Recent Developments in Carbon-Based Nanocomposites for Fuel Cell Applications: A Review
Abstract
:1. Introduction
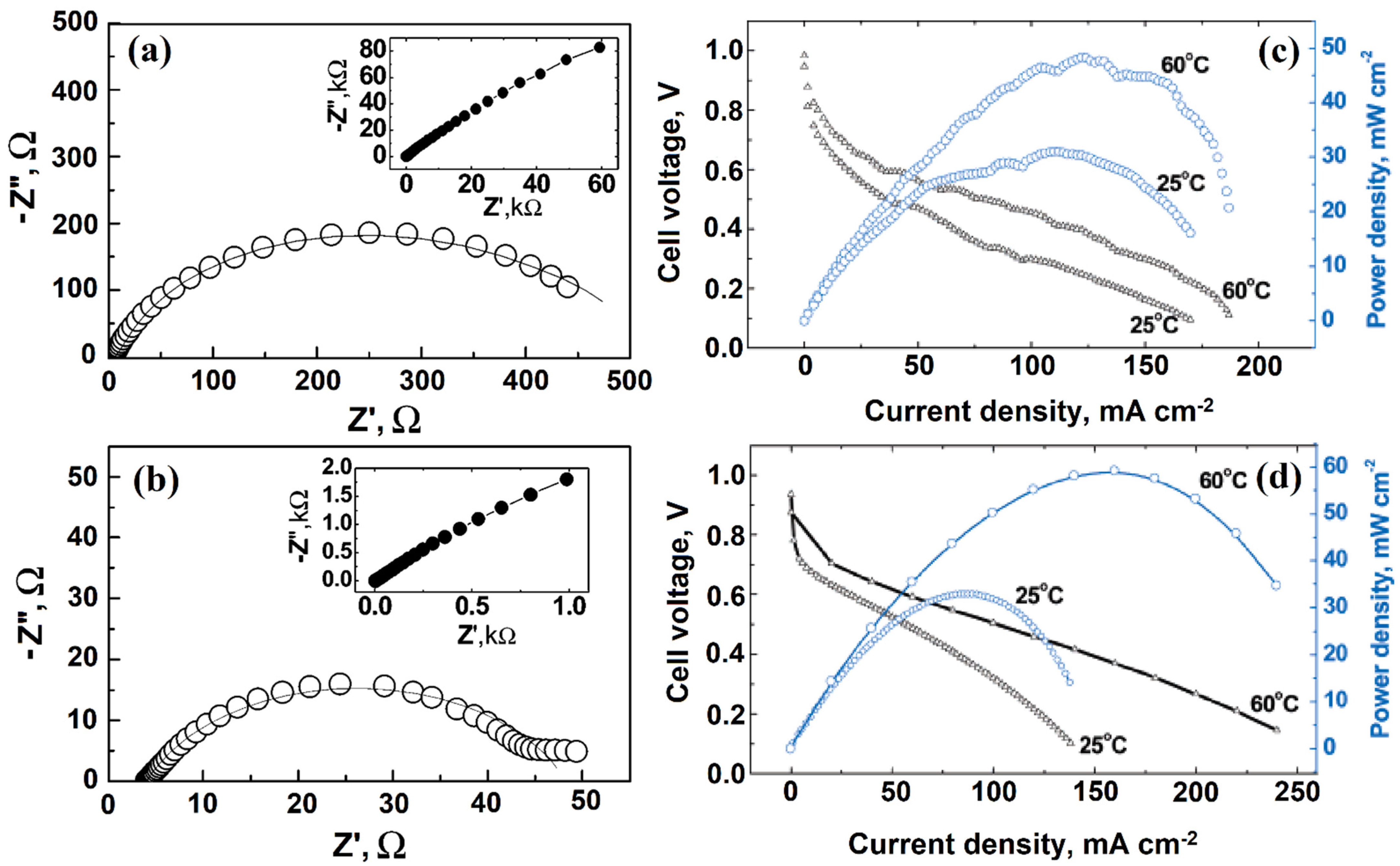
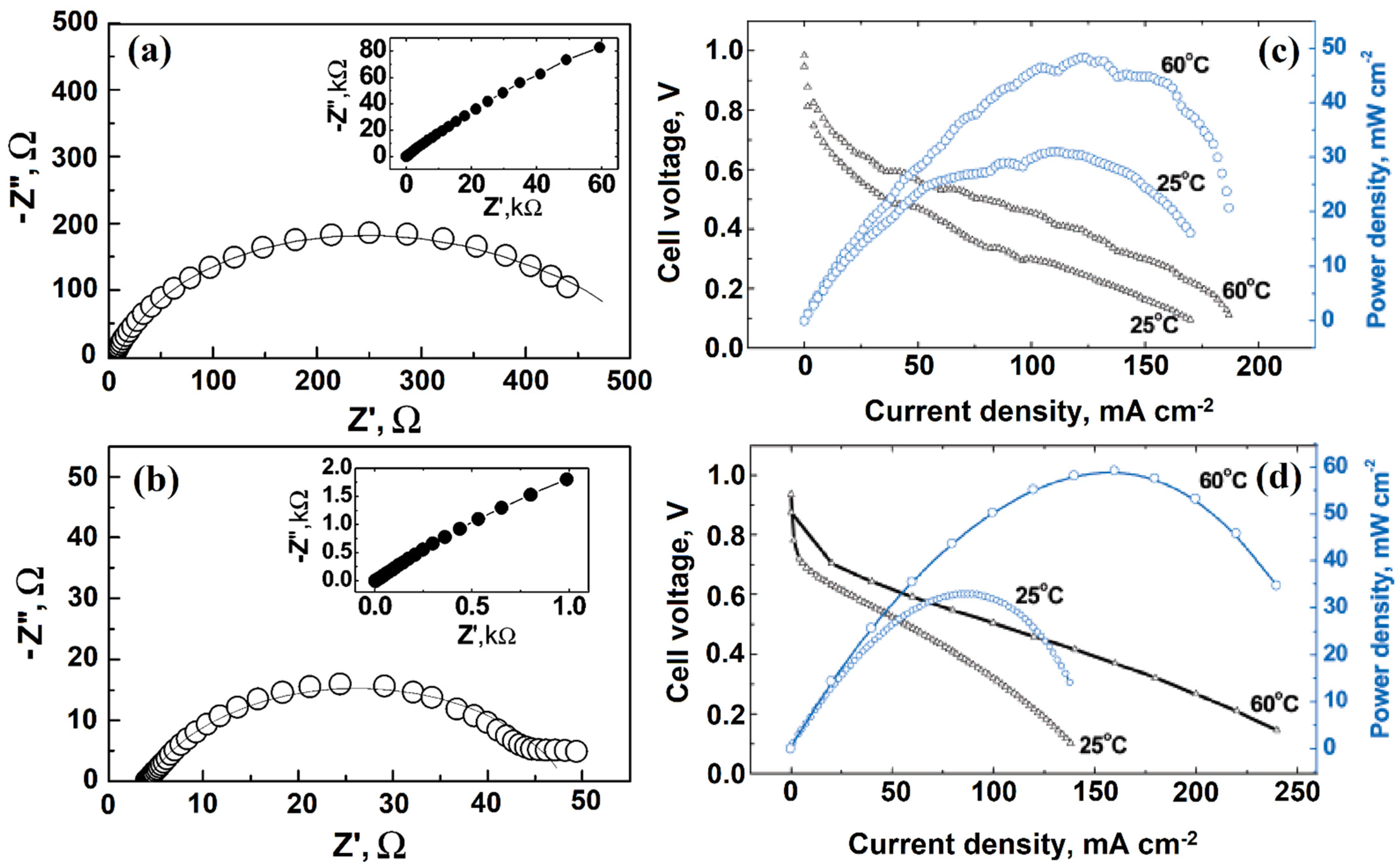
2. Carbon Aerogel-Based Electrode Materials
3. Carbon Nanofiber-Based Electrode Materials
4. Graphene-Based Electrode Materials
5. Single-Walled Carbon Nanotube-Based Materials
6. Multi-Walled Carbon Nanotube-Based Electrode Materials
7. Fullerene-Based Electrode Materials
8. Conclusions and Perspectives
Author Contributions
Funding
Institutional Review Board Statement
Informed Consent Statement
Data Availability Statement
Conflicts of Interest
Abbreviations
| AFC | Alkaline fuel cell |
| Au–NT–G | Gold nanoparticles–multi-walled carbon nanotube–graphene nanoribbon |
| BCN | Boron carbon nitride |
| BPDA | 4,4′-biphenyl dicarboxaldehyde |
| CAs | Carbon aerogels |
| CB | Carbon black |
| CF–PVA–PANI | Carbon felt–polyvinyl alcohol–polyaniline |
| CFE | Carbon fiber electrode |
| CV | Cyclic voltammetry |
| DMFC | Direct methanol fuel cell |
| ECSA | Electrochemical surface area |
| EIS | Electrochemical impedance spectroscopy |
| EOR | Ethanol electro oxidation |
| FQDs | Fullerene quantum dots |
| FFA | Furfuraldehyde |
| GR | Graphene |
| HMTA | Hexamethylenetetramine |
| HER | Hydrogen evolution reaction |
| LSV | Linear sweep voltammetry |
| LDH | Layered double hydroxide |
| MFC | Microbial fuel cell |
| MCFC | Molten carbonate fuel cell |
| MEA | Membrane electrode assembly |
| MCA | Macroporous carbon aerogel |
| NAF | Nafion |
| Ni/NCA | Nitrogen doped carbon aerogel modified nickel |
| NF | Nickel foam |
| OCV | Open circuit voltage |
| ORR | Oxygen reduction reaction |
| PyrC60 | Fullerene–pyrolidine |
| PAFC | Phosphoric acid fuel cell |
| PEMFCs | Proton-exchange membrane fuel cells |
| PtNPs | Platinum nanoparticles |
| PtNWs | Platinum nanowires |
| PVA | Polyvinyl alcohol |
| POSS-NH2 | Octa-aminophenyl polyhedral oligomeric silsesquioxane |
| RF | Resorcinol–formaldehyde |
| RCT | Charge-transfer resistance |
| rGO | Reduced graphene oxide |
| Sfu | Sulfonated fullerene |
| SOFC | Solid-oxide fuel cell |
| SPEEK | Sulfonated polyether ether ketone |
| SSA | Specific surface area |
| SWCNT | Single-walled carbon nanotube |
| TEA | Triethylamine |
| TEM | Transmission electron microscopy |
References
- Abdelkareem, M.A.; Elsaid, K.; Wilberforce, T.; Kamil, M.; Sayed, E.T.; Olabi, A. Environmental aspects of fuel cells; A review. Sci. Total Environ. 2021, 752, 141803. [Google Scholar] [CrossRef] [PubMed]
- Inumaru, J.; Hasegawa, T.; Shirai, H.; Nishida, H.; Noda, N.; Ohyama, S. 1-Fossil Fuels Combustion and Environmental Issues. In Advances in Power Boilers; JSME Series in Thermal and Nuclear Power Generation; Elsevier: Amsterdam, The Netherlands, 2021; pp. 1–56. [Google Scholar]
- Fan, L.; Tu, Z.; Chan, S.H. Recent development of hydrogen and fuel cell technologies: A review. Energy Rep. 2021, 7, 8421–8446. [Google Scholar] [CrossRef]
- Zhang, H.; Sun, C. Cost-effective iron-based aqueous redox flow batteries for large-scale energy storage application: A review. J. Power Sources 2021, 493, 229445. [Google Scholar] [CrossRef]
- Chai, L.; Hu, Z.; Wang, X.; Zhang, L.; Li, T.-T.; Hu, Y.; Pan, J.; Qian, J.; Huang, S. Fe7C3 nanoparticles with in situ grown CNT on nitrogen doped hollow carbon cube with greatly enhanced conductivity and ORR performance for alkaline fuel cell. Carbon 2020, 174, 531–539. [Google Scholar] [CrossRef]
- Singla, S.; Sharma, S.; Basu, S.; Shetti, N.P.; Aminabhavi, T.M. Photocatalytic water splitting hydrogen production via environmental begin carbon based nanomaterials. Int. J. Hydrogen Energy 2021, 46, 33696–33717. [Google Scholar] [CrossRef]
- Lu, X.-F.; Liao, P.-Q.; Wang, J.-W.; Wu, J.-X.; Chen, X.-W.; He, C.-T.; Zhang, J.-P.; Li, G.-R.; Chen, X.-M. An Alkaline-Stable, Metal Hydroxide Mimicking Metal–Organic Framework for Efficient Electrocatalytic Oxygen Evolution. J. Am. Chem. Soc. 2016, 138, 8336–8339. [Google Scholar] [CrossRef] [PubMed]
- Veerakumar, P.; Sangili, A.; Manavalan, S.; Thanasekaran, P.; Lin, K.-C. Research progress on po-rous carbon supported metal/metal oxide nanomaterials for supercapacitor electrode applications. Ind. Eng. Chem. Res. 2020, 59, 6347–6374. [Google Scholar] [CrossRef]
- Thangarasu, S.; Jung, H.Y.; Wee, J.H.; Kim, Y.A.; Roh, S.H. A new strategy of carbon-Pd composite as a bipolar plate materials for unitized regenerative fuel cell system. Electrochim. Acta. 2021, 391, 138921. [Google Scholar] [CrossRef]
- Dong, C.; Xu, B.; Liu, D.; Moloney, E.G.; Tan, F.; Yue, G.; Liu, R.; Zhang, D.; Zhang, W.; Saidaminov, M.I. Carbon-based an all-inorganic perovskite solar cells; progress, challenges and strategies towards 20% efficiency. Mater. Today 2021, 50, 239–258. [Google Scholar] [CrossRef]
- Liu, H.; Liu, Q.; Wang, Y.; Wang, Y.; Chou, S.; Hu, Z.; Zhang, Z. Bifunctional carbon-based cathode catalysts for zinc-air battery: A review. Chin. Chem. Lett. 2021. [Google Scholar] [CrossRef]
- Cheng, D.; Li, Y.; Zhang, J.; Tian, M.; Wang, B.; He, Z.; Dai, L.; Wang, L. Recent advances in electro-spun carbon fiber electrode for vanadium redox flow battery; properties, structures and perspectives. Carbon 2020, 170, 527–542. [Google Scholar] [CrossRef]
- Vyas, Y.; Chundawat, P.; Dharmendra, D.; Punjabi, P.B.; Ameta, C. Review on hydrogen production photo catalytically using carbon quantum dots; Future fuel. Int. J. Hydrogen Energy 2021, 46, 75, 37208–37241. [Google Scholar] [CrossRef]
- Fonseca, E.V.; Yang, W.; Wang, X.; Rossi, R.; Logan, B.E. Comparison of different chemical treat-ment of brush and flat carbon electrodes to improve performance of microbial fuel cells. Bioresour. Technol. 2021, 342, 125932. [Google Scholar] [CrossRef] [PubMed]
- Steele, B.C.H.; Heinzel, A. Materials for fuel-cell technologies. Nature 2001, 414, 345–352. [Google Scholar] [CrossRef]
- Su, H.; Hu, Y.H. Recent advances in graphene-based materials for fuel cell applications. Energy Sci. Eng. 2020, 9, 958–983. [Google Scholar] [CrossRef]
- Peera, S.G.; Koutavarapu, R.; Akula, S.; Asokan, A.; Moni, P.; Selvaraj, M.; Balamurugan, J.; Kim, S.O.; Liu, C.; Sahu, A.K. Carbon Nanofibers as Potential Catalyst Support for Fuel Cell Cathodes: A Review. Energy Fuels 2021, 35, 11761–11799. [Google Scholar] [CrossRef]
- Annual Energy Outlook, 2019 with Projects to 2050; U.S. Department of Energy, Office of Energy Analysis, U.S Energy Information Administration: Washington, DC, USA, 2019.
- Khanna, S.; Marathey, P.; Vanpariya, A.; Paneliya, S.; Mukhopadhyay, I. In-situ preparation of ti-tania/graphene nanocomposite via a facile sol-gel strategy; A promising anodic materials for Li-ion batteries. Mater. Let. 2021, 300, 130143. [Google Scholar] [CrossRef]
- Mahalingam, S.; Ayyaru, S.; Aha, Y.H. Facile one-pot microwave assisted synthesis of rGO-CuS-ZnS hybrid nanocomposite cathode catalysts for microbial fuel cell applications. Chemosphere 2021, 278, 130426. [Google Scholar] [CrossRef]
- Choudhari, A.; Bhanvase, B.A.; Saharan, V.K.; Salame, P.; Hunge, Y. Sonochemical preparation and characterization of rGO/SnO2 nanocomposite: Electrochemical and gas sensing performance. Ceram. Int. 2020, 46, 11290–11296. [Google Scholar] [CrossRef]
- Feng, X.; Han, G.; Cai, J.; Wang, X. Au@carbon quantum dots-Mxene nanocomposite as an electro-chemical sensor for sensitive detection of nitrate. J. Colloids Interface Sci. 2022, 607, 1313–1322. [Google Scholar] [CrossRef]
- Gu, Z.; Zhang, B.; Asakura, Y.; Tsukuda, S.; Kato, H.; Kakihana, M.; Yin, S. Alkali-assisted hydro-thermal preparation of g-C3N4/rGO nanocomposites with highly enhanced photocatalytic NOx removal ac-tivity. Appl. Surf. Sci. 2020, 521, 146213. [Google Scholar] [CrossRef]
- Li, W.L.W.; Tu, M.T.; Cao, R.; Fisher, R.A. Metal-organic framework thin film; Electrochemical fabrication techniques and corresponding applications and perspectives. J. Mater. Chem. A 2016, 4, 12356–12369. [Google Scholar]
- Kang, Z.; Wang, Y.; Yang, C.; Xu, B.; Wang, L.; Zhu, Z. Multifunctional N and O co-doped 3D car-bon aerogel as a monolithic electrode for either enzyme immobilization, oxygen reduction and showing supercapacitance. Electrochim. Acta 2021, 395, 139179. [Google Scholar] [CrossRef]
- Shanmugam, P.; Murthy, A.P.; Theerthagiri, J.; Wei, W.; Madhavan, J.; Kim, H.S.; Maiyalagan, T.; Xie, J. Robust bifunctional catalytic activities of N-doped carbon aerogel-nickel composite for electrocatalytic hydrogen evolution and hydrogen of nitro compound. Int. J. Hydrogen Energy 2019, 44, 13334–13344. [Google Scholar] [CrossRef]
- Lopez, R.O.; Sanchez, G.R.; Schulz, J.M.E.; Lartundo, L.; Ortiz, A.D. On site formation of N-doped carbon nanofibers, an efficient electroctalysts for fuel cell applications. Int. J. Hydrogen Energy 2017, 42, 1–10. [Google Scholar]
- Bhavani, K.S.; Anusha, T.; Shanmikha, J.V.; Brahman, P.K. Enhanced electrocatalytic activity of methanol and ethanol oxidation in alkaline medium at bimetallic nanoparticles electrochemically decorated fullerene-C60 nanocomposite electrocatalyst; An efficient anode materials for alcohol fuel cell applications. Electroanal 2021, 33, 97–110. [Google Scholar] [CrossRef]
- Latif, H.; Wasif, D.; Rasheed, S.; Sattar, A.; Rafique, M.S.; Anwar, A.W.; Zaheer, S.; Shabbir, S.A.; Imtiaz, A.; Qutab, M.; et al. Gold nanoparticles mixed multiwall carbon nanotubes, supported on graphene nanoribbons (Au-NT-G) as an efficient reduction electrode for Polymer Electrolyte Membrane fuel cells (PEMFC). Renew. Energy 2020, 154, 767–773. [Google Scholar] [CrossRef]
- Yu, M.; Han, Y.; Li, J.; Wang, L. One-step synthesis of sodium carboxymethyl cellulose-derived carbon aerogel/nickel oxide composites for energy storage. Chem. Eng. J. 2017, 324, 287–295. [Google Scholar] [CrossRef]
- Han, S.; Sun, Q.; Zheng, H.; Li, J.; Jin, C. Green and facile fabrication of carbon aerogels from cellulose-based waste newspaper for solving organic pollution. Carbohydr. Polym. 2016, 136, 95–100. [Google Scholar] [CrossRef] [PubMed]
- Chen, Y.; Zhang, L.; Yang, Y.; Pang, B.; Xu, W.; Duan, G.; Jiang, S.; Zhang, K. Recent progress on nanocellulose aerogels: Preparation, modification, composite fabrication, applications. Adv. Mater. 2021, 33, 2005569. [Google Scholar] [CrossRef]
- Antolini, E. Lignocellulose, cellulose and lignin as renewable alternative fuels for direct biomass fuel cells. ChemSusChem 2020, 14, 189–207. [Google Scholar] [CrossRef]
- Yang, W.; Peng, Y.; Zhang, Y.; Lu, J.E.; Li, J.; Chen, S. Air cathode catalysts of microbial fuel cell by nitrogen-doped carbon aerogels. ACS Sustain. Chem. Eng. 2018, 7, 3917–3924. [Google Scholar] [CrossRef]
- Santoro, C.; Serov, A.; Gokhale, R.; Rojas-Carbonell, S.; Stariha, L.; Gordon, J.; Artyushkova, K.; Atanassov, P. A family of Fe-N-C oxygen reduction electrocatalysts for microbial fuel cell (MFC) application: Relationships between surface chemistry and performances. Appl. Catal. B Environ. 2017, 205, 24–33. [Google Scholar] [CrossRef] [PubMed]
- Fauziyah, M.; Widiyastuti, W.; Setyawan, H. Nitrogen-doped carbon aerogels prepared by direct pyrolysis of cellulose aerogels derived from coir fibers using an ammonia–urea system and their electrocatalytic performance toward the oxygen reduction reaction. Ind. Eng. Chem. Res. 2020, 59, 21371–21382. [Google Scholar] [CrossRef]
- Mulik, S.; Sotiriou-Leventis, C.; Leventis, N. Macroporous electrically conducting carbon networks by pyrolysis of isocyanate-cross-linked resorcinol-formaldehyde aerogels. Chem. Mater. 2008, 20, 6985–6997. [Google Scholar] [CrossRef]
- Gu, K.; Kim, E.J.; Sharma, S.; Sharma, P.R.; Bliznakov, S.; Hsiao, B.S.; Rafailovich, M.H. Mesoporous carbon aerogel with tunable porosity as the catalyst support for enhanced proton-exchange membrane fuel cell performance. Mater. Today Energy 2020, 19, 100560. [Google Scholar] [CrossRef]
- Pandey, A.P.; Bhatnagar, A.; Shukla, V.; Soni, P.K.; Singh, S.; Verma, S.K.; Shaneeth, M.; Sekkar, V.; Srivastava, O. Hydrogen storage properties of carbon aerogel synthesized by ambient pressure drying using new catalyst triethylamine. Int. J. Hydrogen Energy 2020, 45, 30818–30827. [Google Scholar] [CrossRef]
- Singh, R.; Singh, M.; Bhartiya, S.; Singh, A.; Kohli, D.; Ghosh, P.C.; Meenakshi, S.; Gupta, P. Facile synthesis of highly conducting and mesoporous carbon aerogel as platinum support for PEM fuel cells. Int. J. Hydrogen Energy 2017, 42, 11110–11117. [Google Scholar] [CrossRef]
- Huang, H.; Yang, S.; Vajtai, R.; Wang, X.; Ajayan, P.M. Pt-decorated 3D architectures built from graphene and graphitic carbon nitride nanosheets as efficient methanol oxidation catalysts. Adv. Mater. 2014, 26, 5160–5165. [Google Scholar] [CrossRef] [PubMed]
- Luo, J.; Jang, H.; Sun, T.; Xiao, L.; He, Z.; Katsoulidis, A.P.; Kanatzidis, M.G.; Gibson, J.; Huang, J. Compression and aggregation-resistant particles of crumpled soft sheets. ACS Nano 2011, 5, 8943–8949. [Google Scholar] [CrossRef] [PubMed]
- Zhou, Y.; Hu, X.; Guo, S.; Yu, C.; Zhong, S.; Liu, X. Multi-functional graphene/carbon nanotube aerogels for its applications in supercapacitor and direct methanol fuel cell. Electrochim. Acta 2018, 264, 12–19. [Google Scholar] [CrossRef]
- Zhang, B.; Lin, Z.; Huang, J.; Cao, L.; Wu, X.; Yu, X.; Zhan, Y.; Xie, F.; Zhang, W.; Chen, J.; et al. Highly active and stable non noble metal catalyst for oxygen reduction reaction. Int. J. Hydrogen Energy 2017, 42, 10423–10434. [Google Scholar] [CrossRef]
- Mai, Z.; Liu, Z.; Liu, S.; Zhang, X.; Cui, Z.; Tang, Z. Atomically dispersed Co atoms in nitrogen-doped carbon aerogel for efficient and durable oxygen reduction reaction. Int. J. Hydrogen Energy 2021, 46, 36836–36847. [Google Scholar] [CrossRef]
- Chen, Z.; Liu, S.; Chen, L.; Huang, J.; Zheng, B.; Huang, W.; Li, S.; Lu, Y.; Fu, R. A scalable molecular-templating strategy toward well-defined microporous carbon aerogels for efficient water treatment and electrocatalysis. Chem. Eng. J. 2021, 418, 129315. [Google Scholar] [CrossRef]
- Guo, L.; Wan, K.; Liu, B.; Wang, Y.; Wei, G. Recent advance in the fabrication of carbon nano-fiber-based composite materials for wearable devices. Nanotechnology 2021, 32, 442001. [Google Scholar] [CrossRef]
- Sokka, A.; Mooste, M.; Käärik, M.; Gudkova, V.; Kozlova, J.; Kikas, A.; Kisand, V.; Treshchalov, A.; Tamm, A.; Paiste, P.; et al. Iron and cobalt containing electrospun carbon nanofiber-based cathode catalysts for anion exchange membrane fuel cell. Int. J. Hydrogen Energy 2021, 46, 31275–31287. [Google Scholar] [CrossRef]
- Lee, Y.; Motoyama, Y.; Tsuji, K.; Yoon, S.-H.; Mo-chida, I.; Nagashima, H. (Z)-Selective partial hydrogenation of internal alkynes by using palladium nanoparticles supported on nitrogen-doped carbon nanofiber. Chem. Cat. Chem. 2012, 4, 778–781. [Google Scholar] [CrossRef]
- Venugopal, J.; Ramakrishna, S. Applications of polymer nanofibers in biomedicine and biotechnology. Appl. Biochem. Biotechnol. 2005, 125, 147–157. [Google Scholar] [CrossRef]
- Cai, T.; Huang, M.; Huang, Y.; Zheng, W. Enhanced performance of microbial fuel cells by electro-spinning carbon nanofibers hybrid carbon nanotubes composite anode. Int. J. Hydrogen Energy 2019, 44, 3088–3098. [Google Scholar] [CrossRef]
- Zhou, X.; Liu, B.; Chen, Y.; Guo, L.; Wei, G. Carbon nanofiber-based three-dimensional nanomaterials for energy and environmental applications. Mater. Adv. 2020, 1, 2163–2181. [Google Scholar] [CrossRef]
- Zhang, H.; Tan, Y.; Luo, X.D.; Sun, C.Y.; Chen, N. Polarization effects of a rayon and polyacrylonitrile based graphite felt for iron-chromium redox flow batteries. ChemElectroChem 2019, 6, 3175–3188. [Google Scholar] [CrossRef]
- Al-Saleh, M.H.; Sundararaj, U. A review of vapor grown carbon nanofiber/polymer conductive composites. Carbon 2009, 47, 2–22. [Google Scholar] [CrossRef]
- Zhou, X.; Wang, Y.; Gong, C.; Liu, B.; Wei, G. Production, structural design, functional control, and broad applications of carbon nanofiber-based nanomaterials: A comprehensive review. Chem. Eng. J. 2020, 402, 126189. [Google Scholar] [CrossRef]
- Modi, A.; Singh, S.; Verma, N. In situ nitrogen-doping of nickel nanoparticle-dispersed carbon nanofiber-based electrodes: Its positive effects on the performance of a microbial fuel cell. Electrochim. Acta 2016, 190, 620–627. [Google Scholar] [CrossRef]
- Kanninen, P.; Borghei, M.; Ruiz, V.; Kauppinen, E.; Kallio, T. The effect of nafion content in a graphitized carbon nanofiber-based anode for the direct methanol fuel cell. Int. J. Hydrogen Energy 2012, 37, 19082–19091. [Google Scholar] [CrossRef] [Green Version]
- Oh, Y.; Kim, S.-K.; Peck, D.-H.; Jang, J.-S.; Kim, J.; Jung, D.-H. Improved performance using tungsten carbide/carbon nanofiber based anode catalysts for alkaline direct ethanol fuel cells. Int. J. Hydrogen Energy 2014, 39, 15907–15912. [Google Scholar] [CrossRef]
- Wallnöfer, E.; Perchthaler, M.; Hacker, V.; Squadrito, G. Optimisation of carbon nanofiber based electrodes for polymer electrolyte membrane fuel cells prepared by a sedimentation method. J. Power Sources 2009, 188, 192–198. [Google Scholar] [CrossRef]
- Chan, S.; Jankovic, J.; Susac, D.; Saha, M.S.; Tam, M.; Yang, H.; Ko, F. Electrospun carbon nanofiber catalyst layers for polymer electrolyte membrane fuel cells: Structure and performance. J. Power Sources 2018, 392, 239–250. [Google Scholar] [CrossRef]
- Kvande, I.; Briskeby, S.T.; Tsypkin, M.; Ronning, M.; Sunde, S.; Tunold, R.; Chen, D. On the preparation methods for carbon nanofiber-supported Pt catalysts. Top. Catal. 2007, 45, 81–85. [Google Scholar] [CrossRef]
- Kvande, I.; Zhu, J.; Zhao, T.J.; Hammer, N.; Ronning, M.; Raaen, S.; Walmsley, J.C.; Chen, D. Importance of oxygen-free edge and defect sites for the immobilization of colloidal Pt oxide particles with im-plications for the preparation of CNF-supported catalysts. J. Phys. Chem. C. 2010, 114, 1752–1762. [Google Scholar] [CrossRef]
- Arico, A.S.; Antonucci, P.L.; Modica, E.; Baglio, V.; Kim, H.; Antonucci, V. Effect of Pt□Ru alloy composition on high-temperature methanol electro-oxidation. Electrochim. Acta 2002, 47, 3723–3732. [Google Scholar] [CrossRef]
- Gasteiger, H.A.; Kocha, S.S.; Sompalli, B.; Wagner, F.T. Activity benchmarks and requirements for Pt, Pt-alloy, and non-Pt oxygen reduction catalysts for PEMFCs. Appl. Catal. B Environ. 2005, 56, 9–35. [Google Scholar] [CrossRef]
- Hung, C.T.; Liou, Z.H.; Veerakumar, P.; Wu, P.H.; Liu, T.C.; Liu, S.B. Ordered mesoporous carbon supported bifunctional PtM (M= Ru, Fe, Mo) electrocatalysts for a fuel cell anode. Chin. J. Catal. 2016, 37, 43–53. [Google Scholar] [CrossRef]
- Wang, H.; Yang, X.; Wu, Q.; Zhang, Q.; Chen, H.; Jing, H.; Wang, J.; Mi, S.-B.; Rogach, A.L.; Niu, C. Encapsulating silica/antimony into porous electrospun carbon nanofibers with robust structure stability for high-efficiency lithium storage. ACS Nano 2018, 12, 3406–3416. [Google Scholar] [CrossRef] [PubMed]
- Zheng, G.Y.; Zhang, Q.; Cha, J.J.; Yang, Y.; Li, W.; Seh, Z.W.; Cui, Y. Amphiphilic surface modification of hollow carbon nanofibers for improved cycle life of lithium sulfur batteries. Nano Lett. 2013, 3, 1265–1270. [Google Scholar] [CrossRef] [PubMed]
- Sandström, R.; Ekspong, J.; Annamalai, A.; Sharifi, T.; Klechikov, A.; Wågberg, T. Fabrication of microporous layer—Free hierarchical gas diffusion electrode as a low Pt-loading PEMFC cathode by direct growth of helical carbon nanofibers. RSC Adv. 2018, 8, 41566–41574. [Google Scholar] [CrossRef] [Green Version]
- Roman, J.; Neri, W.; Derré, A.; Poulin, P. Electrospun lignin-based twisted carbon nanofibers for potential microelectrodes applications. Carbon 2019, 145, 556–564. [Google Scholar] [CrossRef]
- Komori, K.; Huang, J.; Mizushima, N.; Ko, S.; Tatsuma, T.; Sakai, Y. Controlled direct electron transfer kinetics of fructose dehydrogenase at cup-stacked carbon nanofibers. Phys. Chem. Chem. Phys. 2017, 19, 27795–27800. [Google Scholar] [CrossRef]
- Merkulov, V.I.; Melechko, A.V.; Guillorn, M.A.; Simpson, M.; Lowndes, D.H.; Whealton, J.H.; Raridon, R.J. Controlled alignment of carbon nanofibers in a large-scale synthesis process. Appl. Phys. Lett. 2002, 80, 4816–4818. [Google Scholar] [CrossRef] [Green Version]
- Lu, W.Y.; He, T.; Xu, B.; He, X.; Adidharma, H.; Radosz, M.; Gasem, K.; Fan, M.H. Progress in catalytic synthesis of advanced carbon nanofibers. J. Mater. Chem. A 2017, 5, 13863–13881. [Google Scholar] [CrossRef]
- Valdivia-Barrientos, R.; Pacheco-Sotelo, J.O.; Pacheco-Pacheco, M.; Ramos-Flores, J.F.; Cruz-Azocar, A.; Jimenez-Lopez, M.D.L.; Benitez-Read, J.S.; Lopez-Callejas, R. Optical and electrical diagnostics of a high-frequency glow–arc discharge and its application to the synthesis of carbon nanofibers. IEEE Trans. Plasma Sci. 2007, 35, 1550–1558. [Google Scholar] [CrossRef]
- Chung, S.; Ham, K.; Kang, S.; Ju, H.; Lee, J. Enhanced corrosion tolerance and highly durable ORR activity by low Pt electrocatalyst on unique pore structured CNF in PEM fuel cell. Electrochim. Acta 2020, 348, 136346. [Google Scholar] [CrossRef]
- Chen, N.; Zhang, H.; Luo, X.D.; Sun, C.Y. SiO2-decorated graphite felt electrode by silicic acid etching for iron-chromium redox flow battery. Electrochim. Acta 2020, 336, 135646. [Google Scholar] [CrossRef]
- Cai, T.; Huang, Y.; Huang, M.; Xi, Y.; Pang, D.; Zhang, W. Enhancing oxygen reduction reaction of supercapacitor microbial fuel cells with electrospun carbon nano fibers composite cathode. Chem. Eng. J. 2019, 371, 544–553. [Google Scholar] [CrossRef]
- Yoon, K.R.; Hwang, C.-K.; Kim, S.-H.; Jung, J.-W.; Chae, J.E.; Kim, J.; Lee, K.A.; Lim, A.; Cho, S.-H.; Singh, J.P.; et al. Hierarchically assembled cobalt oxynitride nanorods and n-doped carbon nanofibers for efficient bifunctional oxygen electrocatalysis with exceptional regenerative efficiency. ACS Nano 2021, 15, 11218–11230. [Google Scholar] [CrossRef] [PubMed]
- Yoon, K.R.; Shin, K.; Park, J.; Cho, S.-H.; Kim, C.; Jung, J.-W.; Cheong, J.Y.; Byon, H.R.; Lee, H.M.; Kim, I.-D. Brush-like cobalt nitride anchored carbon nanofiber membrane: Current collector-catalyst integrated cathode for long cycle Li–O2 batteries. ACS Nano 2017, 12, 128–139. [Google Scholar] [CrossRef] [PubMed]
- Jeon, Y.; Ji, Y.; Cho, Y.I.; Lee, C.; Park, D.H.; Shul, Y.G. Oxide–carbon nanofibrous composite support for a highly active and stable polymer electrolyte membrane fuel-cell catalyst. ACS Nano. 2018, 12, 6819–6829. [Google Scholar] [CrossRef]
- Lima, R.A.C.; Júnior, A.J.C.P.; Pocrifka, L.A.; Passos, R.R. Investigation of nitrogen-doping influence on the electrocatalytic activity of graphene in alkaline oxygen reduction reaction. Mater. Res. 2021, 24. [Google Scholar] [CrossRef]
- Li, S.; Cheng, C.; Thomas, A. Carbon-based microbial-fuel-cell electrodes: From conductive supports to active catalysts. Adv. Mater. 2017, 29, 1602547. [Google Scholar] [CrossRef]
- Zhou, X.; Qiao, J.; Yang, L.; Zhang, J. A Review of Graphene-based nanostructural materials for both catalyst supports and metal-free catalysts in pem fuel cell oxygen reduction reactions. Adv. Energy Mater. 2014, 4. [Google Scholar] [CrossRef]
- Yang, L.; Shui, J.; Du, L.; Shao, Y.; Liu, J.; Dai, L.; Hu, Z. Carbon-based metal-free ORR electrocatalysts for fuel cells: Past, present, and future. Adv. Mater. 2019, 31, 1804799. [Google Scholar] [CrossRef]
- Shao, Y.; Jiang, Z.; Zhang, Q.; Guan, J. Progress in nonmetal-doped graphene electrocatalysts for the oxygen reduction reaction. ChemSusChem 2019, 12, 2133–2146. [Google Scholar] [CrossRef]
- Perez-Page, M.; Sahoo, M.; Holmes, S.M. Single layer 2D crystals for electrochemical applications of ion exchange membranes and hydrogen evolution catalysts. Adv. Mater. Interfaces 2019, 6, 1801838. [Google Scholar] [CrossRef]
- Hu, S.; Lozada-Hidalgo, M.; Wang, F.; Mishchenko, A.; Schedin, F.; Nair, R.R.; Hill, E.; Boukhvalov, D.W.; Katsnelson, M.I.; Dryfe, R.A.W.; et al. Proton transport through one-atom-thick crystals. Nature 2014, 516, 227–230. [Google Scholar] [CrossRef] [Green Version]
- Singh, R.S.; Gautam, A.; Rai, V. Graphene-based bipolar plates for polymer electrolyte membrane fuel cells. Front. Mater. Sci. 2019, 13, 217–241. [Google Scholar] [CrossRef]
- Navalon, S.; Dhakshinamoorthy, A.; Alvaro, M.; Garcia, H. Carbocatalysis by graphene-based materials. Chem. Rev. 2014, 114, 6179–6212. [Google Scholar] [CrossRef] [PubMed]
- Novoselov, K.S.; Geim, A.K.; Morozov, S.V.; Jiang, D.; Zhang, Y.; Dubonos, S.V.; Grigorieva, I.V.; Firsov, A.A. Electric field effect in atomically thin carbon films. Science 2004, 306, 666–669. [Google Scholar] [CrossRef] [PubMed] [Green Version]
- Zhu, Y.; Murali, S.; Cai, W.; Li, X.; Suk, J.W.; Potts, J.R.; Ruoff, R.S. Graphene and graphene oxide: Synthesis, properties, and applications. Adv. Mater. 2010, 22, 3906–3924. [Google Scholar] [CrossRef]
- Ambrosi, A.; Chua, C.K.; Bonanni, A.; Pumera, M. Electrochemistry of graphene and related materials. Chem. Rev. 2014, 114, 7150–7188. [Google Scholar] [CrossRef] [PubMed]
- Ambrosi, A.; Chua, C.K.; Latiff, N.M.; Loo, A.H.; Wong, C.H.A.; Eng, A.Y.S.; Bonanni, A.; Pumera, M. Graphene and its electrochemistry-an update. Chem. Soc. Rev. 2016, 45, 2458–2493. [Google Scholar] [CrossRef] [Green Version]
- Farooqui, U.; Ahmad, A.; Hamid, N. Graphene oxide: A promising membrane material for fuel cells. Renew. Sustain. Energy Rev. 2018, 82, 714–733. [Google Scholar] [CrossRef]
- Arukula, R.; Vinothkannan, M.; Kim, A.R.; Yoo, D.J. Cumulative effect of bimetallic alloy, conductive polymer and graphene toward electrooxidation of methanol: An efficient anode catalyst for direct methanol fuel cells. J. Alloys Compd. 2019, 771, 477–488. [Google Scholar] [CrossRef]
- Qiu, X.; Yan, X.; Cen, K.; Sun, D.; Xu, L.; Tang, Y. Achieving highly electrocatalytic performance by constructing holey reduced graphene oxide hollow nanospheres sandwiched by interior and exterior platinum nanoparticles. ACS Appl. Energy Mater. 2018, 1, 2341–2349. [Google Scholar] [CrossRef]
- Yang, H.; Li, S.; Feng, F.; Ou, S.; Li, F.; Yang, M.; Qian, K.; Jin, J.; Ma, J. Palladium nanoparticles with surface enrichment of palladium oxide species immobilized on the aniline-functionalized graphene as an advanced electrocatalyst of ethanol oxidation. ACS Sustain. Chem. Eng. 2019, 7, 14621–14628. [Google Scholar] [CrossRef]
- Chowdhury, S.R.; Maiyalagan, T.; Bhattachraya, S.K.; Gayen, A. Influence of phosphorus on the electrocatalytic activity of palladium nickel nanoalloy supported on N-doped reduced graphene oxide for ethanol oxidation reaction. Electrochim. Acta 2020, 342, 136028. [Google Scholar] [CrossRef]
- Luo, L.; Fu, C.; Yang, F.; Li, X.; Jiang, F.; Guo, Y.; Zhu, F.; Yang, L.; Shen, S.; Zhang, J. Composition-graded Cu–Pd nanospheres with Ir-doped surfaces on N-doped porous graphene for highly efficient ethanol electro-oxidation in alkaline media. ACS Catal. 2019, 10, 1171–1184. [Google Scholar] [CrossRef]
- Yao, C.; Zhang, Q.; Su, Y.; Xu, L.; Wang, H.; Liu, J.; Hou, S. Palladium nanoparticles encapsulated into hollow N-doped graphene microspheres as electrocatalyst for ethanol oxidation reaction. ACS Appl. Nano Mater. 2019, 2, 1898–1908. [Google Scholar] [CrossRef]
- Yu, K.; Lin, Y.; Fan, J.; Li, Q.; Shi, P.; Xu, Q.; Min, Y. Ternary N, S, and P-doped hollow carbon spheres derived from polyphosphazene as Pd supports for ethanol oxidation reaction. Catalysts 2019, 9, 114. [Google Scholar] [CrossRef] [Green Version]
- Peng, J.; He, Y.; Zhou, C.; Su, S.; Lai, B. The carbon nanotubes-based materials and their applications for organic pollutant removal: A critical review. Chin. Chem. Lett. 2021, 32, 1626–1636. [Google Scholar] [CrossRef]
- Huang, M.; Dong, G.; Wu, C.; Guan, L. Preparation of highly dispersed Pt nanoparticles supported on single-walled carbon nanosheets by a microwave-assisted polyol method and their remarkable catalytic activity. Int. J. Hydrogen Energy 2014, 39, 4266–4273. [Google Scholar] [CrossRef]
- Lin, C.; Liao, W.; Wang, W.; Sun, D.; Cui, Q.; Zuo, X.; Yang, Q.; Tang, H.; Jin, S.; Li, G. Self-assembled one-dimensional Co coated with N-doped carbon nanotubes for dye-sensitized solar cells with high activity and remarkable durability. CrystEngComm 2021, 23, 7831–7838. [Google Scholar] [CrossRef]
- Dehaghani, M.Z.; Yousefi, F.; Seidi, F.; Bagheri, B.; Mashhadzadeh, A.H.; Naderi, G.; Esmaeili, A.; Abida, O.; Habibzadeh, S.; Saeb, M.R.; et al. Encapsulation of an anticancer drug Isatin inside a host nano-vehicle SWCNT: A molecular dynamics simulation. Sci. Rep. 2021, 11, 1–10. [Google Scholar] [CrossRef]
- Yu, Y.; Zhao, C.; Tao, Y.; Chen, X.; He, Y.L. Superior thermal energy storage performance of NaCl-SWCNT composite phase change materials: A molecular dynamics approach. Appl. Energy 2021, 290, 116799. [Google Scholar] [CrossRef]
- Mu, Y.; Liang, H.; Hu, J.; Jiang, A.L.; Wan, L. Controllable Pt nanoparticle deposition on carbon nanotubes as an anode catalyst for direct methanol fuel cells. J. Phys. Chem. B 2005, 109, 22212–22216. [Google Scholar] [CrossRef] [PubMed]
- Cornejo, J.M.; Bernabe, A.G.; Compan, V. Bimetallic Pt-M electrocatalysts supported on single-walled carbon nanotubes for hydrogen and methanol electrooxidation in fuel cells applications. Int. J. Hydrogen Energy 2018, 43, 872–884. [Google Scholar] [CrossRef]
- Rajala, T.; Kronberg, R.; Backhouse, R.; Buan, M.E.M.; Tripathi, M.; Zitolo, A.; Luasonen, K.; Susi, T.; Jaouen, F.; Kallio, T. A platinum nanowire catalyst on single-walled carbon nanotubes to drive hydrogen evolution. Appl. Catal. B Environ. 2020, 265, 118582. [Google Scholar] [CrossRef]
- Fernandez, P.S.; Castro, E.B.; Real, S.G.; Martins, M.E. Electrochemical behavior of single-walled carbon nanotubes-hydrogen storage and hydrogen evolution reaction. Int. J. Hydrogen Energy 2009, 34, 8115–8126. [Google Scholar] [CrossRef]
- Hu, R.; Wu, C.; Hou, K.; Xia, C.; Yang, J.; Guan, L.; Li, Y. Tailoring the electrocatalytic oxygen re-duction reaction pathway by tuning the electronic states of single-walled carbon nanotubes. Carbon 2019, 147, 35–42. [Google Scholar] [CrossRef]
- Wu, G.; Xu, B.-Q. Carbon nanotube supported Pt electrodes for methanol oxidation: A comparison between multi- and single-walled carbon nanotubes. J. Power Sources 2007, 174, 148–158. [Google Scholar] [CrossRef]
- Girishkumar, G.; Rettker, M.; Underhile, R.; Binz, D.; Vinodgopal, K.; McGinn, A.P.; Kamat, P. Single-wall carbon nanotube-based proton exchange membrane assembly for hydrogen fuel cells. Langmuir 2005, 21, 8487–8494. [Google Scholar] [CrossRef]
- Yoo, J.; Ju, Y.-W.; Jang, Y.-R.; Gwon, O.; Park, S.; Kim, J.-M.; Lee, C.K.; Lee, S.-Y.; Yeon, S.-H.; Kim, G.; et al. One-pot surface engineering of battery electrode materials with metallic SWCNT-enriched, ivy-like conductive nanonets. J. Mater. Chem. A 2017, 5, 12103–12112. [Google Scholar] [CrossRef]
- Gong, K.; Du, F.; Xia, Z.; Durstock, M.; Dai, L. Nitrogen-doped carbon nanotube arrays with high electrocatalytic activity for oxygen reduction. Science 2009, 323, 760–764. [Google Scholar] [CrossRef] [Green Version]
- Mikhayalova, A.A.; Tusseeva, E.K.; Mayorova, N.A.; Rychagov, A.Y.; Volfkovich, Y.M.; Krestinin, A.V.; Khazova, Q.A. Single-walled carbon nanotubes and their composites with polyaniline, structure, catalytic and capacitive properties as applied to fuel cells and supercapacitors. Electrochim. Acta 2011, 56, 3656–3665. [Google Scholar] [CrossRef]
- Brennan, L.J.; Byrne, M.T.; Bari, M.; Gun’Ko, Y.K. Carbon Nanomaterials for Dye-Sensitized Solar Cell Applications: A Bright Future. Adv. Energy Mater. 2011, 1, 472–485. [Google Scholar] [CrossRef]
- Iijima, S. Synthesis of carbon nanotubes. Nature 1991, 354, 56−58. [Google Scholar]
- Anurag, A.; Niu, S.; Kanoun, O. Effect of MWNCT dispersion parameters on the performance of electrochemical sensors. Measurement. Sensors 2021, 18, 100335. [Google Scholar]
- Vatandoust, L.; Habibi, A.; Naghshara, H.; Mohammad Aref, S. Fabrication of ZnO-MWCNT nanocomposites sensor and investigation of its ammonia gas sensing properties at room temperature. Synth. Met. 2021, 273, 116710. [Google Scholar] [CrossRef]
- Mujahid, M.; Khan, R.U.; Mumtaz, M.; Sumair, M.; Soomro, A.; Ullah, S. NiFe2O4 nanoparticles/MWCNTs nanohybrid as anode materials for lithium-ion battery. Ceram. Inter. 2019, 45, 8486–8493. [Google Scholar] [CrossRef]
- Bhagwan, J.; Hussain, S.K.; Krishna, B.V.; Yu, J.S. Facile synthesis of MnMoO4@MWCNT and their electrochemical performance in aqueous asymmetric supercapacitor. J. Alloys Compd. 2020, 856, 157874. [Google Scholar] [CrossRef]
- Brandão, A.T.; Rosoiu, S.; Costa, R.; Lazar, O.A.; Silva, A.F.; Anicai, L.; Pereira, C.M.; Enachescu, M. Characterization and electrochemical studies of MWCNTs decorated with Ag nanoparticles through pulse reversed current electrodeposition using a deep eutectic solvent for energy storage applications. J. Mater. Res. Technol. 2021, 15, 342–359. [Google Scholar] [CrossRef]
- Andrews, R.; Jaques, D.; Qian, D.L.; Rantell, T. Multi-walled carbon nanotubes, synthesis and applications. Acc. Chem. Res. 2002, 35, 1008–1017. [Google Scholar] [CrossRef] [PubMed]
- Zhao, H.; Liu, X.; Cao, Z.; Zhan, Y.; Shi, X.; Yang, Y.; Zhou, J.; Xu, J. Adsorption behavior and mechanism of chloramphenicols, sulfonamides, and non-antibiotic pharmaceuticals on multi-walled carbon nanotubes. J. Hazard. Mater. 2016, 310, 235–245. [Google Scholar] [CrossRef] [PubMed]
- Guo, D.J.; Cui, S.K. A composite strategy to prepare high active Pt-WO3/MWCNT catalysts for methanol electrooxidation. J. Phys. Chem. Solids 2021, 159, 110293. [Google Scholar] [CrossRef]
- Sun, Y.; Liu, D.; Liu, W.; Liu, H.; Zhao, J.; Chen, P.; Wang, Q.; Wang, X.; Zou, Y. Fabrication of porous polyaniline/MWCNT coated Co9S8 composite for electrochemical hydrogen storage applications. J. Phys. Chem. Solids 2021, 157, 110235. [Google Scholar] [CrossRef]
- Bhuvanendran, N.; Ravichandran, S.; Zhang, W.; Ma, Q.; Xu, Q.; Khotseng, L.; Su, H. Highly efficient methanol oxidation on durable PtxIr/MWCNT catalyst for direct methanol fuel cell applications. Int. J. Hydrogen Energy 2020, 15, 6447–6460. [Google Scholar] [CrossRef]
- Dogan, M.; Selek, A.; Turhan, O.; Kiziduman, B.K.; Bicil, Z. Different functional groups functionalized hexagonal boron nitride (h-BN) nanoparticles and multi-walled carbon nanotubes (MWCNT) for hydrogen storage. Fuel 2021, 303, 121335. [Google Scholar] [CrossRef]
- Tian, Z.Q.; Jiang, S.P.; Liang, Y.M.; Shen, P.K. Synthesis and characterization of platinum catalyst on multi-walled carbon nanotubes by intermittent microwave irradiation for fuel cell applications. J. Phys. Chem. B 2006, 110, 5343–5350. [Google Scholar] [CrossRef]
- Baker, A.M.; Wang, L.; Johnson, W.B.; Prasad, A.K.; Advani, S.G. Nafion membrane reinforced with ceria coated multi-walled carbon nanotubes for improved mechanical and chemical durability in polymer electrolyte membrane fuel cells. J. Phys. Chem. C. 2014, 118, 26796–26802. [Google Scholar] [CrossRef]
- Ghosh, S.; RetnaRaj, C. Facile in situ synthesis of multi-walled carbon nanotube supported flower like Pt nanowire structures; An efficient electrocatalyst for fuel cell applications. J. Phys. Chem. C. 2010, 114, 10843–10849. [Google Scholar] [CrossRef]
- Mink, J.E.; Hussain, M.M. Sustainable design of high-performance microsized microbial fuel cell with carbon nanotube anode and air cathode. ACS Nano 2013, 7, 6921–6927. [Google Scholar] [CrossRef] [PubMed]
- Kroto, H.W.; Heath, J.R.; O Brien, S.C.; Curl, R.F.; Smalley, R.E. C60: Buckminsterfullerene. Nature 1985, 318, 162–163. [Google Scholar] [CrossRef]
- Kausar, A. Fullerene nanofiller reinforced epoxy nanocomposites—Developments, progress and challenges. Mater. Res. Innov. 2021, 25, 175–185. [Google Scholar] [CrossRef]
- Baskar, A.V.; Benzigar, M.R.; Talapaneni, S.N.; Singh, G.; Karakoti, A.S.; Yi, J.; Al-Muhtaseb, A.A.H.; Ariga, K.; Ajayan, P.M.; Vinu, A. Self-assembled fullerene nanostructures: Synthesis and applications. Adv. Fun. Mater. 2021, 2106924. [Google Scholar] [CrossRef]
- Hale, P.D. Discrete-variation-X. Alpha. Electronic structure studies of the spherical C60 cluster. Prediction of ionisization potential and electronic transition energy. J. Am. Chem. Soc. 1986, 108, 6087–6088. [Google Scholar] [CrossRef] [PubMed]
- Zheng, T.; Fan, B.; Zhao, Y.; Jin, B.; Fan, L.; Peng, R. Tailored conductive fullerenes-based passivator for efficient and stable inverted perovskite solar cells. J. Colloid Interface Sci. 2021, 598, 229–237. [Google Scholar] [CrossRef] [PubMed]
- Pontiroli, D.; Scaravonati, S.; Sidoli, M.; Magnani, G.; Fornasini, L.; Milanese, C.; Ricco, M. Fullerene mixtures as negative electrodes in innovative Na-ion batteries. Chem. Phys. Lett. 2019, 731, 136607. [Google Scholar] [CrossRef]
- Uygun, Z.O.; Sahin, C.; Yilmaz, M.; Akay, Y.; Akdemir, A.; Sagin, F. Fullerene-PAMAM(G5) composite modified impedimetric biosensors to detect fetuin-A in real blood samples. Anal. Biochem. 2018, 542, 11–15. [Google Scholar] [CrossRef]
- Coro, J.; Suárez, M.; Silva, L.S.; Eguiluz, K.; Banda, G. Fullerene applications in fuel cells: A review. Int. J. Hydrogen Energy 2016, 41, 17944–17959. [Google Scholar] [CrossRef]
- Karimi, M.; Aboufazeli, F.; Zhad, H.R.L.Z.; Sadegi, O.; Najafi, E. Electroanalytical performance of Pt/Ru/Sn/W fullerene electrode for methanol oxidation in direct methanol fuel cell. J. Fuel Chem. Technol. 2013, 41, 91–95. [Google Scholar]
- Almeida, C.V.; Almagro, L.E.; Neto, E.S.V.; Coro, J.; Suárez, M.; Eguiluz, K.I.; Salazar-Banda, G.R. Polyhydroxylated fullerenes: An efficient support for Pt electrocatalysts toward ethanol oxidation. J. Electroanal. Chem. 2020, 878, 114663. [Google Scholar] [CrossRef]
- Rambabu, G.; Bhat, S.D. Sulfonated fullerene in SPEEK matrix and its impact on the membrane electrolyte properties in direct methanol fuel cells. Electrochim. Acta 2015, 176, 657–669. [Google Scholar] [CrossRef]
- Ahsan, M.A.; He, T.; Eid, K.; Abdullah, A.M.; Curry, M.L.; Du, A.; Santiago, A.R.P.; Echegoyen, L.; Noveron, J.C. Tuning the intermolecular electron transfer of low-dimensional and metal-free BCN/C60 electrocatalysts via interfacial defects for efficient hydrogen and oxygen electrochemistry. J. Am. Chem. Soc. 2021, 143, 1203–1215. [Google Scholar] [CrossRef] [PubMed]
- Xiao, P.; Buijnsters, J.; Zhao, Y.; Yu, H.; Xu, X.; Zhu, Y.; Tang, D.; Zhu, J.; Zhao, Z. Fullerene-like WS2 supported Pd catalyst for hydrogen evolution reaction. J. Catal. 2019, 380, 215–223. [Google Scholar] [CrossRef]
- Paul, D.K.; Karan, K.; Docoslis, A.; Giorgi, J.B.; Pearce, J. Characteristics of self-assembled ultrathin nafion-films. Macromolcules 2013, 46, 3461–3475. [Google Scholar] [CrossRef]
- Rambabu, G.; Nagaraju, N.; Bhat, S.D. Functionalized fullerene embedded in Nafion matrix: A modified composite membrane electrolyte for direct methanol fuel cells. Chem. Eng. J. 2016, 306, 43–52. [Google Scholar] [CrossRef]
- Zeng, X.; Zhang, J.W.; Xiang, P.H.; Qiao, J. Fabrication of graphene-fullerene hybrid by self-assembled and its applications as support materials for methanol electro oxidation reaction. Appl. Surf. Sci. 2018, 440, 477–483. [Google Scholar] [CrossRef]
- Feng, Y.; Wang, X.; Huang, J.; Dong, P.; Ji, J.; Li, J.; Cao, L.; Feng, L.; Jin, P.; Wang, C. Decorating CoNi layered double hydroxides nanosheet arrays with fullerene quantum dot anchored on Ni foam for efficient electrocatalytic water splitting and urea electrolysis. Chem. Eng. J. 2020, 390, 124525. [Google Scholar] [CrossRef]
















| Electrodes | Method | Morphology | SSA (m2 g−1) | Electrolyte (M) | Power Density (mW cm−2) | Ref. |
|---|---|---|---|---|---|---|
| N-CNF a | Pyrolysis | Nanofiber | 916 | 0.1 KOH | 10 | [27] |
| NCAs b | Pyrolysis | Hollow structure | - | 0.1 NaOH | 1048 ± 47 | [34] |
| Fe-Ricobendazole | Sacrificial route | Agglomerated particles | 600 | 0.1 KCl:Buffer | 0.200 | [35] |
| CA c | Pyrolysis | Spherical structure | 3730 | 0.1 KOH | 1.05 | [36] |
| Pt/CA | Sol-gel, NaBH4 | Nanoparticles | 700 | − | 333.4 | [38] |
| Pt-MCA | Sol-gel | Mesoporous structure | 613 | 0.5 H2SO4 | 536 | [40] |
| Fe/Co/CNF | Electrospinning | Nanofiber | 272 | 0.5 H2SO4 | 195 | [48] |
| CNTs/CNFs | Electrospinning | Nanofiber | - | - | 362 ± 20 | [51] |
| GNFd-PtRu | Polyol | Nanofiber | 16.9 | - | 19.2 | [52] |
| WC/CNFe | Hydrothermal | Nanofiber | 44.058 | 1 KOH | 9.0 | [58] |
| Gr | GO | Heteroatom Doped Gr | 3D Gr |
|---|---|---|---|
| large surface area | strong hydrophilicity | tunable charge and spin density distribution | large surface area |
| high charge mobility | high proton conductivity | abundant active sites | high intrinsic electrical conductivity |
| high chemical stability | moderated electrical conductivity | high electrocatalytic activity | well-organized pore structure |
| strong mechanical strength | tunable electrochemical behavior | fast heterogeneous electron transfer rate | mechanical flexibility |
Publisher’s Note: MDPI stays neutral with regard to jurisdictional claims in published maps and institutional affiliations. |
© 2022 by the authors. Licensee MDPI, Basel, Switzerland. This article is an open access article distributed under the terms and conditions of the Creative Commons Attribution (CC BY) license (https://creativecommons.org/licenses/by/4.0/).
Share and Cite
Chen, T.-W.; Kalimuthu, P.; Veerakumar, P.; Lin, K.-C.; Chen, S.-M.; Ramachandran, R.; Mariyappan, V.; Chitra, S. Recent Developments in Carbon-Based Nanocomposites for Fuel Cell Applications: A Review. Molecules 2022, 27, 761. https://doi.org/10.3390/molecules27030761
Chen T-W, Kalimuthu P, Veerakumar P, Lin K-C, Chen S-M, Ramachandran R, Mariyappan V, Chitra S. Recent Developments in Carbon-Based Nanocomposites for Fuel Cell Applications: A Review. Molecules. 2022; 27(3):761. https://doi.org/10.3390/molecules27030761
Chicago/Turabian StyleChen, Tse-Wei, Palraj Kalimuthu, Pitchaimani Veerakumar, King-Chuen Lin, Shen-Ming Chen, Rasu Ramachandran, Vinitha Mariyappan, and Selvam Chitra. 2022. "Recent Developments in Carbon-Based Nanocomposites for Fuel Cell Applications: A Review" Molecules 27, no. 3: 761. https://doi.org/10.3390/molecules27030761
APA StyleChen, T.-W., Kalimuthu, P., Veerakumar, P., Lin, K.-C., Chen, S.-M., Ramachandran, R., Mariyappan, V., & Chitra, S. (2022). Recent Developments in Carbon-Based Nanocomposites for Fuel Cell Applications: A Review. Molecules, 27(3), 761. https://doi.org/10.3390/molecules27030761

