Abstract
Described in this paper are studies on the preparation of three classes of dimethylpyridinols derived from pyridoxine fused with aminooxazole, aminoimidazole, and aminopyrrole. The key feature of this synthetic strategy is the manipulation of hydroxymethyl moiety of C(5)-position of the pyridoxine starting material along with the installation of an amino group at C(6)-position. Efficient and practical synthesis for the oxazole- and imidazole-fused targets was accomplished, while the instability of the pyrrole-fused one was observed.
1. Introduction
Phenotypic screening campaigns have long been crucial to the identification of biologically active small molecules in conjunction with target-based approaches [1,2]. Because of their biological relevancy and favorable physicochemical properties, novel scaffolds from nature are frequently used to inspire the preparation of compound collections for phenotypic screening [3,4,5,6]. Pyridoxine (1) is a form of vitamin B6 that scavenges reactive oxygen species and regulates diverse cellular metabolisms, including amino acid biosynthesis and fatty acid biosynthesis (Figure 1) [7,8,9,10,11]. Inspired by pyridoxin (1), our group has pursued derivative syntheses along with biological investigations to explore the pharmacological potential of the 6-aminopyridin-3-ol scaffold (2). The class of aminopyridinols (3) was found to have anti-angiogenic activity, which is linked to cancer and age-related diseases, as well as anti-inflammatory activity against ulcerative colitis. [12,13]. Notably, remarkable anticancer activity was observed in novel structures where the 6-aminopyridin-3-ol core was hybridized with biologically active agents such as α-tocopherol and sunitinib. An α-tocopherol-hybridized compound 10 suppressed lung tumor growth by dual inhibition of NADPH oxidase 2 and receptor tyrosine kinases. A sunitinib-hybridized compound 11 was also discovered as an apoptosis-inducing anticancer agent by controlling the p53 level, with a safer cytotoxicity profile than sunitinib [14]. Therefore, these results showcase that the 6-amino-pyridin-3-ol scaffolds indeed have the potential to provide favorable biological activities and demand further studies to expand the scope of the scaffolds.
Figure 1.
Pyridoxine-derived compounds.
Our previous synthetic strategies for lead compound discovery are summarized and illustrated in Figure 1 [12,13,15,16,17,18,19,20,21,22]. Using an amine group of 2 at C(6)-position as a synthetic handle, amidopyridinols 3 and ureido-/thioureido-/carbamato-pyridinols 4 have been synthesized to generate a diverse set of compound collections [23,24,25,26,27]. In addition, heteroatom-containing bicyclic pyridinols 6 were designed and constructed, providing more constrained structures [14,28,29,30,31,32,33]. As an ongoing project to increase the compound diversity of 6-amino-pyridin-3-ol collections, here we present synthetic studies towards the preparation of three bicyclic pyridinol backbones 12~14 fused with five-membered heteroaromatic ring systems (Scheme 1). Our strategy for the synthesis of pyrrolo- (12), imidazolo- (13), and oxazolo-pyridinol (14) features divergent synthesis starting from pyridoxine, in line with the previous syntheses of pyridinol derivatives [31]. We also envision the introduction of an additional amino functional group on a five-membered ring, which would allow for appendage derivatization in the future. In this work, the hydroxy group at C(5′)-position in pyridoxine (1) serves as a synthetic tool for the installation of various functionalities, including nitrile, amide, phenolic OH, and anilinic NH2 in synthetic intermediates.
Scheme 1.
Pyridoxine-derived five-membered heterocycle-fused pyridinols.
2. Results and Discussion
A general outline of the synthetic strategy for the preparation of dimethylpyridinols fused with aminooxazole (12), aminoimidazole (13), and aminopyrrole (14) is shown in Scheme 2. This began with the preparation of known primary alcohol 15, which was used as a common intermediate for the syntheses of three final products, according to the three-step sequence starting from pyridoxine (1) established by us [10,31].
Scheme 2.
A strategy for the divergent synthesis of dimethylpyridinols fused with aminooxazole (12), aminoimidazole (13), and aminopyrrole (14) starting from pyridoxine (1). Solid arrows: known methods established by us. Dotted arrow: methods developed in this study. (a) Zn, AcOH, reflux, 12 h, 81%; (b) PhCH2Br, K2CO3, DMF, r.t., 12 h, 91%; (c) K2CO3, MeOH, r.t., 0.5 h, 98%; (d) NaOCl, TEMPO, NaHCO3, CH2Cl2–H2O, r.t., 1 h, 88%; (e) (i) I2, NH4OH, THF–H2O, r.t., 1 h; (ii) H2O2, NH4OH, THF–H2O, 91%; (f) NaOCl, NaOH, THF–H2O, r.t., 1 h, 93%; (g) NaNO2, H2SO4, THF–H2O, 0 °C, 1 h, r.t. 2 h, 86%; (h) PhNH2, NaNO2, 6 M HCl, 2.5 M NaOH, THF–H2O, 0 °C, 1 h then r.t., 2 h, 95%; (i) Zn, AcOH, MeOH, reflux, 1 h, 80%; (j) SOCl2, DMF, ClCH2CH2Cl, reflux, 12 h, 94%; (k) KCN, DMF, 40 °C, 2 d, 82%.
First, for the synthesis of the aminooxazole-containing analogue 12, the hydroxymethyl moiety of 15 was converted to amine 17 in three steps [31]. The amino group of 17 was replaced by hydroxy group to afford 18 as we previously reported [31]. Then, an amine group was successfully introduced at the C(2)-position of 18 in the presence of free alcohol at the C(3)-position, without additional protection/deprotection steps [31]. The resulting 2-amino-3-hydroxy pyridinol 19 was nicely constructed to test the formation of the aminooxazole moiety. Gratefully, the formation of the aminooxazole ring was accomplished by using cyanogen bromide in almost quantitative yield (compound 23) [34], which was followed by debenzylation to afford the first target compound 12 (Scheme 3).
Scheme 3.
Synthesis of 2-amino-5,7-dimethyloxazolo[4,5-b]pyridine-6-ol (12). Reagents and Conditions: (a) BrCN, H2O, reflux, 15 min, 99%; (b) H2, Pd/C, MeOH, r.t., 6 h, 99%.
Having observed the successful aminooxazole formation, we applied a similar approach to achieve analogue synthesis, which is the installation of corresponding functional groups followed by cyclization as outlined in Scheme 2. Since aminopyridinol intermediates (15~17) with diverse functionalities were generated during the preparation of aminooxazolopyridinol 12, we envisaged that these intermediates could serve as great branching points for the synthesis of aminoimidazole 13 and aminopyrrole 14.
The synthesis of aminoimidazolopyridinol 13 initiated with the preparation of the diamine compound 20 (Scheme 4). We first attempted to introduce an amino group at 2-position of the pyridine ring in the primary amide compound 16 via phthalimidation and subsequent Hofmann rearrangement (the left side of Scheme 4). After m-CPBA oxidation of 16 to pyridine N-oxide 24, the nucleophilic addition of phthalimide to the O-p-toluenesulfonylated pyridinium intermediate followed by the elimination of p-toluenesulfonic acid afforded 25. Removal of the N-phthalyl group in 25 was smoothly proceeded by the treatment of hydrazine to give free amine 26 [31]. The trial for Hofmann rearrangement of the primary amide compound 26 to obtain the diamine compound 20 was performed in a mixed solvent with alkaline water and tetrahydrofuran, employing hypochlorite for activation of the primary amide. However, contrary to our expectations, the desired diamine compound 20 was not produced under the reaction conditions. A cyclic urea compound 27 was instead obtained in a moderate yield (40%).
Scheme 4.
Synthesis of 2-amino-5,7-dimethyl-1H-imidazo[4,5-b]pyridin-6-ol (13). Reagents and Conditions: (a) m-CPBA, CH2Cl2, r.t., 1 h, 83%; (b) p-TsCl, phthalimide, i-Pr2NEt, r.t., 1 h, 75%; (c) H2NNH2·H2O, THF−EtOH, r.t., 12 h, 84%; (d) NaOCl, NaOH, THF−H2O, r.t., 1 h, 90 °C, 2 h, 40% (for 27); (e) NaOCl, NaOH, THF−H2O, r.t., 1 h, 70%; (f) m-CPBA, CH2Cl2, r.t., 1 h, 65%; (g) p-TsCl, phthalimide, i-Pr2NEt, r.t., 1 h, 72%; (h) H2NNH2·H2O, THF−EtOH, r.t., 12 h, 73%; (i) BrCN, H2O, reflux, 15 min, 85%; (j) BCl3, CH2Cl2, r.t., 12 h, 87%.
A possible route of the formation of imidazolidinone compound 27 is shown in Scheme 5. Once reactive isocyanate intermediate 32 was formed via the rearrangement of N-chloroamide intermediate 31, and the amine at 2-position might attack the isocyanate to form a five-membered cyclic urea 27. Since we experienced such a fact in this trial, we expected that using water as a solvent would increase the probability of transformation of isocyanate intermediate 32 to carbamic acid 33, which then spontaneously decomposed to the desired diamine 20 with the liberation of carbon dioxide. However, based on the results we observed, the intramolecular cyclization outcompeted the hydroxide (or water) addition to the isocyanate 32. Several attempts to cleave the urea of compound 27 to obtain the diamine 20 under acidic conditions with high temperatures only gave a debenzylated compound quantitatively instead of the desired product.
Scheme 5.
Plausible mechanism for the formation of cyclic urea compound 27.
To avoid such a troublesome intramolecular cyclization issue, we decided to change the synthetic sequence. The conversion of the primary amide group at C(3)-position to a free amino group was performed prior to the installation of another free amino group at C(2)-position as depicted on the right side of Scheme 4. Hofmann rearrangement of 16 followed by N-oxide formation (28) and phthalimide substitution proceeded smoothly to afford 29, which was then treated with hydrazine to produce the diamine compound 20. The aminoimidazole backbone of compound 30 was successfully constructed by the treatment of 20 with cyanogen bromide. Finally, the aminoimidazole-fused pyridinol 13 was obtained by debenzylation.
Next, we investigated the synthesis of aminopyrrole-containing analog 14 (Scheme 6). The initial attempt includes the substitution of primary alcohol of the common intermediate 15 with nitrile functionality (21) [31] and phthalimidation of N-oxide compound 34. Reactions proceeded smoothly, generating compound 35, and phthalimide cleavage using hydrazine successfully furnished the requisite substrate 36 for aminopyrrole formation.
Scheme 6.
Synthesis of the substrate 36 for 2-amino-4,6-dimethyl-1H-pyrrolo[2,3-b]pyridin-5-ol (14). Reagents and Conditions: (a) m-CPBA, CH2Cl2, r.t., 1 h, 92%; (b) p-TsCl, phthalimide, i-Pr2NEt, r.t., 1 h, 63%; (c) H2NNH2·H2O, THF, EtOH, r.t., 12 h, 67%.
Having installed the 2-amino group together with the nitrile group in 36, trials were made for the cyclization to form a 2-amino-7-azaindole framework. According to a database search result using the SciFindern on the transformation of reactants 38 to products 39, no example has been known in the case of an unsubstituted compound at C(#)-position (Scheme 7). Even if the search range was expanded to cases where there was a substituent other than hydrogen at the C(#)-position, only a couple of examples were found including the synthesis of compound 41 [35,36]. Formation of 2-aminoindoles, such as compound 43, from C(#)-unsubstituted-2-(2-aminopyridin-3-yl)acetonitrile compounds, such as 42, was also found to be rare [37,38].
Scheme 7.
Database search results using SciFindern on the formation of aminopyrrole-fused benzenes/pyridines and representative examples. The α-position to nitrile is indicated with “#” sign.
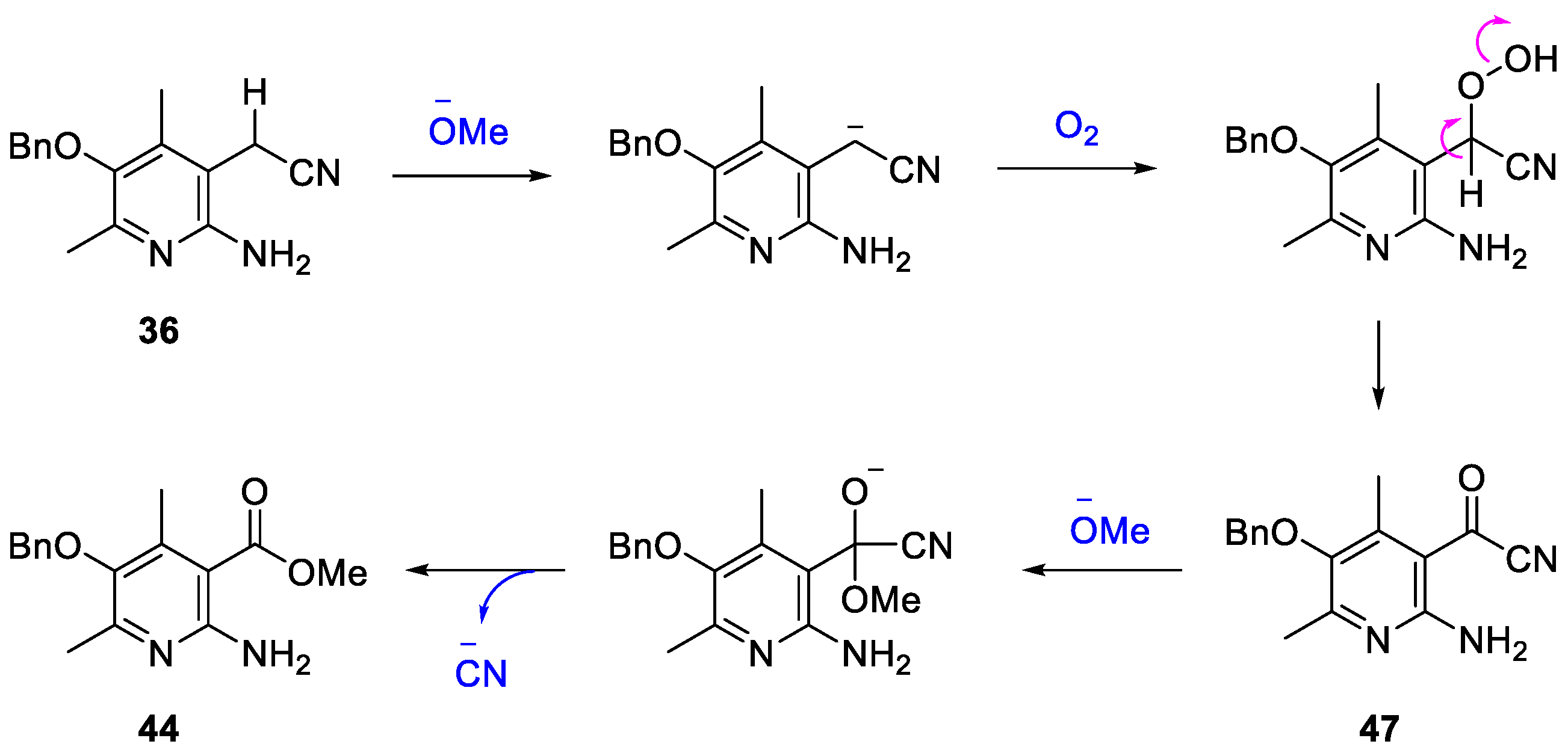
The first trial was done under basic conditions using sodium methoxide, which has been successfully applied in the preparation of 2-aminoindole ring formation (Scheme 8) [37]. Contrary to the literature in which the 2-aminoindole 43 was obtained in 70% yield from 42 (Scheme 7), the reaction of compound 36 under the same reaction conditions was messy, and the desired product 37 was not obtained. It can be presumed that the difference in nucleophilicity between the amine attached to benzene in compound 42 and the amine attached to pyridine in compound 36 might be one of the main reasons for the success or failure of the 2-aminopyrrole cyclization reaction under similar reaction conditions. Interestingly, the formation of a very small amount of a by-product 44 was observed instead. We speculate that this side reaction may have proceeded as follows (Scheme 9). Formation of α-ketonitrile intermediate 47 might have been facilitated by the deprotonation with methoxide at the site adjacent to the nitrile group in 36, which is also a benzylic position. After the successive aerobic oxidation, the cyano group of 47 might be replaced by methoxide anion affording compound 44.
Scheme 8.
Attempts on the cyclization towards 2-aminopyrrole.
Scheme 9.
Possible mechanism for the formation of compound 44.
To avoid such a deprotonation/oxidation problem, we exposed compound 36 to hot acetic acid. However, the desired 2-amino-7-azaindole compound 37 was not obtained under the acidic conditions either. Instead, its N-acetyl compound 44 was obtained, albeit in small quantities, and the formation of a lactam 46 was also observed. Use of an additive like zinc acetate to activate the cyclization improved the formation of compound 44 to some extent. Unlike the other two targets, aminooxazolopyridinol and aminoimidazolopyridinol, which were readily prepared, an aminopyrrolopyridine-containing compound like 37 might be presumed to have quite poor chemical stability. The free amino compound 37 was not obtained under both basic and acidic reaction conditions, and even the isolated pure N-acetylated compound 44 was observed to gradually decompose in solution over time. Naturally, all efforts made for N-deacetylation were not fruitful.
Based on our observations, a possible mechanism for the generation of 45 and 46 was proposed in Scheme 10. The reaction is initiated by intramolecular cyclization of 36 to form a 1,3-dihydro-2H-pyrrole-2-imine 37′, which undergoes tautomerization to yield a 2-aminopyrrole 37. Under the reflux condition, the electron-rich amino group in 37 further reacts with acetic acid to generate N-acetyl adduct 45. Another pathway involves the nucleophilic addition of acetic acid to the electrophilic imine-carbon in 37′ and the subsequent elimination of ammonia to afford 48. Acidolysis of the resulting acetate 48 followed by tautomerization provides a lactam 46. Since high temperature and long reaction time are necessary to make the intramolecular cyclization of 36 happen, the reversible reactions illustrated in Scheme 10 might occur and generate the mixture of 45 and 46. Unlike our system, compound 40 contains an additional ester group at the C(#)-position (Scheme 7) [35]. This carbonyl functional group may accelerate cyclization/tautomerization events and make the resulting amine of 41 less nucleophilic, preventing the formation of an N-acetyl adduct of 41.
Scheme 10.
Possible mechanism for the formation of compounds 45 and 46.
3. Materials and Methods
3.1. General
Unless otherwise specified, all the materials obtained from Merck (Kenilworth, NJ, USA), TCI (Tokyo, Japan), and Alfa Aesar (Ward Hill, MA, USA) were used without further purification. Inert gas conditions were applied to the sensitive reactions towards air and moisture. The progress of the reactions was traced by TLC analysis using silica gel 60 F254 plates (Merck, Kenilworth, NJ, USA). Visualization of the TLC spots was done using a UV lamp (254 nm, Spectroline Corp., Westbury, NY, USA) and staining solutions (Anisaldehyde solution and KMnO4 solution) prepared by us using commercially available reagents. Products were purified by flash column chromatography using silica gel 60 (70–230 mesh, Merck, Kenilworth, NJ, USA) or by using the Biotage ‘Isolera One’ (Biotage, Uppsala, Sweden) system with indicated solvents. Melting points were determined using a Büchi melting point B-540 apparatus (Büchi Labortechnik, Flawil, Switzerland) and were unchanged. 1H and 13C NMR spectra were obtained using a Bruker-250 spectrometer (1H and 13C frequencies were 250 and 63 MHz, respectively, Bruker Corp., Billerica, MA, USA), and a Bruker Avance Neo 400 spectrometer (1H and 13C frequencies were 400 and 100 MHz, respectively, Bruker Corp., Billerica, MA, USA). 1H and 13C NMR spectra of all synthesized molecules are available in the Supplementary Materials (Figures S1–S26). Chemical shifts (δ) were expressed in ppm calibrated to residual solvent signals and the coupling constant (J) in hertz. HR-ESIMS was performed using a Thermo Scientific Q Exactive hybrid Quadrupole-Orbitrap mass spectrometer (Waltham, MA, USA) coupled to a Thermo Scientific Vanquish UHPLC system (Waltham, MA, USA) at the Core Research Support Center for Natural Products and Medical Materials (CRCNM).
3.2. 6-(Benzyloxy)-5,7-dimethyloxazolo[4,5-b]pyridin-2-amine (23)
To a solution of cyanogen bromide (30 mg, 0.12 mmol) in H2O (2 mL), we added Compound 19 (13 mg, 0.13 mmol). The resulting mixture was refluxed for 15 min. On completion of reaction, the reaction mixture was cooled to room temperature and neutralized using NaHCO3. The solids precipitated out were filtered and washed using CHCl3. The organic phase was dried over MgSO4, filtered, and concentrated to give 23 (33 mg, 99%) as a white solid. Rf 0.36 (CHCl3:MeOH = 15:1); m.p. 153 °C; 1H NMR (DMSO-d6) δ 7.69 (s, 2H), 7.51–7.32 (m, 6H), 4.81 (s, 2H), 2.37 (s, 3H), 2.27 (s, 3H); 13C NMR (DMSO-d6) δ 164.6, 152.7, 145.6, 145.0, 138.2, 137.1, 128.4 (2C), 128.2 (2C), 128.1, 120.5, 74.7, 19.2, 9.5; HRMS (ESI) m/z [M+H]+ calculated for C15H16N3O2 270.1237, found 270.1235.
3.3. 2-Amino-5,7-dimethyloxazolo[4,5-b]pyridin-6-ol (12)
To a solution of compound 23 (28 mg, 0.10 mmol) in MeOH (3 mL), we added 10% palladium on activated carbon (5 mg). The mixture was stirred under hydrogen atmosphere at room temperature for 6 h. The mixture was filtered through celite pad and the filtrated was concentrated to give 12 (18 mg, 99%) as a white solid. Rf 0.32 (CHCl3:MeOH = 7:1); m.p. 282 °C; 1H NMR (DMSO-d6) δ 8.25 (br s, 1H), 7.43 (s, 2H), 2.32 (s, 3H), 2.22 (s, 3H); 13C NMR (DMSO-d6) δ 163.4, 149.5, 143.6, 139.8, 138.4, 115.8, 19.6, 9.5; HRMS (ESI) m/z [M+H]+ calculated for C8H10N3O2 180.0768, found 180.0767.
3.4. 6-Benzyloxy-5,7-dimethyl-1H-imidazo[4,5-b]pyridin-2(3H)-one (27)
To a solution of NaOH (100 mg, 0.37 mmol) in THF–H2O (1:1, 8 mL), we added 4% aqueous NaOCl (2 mL) and 26 (45 mg, 1.10 mmol). The mixture was stirred at room temperature for 1 h and then at 90 °C for 2 h. The mixture was cooled to room temperature and diluted with CH2Cl2. The organic layer was neutralized with saturated aqueous NH4Cl solution, and the aqueous layer was extracted with CH2Cl2. The combined organic solution was washed with brine, dried over MgSO4, and concentrated to give 27 (39 mg, 40%) as a white solid. Rf 0.40 (CHCl3:MeOH = 10:1); m.p. 295 °C; 1H NMR (DMSO-d6) δ 11.0 (br s, 1H), 7.50–7.36 (m, 4H), 4.77 (s, 2H), 2.33 (s, 3H), 2.20 (s, 3H); 13C NMR (DMSO-d6) δ 155.3, 146.5, 140.9, 139.8, 137.3, 128.4 (2C), 128.2 (2C), 128.1, 121.9, 120.3, 74.5, 18.8, 10.6; HRMS (ESI) m/z [M+H]+ calculated for C15H16N3O2 270.1237, found 270.1243.
3.5. 5-Amino-3-(benzyloxy)-2,4-dimethylpyridine 1-oxide (28)
To a solution of compound 17 (100 mg, 0.44 mmol) in CH2Cl2 (3 mL), we added m-CPBA (84 mg, 0.49 mmol). The mixture was stirred at room temperature for 1 h and was diluted with CH2Cl2. The organic layer was successively washed with saturated aqueous NaHCO3 solution and brine. The resulting organic solution was then dried over MgSO4, filtered, and concentrated. The residue was purified by silica gel column chromatography (CH2Cl2:MeOH = 15:1) to give 28 (66 mg, 62%) as a white solid. Rf 0.25 (CHCl3:MeOH = 15:1); m.p. 164 °C; MS m/z 245 [M+H]+; 1H NMR (CDCl3) δ 7.80 (s, 1H), 7.51–7.35 (m, 5H), 4.75 (s, 2H), 4.06 (br s, 2H), 2.36 (s, 3H), 2.02 (s, 3H); 13C NMR (CDCl3) δ 153.2, 141.7, 136.1, 134.6, 128.8 (2C), 128.6, 128.2 (2C), 123.2, 117.9, 75.8, 11.3, 9.9; HRMS (ESI) m/z [M+H]+ calculated for C14H17N2O2 245.1285, found 245.1282.
3.6. 2-(3-Amino-5-(benzyloxy)-4,6-dimethylpyridin-2-yl)isoindoline-1,3-dione (29)
To a solution of compound 28 (66 mg, 0.27 mmol) in anhydrous CH2Cl2 (15 mL), we added phthalimide (40 mg, 0.27 mmol), N,N-diisopropylethylamine (0.15 mL, 0.81 mmol), and p-tosyl chloride (77 mg, 0.41 mmol). The mixture was stirred under argon atmosphere at room temperature for 1 h. The mixture was diluted with CH2Cl2, and the organic phase was washed with H2O. The organic solution was dried over MgSO4, filtered, and concentrated. The residual solid was filtered and washed with Et2O to give 29 (73 mg, 72%) as a white solid. Rf 0.41 (CHCl3:MeOH = 20:1); m.p. 156 °C; 1H NMR (CDCl3) δ 7.93 (dd, J = 5.2, 2.9 Hz, 2H), 7.85–7.69 (m, 2H), 7.56–7.33 (m, 5H), 4.84 (s, 2H), 3.60 (br s, 2H), 2.46 (s, 3H), 2.16 (s, 3H); 13C NMR (CDCl3) δ 167.4 (2C), 153.0, 142.3, 138.2, 136.9, 134.6 (2C), 132.3 (2C), 128.8 (2C), 128.4, 128.0 (2C), 127.5, 126.7, 124.0 (2C), 75.1, 19.0, 10.8; HRMS (ESI) m/z [M+H]+ calculated for C22H20N3O3 374.1499, found 374.1494.
3.7. 5-(Benzyloxy)-4,6-dimethylpyridine-2,3-diamine (20)
To a solution of compound 29 (143 mg, 0.38 mmol) in THF–EtOH (1:1, 4 mL) we added hydrazine (1.0 mL). The mixture was stirred at room temperature for 12 h, and the solvent was evaporated. The residue was diluted with Et2O, and the insoluble solids were filtered off. The filtrate was diluted with CH2Cl2 and washed with H2O. The organic solution was dried over MgSO4, filtered, and concentrated to give 20 (68 mg, 73%) as a brown solid. Rf 0.22 (CHCl3:MeOH = 20:1); m.p. 129 °C; 1H NMR (CDCl3) δ 7.50–7.30 (m, 5H), 4.72 (s, 2H), 4.08 (br s, 2H), 3.26 (br s, 2H), 2.33 (s, 3H), 2.09 (s, 3H). 13C NMR (CDCl3) δ 145.8, 144.0, 138.7, 137.4, 128.7 (2C), 128.2, 128.1 (2C), 126.3, 125.6, 75.4, 18.5, 10.4; HRMS (ESI) m/z [M+H]+ calculated for C14H18N3O 244.1444, found 244.1442.
3.8. 6-(Benzyloxy)-5,7-dimethyl-3H-imidazo[4,5-b]pyridin-2-amine (30)
To a solution of cyanogen bromide (57 mg, 0.53 mmol) in H2O (2 mL) we added compound 20 (130 mg, 0.53 mmol) in H2O (4 mL). The reaction mixture was refluxed for 12 h. The mixture was cooled to room temperature, and the solids precipitated out were filtered and recovered using CHCl3. The organic solution was dried over MgSO4 and concentrated to give 30 (129 mg, 85%) as a beige solid. Rf 0.24 (CHCl3:MeOH = 9:1); 1H NMR (DMSO-d6) δ 7.53–7.47 (m, 2H), 7.45–7.33 (m, 3H), 6.31 (s, 2H), 4.77 (s, 2H), 2.37 (s, 3H), 2.29 (s, 3H); 13C NMR (DMSO-d6) δ 156.1, 145.9, 140.0, 137.6, 128.4 (2C), 128.1 (2C), 127.9, 74.5, 19.1, 10.6; HRMS (ESI) m/z [M+H]+ calculated for C15H17N4O 269.1397, found 269.1393.
3.9. 2-Amino-5,7-dimethyl-3H-imidazo[4,5-b]pyridin-6-ol hydrochloride (13)
To a suspension of compound 30 (20 mg, 0.075 mmol) in CH2Cl2 (3 mL), we added 1 M BCl3 in CH2Cl2 (0.75 mL) at 0 °C. After the mixture was stirred overnight, a mixed solvent of CHCl3:MeOH (9:1) was added. The resulting solution was concentrated to give 13 (14 mg, 87%) as a white solid. Rf 0.20 (CHCl3:MeOH = 5:1); 1H NMR (CD3OD) δ 2.60 (s, 3H), 2.53 (s, 3H); 13C NMR (CD3OD) δ 155.3, 148.2, 136.4, 134.8, 128.9, 127.4, 15.6, 12.0; HRMS (ESI) m/z [M+H−Cl]+ calculated for C8H11N4O 179.0927, found 179.0927.
3.10. 3-(Benzyloxy)-5-(cyanomethyl)-2,4-dimethylpyridine 1-oxide (34)
To a solution of compound 21 (100 mg, 0.40 mmol) in CH2Cl2 (5 mL), we added m-CPBA (75 mg, 0.44 mmol), and the resulting mixture was stirred at room temperature for 1 h. The mixture was diluted with CH2Cl2 and washed with saturated aqueous NaHCO3 solution and brine. The organic layer was dried over MgSO4, filtered, and concentrated. The residue was purified by silica gel column chromatography (CH2Cl2:MeOH = 25:1) to give 34 (98 mg, 92%) as a white solid. Rf 0.28 (CHCl3:EtOAc = 20:1); m.p. 144 °C; 1H NMR (CDCl3) δ 8.21 (s, 1H), 7.45–7.35 (m, 5H), 4.83 (s, 2H), 3.60 (s, 2H), 2.47 (s, 4H), 2.21 (s, 3H); 13C NMR (CDCl3) δ 153.8, 145.3, 135.5, 135.3, 129.9, 129.0, 128.9 (2C), 128.3 (2C), 125.2, 115.6, 76.2, 19.6, 12.1, 12.1; HRMS (ESI) m/z [M+H]+ calculated for C16H17N2O2 269.1285, found 269.1282.
3.11. 2-(5-(Benzyloxy)-2-(1,3-dioxoisoindolin-2-yl)-4,6-dimethylpyridin-3-yl)acetonitrile (35)
To a solution of compound 34 (72 mg, 0.27 mmol) in anhydrous CH2Cl2 (5 mL), we added phthalimide (42 mg, 0.29 mmol) and p-tosyl chloride (82 mg, 0.43 mmol). After the reaction mixture became a clear solution, N,N-diisopropylethylamine (0.15 mL, 0.85 mmol) was added and the resulting mixture was stirred under argon atmosphere at room temperature for 1 h. The mixture was diluted with CH2Cl2 and washed with H2O. The organic solution was dried over MgSO4, filtered, and concentrated. The residue was purified by silica gel column chromatography (Hexanes:EtOAc = 5:1) to give 35 (67 mg, 63%) as a white solid. Rf 0.25 (Hexanes:EtOAc = 1:1); m.p. 171 °C; 1H NMR (CDCl3) δ 7.96 (dd, J = 5.5, 3.0 Hz, 2H), 7.80 (dd, J = 5.5, 3.1 Hz, 2H), 7.51–7.37 (m, 5H), 4.88 (s, 2H), 3.61 (s, 2H), 2.55 (s, 3H), 2.41 (s, 3H); 13C NMR (CDCl3) δ 167.0 (2C), 153.6, 152.9, 142.0, 139.3, 136.2, 134.8 (2C), 132.0 (2C), 128.8 (2C), 128.6, 128.0 (2C), 124.2 (2C), 123.3, 115.8, 75.2, 19.7, 17.5, 13.2; HRMS (ESI) m/z [M+H]+ calculated for C24H20N3O3 398.1499, found 398.1497.
3.12. 2-(2-Amino-5-(benzyloxy)-4,6-dimethylpyridin-3-yl)acetonitrile (36)
To a solution of compound 35 (265 mg, 0.67 mmol) in THF–EtOH (1:1, 2 mL), we added 60% hydrazine hydrate (2 mL). The reaction mixture was stirred at room temperature for 12 h and concentrated. The residue was diluted with Et2O, and the insoluble solids were filtered off. The filtrate was diluted with CH2Cl2 and was washed with H2O. The organic solution was dried over MgSO4, filtered, and concentrated to give 36 (119 mg, 67%) as a white solid. Rf 0.25 (CHCl3:MeOH = 15:1); m.p. 189 °C; 1H NMR (CDCl3) δ 7.45–7.36 (m, 5H), 4.73 (s, 2H), 4.36 (br s, 2H), 3.52 (s, 2H), 2.39 (s, 3H), 2.24 (s, 3H); 13C NMR (CDCl3) δ 152.1, 150.4, 145.8, 140.9, 136.9, 128.8 (2C), 128.4, 128.1 (2C), 116.6, 107.0, 75.5, 19.3, 16.4, 12.9; HRMS (ESI) m/z [M+H]+ calculated for C16H18N3O 268.1444, found 268.1440.
3.13. Methyl 2-amino-5-(benzyloxy)-4,6-dimethylnicotinate (44)
To a solution of compound 36 (30 mg, 0.11 mmol) in MeOH (3 mL), we added 25% NaOMe in MeOH (0.25 mL, 1.1 mmol). The mixture was stirred at 50 °C for 1 h under argon atmosphere and cooled to room temperature. The mixture was poured into water and extracted with EtOAc. The organic solution was dried over MgSO4, filtered, and concentrated. The residue was purified by silica gel column chromatography (Hexanes:EtOAc = 1:1) to give 44 (3 mg, 10%) as a white solid. Rf 0.30 (CHCl3:MeOH = 15:1); 1H NMR (CDCl3) δ 7.49–7.32 (m, 5H), 5.85 (s, 2H), 4.71 (s, 2H), 3.89 (s, 3H), 2.42 (s, 3H), 2.37 (s, 3H); 13C NMR (CDCl3) δ 168.8, 155.6, 155.5, 144.6, 143.8, 137.1, 128.8, 128.4, 128.1, 106.4, 75.3, 51.8, 20.0, 15.3; HRMS (ESI) m/z [M+H]+ calculated for C16H19N2O3 287.1390, found 287.1355.
3.14. N-(5-(benzyloxy)-4,6-dimethyl-1H-pyrrolo[2,3-b]pyridin-2-yl)acetamide (45)
To a solution of compound 36 (13 mg, 0.048 mmol) in glacial acetic acid, we added zinc acetate (45 mg, 0.24 mmol). The mixture was refluxed under argon atmosphere for 12 h. The mixture was concentrated, and the residue was diluted with H2O. The aqueous layer was extracted with CH2Cl2, and the combined organic solution was dried over MgSO4, filtered, and concentrated. The residue was purified by silica gel preparative thin layer chromatography to give 45 (7 mg, 45%) as a brown solid. Rf 0.29 (Hexanes:EtOAc:MeOH = 10:10:1); 1H NMR (CDCl3) δ 10.55 (br s, 1H), 7.83 (br s, 1H), 7.55–7.47 (m, 2H), 7.46–7.33 (m, 3H), 5.75 (s, 1H), 4.83 (s, 2H), 2.58 (s, 3H), 2.41 (s, 3H), 2.23 (s, 3H); 13C NMR (CDCl3) δ 168.3, 147.1, 145.1, 141.0, 137.6, 134.7, 130.6, 128.7 (2C), 128.3, 128.1 (2C), 118.9, 82.6, 75.5, 24.1, 19.7, 12.8; HRMS (ESI) m/z [M+H]+ calculated for C18H20N3O2 310.1550, found 310.1545.
4. Conclusions
In this study, the aminooxazole-, aminoimidazole-, and aminopyrrole-containing pyridinols were divergently synthesized starting from pyridoxine. The synthetic strategy relied on the conversion of hydroxymethyl functionality in the common intermediate 15 into phenol, aniline, and cyanomethyl structures, respectively. The installation of nitrogen-containing functional group at α-position in pyridine was achieved via either diazotization or phthalimidation. These synthetic routes enable the rapid construction of the three different aminobicyclic pyridinol derivatives in an efficient and divergent way. With the two chemical handles including the 5′-hydroxy group and arylamino group, these backbones may serve as a valuable starting point for the generation of diverse sets of compound libraries through appendage diversification.
Supplementary Materials
The following supporting information can be downloaded at: https://www.mdpi.com/article/10.3390/molecules27072075/s1, Copies of 1H and 13C NMR spectra for all new compounds. Figure S1: 1H-NMR Spectrum of compound 23, Figure S2: 13C-NMR Spectrum of compound 23, Figure S3: 1H-NMR Spectrum of compound 12, Figure S4: 13C-NMR Spectrum of compound 12, Figure S5: 1H-NMR Spectrum of compound 27, Figure S6: 13C-NMR Spectrum of compound 27, Figure S7: 1H-NMR Spectrum of compound 28, Figure S8: 13C-NMR Spectrum of compound 28, Figure S9: 1H-NMR Spectrum of compound 29, Figure S10: 13C-NMR Spectrum of compound 29, Figure S11: 1H-NMR Spectrum of compound 20, Figure S12: 13C-NMR Spectrum of compound 20, Figure S13: 1H-NMR Spectrum of compound 30, Figure S14: 13C-NMR Spectrum of compound 30, Figure S15: 1H-NMR Spectrum of compound 13, Figure S16: 13C-NMR Spectrum of compound 13, Figure S17: 1H-NMR Spectrum of compound 34, Figure S18: 13C-NMR Spectrum of compound 34, Figure S19: 1H-NMR Spectrum of compound 35, Figure S20: 13C-NMR Spectrum of compound 35, Figure S21: 1H-NMR Spectrum of compound 36, Figure S22: 13C-NMR Spectrum of compound 36, Figure S23: 1H-NMR Spectrum of compound 44, Figure S24: 13C-NMR Spectrum of compound 44, Figure S25: 1H-NMR Spectrum of compound 45, Figure S26: 13C-NMR Spectrum of compound 45.
Author Contributions
Conceptualization, B.-S.J. and H.L.; Methodology, B.-S.J. and B.P.A.; Investigation, B.-S.J. and B.P.A.; Writing—Original Draft Preparation, B.-S.J., H.L. and B.P.A.; Writing—Review and Editing, B.-S.J., H.L. and B.P.A.; Project Administration, B.-S.J.; Funding Acquisition, B.-S.J. All authors have read and agreed to the published version of the manuscript.
Funding
This work was supported by the National Research Foundation of Korea (NRF) grant funded by the Korea government (MIST) (No. NRF-2021R1A2C2006833).
Institutional Review Board Statement
Not applicable.
Informed Consent Statement
Not applicable.
Data Availability Statement
Data are contained within the article.
Conflicts of Interest
The authors declare no conflict of interest.
Sample Availability
Samples of the compounds are available from the authors.
References
- Childers, W.E.; Elokely, K.M.; Abou-Gharbia, M. The Resurrection of Phenotypic Drug Discovery. ACS Med. Chem. Lett. 2020, 11, 1820–1828. [Google Scholar] [CrossRef] [PubMed]
- Moffat, J.G.; Vincent, F.; Lee, J.A.; Eder, J.; Prunotto, M. Opportunities and challenges in phenotypic drug discovery: An industry perspective. Nat. Rev. Drug Discov. 2017, 16, 531–543. [Google Scholar] [CrossRef] [PubMed]
- Laraia, L.; Robke, L.; Waldmann, H. Bioactive Compound Collections: From Design to Target Identification. Chem 2018, 4, 705–730. [Google Scholar] [CrossRef]
- Karageorgis, G.; Foley, D.J.; Laraia, L.; Waldmann, H. Principle and design of pseudo-natural products. Nat. Chem. 2020, 12, 227–235. [Google Scholar] [CrossRef] [PubMed]
- Atanasov, A.G.; Zotchev, S.B.; Dirsch, V.M.; International Natural Product Sciences Taskforce; Supuran, C.T. Natural products in drug discovery: Advances and opportunities. Nat. Rev. Drug Discov. 2021, 20, 200–216. [Google Scholar] [CrossRef]
- Silva, D.; Emery, F.D.S. Strategies towards expansion of chemical space of natural product-based compounds to enable drug discovery. Braz. J. Pharm. Sci. 2018, 54, e01004. [Google Scholar] [CrossRef]
- Mooney, S.; Leuendorf, J.-E.; Hendrickson, C.; Hellmann, H. Vitamin B6: A Long Known Compound of Surprising Complexity. Molecules 2009, 14, 329–351. [Google Scholar] [CrossRef] [Green Version]
- Parra, M.; Stahl, S.; Hellmann, H. Vitamin B6 and Its Role in Cell Metabolism and Physiology. Cells 2018, 7, 84. [Google Scholar] [CrossRef] [Green Version]
- Pratt, D.A.; DiLabio, G.A.; Brigati, G.; Pedulli, G.F.; Valgimigli, L. 5-Pyrimidinols: Novel Chain-Breaking Antioxidants More Effective than Phenols. J. Am. Chem. Soc. 2001, 123, 4625–4626. [Google Scholar] [CrossRef]
- Serwa, R.; Nam, T.-G.; Valgimigli, L.; Culbertson, S.; Rector, C.L.; Jeong, B.-S.; Pratt, D.A.; Porter, N.A. Preparation and Investigation of Vitamin B6-Derived Aminopyridinol Antioxidants. Chem. Eur. J. 2010, 16, 14106–14114. [Google Scholar] [CrossRef]
- Omata, Y.; Saito, Y.; Yoshida, Y.; Jeong, B.-S.; Serwa, R.; Nam, T.-G.; Porter, N.A.; Niki, E. Action of 6-amino-3-pyridinols as novel antioxidants against free radicals and oxidative stress in solution, plasma, and cultured cells. Free Radic. Biol. Med. 2010, 48, 1358–1365. [Google Scholar] [CrossRef] [PubMed]
- Kim, D.-G.; Kang, Y.; Lee, H.; Lee, E.K.; Nam, T.-G.; Kim, J.-A.; Jeong, B.-S. 6-Amino-2,4,5-trimethylpyridin-3-ols: A new general synthetic route and antiangiogenic activity. Eur. J. Med. Chem. 2014, 78, 126–139. [Google Scholar] [CrossRef] [PubMed]
- Banskota, S.; Gautam, J.; Regmi, S.C.; Gurung, P.; Park, M.-H.; Kim, S.J.; Nam, T.-G.; Jeong, B.-S.; Kim, J.-A. BJ-1108, a 6-Amino-2,4,5-Trimethylpyridin-3-ol Analog, Inhibits Serotonin-Induced Angiogenesis and Tumor Growth through PI3K/NOX Pathway. PLoS ONE 2016, 11, e0148133. [Google Scholar] [CrossRef]
- Shah, S.; Lee, C.; Choi, H.; Gautam, J.; Jang, H.; Kim, G.J.; Lee, Y.-J.; Chaudhary, C.L.; Park, S.W.; Nam, T.-G.; et al. 5-Hydroxy-7-azaindolin-2-one, a novel hybrid of pyridinol and sunitinib: Design, synthesis and cytotoxicity against cancer cells. Org. Biomol. Chem. 2016, 14, 4829–4841. [Google Scholar] [CrossRef] [PubMed]
- Banskota, S.; Kang, H.-E.; Kim, D.-G.; Park, S.W.; Jang, H.; Karmacharya, U.; Jeong, B.-S.; Kim, J.-A.; Nam, T.-G. In vitro and in vivo inhibitory activity of 6-amino-2,4,5-trimethylpyridin-3-ols against inflammatory bowel disease. Bioorg. Med. Chem. Lett. 2016, 26, 4587–4591. [Google Scholar] [CrossRef]
- Gautam, J.; Banskota, S.; Regmi, S.C.; Ahn, S.; Jeon, Y.H.; Jeong, H.; Kim, S.J.; Nam, T.-G.; Jeong, B.-S.; Kim, J.-A. Tryptophan hydroxylase 1 and 5-HT7 receptor preferentially expressed in triple-negative breast cancer promote cancer progression through autocrine serotonin signaling. Mol. Cancer 2016, 15, 75. [Google Scholar] [CrossRef] [Green Version]
- Kang, Y.; Timilshina, M.; Nam, T.-G.; Jeong, B.-S.; Chang, J.-H. BJ-1108, a 6-Amino-2,4,5-trimethylpyridin-3-ol analogue, regulates differentiation of Th1 and Th17 cells to ameliorate experimental autoimmune encephalomyelitis. Biol. Res. 2017, 50, 8. [Google Scholar] [CrossRef] [Green Version]
- Acharya, S.; Timilshina, M.; Jiang, L.; Neupane, S.; Choi, D.-Y.; Park, S.W.; Lee, S.Y.; Jeong, B.-S.; Kim, J.-A.; Nam, T.-G.; et al. Amelioration of Experimental autoimmune encephalomyelitis and DSS induced colitis by NTG-A-009 through the inhibition of Th1 and Th17 cells differentiation. Sci. Rep. 2018, 8, 7799. [Google Scholar] [CrossRef]
- Park, S.W.; Banskota, S.; Gurung, P.; Jin, Y.J.; Kang, H.-E.; Chaudhary, C.L.; Lee, S.Y.; Jeong, B.-S.; Kim, J.-A.; Nam, T.-G. Synthesis and evaluation of 6-heteroarylamino-2,4,5-trimethylpyridin-3-ols as inhibitors of TNF-α-induced cell adhesion and inflammatory bowel disease. MedChemComm 2018, 9, 1305–1310. [Google Scholar] [CrossRef]
- Gautam, J.; Banskota, S.; Chaudhary, P.; Dahal, S.; Kim, D.-G.; Kang, H.-E.; Lee, I.-H.; Nam, T.-G.; Jeong, B.-S.; Kim, J.-A. Antitumor activity of BJ-1207, a 6-amino-2,4,5-trimethylpyridin-3-ol derivative, in human lung cancer. Chem. Biol. Interact. 2018, 294, 1–8. [Google Scholar] [CrossRef]
- Lee, H.; Lee, J.S.; Cho, H.J.; Lee, Y.-J.; Kim, E.S.; Kim, S.K.; Nam, T.-G.; Jeong, B.-S.; Kim, J.-A. Antioxidant Analogue 6-Amino-2,4,5-Trimethylpyridin-3-ol Ameliorates Experimental Colitis in Mice. Dig. Dis. Sci. 2021, 66, 1022–1033. [Google Scholar] [CrossRef]
- Karmacharya, U.; Chaudhary, P.; Lim, D.; Dahal, S.; Awasthi, B.P.; Park, H.D.; Kim, J.-A.; Jeong, B.-S. Synthesis and anticancer evaluation of 6-azacyclonol-2,4,6-trimethylpyridin-3-ol derivatives: M3 muscarinic acetylcholine receptor-mediated anticancer activity of a cyclohexyl derivative in androgen-refractory prostate cancer. Bioorg. Chem. 2021, 110, 104805. [Google Scholar] [CrossRef] [PubMed]
- Lee, H.; Banskota, S.; Kim, D.-G.; Been, J.-H.; Jin, Y.-J.; Gautam, J.; Jang, H.; Nam, T.-G.; Kim, J.-A.; Jeong, B.-S. Synthesis and antiangiogenic activity of 6-amido-2,4,5-trimethylpyridin-3-ols. Bioorg. Med. Chem. Lett. 2014, 24, 3131–3136. [Google Scholar] [CrossRef] [PubMed]
- You, Z.; Timilshina, M.; Jeong, B.-S.; Chang, J.-H. BJ-2266 ameliorates experimental autoimmune encephalomyelitis through down-regulation of the JAK/STAT signaling pathway. Eur. J. Immunol. 2017, 47, 1488–1500. [Google Scholar] [CrossRef] [PubMed] [Green Version]
- Bae, D.; Gautam, J.; Jang, H.; Banskota, S.; Lee, S.Y.; Jeong, M.-J.; Kim, A.-S.; Kim, H.C.; Lee, I.-H.; Nam, T.-G.; et al. Protective effects of 6-ureido/thioureido-2,4,5-trimethylpyridin-3-ols against 4-hydroxynonenal-induced cell death in adult retinal pigment epithelial-19 cells. Bioorg. Med. Chem. Lett. 2018, 28, 107–112. [Google Scholar] [CrossRef]
- Chaudhary, C.L.; Gurung, P.; Jang, S.; Banskota, S.; Nam, T.-G.; Kim, J.-A.; Jeong, B.-S. Synthesis, activity and mechanism of alkoxy-, carbamato-, sulfonamido-, thioureido-, and ureido-derivatives of 2,4,5-trimethylpyridin-3-ol against inflammatory bowel disease. J. Enzym. Inhib. Med. Chem. 2020, 35, 1–20. [Google Scholar] [CrossRef] [Green Version]
- Karmacharya, U.; Regmi, S.C.; Awasthi, B.P.; Chaudhary, P.; Kim, Y.E.; Lee, I.-H.; Nam, T.-G.; Kim, J.-A.; Jeong, B.-S. Synthesis and activity of N-(5-hydroxy-3,4,6-trimethylpyridin-2-yl)acetamide analogues as anticolitis agents via dual inhibition of TNF-α- and IL-6-induced cell adhesions. Bioorg. Med. Chem. Lett. 2021, 43, 128059. [Google Scholar] [CrossRef]
- Nam, T.-G.; Ku, J.-M.; Park, H.-G.; Porter, N.A.; Jeong, B.-S. New synthetic route to N-tocopherol derivatives: Synthesis of pyrrolopyridinol analogue of α-tocopherol from pyridoxine. Org. Biomol. Chem. 2011, 9, 1749–1755. [Google Scholar] [CrossRef]
- Nam, T.-G.; Ku, J.-M.; Rector, C.L.; Choi, H.; Porter, N.A.; Jeong, B.-S. Pyridoxine-derived bicyclic aminopyridinol antioxidants: Synthesis and their antioxidant activities. Org. Biomol. Chem. 2011, 9, 8475–8482. [Google Scholar] [CrossRef]
- Shchepin, R.V.; Liu, W.; Yin, H.; Zagol-Ikapitte, I.; Amin, T.; Jeong, B.-S.; Roberts, I.L.J.; Oates, J.A.; Porter, N.A.; Boutaud, O. Rational Design of Novel Pyridinol-Fused Ring Acetaminophen Analogues. ACS Med. Chem. Lett. 2013, 4, 710–714. [Google Scholar] [CrossRef]
- Lee, H.; Kim, D.-G.; Banskota, S.; Lee, Y.K.; Nam, T.-G.; Kim, J.-A.; Jeong, B.-S. Pyridoxine-derived bicyclic amido-, ureido-, and carbamato-pyridinols: Synthesis and antiangiogenic activities. Org. Biomol. Chem. 2014, 12, 8702–8710. [Google Scholar] [CrossRef] [PubMed]
- Gautam, J.; Ku, J.-M.; Regmi, S.C.; Jeong, H.; Wang, Y.; Banskota, S.; Park, M.-H.; Nam, T.-G.; Jeong, B.-S.; Kim, J.-A. Dual Inhibition of NOX2 and Receptor Tyrosine Kinase by BJ-1301 Enhances Anticancer Therapy Efficacy via Suppression of Autocrine-Stimulatory Factors in Lung Cancer. Mol. Cancer Ther. 2017, 16, 2144–2156. [Google Scholar] [CrossRef] [PubMed] [Green Version]
- Gautam, J.; Banskota, S.; Lee, H.; Lee, Y.-J.; Jeon, Y.H.; Kim, J.-A.; Jeong, B.-S. Down-regulation of cathepsin S and matrix metalloproteinase-9 via Src, a non-receptor tyrosine kinase, suppresses triple-negative breast cancer growth and metastasis. Exp. Mol. Med. 2018, 50, 1–14. [Google Scholar] [CrossRef] [PubMed] [Green Version]
- Kosurkar, U.B.; Dadmal, T.; Appalanaidu, K.; Rao, Y.K.; Nanubolu, J.B.; Kumbhare, R.M. Microwave assisted synthesis of 2-aminooxazolo [4,5-b] pyridine derivatives via intramolecular C–O bond formation in aqueous medium. Tetrahedron Lett. 2014, 55, 1296–1298. [Google Scholar] [CrossRef]
- Veselovská, L.; Kudlová, N.; Gurská, S.; Lišková, B.; Medvedíková, M.; Hodek, O.; Tloušťová, E.; Milisavljevic, N.; Tichý, M.; Perlíková, P.; et al. Synthesis and Cytotoxic and Antiviral Activity Profiling of All-Four Isomeric Series of Pyrido-Fused 7-Deazapurine Ribonucleosides. Chem. Eur. J. 2020, 26, 13002–13015. [Google Scholar] [CrossRef]
- Wang, S.; Zhao, Y.; Zhou, B.; Aguilar, A.; Liu, L.; Bai, L.; McEachern, D.; Sun, D.; Wen, B.; Luo, R.; et al. Preparation of 9H-Pyrimido[4,5-b]indoles and Related Analogs as BET Bromodomain Inhibitors. WO2015131005, 3 September 2015. [Google Scholar]
- Shigeyoshi, N.; Kenji, H.; Shuji, Y.; Takeshi, T.; Hiroyuki, O. Preparation of 2-Amino-5-halogenoindoles. JP2003267952, 25 September 2003. [Google Scholar]
- Gilchrist, T.L.; Rees, C.W.; Thomas, C. Reactive intermediates. Part XXVI. Flash vacuum pyrolysis of phenyl-substituted 1,2,4-triazoles; a new synthesis of isoindoles. J. Chem. Soc. Perkin Trans. 1 1975, 1, 12–18. [Google Scholar] [CrossRef]
Publisher’s Note: MDPI stays neutral with regard to jurisdictional claims in published maps and institutional affiliations. |
© 2022 by the authors. Licensee MDPI, Basel, Switzerland. This article is an open access article distributed under the terms and conditions of the Creative Commons Attribution (CC BY) license (https://creativecommons.org/licenses/by/4.0/).










