Design, Synthesis, Spectroscopic Characterisation and In Vitro Cytostatic Evaluation of Novel Bis(coumarin-1,2,3-triazolyl)benzenes and Hybrid Coumarin-1,2,3-triazolyl-aryl Derivatives
Abstract
:1. Introduction
2. Results and Discussion
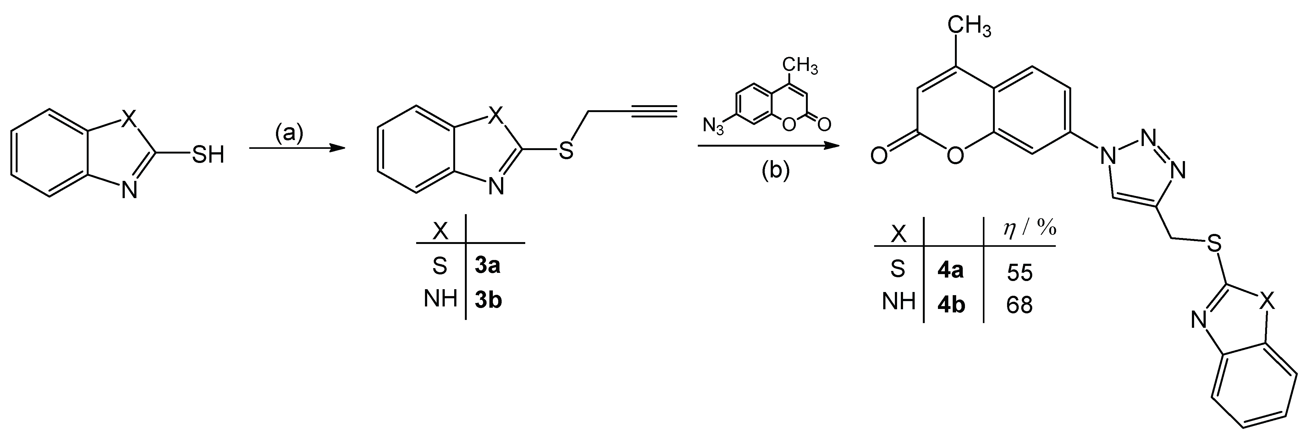
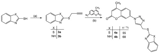
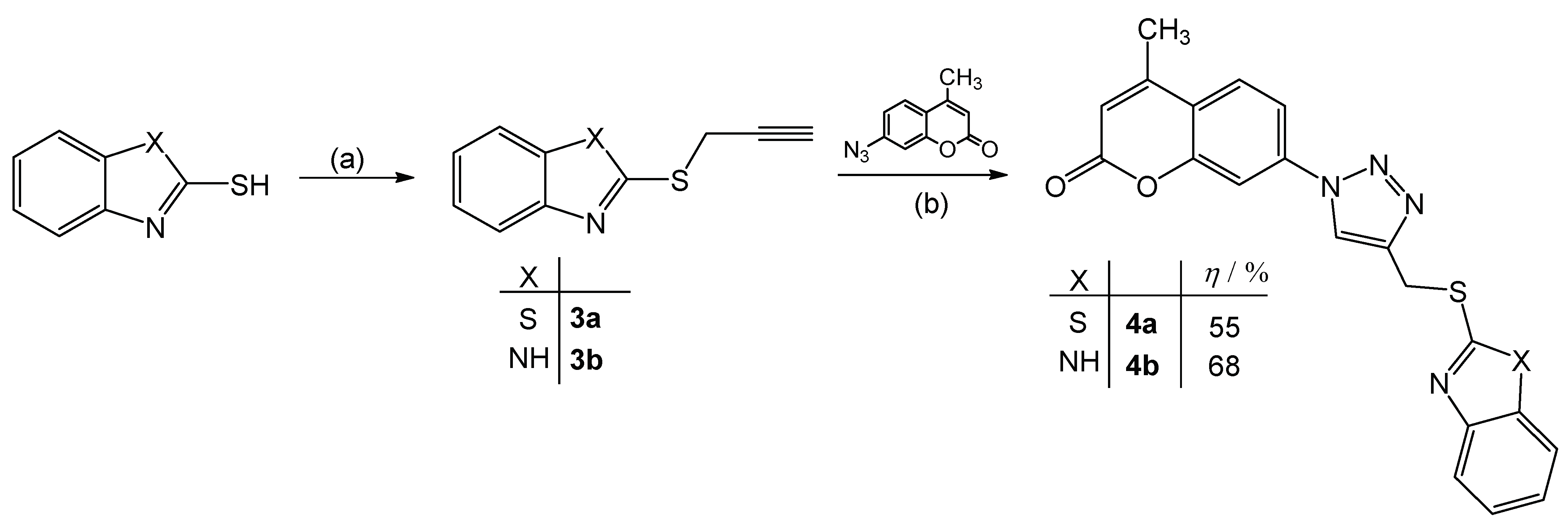
2.1. Synthesis
2.2. Antitumoral Activity In Vitro
2.3. Antiviral Activities In Vitro
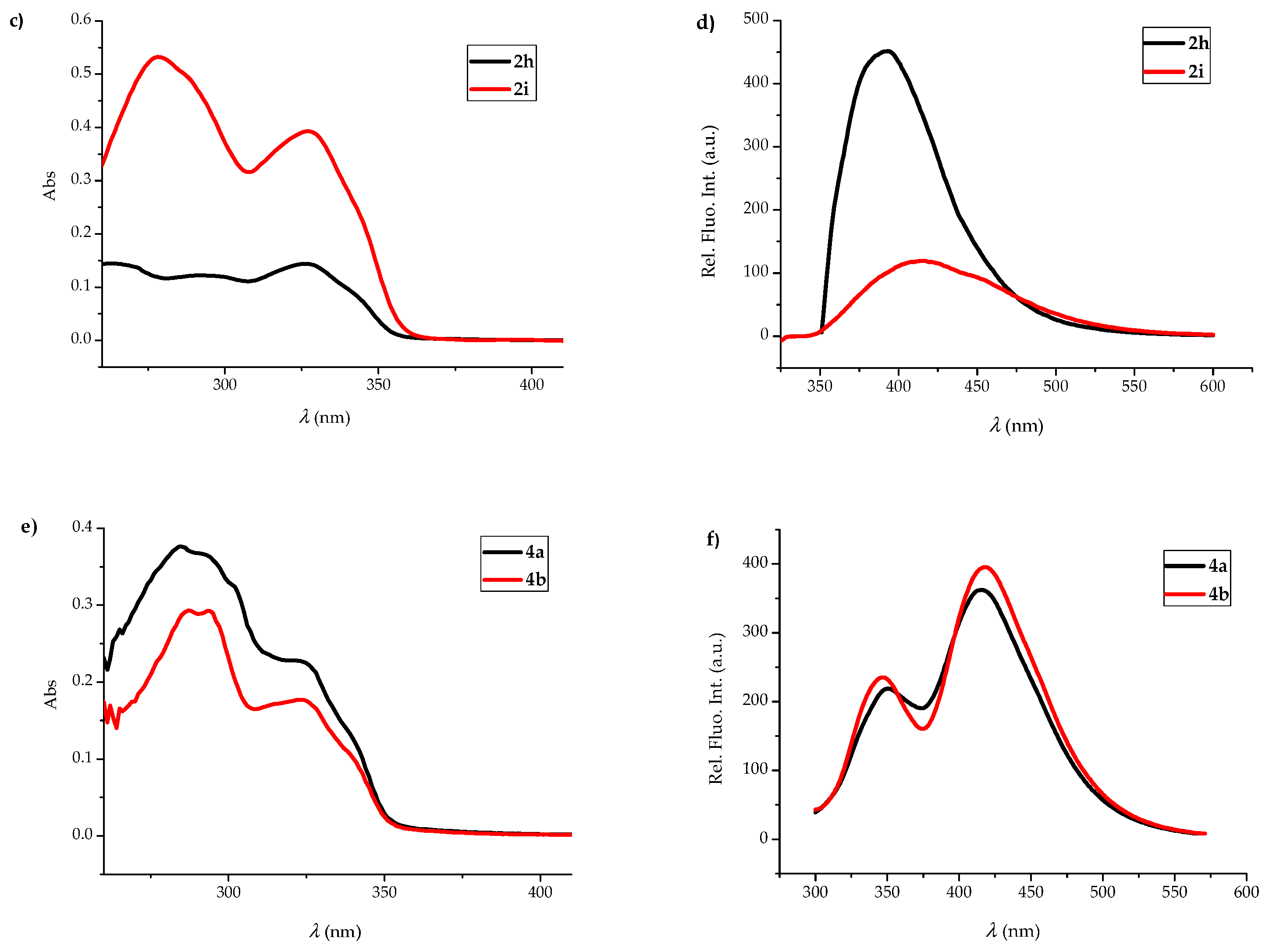
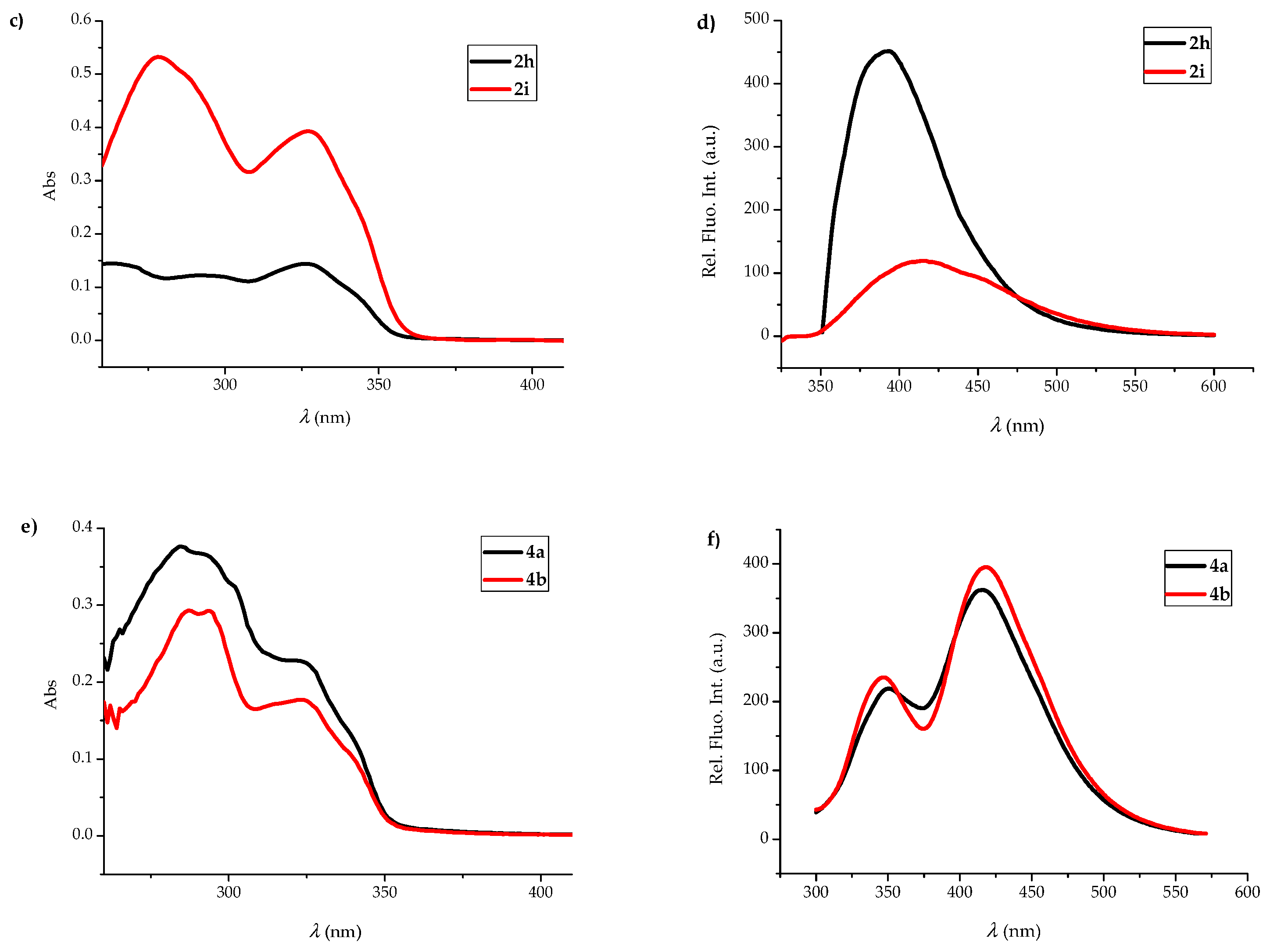
2.4. Spectroscopic Characterisation
UV-Visible Absorption and Fluorescence Emission Spectra
- UV-Vis absorption spectra
- Fluorescence emission spectra
3. Materials and Methods
3.1. General Methods
3.2. Procedures for the Preparation of Compounds
3.2.1. 7-Azido-4-methyl-2H-chromen-2-one (1)
3.2.2. General Procedure for the Synthesis of Propargylated Benzothiazole (3a) and Benzimidazole (3b) Derivatives
2-(Prop-2-ynylthio)benzo[d]thiazole (3a)
2-(Prop-2-ynylthio)-1H-benzo[d]imidazole (3b)
3.2.3. General Procedure for the Synthesis of Coumarin-Triazolyl-Aryl Conjugates 2a–g
4-Methyl-7-(4-phenyl-1H-1,2,3-triazol-1-yl)-2H-chromen-2-one (2a)
7-[4-(4-Aminophenyl)-1H-1,2,3-triazol-1-yl]-4-methyl-2H-chromene-2-one (2b)
7-[4-(4-(Dimethylamino)phenyl]-1H-1,2,3-triazol-1-yl)-4-methyl-2H-chromen-2-one (2c)
4-Methyl-7-[4-(p-tolyl)-1H-1,2,3-triazol-1-yl]-2H-chromen-2-one (2d)
7-[4-(4-Bromophenyl)-1H-1,2,3-triazol-1-yl]-4-methyl-2H-chromen-2-one (2e)
7-[4-(4-Methoxyphenyl)-1H-1,2,3-triazol-1-yl]-4-methyl-2H-chromen-2-one (2f)
4-[1-(4-Methyl-2-oxo-2H-chromen-7-yl]-1H-1,2,3-triazol-4-yl)benzaldehyde (2g)
7-{{4-[(Benzo[d]thiazol-2-yl)thio]methyl}-1H-1,2,3-triazol-1-yl}-4-methyl-2H-chromen-2-one (4a)
7-{4-{[(1H-Benzo[d]imidazol-2-yl)thio]methyl}-1H-1,2,3-triazol-1-yl}-4-methyl-2H-chromen-2-one (4b)
3.2.4. General Procedure for the Preparation of Bis(coumarin-1,2,3-triazolyl)benzenes 2h–i
7,7′-(4,4′-(1,3-Phenylene)bis(1H-1,2,3-triazole-4,1-diyl))bis(4-methyl-2H-chromen-2-one) (2h)
7,7′-(4,4′-(1,4-Phenylene)bis(1H-1,2,3-triazole-4,1-diyl))bis(4-methyl-2H-chromen-2-one) (2i)
3.3. Spectroscopic Characterisation
3.4. Antiproliferative Activity In Vitro
4. Conclusions
Supplementary Materials
Author Contributions
Funding
Data Availability Statement
Acknowledgments
Conflicts of Interest
Sample Availability
References
- Zhang, L.; Xu, Z. Coumarin-containing hybrids and their anticancer activities. Eur. J. Med. Chem. 2019, 181, 111587. [Google Scholar] [CrossRef]
- Thakur, A.; Singla, R.; Jaitak, V. Coumarins as anticancer agents: A review on synthetic strategies, mechanism of action and SAR studies. Eur. J. Med. Chem. 2015, 101, 476–495. [Google Scholar] [CrossRef] [PubMed]
- Kostova, I.; Bhatia, S.; Grigorov, P.; Balkansky, S.; Parmar, V.S.; Prasad, A.K.; Saso, L. Coumarins as Antioxidants. Curr. Med. Chem. 2011, 18, 3929–3951. [Google Scholar] [CrossRef] [PubMed]
- Hassan, M.Z.; Osman, H.; Ali, M.A.; Ahsan, M.J. Therapeutic potential of coumarins as antiviral agents. Eur. J. Med. Chem. 2016, 123, 236–255. [Google Scholar] [CrossRef]
- Hu, Y.Q.; Xu, Z.; Zhang, S.; Wu, X.; Ding, J.W.; Lv, Z.S.; Feng, L.S. Recent developments of coumarin-containing derivatives and their anti-tubercular activity. Eur. J. Med. Chem. 2017, 136, 122–130. [Google Scholar] [CrossRef]
- Stefanachi, A.; Leonetti, F.; Pisani, L.; Catto, M.; Carotti, A. Coumarin: A Natural, Privileged and Versatile Scaffold for Bioactive Compounds. Molecules 2018, 23, 250. [Google Scholar] [CrossRef] [Green Version]
- Borges, F.; Roleira, F.; Milhazes, N.; Santana, L.; Uriarte, E. Simple coumarins and analogues in medicinal chemistry: Occurrence, synthesis and biological activity. Curr. Med. Chem. 2005, 12, 887–916. [Google Scholar] [CrossRef]
- Anand, A.; Naik, R.J.; Revankar, H.M.; Kulkarni, M.V.; Dixit, S.R.; Joshi, S.D. A click chemistry approach for the synthesis of mono and bis aryloxy linked coumarinyl triazoles as anti-tubercular agents. Eur. J. Med. Chem. 2015, 105, 194–207. [Google Scholar] [CrossRef]
- Ren, Q.C.; Gao, C.; Xu, Z.; Feng, L.S.; Liu, M.L.; Wu, X.; Zhao, F. Bis-coumarin Derivatives and their Biological Activities. Curr. Top. Med. Chem. 2018, 18, 101–113. [Google Scholar] [CrossRef] [PubMed]
- Tasior, M.; Kim, D.; Singha, S.; Krzeszewski, M.; Ahn, K.H.; Gryko, D.T. Π-Expanded coumarins: Synthesis, optical properties and applications. J. Mater. Chem. C 2015, 3, 1421–1446. [Google Scholar] [CrossRef]
- Carbone, A.; Montalbano, A.; Spano, V.; Musante, I.; Galietta, L.J.V.; Barraja, P. Furocoumarins as multi-target agents in the treatment of cystic fibrosis. Eur. J. Med. Chem. 2019, 180, 283–290. [Google Scholar] [CrossRef]
- Estévez-Braun, A.; González, A.G. Coumarins. Nat. Prod. Rep. 1997, 14, 465–475. [Google Scholar] [CrossRef]
- Singh, H.; Singh, J.V.; Bhagat, K.; Gulati, H.K.; Sanduja, M.; Kumar, N.; Kinarivala, N.; Sharma, S. Rational approaches, design strategies, structure activity relationship and mechanistic insights for therapeutic coumarin hybrids. Bioorg. Med. Chem. 2019, 27, 3477–3510. [Google Scholar] [CrossRef]
- Tornoe, C.W.; Christensen, C.; Meldal, M. Peptidotriazoles on solid phase: 1,2,3-triazoles by regiospecific copper(I)-catalyzed 1,3-dipolar cycloadditions of terminal alkynes to azides. J. Org. Chem. 2002, 67, 3057–3064. [Google Scholar] [CrossRef]
- Kolb, H.C.; Finn, M.G.; Sharpless, K.B. Click chemistry: Diverse chemical function from a few good reactions. Angew. Chem. Int. Ed. 2001, 40, 2004–2021. [Google Scholar] [CrossRef]
- Meldal, M.; Tornøe, C.W. Cu-Catalyzed Azide–Alkyne Cycloaddition. Chem. Rev. 2008, 108, 2952–3015. [Google Scholar] [CrossRef] [PubMed]
- Bozorov, K.; Zhao, J.Y.; Aisa, H.A. 1,2,3-Triazole-containing hybrids as leads in medicinal chemistry: A recent overview. Bioorg. Med. Chem. 2019, 27, 3511–3531. [Google Scholar] [CrossRef]
- Zhang, W.J.; Li, Z.; Zhou, M.; Wu, F.; Hou, X.Y.; Luo, H.; Liu, H.; Han, X.; Yan, G.Y.; Ding, Z.Y.; et al. Synthesis and biological evaluation of 4-(1,2,3-triazol-1-yl)coumarin derivatives as potential antitumor agents. Bioorg. Med. Chem. Lett. 2014, 24, 799–807. [Google Scholar] [CrossRef]
- Kraljević, T.G.; Harej, A.; Sedić, M.; Kraljević Pavelić, S.; Stepanić, V.; Drenjančević, D.; Talapko, J.; Raić-Malić, S. Synthesis, in vitro anticancer and antibacterial activities and in silico studies of new 4-substituted 1,2,3-triazole-coumarin hybrids. Eur. J. Med. Chem. 2016, 124, 794–808. [Google Scholar] [CrossRef]
- Stefani, H.A.; Gueogjan, K.; Manarin, F.; Farsky, S.H.P.; Zukerman-Schpector, J.; Caracelli, I.; Rodrigues, S.R.P.; Muscara, M.N.; Teixeira, S.A.; Santin, J.R.; et al. Synthesis, biological evaluation and molecular docking studies of 3-(triazolyl)coumarin derivatives: Effect on inducible nitric oxide synthase. Eur. J. Med. Chem. 2012, 58, 117–127. [Google Scholar] [CrossRef] [PubMed]
- Soto-Ortega, D.D.; Murphy, B.P.; Gonzalez-Velasquez, F.J.; Wilson, K.A.; Xie, F.; Wang, Q.A.; Moss, M.A. Inhibition of amyloid-beta aggregation by coumarin analogs can be manipulated by functionalization of the aromatic center. Bioorg. Med. Chem. 2011, 19, 2596–2602. [Google Scholar] [CrossRef]
- Naik, R.J.; Kulkarni, M.V.; Pai, K.S.R.; Nayak, P.G. Click Chemistry Approach for Bis-Chromenyl Triazole Hybrids and Their Antitubercular Activity. Chem. Biol. Drug Des. 2012, 80, 516–523. [Google Scholar] [CrossRef] [PubMed]
- Mir, F.; Shafi, S.; Zaman, M.S.; Kalia, N.P.; Rajput, V.S.; Mulakayala, C.; Mulakayala, N.; Khan, I.A.; Alam, M.S. Sulfur rich 2-mercaptobenzothiazole and 1,2,3-triazole conjugates as novel antitubercular agents. Eur. J. Med. Chem. 2014, 76, 274–283. [Google Scholar] [CrossRef] [PubMed]
- Osmaniye, D.; Levent, S.; Karaduman, A.B.; Ilgin, S.; Ozkay, Y.; Kaplancikli, Z.A. Synthesis of New Benzothiazole Acylhydrazones as Anticancer Agents. Molecules 2018, 23, 1054. [Google Scholar] [CrossRef] [PubMed] [Green Version]
- Youssif, B.G.M.; Mohamed, Y.A.M.; Salim, M.T.A.; Inagaki, F.; Mukai, C.; Abdu-Allah, H.H.M. Synthesis of some benzimidazole derivatives endowed with 1,2,3-triazole as potential inhibitors of hepatitis C virus. Acta Pharm. 2016, 66, 219–231. [Google Scholar] [CrossRef] [Green Version]
- Paramashivappa, R.; Kumar, P.P.; Rao, P.V.S.; Rao, A.S. Design, synthesis and biological evaluation of benzimidazole/benzothiazole and benzoxazole derivatives as cyclooxygenase inhibitors. Bioorg. Med. Chem. Lett. 2003, 13, 657–660. [Google Scholar] [CrossRef]
- Pereira, A.; Martins, S.; Caldeira, A. Coumarins as Fluorescent Labels of Biomolecules. In Phytochemicals in Human Health; Rao, V., Mans, D., Rao, L., Eds.; IntechOpen: London, UK, 2019; pp. 1–20. [Google Scholar]
- Struthers, H.; Mindt, T.L.; Schibli, R. Metal chelating systems synthesized using the copper(I) catalyzed azide-alkyne cycloaddition. Dalton Trans. 2010, 39, 675–696. [Google Scholar] [CrossRef]
- Watkinskon, M. Click Triazoles as Chemosensors. Top. Heterocycl. Chem. 2012, 28, 109–136. [Google Scholar]
- Hua, Y.R.; Flood, A.H. Click chemistry generates privileged CH hydrogen-bonding triazoles: The latest addition to anion supramolecular chemistry. Chem. Soc. Rev. 2010, 39, 1262–1271. [Google Scholar] [CrossRef]
- Jeon, M.K.; Kang, M.K.; Park, K.H. 7-Triazolylcoumarin-based fluorescent tag system for stepwise, comparative assessment of small molecule microarrays. Tetrahedron 2012, 68, 6038–6053. [Google Scholar] [CrossRef]
- Barral, K.; Moorhouse, A.D.; Moses, J.E. Efficient conversion of aromatic amines into azides: A one-pot synthesis of triazole linkages. Org. Lett. 2007, 9, 1809–1811. [Google Scholar] [CrossRef]
- Kutonova, K.V.; Trusova, M.E.; Postnikov, P.S.; Filimonov, V.D.; Parello, J. A Simple and Effective Synthesis of Aryl Azides via Arenediazonium Tosylates. Synthesis 2013, 45, 2706–2710. [Google Scholar]
- Chan, T.R.; Hilgraf, R.; Sharpless, K.B.; Fokin, V.V. Polytriazoles as copper(I)-stabilizing ligands in catalysis. Org. Lett. 2004, 6, 2853–2855. [Google Scholar] [CrossRef]
- Liu, X.G.; Cole, J.M.; Waddell, P.G.; Lin, T.C.; Radia, J.; Zeidler, A. Molecular Origins of Optoelectronic Properties in Coumarin Dyes: Toward Designer Solar Cell and Laser Applications. J. Phys. Chem. A 2012, 116, 727–737. [Google Scholar] [CrossRef] [PubMed]
- Zhou, Z.; Fahrni, C.J. A fluorogenic probe for the copper(I)-catalyzed azide-alkyne ligation reaction: Modulation of the fluorescence emission via 3(n,π*)-1(π,π*) inversion. J. Am. Chem. Soc. 2004, 126, 8862–8863. [Google Scholar] [CrossRef]
- Key, J.A.; Koh, S.; Timerghazin, Q.K.; Brown, A.; Cairo, C.W. Photophysical characterization of triazole-substituted coumarin fluorophores. Dyes Pigments 2009, 82, 196–203. [Google Scholar] [CrossRef]
- Xie, L.J.; Chen, Y.H.; Wu, W.T.; Guo, H.M.; Zhao, J.Z.; Yu, X.R. Fluorescent coumarin derivatives with large stokes shift, dual emission and solid state luminescent properties: An experimental and theoretical study. Dyes Pigments 2012, 92, 1361–1369. [Google Scholar] [CrossRef]
- Melhuish, W.H. Quantum efficiencies of fluorescence of organic substances-effect of solvent and concentration of fluorescent solute. J. Phys. Chem. 1961, 65, 229–235. [Google Scholar] [CrossRef]
- Lončar, B.; Perin, N.; Mioč, M.; Boček, I.; Grgić, L.; Kralj, M.; Tomić, S.; Stojković, M.R.; Hranjec, M. Novel amino substituted tetracyclic imidazo[4,5-b]pyridine derivatives: Design, synthesis, antiproliferative activity and DNA/RNA binding study. Eur. J. Med. Chem. 2021, 217, 113342. [Google Scholar] [CrossRef] [PubMed]
- Perin, N.; Alić, J.; Liekens, S.; Van Aerschot, A.; Vervaeke, P.; Gadakh, B.; Hranjec, M. Different positions of amide side chains on the benzimidazo 1,2-a quinoline skeleton strongly influence biological activity. New J. Chem. 2018, 42, 7096–7104. [Google Scholar] [CrossRef]







| Compound | IC50 a (μM) | |||||||
|---|---|---|---|---|---|---|---|---|
| HCT116 | MCF-7 | H 460 | CEM | HeLa | HMEC-1 | |||
| 2a | ≥100 | 23 ± 9 | ≥100 | >100 | >100 | >100 | ||
| 2b | 3 ± 2 | 0.6 ± 0.1 | ≥100 | >100 | >100 | >100 | ||
| 2c | ≥100 | 21 ± 0.03 | ≥100 | 58 ± 7 | 88 ± 8 | >100 | ||
| 2d | 36 ± 3 | ≥100 | ≥100 | nd b | ||||
| 2e | 27 ± 0.06 | 32 ± 4 | 85 ± 13.5 | |||||
| 2f | 22 ± 21 | ≥100 | ≥100 | |||||
| 2g | 77 ± 7 | ≥100 | ≥100 | |||||
| 2h | 9 ± 3 | 0.3 ± 0.2 | 29 ± 3 | >100 | >100 | >100 | ||
| 2i | 7 ± 3 | 1 ± 0.1 | ≥100 | >100 | ≥100 | >100 | ||
| 4a | 31 ± 6 | 3 ± 2 | 21 ± 7 | ≥100 | 79 ± 36 | 66 ± 4 | ||
| 4b | 31 ± 5 | 19 ± 3 | 23 ± 10 | 74 ± 37 | 25 ± 0 | 69 ± 8 | ||
| 5-FU c | 4 ± 1 | 14 ± 0.3 | 3 ± 0.3 | nd | ||||
| etoposide | 5 ± 2 | 1 ± 0.7 | 0.1 ± 0.04 | |||||
| Compound | 2a | 2b | 2c | 2d | 2e | 2f | 2g | 2h | 2i | 4a | 4b |
|---|---|---|---|---|---|---|---|---|---|---|---|
| λabs/nm | 328 | 284 325(sh) | 296 325(sh) | 328 | 327 | 331 | 300 325 | 292 326 | 278 326 | 285 292 325(sh) | 287 294 325(sh) |
| ε × 103/dm3 mol−1 cm−1 | 28.7 | 39.7 15.3 | 41.0 | 15.1 | 23.2 | 18.1 | 11.4 13.5 | 12.2 14.4 | 53.7 39.3 | 37.6 36.3 22.5 | 29.3 29.2 17.6 |
| λemis/nm | 406 | 412 | 418 | 455 | 401 | 517 | 411 | 394 | 415 | 416 350 | 418 347 |
| Rel. Fluo. Int. | 292.7 | 92.6 | 4.3 | 593.3 | 229.3 | 43.1 | 63.0 | 451.4 | 119.3 | 362.6 218.9 | 396.8 235.1 |
| Stokes shift/nm | 78 | 129 87 | 123 | 126 | 73 | 187 | 84 | 64 | 88 | 91 124 | 91 122 |
| Φ | 0.212 | 0.035 | 0.004 | 0.445 | 0.136 | 0.058 | 0.021 | 0.127 | 0.029 | 0.018 | 0.025 |
Publisher’s Note: MDPI stays neutral with regard to jurisdictional claims in published maps and institutional affiliations. |
© 2022 by the authors. Licensee MDPI, Basel, Switzerland. This article is an open access article distributed under the terms and conditions of the Creative Commons Attribution (CC BY) license (https://creativecommons.org/licenses/by/4.0/).
Share and Cite
Pršir, K.; Horak, E.; Kralj, M.; Uzelac, L.; Liekens, S.; Steinberg, I.M.; Krištafor, S. Design, Synthesis, Spectroscopic Characterisation and In Vitro Cytostatic Evaluation of Novel Bis(coumarin-1,2,3-triazolyl)benzenes and Hybrid Coumarin-1,2,3-triazolyl-aryl Derivatives. Molecules 2022, 27, 637. https://doi.org/10.3390/molecules27030637
Pršir K, Horak E, Kralj M, Uzelac L, Liekens S, Steinberg IM, Krištafor S. Design, Synthesis, Spectroscopic Characterisation and In Vitro Cytostatic Evaluation of Novel Bis(coumarin-1,2,3-triazolyl)benzenes and Hybrid Coumarin-1,2,3-triazolyl-aryl Derivatives. Molecules. 2022; 27(3):637. https://doi.org/10.3390/molecules27030637
Chicago/Turabian StylePršir, Kristina, Ema Horak, Marijeta Kralj, Lidija Uzelac, Sandra Liekens, Ivana Murković Steinberg, and Svjetlana Krištafor. 2022. "Design, Synthesis, Spectroscopic Characterisation and In Vitro Cytostatic Evaluation of Novel Bis(coumarin-1,2,3-triazolyl)benzenes and Hybrid Coumarin-1,2,3-triazolyl-aryl Derivatives" Molecules 27, no. 3: 637. https://doi.org/10.3390/molecules27030637
APA StylePršir, K., Horak, E., Kralj, M., Uzelac, L., Liekens, S., Steinberg, I. M., & Krištafor, S. (2022). Design, Synthesis, Spectroscopic Characterisation and In Vitro Cytostatic Evaluation of Novel Bis(coumarin-1,2,3-triazolyl)benzenes and Hybrid Coumarin-1,2,3-triazolyl-aryl Derivatives. Molecules, 27(3), 637. https://doi.org/10.3390/molecules27030637

