Optimization of Ultrasonic-Assisted Extraction of Total Flavonoids from Abrus Cantoniensis (Abriherba) by Response Surface Methodology and Evaluation of Its Anti-Inflammatory Effect
Abstract
:1. Introduction
2. Results and Discussion
2.1. Single Factor Experiment Results
2.1.1. Influence of Material-to-Liquid Ratio
2.1.2. Influence of Ultrasonic Extraction Cycles
2.1.3. Influence of Ethanol Concentration
2.1.4. Influence of Ultrasonic Time
2.1.5. Influence of Ultrasonic Power
2.2. Plackett-Burman Design (PBD) Experimental Results
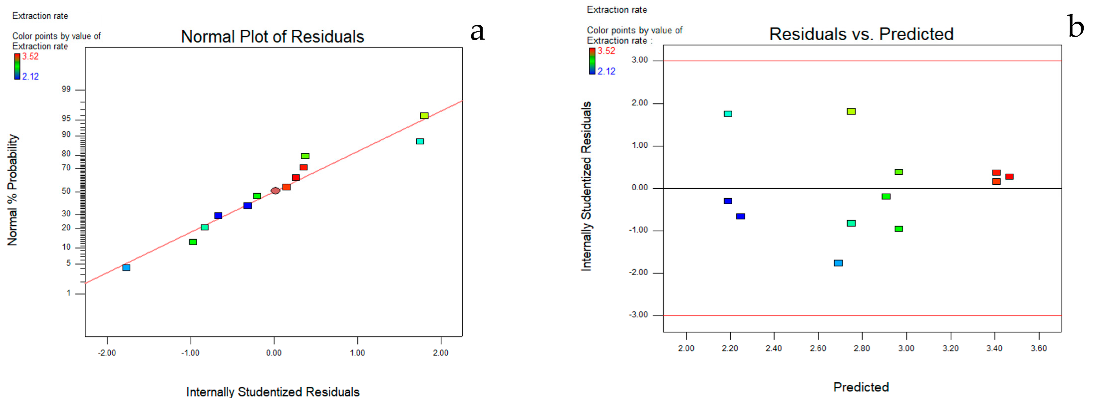
2.3. Box-Behnken Design (BBD) Experimental Results
2.4. Anti-Inflammatory Test Results
2.4.1. ATF Effects on LPS-Induced Inflammation in Mouse Peritoneal Macrophages
Safe Concentrations of ATF and LPS on Mouse Peritoneal Macrophages
ATF Effects on NO Release
ATF Effects on the Release of Inflammatory Factors
2.4.2. Inhibition of Xylene-Induced Ear Swelling in Mice
2.4.3. Inhibition of Cotton Pellet Granulomas in Mice
3. Materials and Methods
3.1. Materials and Chemicals
3.2. Animals
3.3. Determination of the Total Flavonoids
3.4. Single-Factor Experiment
3.5. PBD Experiment
3.6. BBD Experiment
3.7. Purification and Preparation of ATF
3.8. Anti-Inflammatory Experiment
3.8.1. LPS-Induced Inflammation in a Mouse Abdominal Macrophage Model
Preparation of Mouse Peritoneal Macrophages
Cell Activity Assay
Detection of NO Levels and Inflammatory Factor Secretion
3.8.2. Acute Inflammatory Model of Xylene-Induced Ear Edema in Mice
3.8.3. Cotton Pellet Granuloma Test
3.9. Statistical Analysis
4. Conclusions
Author Contributions
Funding
Institutional Review Board Statement
Informed Consent Statement
Data Availability Statement
Conflicts of Interest
Sample Availability
References
- Shan, C.; Jiang, Z.Z.; Wang, T.; Wang, H.; Zhang, L.Y. The chemical composition of Abrus cantoniensis and its research in the near future. Prog. Pharm. Sci. 2011, 35, 264–269. [Google Scholar]
- Xu, L.; Cen, L.H.; Zhen, X.H.; Xu, Y.C.; Lu, L.P.; Mai, S.H.; Li, J.P. Abru cantoniensis GAP cultivation study. Hunan J. Tradit. Chin. Med. 2005, 3, 109–111. [Google Scholar]
- Chen, X.B.; Mo, Z.X. Chemical composition and pharmacological development of Abrus cantoniensis in traditional Chinese Medicine. Lishizhen Med. Mater. Med. Res. 2008, 7, 1781–1782. [Google Scholar]
- Yang, M.; Shen, Q.; Li, L.-Q.; Huang, Y.-Q.; Cheung, H.-Y. Phytochemical profiles, antioxidant activities of functional herb Abrus cantoniensis and Abrus mollis. Food Chem. 2015, 177, 304–312. [Google Scholar] [CrossRef]
- Cravotto, G.; Boffa, L.; Mantegna, S.; Perego, P.; Avogadro, M.; Cintas, P. Improved extraction of vegetable oils under high-intensity ultrasound and/or microwaves. Ultrason. Sonochemistry 2008, 15, 898–902. [Google Scholar] [CrossRef]
- Luque-Garcia, J.L.; de Castro, L. Ultrasound: A powerful tool for leaching. TrAC-Trends Anal. Chem. 2003, 22, 41–47. [Google Scholar] [CrossRef]
- Ruiz-Jimenez, J.; Priego-Capote, F.; de Castro, M.D.L. Identification and quantification of trans fatty acids in bakery products by gas chromatography-mass spectrometry after dynamic ultrasound-assisted extraction. J. Chromatogr. A 2004, 1045, 203–210. [Google Scholar] [CrossRef]
- Garcia-Castello, E.M.; Rodriguez-Lopez, A.D.; Mayor, L.; Ballesteros, R.; Conidi, C.; Cassano, A. Optimization of conventional and ultrasound assisted extraction of flavonoids from grapefruit (Citrus paradisi L.) solid wastes. Lwt-Food Sci. Technol. 2015, 64, 1114–1122. [Google Scholar] [CrossRef]
- Huang, R.S.; Yu, Y.X.; Hu, Y.; Bang, S.X. Determination of total flavonoids in Abrus cantoniensis and its dynamic changes. China J. Chin. Mater. Med. 2006, 31, 1428–1431. [Google Scholar]
- Liao, C.Y.; Huang, Y.; Huang, L.D. Comparison of extraction methods for total flavonoids from Abrus cantoniensis. J. Guangxi Univ. Sci. Technol. 2014, 25, 82–85,94. [Google Scholar]
- Huang, M.; Liao, C.Y. Study on the Ultrasonic Extraction Process and Antioxidant Activity of Total Flavonoids in Abrus cantoniensis L. Hubei Agric. Sci. 2015, 54, 3502–3505. [Google Scholar]
- Xu, B.C.; Fang, Z.Y.; Meng, J.Y.; Cui, Q.H.; Li, H.M.; Si, H.B. Optimization of extraction process and antioxidant activity of polyphenols from leaves of Broussonetia papyrifera. China Anim. Husb. Vet. Med. 2021, 48, 1046–1053. [Google Scholar]
- Razzaghi-Asl, N.; Ebadi, A.; Edraki, N.; Mehdipour, A.; Shahabipour, S.; Miri, R. Response surface methodology in docking study of small molecule BACE-1 inhibitors. J. Mol. Model. 2012, 18, 4567–4576. [Google Scholar] [CrossRef] [PubMed]
- Zhou, F.; Li, A.Y. Anti inflammatory immunity of Abrus cantoniensis and Abrus mollis Hance. Yunnan J. Tradit. Chin. Med. Mater. Med. 2005, 4, 33–35. [Google Scholar]
- Lin, Z.M.; He, Q.Y.; Zhou, X.; Zhen, Y.P.; Zhang, Y.X.; Chen, Z.Q.; Lai, X.P.; Li, G.; Wu, Y.N. Basic identification of anti inflammatory pharmacodynamic substances in Abrus cantoniensis. Lishizhen Med. Mater. Med. Res. 2018, 29, 1825–1827. [Google Scholar]
- Liao, C.Y.; Huang, M.; Huang, Y.; Huang, L.D. Ultrasound assisted extraction process of total saponins from Abrus cantoniensis. North. Hortic. 2013, 3, 161–163. [Google Scholar]
- Liu, Q.Q.; Liu, L.W.; Wang, X.J.; Wu, H.W. Removal of ginkgolic acid in Ginkgo biloba extract by ultrasound solvent extraction. Basic Sci. J. Text. Univ. 2021, 34, 108–113. [Google Scholar]
- Bai, S.W.; Tang, C.; Tian, J.; Yan, H.F.; Xu, X.S.; Fan, H.L. Extraction and Antioxidant Activity of Total Flavonoids from Sea Buckthorn Pomace. Food Sci. 2015, 36, 59–64. [Google Scholar]
- Pei, F.; Tao, H.L.; Cai, L.J.; Wei, C.C.; Yuan, Y.M.; Yang, W.J.; Hu, Q.H. Optimization of Polyphenols from Moringa oleifera Lam. Leaves by Ultrasound-assisted Extraction Using Response Surface Methodology and Their Antioxidant Activities. Food Sci. 2016, 37, 24–30. [Google Scholar]
- Wang, J.; Zhang, P.F.; Zhao, X.N.; Zhang, Y.Y.; Lu, Z.M. Optimization for the extraction process of the flavonoids from the peels of citrus reticulata fruit by Response Surface Methodology. J. Northwest For. Univ. 2021, 36, 118–124. [Google Scholar]
- Liu, L.; Guan, F.; Zhang, X.Y.; Zhang, S.X.; Wang, L.Z.; Tian, Z.K. Optimization of extraction technique of anthocyanins from Schisandra chinensis baill. by Box-behnken design. J. Liaoning Univ. Tradit. Chin. Med. 2019, 21, 66–69. [Google Scholar]
- Zhang, G.; Chen, Y.; Tariq, K.; An, Z.; Wang, S.; Memon, F.Q.; Zhang, W.; Si, H. Optimization of ultrasound assisted extraction method for polyphenols from Desmodium triquetrum (L.) DC. with response surface methodology (RSM) and in vitro determination of its antioxidant properties. Czech J. Food Sci. 2020, 38, 115–122. [Google Scholar] [CrossRef]
- Lu, J.; Huang, Z.; Liu, Y.; Wang, H.; Qiu, M.; Qu, Y.; Yuan, W. The Optimization of Extraction Process, Antioxidant, Whitening and Antibacterial Effects of Fengdan Peony Flavonoids. Molecules 2022, 27, 506. [Google Scholar] [CrossRef] [PubMed]
- Hadidi, M.; Ibarz, A.; Pagan, J. Optimisation and kinetic study of the ultrasonic-assisted extraction of total saponins from alfalfa (Medicago sativa) and its bioaccessibility using the response surface methodology. Food Chem. 2020, 309, 125786. [Google Scholar] [CrossRef]
- Yang, T.; Fang, L.; Lin, T.; Li, J.; Zhang, Y.; Zhou, A.; Xie, J. Ultrasonicated sour Jujube seed flavonoids extract exerts ameliorative antioxidant capacity and reduces A beta-induced toxicity in Caenorhabditis elegans. J. Ethnopharmacol. 2019, 239, 111886. [Google Scholar] [CrossRef]
- Zhang, Y.; Shi, X. Anti-inflammatory and analgesic effects of total flavonoids in flos sophorae immaturus. Clin. Res. Pract. 2018, 3, 4–6. [Google Scholar]
- Aminashi, H.; Telieke, A.; Wang, X.; Aikebaie, R.; Adelijiang, W.; Saifuding, A. Anti-inflammatory Effect of Water Extract of Pomegranate Flower in vitro and in vivo. Chin. J. Vet. Med. 2021, 57, 53–57. [Google Scholar]
- Huang, D.; Chen, Y.; Chen, W.; Liu, Y.; Yao, F.; Xue, D.; Sun, L. Anti-inflammatory effects of the extract of Gnaphalium affine D. Don in vivo and in vitro. J. Ethnopharmacol. 2015, 176, 356–364. [Google Scholar] [CrossRef]
- Hattori, H.; Tsutsuki, H.; Nakazawa, M.; Ueda, M.; Ihara, H.; Sakamoto, T. Naringin lauroyl ester inhibits lipopolysaccharide-induced activation of nuclear factor kappa B signaling in macrophages. Biosci. Biotechnol. Biochem. 2016, 80, 1403–1409. [Google Scholar] [CrossRef] [Green Version]
- Martin, M.C.; Martinez, A.; Mendoza, J.L.; Taxonera, C.; Diaz-Rubio, M.; Fernandez-Arquero, M.; de la Concha, E.G.; Urcelay, E. Influence of the inducible nitric oxide synthase gene (NOS2A) on inflammatory bowel disease susceptibility. Immunogenetics 2007, 59, 833–837. [Google Scholar] [CrossRef]
- Huang, H.; Wang, H.; Zhang, B.; Chen, Q. Study on Anti-inflammatory Actions of Tetrahydrocoptisine in Vitro and Its Mechanism. J. Guangzhou Univ. Tradit. Chin. Med. 2019, 36, 98–104. [Google Scholar]
- Wang, C.; Wang, T.; Dan, n.; Du, H.; Zhang, X.; Sa, R.; Ao, C. Anti-Inflammatory Effects of Different Concentrations of Ethanol Elutions of Allium mongolicum Regel Flavonoids on Lipopolysaccharide-Induced Mouse Peritoneal Macrophage. Chin. J. Anim. Nutr. 2019, 31, 342–350. [Google Scholar]
- Han, L.; Tian, W.; Gao, Y.; Lian, M.; Piao, X. Effect of Echinacea purpurea adventitious roots on LPS-induced pro-inflammatory mediators in murine macrophages. Agric. Sci. J. Yanbian Univ. 2018, 40, 1–6, 15. [Google Scholar]
- Zou, J.; Feng, D.; Ling, W.-H.; Duan, R.-D. Lycopene suppresses proinflammatory response in lipopolysaccharide-stimulated macrophages by inhibiting ROS-induced trafficking of TLR4 to lipid raft-like domains. J. Nutr. Biochem. 2013, 24, 1117–1122. [Google Scholar] [CrossRef] [PubMed]
- Moeller, B.; Villiger, P.M. Inhibition of IL-1, IL-6, and TNF-alpha in immune-mediated inflammatory diseases. Springer Semin. Immunopathol. 2006, 27, 391–408. [Google Scholar] [CrossRef]
- Jain, M.; Parmar, H.S. Evaluation of antioxidative and anti-inflammatory potential of hesperidin and naringin on the rat air pouch model of inflammation. Inflamm. Res. 2011, 60, 483–491. [Google Scholar] [CrossRef]
- Xing, S.; Pang, Y.; Zhang, Q.; Li, J.; Tang, Q.; Liang, N.; Jiang, Z. Effect of Zhuang Medicine Dragon Drill and Tong Piao Formula on anti-inflammatory factors IL-4 and IL-10 in a rat model of experimental arthritis. J. Med. Pharm. Chin. Minorities 2013, 19, 44–45, 79. [Google Scholar]
- Gu, J.; Li, X.; Yu, H.H.; Wang, B.X.; Huang, H.Y.; Zeng, R.; Cai, X. Establishment of Acute Inflammation Mice Models with Ear Edema Induced by Dimethylbenzene. J. Hunan Univ. Chin. Med. 2016, 36, 32–35. [Google Scholar]
- Chen, X.; Sun, W.; Xu, B.; Wu, E.; Cui, Y.; Hao, K.; Zhang, G.; Zhou, C.; Xu, Y.; Li, J.; et al. Polysaccharides From the Roots of Millettia Speciosa Champ Modulate Gut Health and Ameliorate Cyclophosphamide-Induced Intestinal Injury and Immunosuppression. Front. Immunol. 2021, 12, 4431. [Google Scholar] [CrossRef]
- Wang, J.; Lu, S.D.; Yang, F.S.; Zhao, S.D. Comparison of the chemical composition of cultivated Abrus cantoniensis with that of wild. Res. Pract. Chin. Med. 1997, 3, 28–29. [Google Scholar]
- Li, X.; Li, J.; Li, Q.; Chen, Y. Optimization of extraction process of flavonoids from leaves of Dracaena angustifolia by Orthogonal method and study of antioxidant activities in vitro. West China J. Pharm. Sci. 2020, 35, 617–620. [Google Scholar]
- Liao, C.Y.; Yang, X.L. Optimization of purification process of total flavonoids from Abrus cantoniensis by D101 macroporous resin. Chin. J. Exp. Tradit. Med. Formulae 2013, 19, 38–40. [Google Scholar]






| Run | Material to Liquid Ratio (g/mL) | Ultrasonic Extraction Cycles (Time) | Ethanol Concentration (%) | Ultrasonic Time (Min) | Ultrasonic Power (W) | Extraction Rate (%) |
|---|---|---|---|---|---|---|
| 1 | 1:60 | 4 | 30 | 30 | 125 | 2.53 |
| 2 | 1:60 | 2 | 50 | 50 | 175 | 3.10 |
| 3 | 1:60 | 4 | 50 | 30 | 125 | 2.35 |
| 4 | 1:60 | 4 | 30 | 50 | 175 | 2.13 |
| 5 | 1:60 | 2 | 30 | 30 | 175 | 2.12 |
| 6 | 1:60 | 2 | 50 | 50 | 125 | 2.59 |
| 7 | 1:40 | 2 | 30 | 50 | 125 | 3.04 |
| 8 | 1:40 | 2 | 30 | 30 | 125 | 2.78 |
| 9 | 1:40 | 4 | 30 | 50 | 175 | 2.87 |
| 10 | 1:40 | 4 | 50 | 30 | 175 | 3.48 |
| 11 | 1:40 | 4 | 50 | 50 | 125 | 3.44 |
| 12 | 1:40 | 2 | 50 | 30 | 175 | 3.52 |
| Type | Sum of Squares | df | Mean Square | F Value | Prob (P) > F |
|---|---|---|---|---|---|
| Model | 2.31 | 3 | 0.77 | 13.69 | 0.0016 |
| Material-to-liquid ratio (g/mL) | 1.55 | 1 | 1.55 | 27.48 | 0.0008 |
| Ultrasonic extraction cycles (time) | 0.010 | 1 | 0.010 | 0.18 | 0.6816 |
| Ethanol concentration (%) | 0.76 | 1 | 0.76 | 13.40 | 0.0064 |
| Residual | 0.45 | 8 | 0.056 | ||
| Cor total | 2.76 | 11 |
| Run | Material-to-Liquid Ratio (g/mL) | Ultrasonic Extraction Cycles (Time) | Ethanol Concentration (%) | Predicted Extraction Rate (%) | Actual Extraction Rate (%) |
|---|---|---|---|---|---|
| 1 | 0 | −1 | −1 | 2.73 | 2.70 |
| 2 | 0 | −1 | 1 | 3.09 | 3.07 |
| 3 | 0 | 1 | −1 | 2.97 | 3.00 |
| 4 | 0 | 1 | 1 | 3.69 | 3.73 |
| 5 | 1 | −1 | 0 | 2.28 | 2.27 |
| 6 | 1 | 1 | 0 | 2.60 | 2.54 |
| 7 | 1 | 0 | 1 | 2.61 | 2.62 |
| 8 | 1 | 0 | −1 | 1.97 | 2.01 |
| 9 | −1 | 0 | −1 | 2.35 | 2.34 |
| 10 | −1 | −1 | 0 | 2.46 | 2.51 |
| 11 | −1 | 1 | 0 | 2.98 | 2.99 |
| 12 | −1 | 0 | 1 | 2.79 | 2.75 |
| 13 | 0 | 0 | 0 | 2.45 | 2.41 |
| 14 | 0 | 0 | 0 | 2.45 | 2.63 |
| 15 | 0 | 0 | 0 | 2.45 | 2.33 |
| 16 | 0 | 0 | 0 | 2.45 | 2.56 |
| 17 | 0 | 0 | 0 | 2.45 | 2.33 |
| Type | Sum of Squares | df | Mean Square | F Value | Prob (P) > F |
|---|---|---|---|---|---|
| Model | 2.46 | 9 | 0.27 | 21.75 | 0.0003 |
| A | 0.17 | 1 | 0.17 | 13.18 | 0.0084 |
| B | 0.37 | 1 | 0.37 | 29.14 | 0.0010 |
| C | 0.56 | 1 | 0.56 | 44.79 | 0.0003 |
| AB | 0.011 | 1 | 0.011 | 0.88 | 0.3797 |
| AC | 0.010 | 1 | 0.010 | 0.80 | 0.4016 |
| BC | 0.032 | 1 | 0.032 | 2.58 | 0.1521 |
| A2 | 0.34 | 1 | 0.34 | 27.22 | 0.0012 |
| B2 | 0.71 | 1 | 0.71 | 56.50 | 0.0001 |
| C2 | 0.29 | 1 | 0.29 | 23.17 | 0.0019 |
| Residual | 0.088 | 7 | 0.013 | ||
| Lack of Fit | 0.013 | 3 | 0.004308 | 0.23 | 0.8713 |
| Pure Error | 0.075 | 4 | 0.019 | ||
| Cor Total | 2.54 | 16 |
| Factor | Extraction Conditions | Low (−) | High (+) |
|---|---|---|---|
| X1 | Material to liquid ratio (g/mL) | 1:40 | 1:60 |
| X2 | Ultrasonic extraction cycles (time) | 2 | 4 |
| X3 | Ethanol concentration (%) | 30 | 50 |
| X4 | Ultrasonic time (min) | 30 | 50 |
| X5 | Ultrasonic power (W) | 125 | 175 |
| Level | Factor | ||
|---|---|---|---|
| Material to Liquid Ratio (g/mL) | Ultrasonic Extraction Cycles (Time) | Ethanol Concentration (%) | |
| −1 | 1:40 | 2 | 30 |
| 0 | 1:50 | 3 | 40 |
| 1 | 1:60 | 4 | 50 |
Publisher’s Note: MDPI stays neutral with regard to jurisdictional claims in published maps and institutional affiliations. |
© 2022 by the authors. Licensee MDPI, Basel, Switzerland. This article is an open access article distributed under the terms and conditions of the Creative Commons Attribution (CC BY) license (https://creativecommons.org/licenses/by/4.0/).
Share and Cite
Wu, E.-Y.; Sun, W.-J.; Wang, Y.; Zhang, G.-Y.; Xu, B.-C.; Chen, X.-G.; Hao, K.-Y.; He, L.-Z.; Si, H.-B. Optimization of Ultrasonic-Assisted Extraction of Total Flavonoids from Abrus Cantoniensis (Abriherba) by Response Surface Methodology and Evaluation of Its Anti-Inflammatory Effect. Molecules 2022, 27, 2036. https://doi.org/10.3390/molecules27072036
Wu E-Y, Sun W-J, Wang Y, Zhang G-Y, Xu B-C, Chen X-G, Hao K-Y, He L-Z, Si H-B. Optimization of Ultrasonic-Assisted Extraction of Total Flavonoids from Abrus Cantoniensis (Abriherba) by Response Surface Methodology and Evaluation of Its Anti-Inflammatory Effect. Molecules. 2022; 27(7):2036. https://doi.org/10.3390/molecules27072036
Chicago/Turabian StyleWu, En-Yun, Wen-Jing Sun, Ying Wang, Ge-Yin Zhang, Bai-Chang Xu, Xiao-Gang Chen, Kai-Yuan Hao, Ling-Zhi He, and Hong-Bin Si. 2022. "Optimization of Ultrasonic-Assisted Extraction of Total Flavonoids from Abrus Cantoniensis (Abriherba) by Response Surface Methodology and Evaluation of Its Anti-Inflammatory Effect" Molecules 27, no. 7: 2036. https://doi.org/10.3390/molecules27072036
APA StyleWu, E.-Y., Sun, W.-J., Wang, Y., Zhang, G.-Y., Xu, B.-C., Chen, X.-G., Hao, K.-Y., He, L.-Z., & Si, H.-B. (2022). Optimization of Ultrasonic-Assisted Extraction of Total Flavonoids from Abrus Cantoniensis (Abriherba) by Response Surface Methodology and Evaluation of Its Anti-Inflammatory Effect. Molecules, 27(7), 2036. https://doi.org/10.3390/molecules27072036

