Highly Fluorescent Dyes Containing Conformationally Restrained Pyrazolylpyrene (Pyrazoolympicene) Chromophore
Abstract
:1. Introduction
2. Results and Discussion
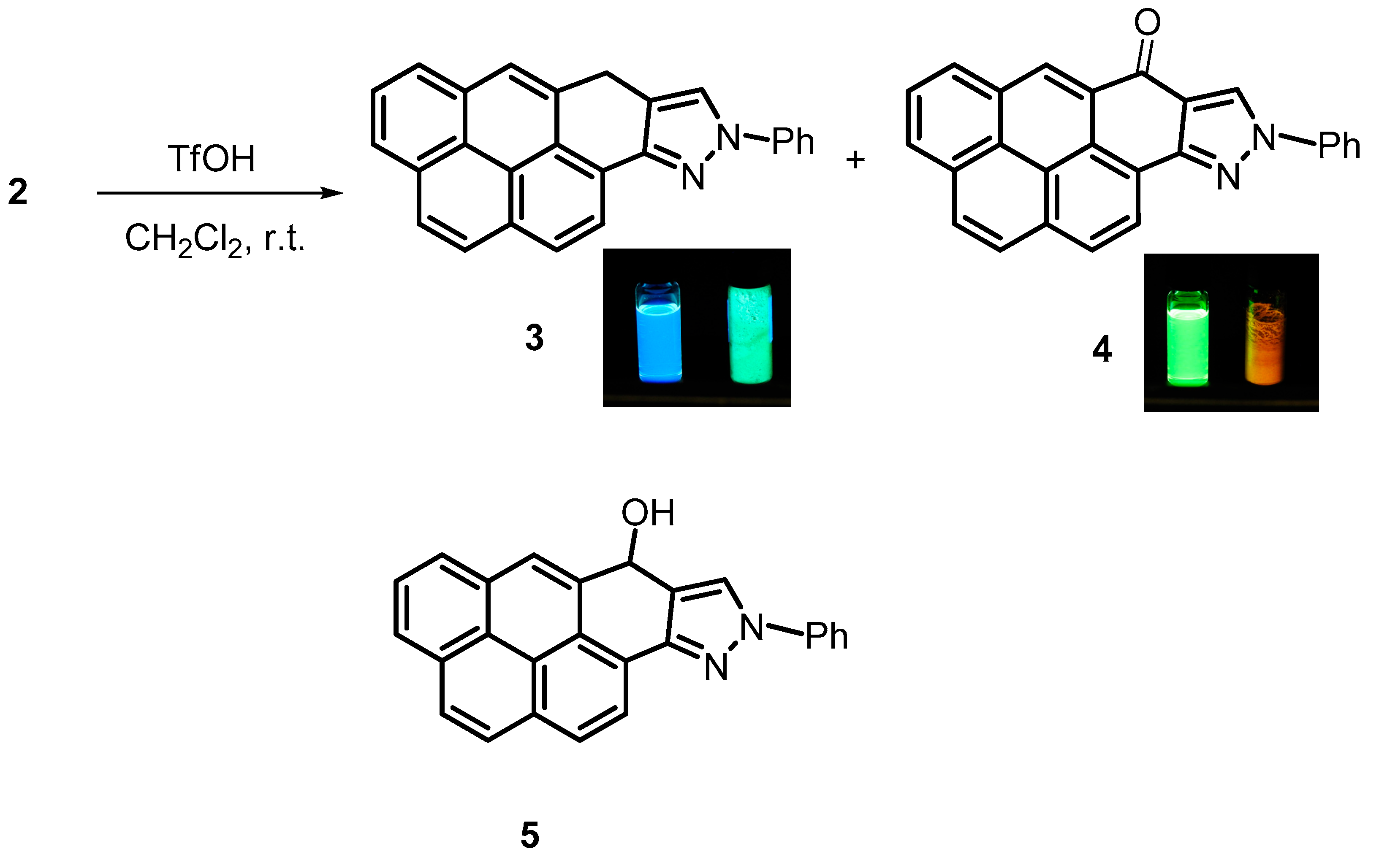
2.1. Synthesis of 3 and 4
2.2. Photophysical Properties of 1–4
2.2.1. UV/VIS Absorption and Emission Spectra in Solution
2.2.2. Solid State Fluorescence of 3 and 4
2.3. Theoretical Calculations
2.3.1. Geometry Optimizations
2.3.2. Molecular Orbitals
2.3.3. Electronic Transitions
2.4. Acidity Sensing
3. Conclusions
4. Materials and Methods
4.1. Synthesis of 3 and 4
4.2. UV/Vis Measurements
4.3. X-ray Diffraction Measurment
Supplementary Materials
Author Contributions
Funding
Institutional Review Board Statement
Informed Consent Statement
Data Availability Statement
Conflicts of Interest
Sample Availability
References
- Winnik, F.M. Photophysics of preassociated pyrenes in aqueous polymer solutions and in other organized media. Chem. Rev. 1993, 93, 587–614. [Google Scholar] [CrossRef]
- D’Abramo, M.; Aschi, M.; Amadei, A. Theoretical calculation of the pyrene emission properties in different solvents. Chem. Phys. Lett. 2015, 639, 17–22. [Google Scholar] [CrossRef]
- Islam, M.M.; Hu, Z.; Wang, Q.; Redshaw, C.; Feng, X. Pyrene-based aggregation-induced emission luminogens and their applications. Mater. Chem. Front. 2019, 3, 762–781. [Google Scholar] [CrossRef]
- Duhamel, J. New Insights in the Study of Pyrene Excimer Fluorescence to Characterize Macromolecules and their Supramolecular Assemblies in Solution. Langmuir 2012, 28, 6527–6538. [Google Scholar] [CrossRef] [PubMed]
- Karuppannan, S.; Chambron, J.-C. Supramolecular Chemical Sensors Based on Pyrene Monomer–Excimer Dual Luminescence. Chem. Asian J. 2011, 6, 964–984. [Google Scholar] [CrossRef]
- Liu, T.; Huang, Z.; Feng, R.; Ou, Z.; Wang, S.; Yang, L. An intermolecular pyrene excimer-based ratiometric fluorescent probes for extremely acidic pH and its applications. Dyes Pigm. 2020, 174, 108102. [Google Scholar] [CrossRef]
- Figueira-Duarte, T.M.; Müllen, K. Pyrene-Based Materials for Organic Electronics. Chem. Rev. 2011, 111, 7260–7314. [Google Scholar] [CrossRef]
- Feng, X.; Hu, J.-Y.; Redshaw, C.; Yamato, T. Functionalization of Pyrene To Prepare Luminescent Materials-Typical Examples of Synthetic Methodology. Chem. Eur. J. 2016, 22, 11898–11916. [Google Scholar] [CrossRef]
- Casas-Solvas, J.M.; Howgego, J.D.; Davis, A.P. Synthesis of substituted pyrenes by indirect methods. Org. Biomol. Chem. 2014, 12, 212–232. [Google Scholar] [CrossRef] [Green Version]
- Kinik, F.P.; Ortega-Guerrero, A.; Ongari, D.; Ireland, C.P.; Smit, B. Pyrene-based metal organic frameworks: From synthesis to applications. Chem. Soc. Rev. 2021, 50, 3143–3177. [Google Scholar] [CrossRef]
- Hirai, Y.; Laize-Générat, L.; Wrona-Piotrowicz, A.; Zakrzewski, J.; Makal, A.; Brosseau, A. Multi-Directional Mechanofluorochromism of Acetyl Pyrenes and Pyrenyl Ynones. ChemPhysChem 2021, 22, 1638–1644. [Google Scholar] [CrossRef]
- Bains, G.; Patel, A.B.; Narayanaswami, V. Pyrene: A Probe to Study Protein Conformation and Conformational Changes. Molecules 2011, 16, 7909–7935. [Google Scholar] [CrossRef]
- Ayyavoo, K.; Velusamy, P. Pyrene based materials as fluorescent probes in chemical and biological fields. New J. Chem. 2021, 45, 10997–11017. [Google Scholar] [CrossRef]
- Krasheninina, O.A.; Novopashina, D.S.; Apartsin, E.K.; Venyaminova, A.G. Recent Advances in Nucleic Acid Targeting Probes and Supramolecular Constructs Based on Pyrene-Modified Oligonucleotides. Molecules 2017, 22, 2108. [Google Scholar] [CrossRef] [Green Version]
- Tigreros, A.; Portilla, J. Recent progress in chemosensors based on pyrazole derivatives. RSC Adv. 2020, 10, 19693–19712. [Google Scholar] [CrossRef]
- Willy, B.; Müller, T.J.J. Rapid One-Pot, Four-Step Synthesis of Highly Fluorescent 1,3,4,5-Tetrasubstituted Pyrazoles. Org. Lett. 2011, 13, 2082–2085. [Google Scholar] [CrossRef]
- Willy, B.; Müller, T.J.J. Regioselective Three-Component Synthesis of Highly Fluorescent 1,3,5-Trisubstituted Pyrazoles. Eur. J. Org. Chem. 2008, 2008, 4157–4168. [Google Scholar] [CrossRef]
- Mukherjee, S.; Salini, P.S.; Srinivasan, A.; Peruncheralathan, S. AIEE phenomenon: Tetraaryl vs. triaryl pyrazoles. Chem. Comm. 2015, 51, 17148–17151. [Google Scholar] [CrossRef]
- Götzinger, A.C.; Theßeling, F.A.; Hoppe, C.; Müller, T.J.J. One-Pot Coupling–Coupling–Cyclocondensation Synthesis of Fluorescent Pyrazoles. J. Org. Chem. 2016, 81, 10328–10338. [Google Scholar] [CrossRef]
- Amoah, C.; Obuah, C.; Ainooson, M.K.; Muller, A. Synthesis, characterization and fluorescent properties of ferrocenyl pyrazole and triazole ligands and their palladium complexes. J. Organomet. Chem. 2021, 935, 121664. [Google Scholar] [CrossRef]
- Flamholc, R.; Zakrzewski, J.; Makal, A.; Brosseau, A.; Métivier, R. Synthesis, regioselective aerobic Pd(II)-catalyzed C–H bond alkenylation and the photophysical properties of pyrenylphenylpyrazoles. Photochem. Photobiol. Sci. 2016, 15, 580–588. [Google Scholar] [CrossRef] [Green Version]
- Flamholc, R.; Wrona-Piotrowicz, A.; Makal, A.; Zakrzewski, J. Pyrenylpyrazole-based donor/acceptor fluorescent dyes: Synthesis and photophysical properties. Dye. Pigm. 2018, 154, 52–61. [Google Scholar] [CrossRef]
- Matikonda, S.S.; Hammersley, G.; Kumari, N.; Lennart Grabenhorst, L.; Glembockyte, V.; Tinnefeld, P.; Ivanic, J.; Levitus, M.; Schnermann, M.J. Impact of Cyanine Conformational Restraint in the Near-Infrared Range. J. Org. Chem. 2020, 85, 5907–5915. [Google Scholar] [CrossRef]
- Ren, T.; Xu, W.; Jin, F.; Cheng, D.; Zhang, L.; Yuan, L.; Zhang, X. Rational Engineering of Bioinspired Anthocyanidin Fluorophores with Excellent Two-Photon Properties for Sensing and Imaging. Anal. Chem. 2017, 89, 11427–11434. [Google Scholar] [CrossRef]
- Bell, J.D.; Harkiss, A.H.; Nobis, D.; Malcolm, E.; Knuhtsen, A.; Wellaway, C.R.; Jamieson, A.G.; Magennis, S.W.; Sutherland, A. Conformationally rigid pyrazoloquinazoline α-amino acids: One- and two-photon induced fluorescence. Chem. Commun. 2020, 56, 1887. [Google Scholar] [CrossRef] [Green Version]
- Klumpp, D.A.; Kindelin, P.J.; Li, A. Superacid-promoted reactions of pyrazolecarboxaldehydes and the role of dicationic electrophiles. Tetrahedron Lett. 2005, 46, 2931–2935. [Google Scholar] [CrossRef]
- Mistry, A.; Moreton, B.; Schuler, B.; Mohn, F.; Meyer, G.; Gross, L. The Synthesis and STM/AFM Imaging of ‘Olympicene’ Benzo[cd]pyrenes. Chem. Eur. J. 2015, 21, 2011–2018. [Google Scholar] [CrossRef]
- Örücü, H.; Acar, N. Effects of substituent groups and solvent media on Pyrene in ground and excited states: A DFT and TDDFT study. Comput. Theor. Chem. 2015, 1056, 11–18. [Google Scholar] [CrossRef]
- Lu, T.; Chen, F. Multiwfn: A multifunctional wavefunction analyzer. J. Comput. Chem. 2012, 33, 580–592. [Google Scholar] [CrossRef]
- El Ghomari, M.J.; Mokhlisse, R.; Laurence, C.; Le Questel, J.Y.; Berthelot, M. Basicity of azoles: Complexes of diiodine with imidazoles, pyrazoles and triazoles. J. Phys. Org. Chem. 1997, 10, 669–674. [Google Scholar] [CrossRef]
- Marín-Luna, M.; Alkorta, I.; Elguero, J. A theoretical study of the gas phase (proton affinity) and aqueous (pKa) basicity of a series of 150 pyrazoles. New J. Chem. 2015, 39, 2861–2871. [Google Scholar] [CrossRef] [Green Version]
- Suslova, E.E.; Ovchenkova, E.N.; Lomova, T.N. The Hammett acidity function H0 in trifluoroacetic acid–dichloromethane mixtures. Tetrahedron Lett. 2014, 55, 4325–4327. [Google Scholar] [CrossRef]
- Shih, I.-C.; Yeh, Y.-S.; Wu, I.-C.; Chen, Y.-H.; Shen, J.-Y.; Chen, Y.-A. A New Series of Fluorescent Indicators for Super Acids. Photochem. Photobiol. 2015, 91, 654–659. [Google Scholar] [CrossRef] [PubMed]
- Brouwer, A.M. Standards for photoluminescence quantum yield measurements in solution (IUPAC Technical Report). Pure Appl. Chem. 2011, 83, 2213–2228. [Google Scholar] [CrossRef] [Green Version]
- Sheldrick, G.M. A short history of SHELX. Acta Cryst. 2008, A64, 112–122. [Google Scholar] [CrossRef] [Green Version]
- Dolomanov, O.V.; Bourhis, L.J.; Gildea, R.J.; Howard, J.A.K.; Puschmann, H. OLEX2: A complete structure solution, refinement and analysis program. J. Appl. Cryst. 2009, 42, 339–341. [Google Scholar] [CrossRef]
- Macrae, C.F.; Edgington, P.R.; McCabe, P.; Pidcock, E.; Shields, G.P.; Taylor, R.; Towler, M.; van de Streek, J. Mercury: Visualization and analysis of crystal structures. J. Appl. Cryst. 2006, 39, 453–457. [Google Scholar] [CrossRef] [Green Version]














| Compound | Absorption (nm)/εmax (M−1 cm−1) | Emission (nm) | Stokes Shift (nm/cm−1) | Quantum Yield ΦF |
|---|---|---|---|---|
| 1 | 352/45,570/ * | 392, 415, 438 (sh) * | 40/2900 | 0.69 * |
| 2 | 332/25,240/, 347/32,640/ ** | 449 ** | 102/6547 | 0.26 ** |
| 3 | 357/23,100/, 376/47,240/, 399 (57,140) | 406, 432, 459 | 7/432 | 0.77 |
| 4 | 381/6480/, 402/9770/, 437/12,510/ | 503, 532 | 66/3003 | 0.94 |
| Compound | Contributing Orbitals (Contribution) | ΔE [eV] | λcalc (nm) | f |
|---|---|---|---|---|
| 1 * | H → L (0.93) | 3.41 | 363.5 | 0.626 |
| 2 ** | H → L (0.67) H → L + 1 (0.30) | 3.31 | 375.0 | 0.236 |
| 3 | H → L (0.96) | 3.26 | 380.2 | 0.806 |
| 4 | H → L (0.96) | 2.71 | 457.1 | 0.29 |
Publisher’s Note: MDPI stays neutral with regard to jurisdictional claims in published maps and institutional affiliations. |
© 2022 by the authors. Licensee MDPI, Basel, Switzerland. This article is an open access article distributed under the terms and conditions of the Creative Commons Attribution (CC BY) license (https://creativecommons.org/licenses/by/4.0/).
Share and Cite
Wrona-Piotrowicz, A.; Makal, A.; Zakrzewski, J. Highly Fluorescent Dyes Containing Conformationally Restrained Pyrazolylpyrene (Pyrazoolympicene) Chromophore. Molecules 2022, 27, 1272. https://doi.org/10.3390/molecules27041272
Wrona-Piotrowicz A, Makal A, Zakrzewski J. Highly Fluorescent Dyes Containing Conformationally Restrained Pyrazolylpyrene (Pyrazoolympicene) Chromophore. Molecules. 2022; 27(4):1272. https://doi.org/10.3390/molecules27041272
Chicago/Turabian StyleWrona-Piotrowicz, Anna, Anna Makal, and Janusz Zakrzewski. 2022. "Highly Fluorescent Dyes Containing Conformationally Restrained Pyrazolylpyrene (Pyrazoolympicene) Chromophore" Molecules 27, no. 4: 1272. https://doi.org/10.3390/molecules27041272
APA StyleWrona-Piotrowicz, A., Makal, A., & Zakrzewski, J. (2022). Highly Fluorescent Dyes Containing Conformationally Restrained Pyrazolylpyrene (Pyrazoolympicene) Chromophore. Molecules, 27(4), 1272. https://doi.org/10.3390/molecules27041272

