM0.47
MeOH9.67
DCM: dichloromethane; MeOH: methanol.
Table 2. Total phenolics and flavonoids contents of fruit extracts of C. aegyptiaca.
Table 2. Total phenolics and flavonoids contents of fruit extracts of C. aegyptiaca.
ExtractsTPC
(mg GAE/g DE)
TFC
(mg QE/g DE)
n-Hexane93.37 ± 2.10 c66.46 ± 9.52 c
DCM190.16 ± 3.21 b105.18 ± 4.69 b
MeOH275.38 ± 0.39 a204.57 ± 4.10 a
Values expressed are means ± S.D (n = 3). TPC: total phenols content; TFC: total flavonoids content; GAE: gallic acid equivalent; QE: quercetin equivalent; DE: dried extract. The differences were analyzed using Duncan and Tukey’s post hoc test for multiple comparisons with p < 0.05. a: strong significance, b: modest significance, c: low significance.
Table 4. Total antioxidant capacity and DPPH scavenging activity of different extracts of C. aegyptiaca fruits.
Table 4. Total antioxidant capacity and DPPH scavenging activity of different extracts of C. aegyptiaca fruits.
ExtractsTAC
(mg GAE/g DE)
DPPH
IC50 (mg·mL−1)
n-Hexane123.771 ± 2.011 c0.054 ± 0.010 c
DCM181.414 ± 3.044 b0.050 ± 0.002 b
MeOH253.394 ± 1.198 a0.041 ± 0.001 a
Vit C-0.033 ± 0.001 a
Values expressed are means ± S.D (n = 3). TAC: total antioxidant capacity, GAE: gallic acid equivalent, DE: dried extract. IC50 (mg·mL−1): inhibition concentration at which 50% of the DPPH (2,2-Diphenyl-1-picrylhydrazyl) are inhibited. The differences were analyzed using Duncan and Tukey’s post hoc test for multiple comparisons with p < 0.05. a: strong significance, b: high modest significance, c: low significance.
Table 5. Pearson’s determination coefficients (R2) for the extracts’ examined parameters.
Table 5. Pearson’s determination coefficients (R2) for the extracts’ examined parameters.
TPCTFCDPPHFRAPTAC
TPC1----
TFC0.9051---
DPPH0.8840.8591--
FRAP0.9940.8610.8661-
TAC0.9870.9410.9210.9691
Pearson’s determination coefficients using the 95% confidence interval. TPC: total phenolics content, TFC: total flavonoids content, DPPH: DPPH scavenging activity assay, FRAP: Ferric reducing antioxidant power assay, TAC: total antioxidant capacity. The Pearson correlation coefficients (R2) between different parameters (p < 0.05) are shown in the statistical data.
Publisher’s Note: MDPI stays neutral with regard to jurisdictional claims in published maps and institutional affiliations.

Share and Cite

MDPI and ACS Style

Grati, W.; Samet, S.; Bouzayani, B.; Ayachi, A.; Treilhou, M.; Téné, N.; Mezghani-Jarraya, R. HESI-MS/MS Analysis of Phenolic Compounds from Calendula aegyptiaca Fruits Extracts and Evaluation of Their Antioxidant Activities. Molecules 2022, 27, 2314. https://doi.org/10.3390/molecules27072314

AMA Style

Grati W, Samet S, Bouzayani B, Ayachi A, Treilhou M, Téné N, Mezghani-Jarraya R. HESI-MS/MS Analysis of Phenolic Compounds from Calendula aegyptiaca Fruits Extracts and Evaluation of Their Antioxidant Activities. Molecules. 2022; 27(7):2314. https://doi.org/10.3390/molecules27072314

Chicago/Turabian Style

Grati, Wafa, Sonda Samet, Bouthaina Bouzayani, Amani Ayachi, Michel Treilhou, Nathan Téné, and Raoudha Mezghani-Jarraya. 2022. "HESI-MS/MS Analysis of Phenolic Compounds from Calendula aegyptiaca Fruits Extracts and Evaluation of Their Antioxidant Activities" Molecules 27, no. 7: 2314. https://doi.org/10.3390/molecules27072314

APA Style

Grati, W., Samet, S., Bouzayani, B., Ayachi, A., Treilhou, M., Téné, N., & Mezghani-Jarraya, R. (2022). HESI-MS/MS Analysis of Phenolic Compounds from Calendula aegyptiaca Fruits Extracts and Evaluation of Their Antioxidant Activities. Molecules, 27(7), 2314. https://doi.org/10.3390/molecules27072314

Article Metrics

Back to TopTop