Autoxidation of 4-Hydrazinylquinolin-2(1H)-one; Synthesis of Pyridazino[4,3-c:5,6-c′]diquinoline-6,7(5H,8H)-diones
Abstract
:1. Introduction
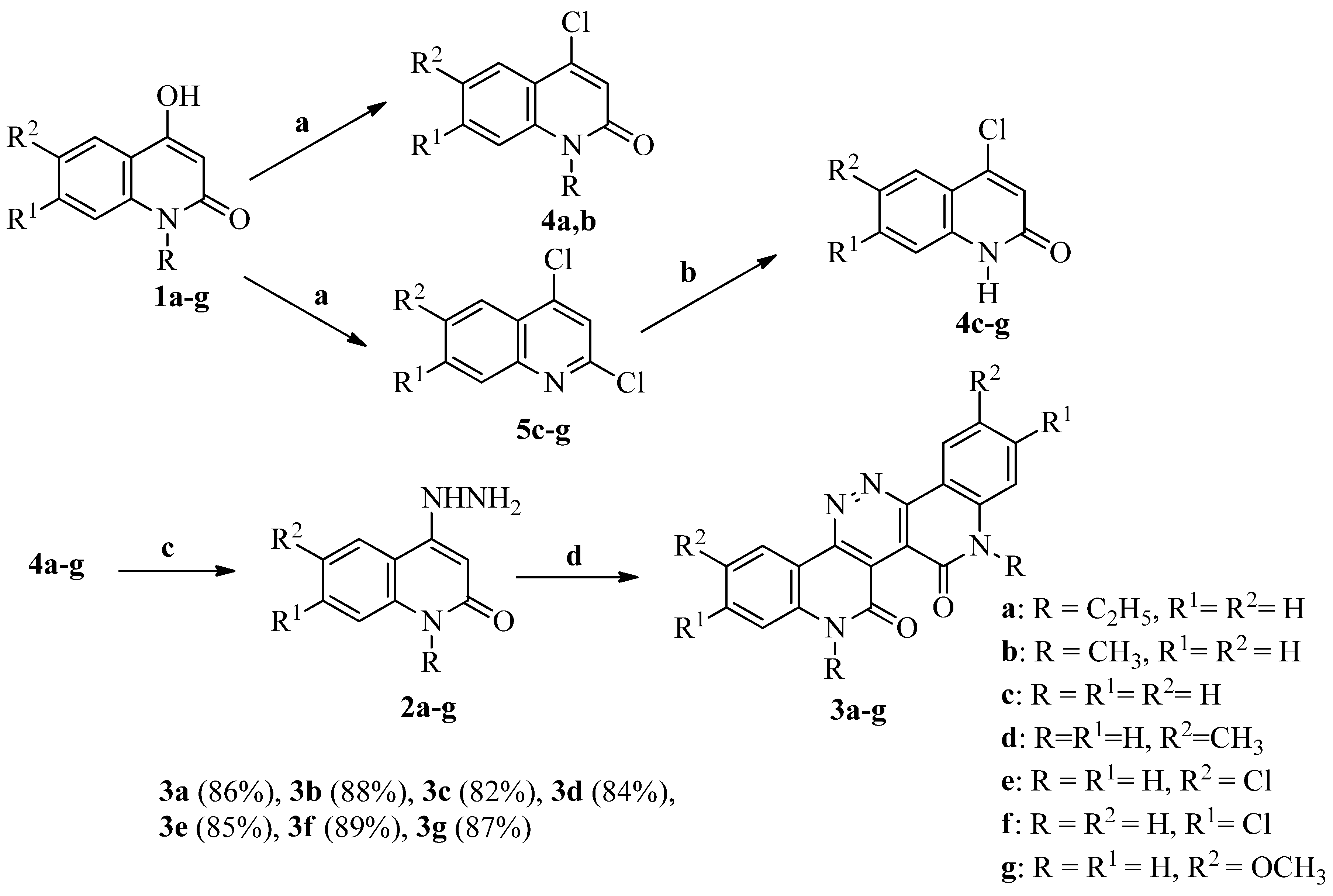
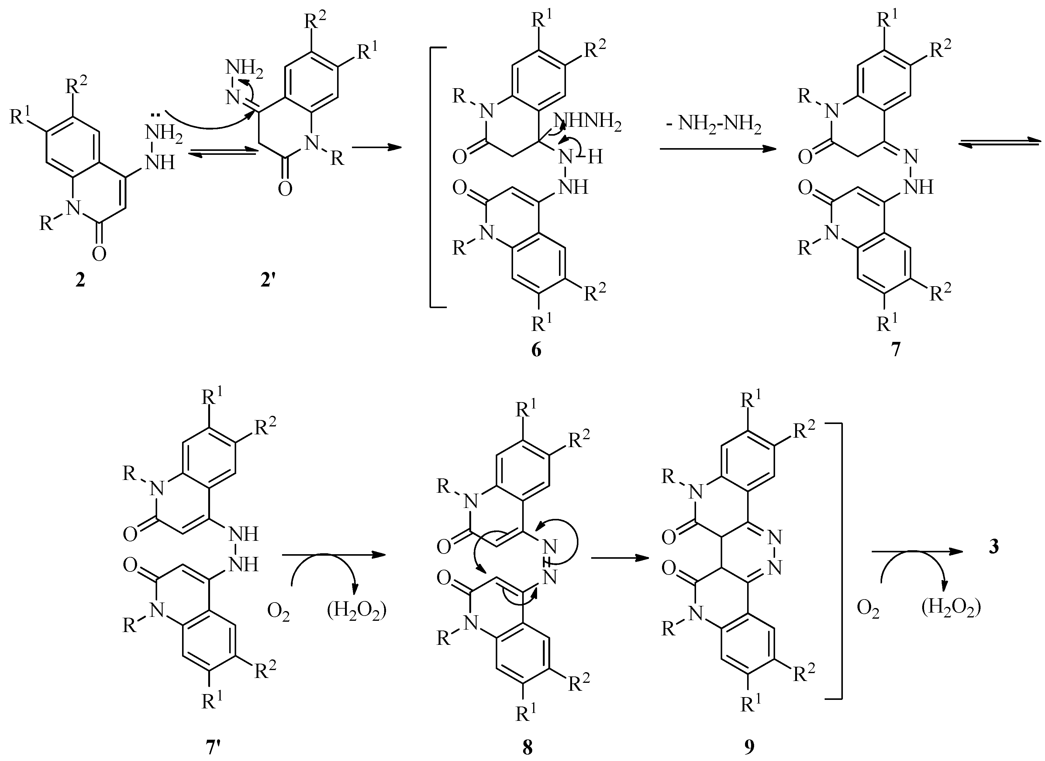
2. Results and Discussion
3. Conclusions
4. Experimental Section
4.1. Chemistry
4.1.1. Starting Materials
4.1.2. General Procedure
5,8-Diethylpyridazino[4,3-c:5,6-c’]diquinoline-6,7(5H,8H)-dione (3a)
5,8-Dimethylpyridazino[4,3-c:5,6-c’]diquinoline-6,7(5H,8H)-dione (3b)
Pyridazino[4,3-c:5,6-c’]diquinoline-6,7(5H,8H)-dione (3c)
2,11-Dimethylpyridazino[4,3-c:5,6-c’]diquinoline-6,7(5H,8H)-dione (3d)
2,11-Dichloropyridazino[4,3-c:5,6-c’]diquinoline-6,7(5H,8H)-dione (3e)
3,10-Dichloropyridazino[4,3-c:5,6-c’]diquinoline-6,7(5H,8H)-dione (3f)
2,11-Dimethoxypyridazino[4,3-c:5,6-c’]diquinoline-6,7(5H,8H)-dione (3g)
4.1.3. Crystal Structure Determination
4.1.4. Theoretical Calculations
Supplementary Materials
Author Contributions
Funding
Institutional Review Board Statement
Informed Consent Statement
Data Availability Statement
Acknowledgments
Conflicts of Interest
Sample Availability
References
- Larghi, E.L.; Bruneau, A.; Sauvage, F.; Alami, M.; Vergnaud-Gauduchon, J.; Messaoudi, S. Synthesis and Biological Activity of 3-(Heteroaryl)quinolin-2(1H)-ones Bis-Heterocycles as Potential Inhibitors of the Protein Folding Machinery Hsp90. Molecules 2022, 27, 412. [Google Scholar] [CrossRef] [PubMed]
- Shruthi, T.G.; Subramanian, S.; Eswaran, S. Design, Synthesis and Study of Antibacterial and Antitubercular Activity of Quinoline Hydrazone Hybrids. Heterocycl. Commun. 2020, 26, 137–147. [Google Scholar]
- Elenich, O.V.; Lytvyn, R.Z.; Blinder, O.V.; Skripskaya, O.V.; Lyavinets, O.S.; Pitkovych, K.E. Synthesis and Antimicrobial Activity of 3-Phenyl-1-Methylquinolin-2-One Derivatives. Pharmaceut. Chem. J. 2019, 52, 969–974. [Google Scholar] [CrossRef]
- Sharma, M.; Goyal, R.; Ahuja, D.; Sharma, A.; Soni, S.L. Antimicrobial and Antifungal Activity of Newly Synthesized 4-Hydroxy Quinoline Derivatives. Eur. J. Mol. Clin. Med. 2020, 7, 2082–2094. [Google Scholar]
- Diaz, J.; Rodenas, D.; Ballester, F.J.; Alajarin, M.; Orenes, R.A.; Sanchez-Andrada, P.; Vidal, A. Unlocking the synthetic potential of aziridine and cyclopropane-fused quinolin-2-ones by regioselective fragmentation of its three-membered rings. Arab. J. Chem. 2020, 13, 2702–2714. [Google Scholar] [CrossRef]
- Aly, A.A.; Ramadan, M.; Abuo-Rahma, G.E.A.; Elshaier, Y.A.M.M.; Elbastawesy, M.A.I.; Brown, A.B.; Bräse, S. Chapter Three—Quinolones as prospective drugs: Their syntheses and biological applications. Adv. Heterocycl. Chem. 2021, 135, 147–196. [Google Scholar]
- Scavone, C.; Mascolo, A.; Ruggiero, R.; Sportiello, L.; Rafaniello, C.; Berrino, L.; Capuano, A. Quinolones-Induced Musculoskeletal, Neurological, and Psychiatric ADRs: A Pharmacovigilance Study Based on Data From the Italian Spontaneous Reporting System. Front. Pharmacol. 2020, 11, 428. [Google Scholar] [CrossRef]
- Khamkhenshorngphanuch, T.; Kulkraisri, K.; Janjamratsaeng, A.; Plabutong, N.; Thammahong, A.; Manadee, K.; Pombejra, S.N.; Khotavivattana, T. Synthesis and Antimicrobial Activity of Novel 4-Hydroxy-2-quinolone Analogs. Molecules 2020, 25, 3059. [Google Scholar] [CrossRef]
- Hassan, M.M.; Hassanin, H.M. An Efficient New Route for the Synthesis of Some 3-Hterocyclylquinolinones via Novel 3-(1,2-Dihydro-4-hydroxy-1-methyl-2-oxoquinolin-3-yl)-3-oxopropanal and Their Antioxidant Screening. J. Heterocycl. Chem. 2017, 54, 3321–3330. [Google Scholar] [CrossRef]
- Wenjie, X.; Xueyao, L.; Guixing, M.; Hongmin, Z.; Ya, C.; Johannes, K.; Jie, X.; Song, W. N-thiadiazole-4-hydroxy-2-quinolone-3-carboxamides bearing heteroaromatic rings as novel antibacterial agents: Design, synthesis, biological evaluation and target identification. Eur. J. Med. Chem. 2020, 188, 112022. [Google Scholar]
- Tzeng, C.C.; Lee, K.H.; Wang, T.C.; Han, C.H.; Chen, Y.L. Synthesis and Cytotoxic evaluation of a series of γ-substituted γ-aryloxymethyl-α-methylene-γ-butyrolactones against cancer cells. Pharmaceut. Res. 2000, 17, 715–719. [Google Scholar] [CrossRef] [PubMed]
- Prajapati, S.M.; Patel, K.D.; Vekariya, R.H.; Panchal, S.N.; Patel, H.D. Recent advances in the synthesis of quinolines: A review. RSC Adv. 2014, 4, 24463–24476. [Google Scholar] [CrossRef]
- Navneetha, O.; Deepthi, K.; Rao, A.M.; Jyostna, T.S. A review on chemotherapeutic activities of quinoline. Int. J. Pharm. Chem. Biol. Sci. 2017, 7, 364–372. [Google Scholar]
- Constable, E.C.; Housecroft, C.E.; Neuburger, M.; Reymann, S.; Schaffner, S. 4-Substituted and 4,5-disubstituted 3,6-di(2-pyridyl)pyridazines: Ligands for supramolecular assemblies. Eur. J. Org. Chem. 2008, 9, 1597–1607. [Google Scholar] [CrossRef]
- Bodman, S.E.; Fitchett, C.M. Silver complexes of symmetrically 4,5-disubstituted 3,6-di(3,5-dimethyl-1H-pyrazol-1-yl)pyridazine. Supramol. Chem. 2015, 27, 840–846. [Google Scholar] [CrossRef]
- Wu, X.; Ji, H. Rhodium-Catalyzed [4 + 1] Cyclization via C–H Activation for the Synthesis of Divergent Heterocycles Bearing a Quaternary Carbon. J. Org. Chem. 2018, 83, 4650–4656. [Google Scholar] [CrossRef] [PubMed]
- Allart-Simon, I.; Moniot, A.; Bisi, N.; Ponce-Vargas, M.; Audonnet, S.; Laronze-Cochard, M.; Sapi, J.; Hénon, E.; Velard, F.; Gérard, S. Pyridazinone derivatives as potential anti-inflammatory agents: Synthesis and biological evaluation as PDE4 inhibitors. RSC Med. Chem. 2021, 12, 584–592. [Google Scholar] [CrossRef]
- Elmasry, G.F.; Aly, E.E.; Awadallah, F.M.; El-Moghazy, S.M. Design and synthesis of novel PARP-1 inhibitors based on pyridopyridazinone scaffold. Bioorg. Chem. 2019, 17, 655–666. [Google Scholar] [CrossRef]
- Besada, P.; Viña, D.; Costas, T.; Costas-Lago, C.M.; Vila, N.; Torres-Terán, I.; Sturlese, M.; Moro, S.; Terán, C. Pyridazinones containing dithiocarbamoyl moieties as a new class of selective MAO-B inhibitors. Bioorg. Chem. 2021, 115, 105203. [Google Scholar] [CrossRef]
- Li, B.; Wen, H.-M.; Wang, H.; Wu, H.; Yildirim, T.; Zhou, W.; Chen, B. Porous metal-organic frameworks with Lewis basic nitrogen sites for high-capacity methane storage. Energy Environ. Sci. 2015, 8, 2504–2511. [Google Scholar] [CrossRef]
- Saquib, M.; Ansari, M.; Johnson, C.R.; Khatoon, S.; Hussain, M.K.; Coop, A. Recent advances in the targeting of human DNA ligase I as a potential new strategy for cancer treatment. Eur. J. Med. Chem. 2019, 182, 111657. [Google Scholar] [CrossRef] [PubMed]
- Hamed, M.Y.; Aly, A.M.; Abdullah, N.H.; Ismail, M.F. Synthesis, Characterization and Antifungal Evaluation of Novel Pyridazin-3(2H)-One Derivatives. Polycyc. Aromat. Compd. 2022. [Google Scholar] [CrossRef]
- Gokce, M.; Utku, S.; Kupeli, E. Synthesis and analgesic and anti-inflammatory activities 6-substituted-3(2H)-pyridazinone-2-acetyl-2-(p-substituted/nonsubstituted benzal)hydrazone derivatives. Eur. J. Med. Chem. 2009, 44, 3760–3764. [Google Scholar] [CrossRef]
- Rubat, C.; Coudert, P.; Tronche, P.; Bastide, J.; Bastide, P.; Privat, A.M. Synthesis and pharmacological evaluation of N-substituted 4, 6-diaryl-3-pyridazinones as analgesic, antiinflammatory and antipyretic agents. Chem. Pharm. Bull. 1989, 37, 2832–2835. [Google Scholar] [CrossRef] [Green Version]
- Rathish, I.G.; Javed, K.; Bano, S.; Ahmad, S.; Alam, M.S.; Pillai, K.K. Synthesis and blood glucose lowering effect of novel pyridazinone substituted benzenesulfonylurea derivatives. Eur. J. Med. Chem. 2009, 44, 2673–2678. [Google Scholar] [CrossRef]
- Abouzid, K.; Hakeem, M.A.; Khalil, O.; Maklad, Y. Pyridazinone derivatives: Design, synthesis, and In Vitro vasorelaxant activity. Bioorg. Med. Chem. 2008, 16, 382–389. [Google Scholar] [CrossRef]
- Cao, S.; Qian, X.; Song, G.; Chai, B.; Jiang, Z. Synthesis and antifeedant activity of new oxadiazolyl 3(2H)-pyridazinones. J. Agric. Food Chem. 2003, 51, 152–155. [Google Scholar] [CrossRef]
- Asif, M.; Singh, A.; Siddiqui, A.A. Effect of pyridazine compounds on cardiovascular system. Med. Chem. Res. 2012, 21, 3336–3346. [Google Scholar] [CrossRef]
- Contreras, J.M.; Rival, Y.M.; Chayer, S.; Bourguignon, J.J.; Wermuth, C.G. Aminopyridazines as acetylcholinesterase inhibitors. J. Med. Chem. 1999, 42, 730–741. [Google Scholar] [CrossRef]
- Grote, R.; Chen, Y.; Zeeck, A.; Chen, Z.X.; Zähner, H.; Mischnick-Lübbecke, P.; König, W.A. Metabolic products of microorganisms. 243. Pyridazomycin, a new antifungal antibiotic produced by Streptomyces violaceoniger. J. Antibiot. 1988, 41, 595–601. [Google Scholar] [CrossRef] [Green Version]
- Horkel, E. Metalation of Pyridazine, Cinnoline, and Phthalazine. Top Heterocycl. Chem. 2013, 31, 223–268. [Google Scholar]
- Schmidt, E.W. One Hundred Years of Hydrazine Chemistry. In Proceedings of the 3rd Conference on Environmental Chemistry of Hydrazine Fuels, Panama City Beach, FL, USA, 17 September 1988; pp. 4–16. [Google Scholar]
- Moliner, A.M.; Street, J.J. Decomposition of Hydrazine in Aqueous Solutions. J. Environ. Qual. 1989, 18, 483–487. [Google Scholar] [CrossRef]
- Wagnerová, D.M.; Schewertnerová, E.; Vepřek-Šiška, J. Autooxidation of hydrazine catalyzed by tetrasulphophthalocyanines. Collect. Czech Chem. Commun. 1973, 38, 756–764. [Google Scholar] [CrossRef]
- Helal, A.; Qamaruddin, M.; Aziz, M.A.; Shaikh, M.N.; Yamani, Z.H. MB-UiO-66-NH2 metal-organic framework as chromogenic and fluorogenic sensor for hydrazine hydrate in aqueous solution. ChemistrySelect 2017, 2, 7630–7636. [Google Scholar] [CrossRef]
- Sahin, T.; Vairaprakash, P.; Borbas, K.E.; Balasubramanian, T.; Lindsey, J.S. Hydrophilic bioconjugatable trans-AB-porphyrins and peptide conjugates. J. Porphyr. Phthalocyanines 2015, 19, 663–678. [Google Scholar] [CrossRef]
- Hong, A.P.; Chen, T.-C. Catalyzed autoxidation of hydrazine by cobalt(II) 4,4′,4″,4‴-tetrasulfophthalocyanine. Environ. Sci. Technol. 1993, 27, 2404–2411. [Google Scholar] [CrossRef]
- Hassan, H. Unanticipated Heterocyclization from Reaction of Hydrazine Hydrate and/or Hydrazine Dihydrochloride with 1-Ethyl-4-hydroxyquinolin-2(1H)-one. J. Heterocycl. Chem. 2019, 56, 646–650. [Google Scholar] [CrossRef]
- Guanxing, Z.; Gang, Z. Access to a Phthalazine Derivative Through an Angular cis-Quinacridone. J. Org. Chem. 2021, 86, 1198–1203. [Google Scholar]
- Le-Nhat-Thuy, G.; Thi, T.A.D.; Thi, Q.G.N.; Thi, P.H.; Nguyen, T.A.; Nguyen, H.T.; Thi, T.H.N.; Nguyen, H.S.; Nguyen, T. Synthesis and biological evaluation of novel benzo[a]pyridazino[3,4-c]phenazine derivatives. Biorgan. Med. Chem. Lett. 2021, 43, 128054. [Google Scholar] [CrossRef]
- Zhang, Y.; Sim, J.H.; MacMillan, S.N.; Lambert, T.H. Synthesis of 1,2-Dihydroquinolines via Hydrazine-Catalyzed Ring-Closing Carbonyl-Olefin Metathesis. Org. Lett. 2020, 22, 6026–6030. [Google Scholar] [CrossRef]
- Aly, A.A.; Hassan, A.A.; Mohamed, A.H.; Osman, E.M.; Bräse, S.; Nieger, M.; Ibrahim, M.A.A.; Mostafa, S.M. Synthesis of 3,3′-methylenebis- (4-hydroxyquinolin-2(1H)-ones) of prospective anti-COVID-19. Mol. Divers. 2021, 25, 461–471. [Google Scholar] [CrossRef] [PubMed]
- Abass, M. Chemistry of substituted quinolinones. Part II synthesis of novel 4-pyrazolylquinolinone derivatives. Synth. Commun. 2000, 30, 2735–2757. [Google Scholar] [CrossRef]
- Ismail, M.; Abass, M.; Hassan, M. Chemistry of substituted quinolinones. Part VI. Synthesis and nucleophilic reactions of 4-chloro-8-methylquinolin-2(1H)-one and its thione analogue. Molecules 2000, 5, 1224–1239. [Google Scholar] [CrossRef] [Green Version]
- Ismail, M.; Abdel-Megid, M.; Hassan, M. Some reactions of 2-and 4-substituted 8-methylquinolin-2(1H)-ones and their thioanalogues. Chem. Papers Slovak Acad. Sci. 2004, 58, 117–125. [Google Scholar]
- Aly, A.A.; Sayed, S.M.; Abdelhafez, E.M.N.; Abdelhafez, S.M.N.; Abdelzaher, W.Y.; Raslan, M.A.; Ahmed, A.E.; Thabet, K.; El-Reedy, A.A.M.; Brown, A.B.; et al. New quinoline-2-one/pyrazole derivatives; design, synthesis, molecular docking, antiapoptotic evaluation, and caspase-3 inhibition assay. Bioorg. Chem. 2020, 94, 103348. [Google Scholar] [CrossRef]
- Hofmann, J.; Jasch, H.; Heinrich, M.R. Oxidative Radical arylation of anilines with arylhydrazines and dioxygen from Air. J. Org. Chem. 2014, 79, 2314–2320. [Google Scholar] [CrossRef]
- Liu, W.; Twilton, J.; Wei, B.; Lee, M.; Hopkins, M.N.; Bacsa, J.; Stahl, S.S.; Davies, H.M.L. Copper-catalyzed oxidation of hydrazones to diazo compounds using oxygen as the terminal oxidant. ACS Catal. 2021, 11, 2676–2683. [Google Scholar] [CrossRef]
- Bader, R.F.W. Atoms in Molecules. Acc. Chem. Res. 1985, 18, 9–15. [Google Scholar] [CrossRef]
- Johnson, E.R.; Keinan, S.; Mori-Sanchez, P.; Contreras-Garcia, J.; Cohen, A.J.; Yang, W. Revealing noncovalent interactions. J. Am. Chem. Soc. 2010, 132, 6498–6506. [Google Scholar] [CrossRef] [Green Version]
- Sheldrick, G.M. SHELXT—Integrated space-group and crystal-structure determination. Acta Crystallogr. 2015, 71A, 3–8. [Google Scholar] [CrossRef] [Green Version]
- Parson, S.; Flack, H.D.; Wagner, T. Use of intensity quotients and differences in absolute structure refinement. Acta Crystallogr. 2013, 69B, 249–259. [Google Scholar] [CrossRef] [PubMed] [Green Version]
- Becke, A.D. Density-functional exchange-energy approximation with correct asymptotic behavior. Phys. Rev. A 1988, 38, 3098–3100. [Google Scholar] [CrossRef] [PubMed]
- Lee, C.; Yang, W.; Parr, R.G. Development of the Colle-Salvetti correlation-energy formula into a functional of the electron density. Phys. Rev. B 1988, 37, 785–789. [Google Scholar] [CrossRef] [PubMed] [Green Version]
- Krishnan, R.; Binkley, J.S.; Seeger, R.; Pople, J.A. Self-consistent molecular orbital methods. XX. A basis set for correlated wave functions. J. Chem. Phys. 1980, 72, 650–654. [Google Scholar] [CrossRef]
- Lu, T.; Chen, F.; Multiwfn, F. A multifunctional wavefunction analyzer. J. Comput. Chem. 2012, 33, 580–592. [Google Scholar] [CrossRef]
- Humphrey, W.; Dalke, A.; Schulten, K. VMD: Visual molecular dynamics. J. Mol. Graph. 1996, 14, 33–38. [Google Scholar] [CrossRef]
- Frisch, M.J.; Trucks, G.W.; Schlegel, H.B.; Scuseria, G.E.; Robb, M.A.; Cheeseman, J.R.; Scalmani, G.; Barone, V.; Mennucci, B.; Petersson, G.A.; et al. Gaussian 09, Revision E.01; Gaussian, Inc.: Wallingford, CT, USA, 2009. [Google Scholar]







| Entry | Method | Yields of 3a (%) |
|---|---|---|
| A | Pyridine, reflux, 8 h | 88 |
| B | EtONa/EtOH, reflux 24 h a | 74 |
| C | Toluene/Et3N, reflux, 2 d b | 60 |
| D | DMF/Et3N, reflux 20 h c | 78 |
| E | Na/Toluene, reflux 18 h d | 82 |
| F | EtOH/HCl, reflux e | No reaction |
Publisher’s Note: MDPI stays neutral with regard to jurisdictional claims in published maps and institutional affiliations. |
© 2022 by the authors. Licensee MDPI, Basel, Switzerland. This article is an open access article distributed under the terms and conditions of the Creative Commons Attribution (CC BY) license (https://creativecommons.org/licenses/by/4.0/).
Share and Cite
Mostafa, S.M.; Aly, A.A.; Hassan, A.A.; Osman, E.M.; Bräse, S.; Nieger, M.; Ibrahim, M.A.A.; Mohamed, A.H. Autoxidation of 4-Hydrazinylquinolin-2(1H)-one; Synthesis of Pyridazino[4,3-c:5,6-c′]diquinoline-6,7(5H,8H)-diones. Molecules 2022, 27, 2125. https://doi.org/10.3390/molecules27072125
Mostafa SM, Aly AA, Hassan AA, Osman EM, Bräse S, Nieger M, Ibrahim MAA, Mohamed AH. Autoxidation of 4-Hydrazinylquinolin-2(1H)-one; Synthesis of Pyridazino[4,3-c:5,6-c′]diquinoline-6,7(5H,8H)-diones. Molecules. 2022; 27(7):2125. https://doi.org/10.3390/molecules27072125
Chicago/Turabian StyleMostafa, Sara M., Ashraf A. Aly, Alaa A. Hassan, Esraa M. Osman, Stefan Bräse, Martin Nieger, Mahmoud A. A. Ibrahim, and Asmaa H. Mohamed. 2022. "Autoxidation of 4-Hydrazinylquinolin-2(1H)-one; Synthesis of Pyridazino[4,3-c:5,6-c′]diquinoline-6,7(5H,8H)-diones" Molecules 27, no. 7: 2125. https://doi.org/10.3390/molecules27072125
APA StyleMostafa, S. M., Aly, A. A., Hassan, A. A., Osman, E. M., Bräse, S., Nieger, M., Ibrahim, M. A. A., & Mohamed, A. H. (2022). Autoxidation of 4-Hydrazinylquinolin-2(1H)-one; Synthesis of Pyridazino[4,3-c:5,6-c′]diquinoline-6,7(5H,8H)-diones. Molecules, 27(7), 2125. https://doi.org/10.3390/molecules27072125

