Acid-Catalyzed Condensation of Benzamide with Glyoxal, and Reaction Features
Abstract
1. Introduction
2. Results and Discussion
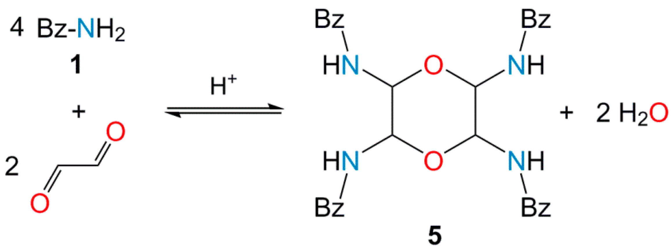
2.1. Study into Condensation of Benzamide with Glyoxal
2.2. X-ray Diffraction Analysis
3. Materials and Methods
4. Experimental
4.1. Synthesis of 1,2-Bis(benzoylamino)-1,2-ethanediol (2) (Isomer 1)
4.2. Synthesis of N,N’,N’’-(2-Hydroxyethane-1,1,2-triyl)tribenzamide (4)
4.3. Synthesis of N,N’,N’’,N’’’-(1,4-Dioxane-2,3,5,6-tetrayl)tetrabenzamide (5)
4.4. Synthesis of Mixed N,N’-(2,2-Dihydroxyethane-1,1-diyl)dibenzamide (6) and N,N’-(2-Oxoethane-1,1-diyl)dibenzamide (8)
4.5. A General Synthetic Procedure for N,N’-(1,2-Dimethoxyethane-1,2-diyl)dibenzamide (9), N,N’-(1,2-Diethoxyethane-1,2-diyl)dibenzamide (10) and N,N’-(1,2-Diisopropoxyethane-1,2-diyl)dibenzamide (11)
4.6. Synthesis of N,N’,N’’,N’’’-(Ethane-1,1,2,2-tetrayl)tetrabenzamide (12)
4.7. Synthesis of N,N’-Methanediyldibenzamide (15)
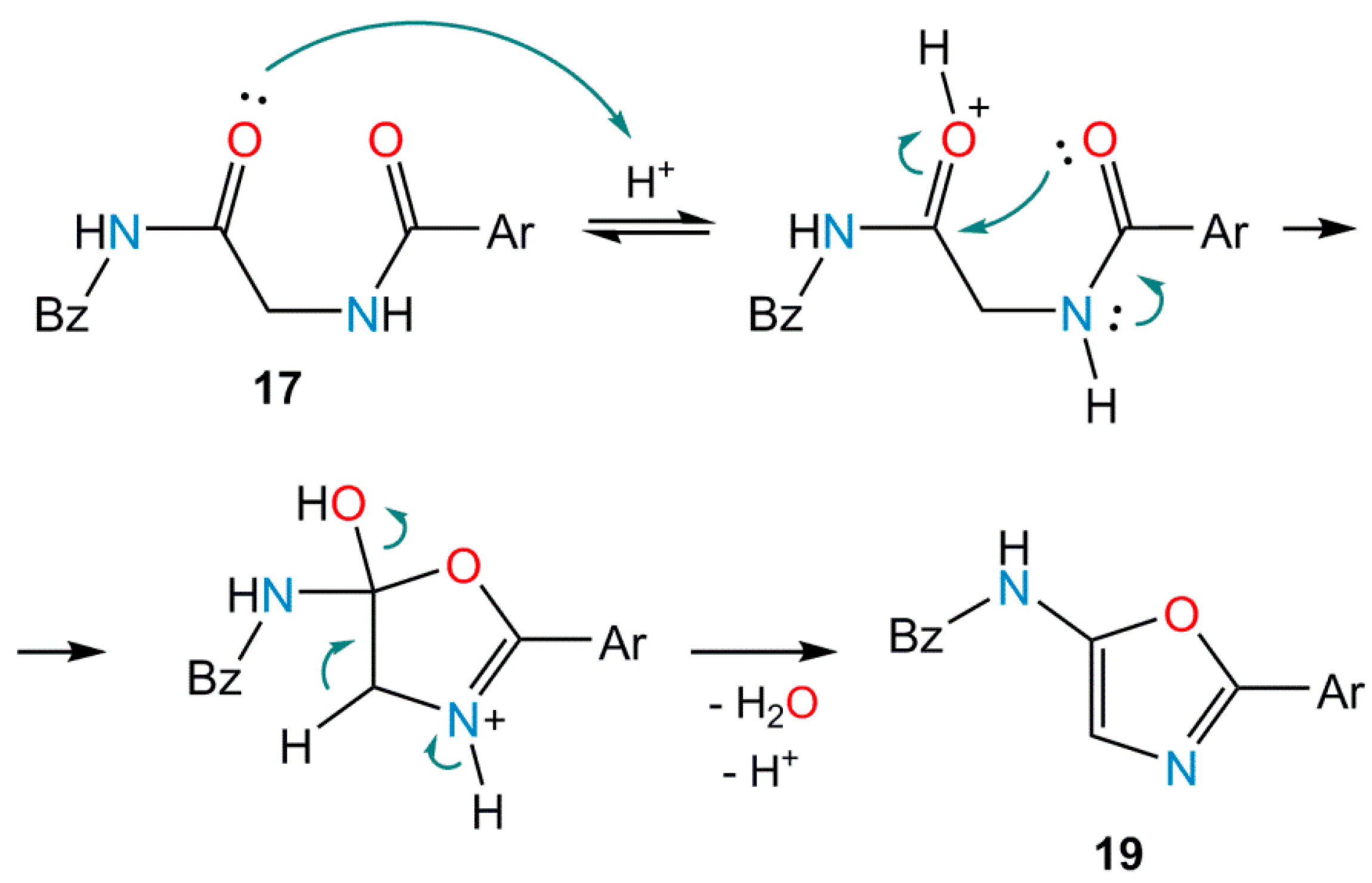
4.8. Synthesis of 2-Oxo-2-[(phenylcarbonyl)amino]ethyl benzoate (16) and N,N’-(1-Oxoethane-1,2-diyl)dibenzamide (17)
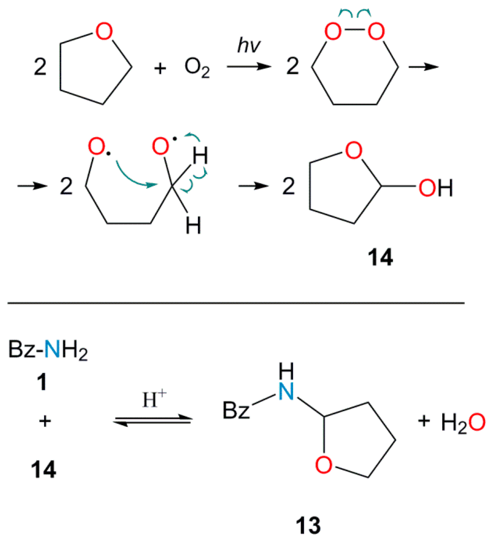
4.9. Synthesis of N-Formylbenzamide (18), N-(Tetrahydrofuran-2-yl)benzamide (13), and 1,2-Bis(benzoylamino)-1,2-ethanediol (3) (Isomer 2)
4.10. Synthesis of N-(2-Phenyl-1,3-oxazol-5-yl)benzamide (19)
5. Conclusions
Supplementary Materials
Author Contributions
Funding
Institutional Review Board Statement
Informed Consent Statement
Data Availability Statement
Acknowledgments
Conflicts of Interest
Sample Availability
References
- Paromov, A.E.; Sysolyatin, S.V. Oxaazatetracyclo [5.5.0.03,11.05,9] dodecanes—A promising foundation for the design of thermally stable, high-density energetic compounds. Chem. Heterocycl. Compd. 2017, 53, 630–637. [Google Scholar] [CrossRef]
- Karaghiosoff, K.; Klapotke, T.M.; Michailovski, A.; Holl, G. 4,10-Dinitro-2,6,8,12-tetraoxa-4,10-diazawurtzitane (TEX): A nitramine with an exceptionally high density. Acta Crystallographica 2002, 58, 580–581. [Google Scholar] [CrossRef]
- Koch, E.C. TEX—4,10-Dinitro-2,6,8,12-tetraoxa-4,10-diazatetracyclo [5.5.0.05,9.03,11] dodecane—Review of a promising high density insensitive energetic material. Propellants Explos. Pyrotech. 2015, 40, 374–387. [Google Scholar] [CrossRef]
- Gatilov, Y.V.; Rybalova, T.V.; Efimov, O.A.; Lobanova, A.A. Molecular and crystal structure of polycyclic nitramines. J. Struct. Chem. 2005, 46, 566–571. [Google Scholar] [CrossRef]
- Bircher, H.R.; Maeder, P.; Mathieu, J. Properties of CL-20 based high explosives. In Proceedings of the 29th International Annual Conference of ICT, Karlsruhe, Germany, 30 June–3 July 1998. [Google Scholar]
- Vagenknecht, J.; Marecek, P.; Trzcinski, W.A. Sensitivity and performance properties of tex explosives. J. Energ. Mater. 2002, 20, 245–253. [Google Scholar] [CrossRef]
- Kozyrev, N.V.; Sysolyatin, S.V.; Sakovich, G.V. Synthesis of ultrafine diamonds from alloys of TNT with polycyclic nitramines. Combust. Explos. Shock Waves 2006, 42, 486–489. [Google Scholar] [CrossRef]
- Zeman, S.; Atalar, T. A new view of relationships of the N–N bond dissociation energies of cyclic nitramines. Part III. Relationship with detonation velocity. J. Energ. Mater. 2009, 27, 217–229. [Google Scholar] [CrossRef]
- Yang, J.; Wang, G.; Gong, X.; Zhang, J.; Wang, Y. High-energy nitramine explosives: A design strategy from linear to cyclic to caged molecules. ACS Omega 2018, 3, 9739–9745. [Google Scholar] [CrossRef]
- Cumming, A.S. New trends in advanced high energy materials. J. Aerosp. Technol. Manag. 2009, 1, 161–166. [Google Scholar] [CrossRef]
- Tian, M.; Chi, W.J.; Li, Q.S.; Li, Z.S. Theoretical design of highly energetic poly-nitro cage compounds. RSC Adv. 2016, 6, 47607–47615. [Google Scholar] [CrossRef]
- Nielsen, A.T.; Chaen, A.P.; Christian, S.L.; Moore, D.W.; Nadler, M.P.; Nissan, R.A.; Vanderah, D.J. Synthesis of polyazapolycyclic caged polynitramines. Tetrahedron 1998, 54, 11793–11812. [Google Scholar] [CrossRef]
- Sakovich, G.V.; Sysolyatin, S.V.; Kozyrev, N.V.; Makarovets, N.A. Explosive Composition. RU Patent 2,252,925; IPCET SB RAS, 28 May 2005. [Google Scholar]
- Nielsen, A.T. Caged Polynitramine Compound. U.S. Patent 5,693,794, 2 December 1997. [Google Scholar]
- Viswanath, D.S.; Ghosh, T.K.; Boddu, V.M. Hexanitrohexaazaisowurtzitane (HNIW, CL-20). In Emerging Energetic Materials: Synthesis, Physicochemical, and Detonation Properties; Viswanath, D.S., Ghosh, T.K., Boddu, V.M., Eds.; Springer: Berlin/Heidelberg, Germany, 2018; pp. 59–100. [Google Scholar]
- Venkata Viswanath, J.; Venugopal, K.J.; Srinivasa Rao, N.V.; Venkataraman, A. An overview on importance, synthetic strategies and studies of 2,4,6,8,10,12-hexanitro-2,4,6,8,10,12-hexaazaisowurtzitane (HNIW). Def. Technol. 2016, 12, 401–418. [Google Scholar] [CrossRef]
- Nair, U.R.; Sivabalan, R.; Gore, G.M.; Geetha, M.; Asthana, S.N.; Singh, H. Hexanitrohexaazaisowurtzitane (CL-20) and CL-20-based formulations (review). Combust. Explos. Shock Waves 2005, 41, 121–132. [Google Scholar] [CrossRef]
- Bumpus, J.A. A theoretical investigation of the ring strain energy, destabilization energy, and heat of formation of CL-20. Adv. Phys. Chem. 2012, 2012, 175146. [Google Scholar] [CrossRef][Green Version]
- Krause, H.H. New Energetic Materials. Energetic Materials: Particle Processing and Characterization; Teipel, U., Ed.; Wiley—VCH: Weinheim, Germany, 2005; pp. 1–25. [Google Scholar]
- Mandal, A.K.; Pant, C.S.; Kasar, S.M.; Soman, T. Process optimization for synthesis of CL-20. J. Energ. Mater. 2009, 27, 231–246. [Google Scholar] [CrossRef]
- Talawar, M.B.; Sivabalan, R.; Anniyappan, M.; Gore, G.M.; Asthana, S.N.; Gandhe, B.R. Emerging trends in advanced high energy materials. Combust. Explos. Shock Waves 2007, 43, 62–72. [Google Scholar] [CrossRef]
- Singh, H. Survey of New Energetic and Eco-Friendly. Materials for Propulsion of Space Vehicles. Chemical Rocket Propulsion. A Comprehensive Survey of Energetic Materials; De Luca, L.T., Shimada, T., Sinditskii, V.P., Calabro, M., Eds.; Springer: Berlin/Heidelberg, Germany, 2017; pp. 127–138. [Google Scholar]
- Aldoshin, S.M.; Lempert, D.B.; Goncharov, T.K.; Kazakov, A.I.; Soglasnova, S.I.; Dorofeenko, E.M.; Plishkin, N.A. Energetic potential of solid composite propellants based on CL-20-containing bimolecular crystals. Russ. Chem. Bull. 2016, 65, 2018–2024. [Google Scholar] [CrossRef]
- Wu, Z.; Liu, N.; Zheng, W.; Chen, J.; Song, X.; Wang, J.; Cui, C.; Zhang, D.; Zhao, F. Application and properties of CL-20/HMX cocrystal in composite modified double base propellants. Propellants Explos. Pyrotech. 2020, 45, 92–100. [Google Scholar] [CrossRef]
- Wang, J.; Yang, L.; Zheng, W.; Zhang, J. Study on comparative performance of CL-20/RDX-based CMDB propellants. Propellants Explos. Pyrotech. 2019, 44, 1175–1182. [Google Scholar] [CrossRef]
- Sergienko, A.V.; Popenko, E.M.; Slyusarsky, K.V.; Larionov, K.B.; Dzidziguri, E.L.; Kondratyeva, E.S.; Gromov, A.A. Burning characteristics of the HMX/CL-20/AP/polyvinyltetrazole binder/al solid propellants loaded with nanometals. Propellants Explos. Pyrotech. 2019, 44, 217–223. [Google Scholar] [CrossRef]
- Sinditskii, V.P.; Chernyi, A.N.; Egorshev, V.Y.; Dashko, D.V.; Goncharov, T.K.; Shisho, N.I. Combustion of CL-20 cocrystals. Combust. Flame 2019, 207, 51–62. [Google Scholar] [CrossRef]
- Shi, Y.; Bai, L.; Gong, J.; Ju, X. Theoretical calculation into the structures, stability, sensitivity, and mechanical properties of 2,4,6,8,10,12-hexanitro-2,4,6,8,10,12 hexaazai-sowurtzitane (CL-20)/1-amino-3-methyl-1,2,3-triazoliumnitrate (1-AMTN) cocrystal and its mixture. Struct. Chem. 2020, 31, 647–655. [Google Scholar] [CrossRef]
- Zhu, Y.; Luo, J.; Lu, Y.; Li, H.; Gao, B.; Wang, D.; Zhang, X.; Guo, C. Emulsion synthesis of CL-20/DNA composite with excellent superfine spherical improved sensitivity performance via a combined ultrasonic–microwave irradiation approach. J. Mater. Sci. 2018, 53, 14231–14240. [Google Scholar] [CrossRef]
- Chen, T.; Zhang, Y.; Guo, S.-F.; Zhao, L.-M.; Chen, W.; Hao, G.-Z.; Xiao, L.; Ke, X.; Jiang, W. Preparation and property of CL-20/BAMO-THF energetic nanocomposites. Def. Technol. 2019, 15, 306–312. [Google Scholar] [CrossRef]
- Chapman, C.J.; Groven, L.J. Evaluation of a CL-20/TATB energetic co-crystal. Propellants Explos. Pyrotech. 2019, 44, 293–300. [Google Scholar] [CrossRef]
- Liu, N.; Duan, B.; Lu, X.; Mo, H.; Xu, M.; Zhanga, Q.; Wang, B. Preparation of CL-20/DNDAP cocrystals by a rapid and continuous spray drying method: An alternative to cocrystal formation. CrystEngComm 2018, 20, 2060–2067. [Google Scholar] [CrossRef]
- Herrmannsdorfer, D.; Gerber, P.; Heintz, T.; Herrmann, M.J.; Klapotke, T.M. Investigation of crystallisation conditions to produce CL-20/HMX cocrystal for polymer-bonded explosives. Propellants Explos. Pyrotech. 2019, 44, 668–678. [Google Scholar] [CrossRef]
- Tan, Y.; Yang, Z.; Wang, H.; Li, H.; Nie, F.; Liu, Y.; Yu, Y. High energy explosive with low sensitivity: A new energetic cocrystal based on CL-20 and 1,4-DNI. Cryst. Growth Des. 2019, 19, 4476–4482. [Google Scholar] [CrossRef]
- Li, P.; Liu, K.; Ao, D.; Liu, X.; Xu, H.; Duan, X.; Pei, C. A low-sensitivity nanocomposite of CL-20 and TATB. Cryst. Res. Technol. 2018, 53, 1800189. [Google Scholar] [CrossRef]
- Wu, C.-L.; Zhang, S.-H.; Gou, R.-J.; Ren, F.-D; Han, G.; Zhu, S.-F. Theoretical insight into the effect of solvent polarity on the formation and morphology of 2,4,6,8,10,12-hexanitrohexaazaisowurtzitane (CL-20)/2,4,6-trinitro-toluene (TNT) cocrystal explosive. Comput. Theor. Chem. 2018, 1127, 22–30. [Google Scholar] [CrossRef]
- Vuppuluri, V.S.; Samuels, P.J.; Caflin, K.C.; Gunduz, I.E.; Son, S.F. Detonation performance characterization of a novel CL-20 cocrystal using microwave interferometry. Propellants Explos. Pyrotech. 2018, 43, 38–47. [Google Scholar] [CrossRef]
- Hai, L.; Yi, L.; Zhaoxia, M.; Zhixuan, Z.; Junling, L.; Yuanhang, H. Study on the initial decomposition mechanism of energetic co-crystal 2,4,6,8,10,12-hexanitro-2,4,6,8,10,12-hexaazaisowurtzitane (cl-20)/1,3,5,7-tetranitro-1,3,5,7-tetrazacyclooctane (hmx) under a steady shock wave. Acta Physico Chimica Sinica 2019, 35, 858–867. [Google Scholar] [CrossRef]
- Sun, S.; Zhang, H.; Xu, J.; Wang, H.; Wang, S.; Yu, Z.; Zhua, C.; Suna, J. Design, preparation, characterization and formation mechanism of a novel kinetic CL-20-based cocrystal. Acta Crystallographica 2019, 75, 310–317. [Google Scholar] [CrossRef] [PubMed]
- Liu, Y.; Gou, R.-j.; Zhang, S.-h.; Chen, Y.-H.; Chen, M.-H.; Liu, Y.-B. Effect of solvent mixture on the formation of CL-20/HMX cocrystal explosives. J. Mol. Model. 2020, 26, 8. [Google Scholar] [CrossRef] [PubMed]
- Liu, N.; Duan, B.; Lu, X.; Zhang, Q.; Xu, M.; Moa, H.; Wang, B. Preparation of CL-20/TFAZ cocrystals under aqueous conditions: Balancing high performance and low sensitivity. CrystEngComm 2019, 21, 7271–7279. [Google Scholar] [CrossRef]
- Viswanath, J.V.; Shanigaram, B.; Vijayadarshan, P.; Chowadary, T.V.; Gupta, A.; Bhanuprakash, K.; Niranjana, S.R.; Venkataraman, A. Studies and theoretical optimization of CL-20: RDX cocrystal. Propellants Explos. Pyrotech. 2019, 44, 1570–1582. [Google Scholar] [CrossRef]
- Stepanov, V.; Patel, R.B.; Mudryy, R.; Qiu, H. Investigation of nitramine-based amorphous energetics. Propellants Explos. Pyrotech. 2016, 41, 142–147. [Google Scholar] [CrossRef]
- Cagnon, G.; Eck, G.; Herve, G.; Jacob, G. Process for the Synthesis of Hexanitrohexaazaisowurtzitane in 2 Steps from a Primary Amine. EP Patent 1479683 A1, 24 November 2004. [Google Scholar]
- Azizkhani, V.; Montazeri, F.; Molashahi, E.; Ramazani, A. Magnetically recyclable CuFe2O4 nanoparticles as an efficient and reusable catalyst for the green synthesis of 2,4,6,8,10,12-hexabenzyl-2,4,6,8,10,12-hexaazaisowurtzitane as CL-20 explosive precursor. J. Energ. Mater. 2017, 35, 314–320. [Google Scholar] [CrossRef]
- Klapotke, T.M.; Krumm, B.; Piotrowski, H.; Polborn, K.; Holl, G. Synthesis and structures of trifluoromethyl-, fluoro-, and azido-substituted hexabenzylhexaazaisowurtzitanes and isolation of a novel hexaazaisowurtzitane-based polycycle. Chem. Eur. J. 2003, 9, 687–694. [Google Scholar] [CrossRef]
- Kerscher, T.; Klapotke, T.M.; Krumm, B.; Polborn, K.; Scherr, M. Polyfluorinated hexabenzyl hexaazaisowurtzitanes. J. Fluor. Chem. 2006, 127, 1030–1035. [Google Scholar] [CrossRef]
- Norris, W.P.; Nielsen, A.T. Catalytic synthesis of caged polynitramine compounds. U.S. Patent 8017768 B1, 02 December 1997. [Google Scholar]
- Nielsen, A.T.; Nissan, R.A.; Vanderah, D.J. Polyazapolycyclics by condensation of aldehydes with amines. 2. Formation of 2,4,6,8,10,12-hexabenzyl-2,4,6,8,10,12-hexaazatetracyclo [5.5.0.05.9.03,11] dodecanes from glyoxal and benzylamines. J. Org. Chem. 1990, 55, 1459–1466. [Google Scholar] [CrossRef]
- Crampton, M.R.; Hamid, J.; Millar, R.; Ferguson, G. Studies of the synthesis, protonation and decomposition of 2,4,6,8,10,12-hexabenzyl-2,4,6,8,10,12-hexaazatetracyclo [5.5.0.05,9.03,11] dodecane (HBIW). J. Chem. Soc. Perkin Trans. 1993, 2, 923–929. [Google Scholar] [CrossRef]
- Batsanov, A.; Cole, J.C.; Crampton, M.R.; Hamid, J.; Howard, J.A.K.; Millar, R. Condensation products from the reactions of glyoxal with 2-substituted benzylamines. The formation and crystal structures of 2,2′-bi(1,2,3,4-tetrahydroquinazoline), and 2,4,6,8,10,12-hexakis(2-methylbenzyl)-2,4,6,8,10,12-hexaazaisowurtzitane. J. Chem. Soc. Perkin Trans. 1994, 2, 421–424. [Google Scholar] [CrossRef]
- Adamiak, J.; Maksimowski, P. Optimization of the synthesis of 2,4,6,8,10,12-hexaallyl-2,4,6,8,10,12-hexaazaisowurtzitane. Propellants Explos. Pyrotech. 2009, 34, 315–320. [Google Scholar] [CrossRef]
- Chapman, R.D.; Hollins, R.A. Benzylamine-free, heavy-metal-free synthesis of cl-20 via hexa(1-propenyl)hexaazaisowurtzitanes. J. Energ. Mater. 2008, 26, 246–273. [Google Scholar] [CrossRef]
- Escoubet, S.; Gastaldi, S.; Bertrand, M. Methods for the cleavage of allylic and propargylic C–N bonds in amines and amides—Selected alternative applications of the 1,3-hydrogen shift. Eur. J. Org. Chem. 2005, 18, 3855–3873. [Google Scholar] [CrossRef]
- Shuang, L.; Fei, J.; Xiaoyu, L.; Xiaoli, P.; Shuyuan, C.; Xuefei, W.; Yanhua, Z.; Yong, M. Stick-like mesoporous titania loaded Pd as highly active and cost effective catalysts for hydrodebenzylation of hexabenzylhexaazaisowurtzitane (HBIW). Mol. Catal. 2019, 477, 110556. [Google Scholar] [CrossRef]
- Fardood, S.T.; Ramazani, A.; Golfar, Z.; Joo, S.W. Green synthesis using tragacanth gum and characterization of Ni–Cu–Zn ferrite nanoparticles as a magnetically separable catalyst for the synthesis of hexabenzylhexaazaisowurtzitane under ultrasonic irradiation. J. Struct. Chem. 2018, 59, 1730–1736. [Google Scholar] [CrossRef]
- Qiu, W.-G.; Chen, S.-S.; Yu, Y.-Z. Oxidation of hexabenzylhexaazaisowurtzitane. Chin. J. Chem. 1999, 17, 554–556. [Google Scholar] [CrossRef]
- Lou, D.; Wang, H.; Liu, S.; Li, L.; Zhao, W.; Chen, X.; Wang, J.; Li, X.; Wu, P.; Yang, J. PdFe bimetallic catalysts for debenzylation of hexabenzylhexaazaisowurtzitane (HBIW) and tetraacetyldibenzylhexaazaisowurtzitane (TADBIW). Catal. Commun. 2018, 109, 28–32. [Google Scholar] [CrossRef]
- Mannathusamy, G.; Sandhirakasu, V.; Dhanavel, S.; Vaidyanathan, V. Process for Preparing Hexaacylhexaazaisowurtzitane and Hexanitrohexaazaisowurtzitane. IN Patent 201611002576 A, 25 January 2011. [Google Scholar]
- Wright, M.E. Three-Step Synthesis of CL-20. U.S. Patent 9056868 B1, 16 June 2015. [Google Scholar]
- Olivier, B.; Joel, R.; Sylvain, M.; Alphonse, T. Process for the Synthesis of Hexanitrohexaazaisowurtzitane from Hexaallylhexaazaisowurtzitane; Intermediate. FR Patent 2997697, 17 June 2016. [Google Scholar]
- Paromov, A.E.; Sysolyatin, S.V.; Gatilov, Y.V. An acid-catalyzed cascade synthesis of oxaazatetracyclo [5.5.0.03,11.05,9] dodecane Derivatives. J. Energ. Mater. 2017, 35, 363–373. [Google Scholar] [CrossRef]
- Paromov, A.E.; Sysolyatin, S.V. Synthesis of new N-polysubstituted oxaazaisowurtzitanes by acid-catalyzed condensation of sulfonamides with glyoxal. Russ. J. Org. Chem. 2017, 53, 1717–1725. [Google Scholar] [CrossRef]
- Paromov, A.E.; Sysolyatin, S.V.; Shchurova, I.A.; Rogova, A.I.; Malykhin, V.V.; Gatilov, Y.V. Synthesis of oxaazaisowurtzitanes by condensation of 4-dimethylaminobenzenesulfonamide with glyoxal. Tetrahedron 2020, 76, 131298. [Google Scholar] [CrossRef]
- Gottlieb, H.E.; Cohen, S.; Gottlieb, L. Rearrangement of hexabenzylhexaazaisowurtzitane. Chem. Eur. J. 2010, 16, 5568–5571. [Google Scholar] [CrossRef]
- Tanimoto, S.; Imazu, Y.; Imuta, M.; Okano, M. Syntheses of some derivatives of 1,4-dioxane and 1,3-dioxolane. Bull. Inst. Chem. Res. 1972, 50, 368–374. [Google Scholar]
- Paul, R.; Roger, R.; Ernst, H. Über benzoylderivate des diamino-äthylens und ihre umwandlung in imidazolone. (I. mitteilung über imidazol-spaltungsprodukte). Helvetica Chimica Acta 1929, 12, 332–351. [Google Scholar] [CrossRef]
- Mohammadi, B.; Khorrami, B.R. A simple and one-pot multi-component reaction to the synthesis of methylenebisamides. Monatshefte Chemie 2018, 149, 1089–1092. [Google Scholar] [CrossRef]
- Sheldrick, G.M. SHELX-97—Programs for Crystal Structure Analysis (Release 97-2); University of Göttingen: Göttingen, Germany, 1997. [Google Scholar]
- Sheldrick, G.M. Crystal structure refinement with SHELXL. Acta Crystallographica 2015, 71, 3–8. [Google Scholar] [CrossRef] [PubMed]
- SADABS, version 2008-1; Bruker AXS: Madison, WI, USA, 2008.
- Spek, A.L. PLATON, A Multipurpose Crystallographic Tool, version 10M; Utrecht University: Utrecht, The Netherlands, 2003. [Google Scholar]
- Spek, A.L. Single-crystal structure validation with the program PLATON. J. Appl. Crystallogr. 2003, 36, 7–13. [Google Scholar] [CrossRef]
- Macrae, C.F.; Edgington, P.R.; McCabe, P.; Pidcock, E.; Shields, G.P.; Taylor, R.; Towler, M.; van de Stree, J. Mercury: Visualization and analysis of crystal structures. J. Appl. Crystallogr. 2006, 39, 453–457. [Google Scholar] [CrossRef]
- Allen, F.H.; Kenard, O.; Watson, D.G.; Bramer, L.; Orpen, A.G.; Taylor, R. Tables of bond lengths determined by X-ray and neutron diffraction. Part 1. Bond lengths in organic compounds. J. Chem. Soc. Perkin Trans. 1987, 12, S1–S19. [Google Scholar] [CrossRef]
















| Entry | ω(HCl 1), % 2/ω(H2O), % 2 | Composition of Principal Reaction Products (HPLC), % |
|---|---|---|
| 1 | 23.12/67.24 | Residue (0.057 g) 3: 1 (2.6), 2 (75.1), 4 (1.2), 5 (0.06), 6 and 8 (3.6) Filtrate: 1 (75.3), 2 (1.1), 3 (2.5), 4 (0.5), 6 and 8 (3.8), 7 (5.8) |
| 2 | 20.09/70.12 | Residue (0.451 g) 3: 1 (1.2), 2 (74.6), 4 (4.1), 5 (0.04), 6 and 8 (8.3), 7 (10.5) Filtrate: 1 (81.9), 2 (0.2), 3 (0.5), 6 and 8 (2.0), 7 (6.37) |
| 3 | 16.98/73.09 | Residue (0.433 g) 3: 1 (1.8), 2 (82.4), 4 (2.5), 6 and 8 (6.5), 7 (6.6) Filtrate: 1 (84.6), 7 (6.4) |
| Entry | ω(Solvent), % 1/ ω(Acid), % 1/ ω(H2O), %1 | Composition of Principal Reaction Products (HPLC), % |
|---|---|---|
| 1 | 78.88 (CH3C(O)CH3)/ 4.55 (PTSA)/ 4.09 (H2O) | residue (0.138 g) 2: 4 (8.7), 5 (61.5), 12 (17.6); filtrate: 1 (35.5), 2 (2.1), 3 (1.6), 4 (5.4), 5 (1.0), 6 and 8 (5.1), 7 (22.3), 12 (0.6) |
| 2 | 78.92 (CH3CN)/ 4.54 (PTSA)/ 4.08 (H2O) | residue (0.058 g) 2: 1 (0.6), 4 (10.0), 5 (34.3), 12 (40.4); filtrate: 1 (30.7), 2 (1.0), 4 (6.4), 5 (0.1), 6 and 8 (9.3), 7 (26.5), 12 (0.7) |
| 3 | 83.98 (DMSO)/ 3.46 (PTSA)/ 3.11 (H2O) | 1 (61.1), 2 (6.4), 3 (5.6), 4 (0.6), 6 and 8 (1.1), 7 (1.3), 12 (0.04) |
| 4 | 80.90 (THF)/ 4.12 (PTSA)/ 3.70 (H2O) | residue (0.157 g) 2: 5 (55.4); filtrate: 1 (33.0), 2 (0.8), 3 (1.6), 4 (3.0), 5 (0.9), 6 and 8 (3.4), 7 (21.2), 12 (0.7), 13 (5.1) |
| 5 | 76.99 (CH3C(O)CH3)/ 7.31 (TFA)/ 3.53 (H2O) | residue (0.142 g) 2: 2 (99.0), 5 (1.0); filtrate: 1 (59.8), 2 (1.6), 3 (3.3), 4 (1.6), 5 (0.1), 6 and 8 (1.9), 7 (3.0), 12 (0.4) |
| 6 | 77.03 (CH3CN)/ 7.30 (TFA)/ 3.52 (H2O) | residue (0.082 g) 2: 1 (0.7), 2 (84.4), 4 (0.8), 5 (13.3); filtrate: 1 (48.7), 2 (1.9), 3 (3.1), 4 (4.9), 5 (0.7), 6 and 8 (3.9), 7 (4.6), 12 (0.7) |
| 7 | 82.44 (DMSO)/ 5.58 (TFA)/ 2.69 (H2O) | 1 (69.4), 2 (5.0), 3 (5.5), 4 (0.1), 6 and 8 (0.6), 7 (0.6), 15 (2.0) |
| 8 | 79.14 (THF)/ 6.63 (TFA)/ 3.20 (H2O) | residue (0.028 g) 2: 1 (6.1), 2 (81.0), 5 (4.9); filtrate: 1 (54.0), 2 (4.2), 3 (5.3), 4 (1.0), 6 and 8 (1.3), 7 (3.3), 12 (0.03), 13 (5.0) |
| Entry | ω(Solvent), % 1/ ω(Acid), % 1 | T °C/ t, h | Composition of Principal Reaction Products (HPLC), % |
|---|---|---|---|
| 1 | 97.6 (HCOOH) | B.P./7 | 1 (54.1), 7 (16.0), 16 (12.2), 17 (2.8), 18 (8.0) |
| 2 | 98 (TFA) | B.P./7 | 1 (24.8), 2 (0,5), 3 (1.6), 4 (2.1), 7 (26.6), 16 (14.0), 17 (3.0), 19 (21.7) |
| 3 | 97.2 (AcOH) | B.P./7 | 1 (75.0), 7 (13.3), 15 (0.3), 17 (5.3) |
| 4 | 92,9 (CH3CN)/ 3,5 (TFA) | B.P./7 | 1 (28.8), 2 (10.8), 4 (2.2), 12 (4.5), 17 (10.1), 16 (9.7) |
| 5 | 94,8 (DMSO)/ 2,6 (TFA) | 115/7 | 1 (58.8), 2 (0.4), 7 (19.4), 15 (12.6), 17 (4.4) |
| 6 | 95.3 (DMSO)/ 0.7 (HCl 2) | 115/7 | 1 (9.5), 7 (12.2), 15 (52.2) |
| 7 | 94.3 (DMSO)/ 3.1 (H2SO4) | 115/7 | 1 (25.9), 7 (22.3), 15 (42.3), 17 (0.3) |
| Comp. | H-Bonding | D-H, Å | H…A, Å | D…A, Å | D-H…A,° |
|---|---|---|---|---|---|
| 6 | O4-H…O3 | 0.82 | 2.04 | 2.802(3) | 154 |
| O3-H…O4 | 0.85(3) | 1.94(3) | 2.762(3) | 164(3) | |
| N1-H…O1 | 0.85(3) | 2.11(3) | 2.941(3) | 164(3) | |
| N2-H…O2 | 0.83(3) | 2.13(3) | 2.920(3) | 160(3) | |
| 8 | N1′-H…O1 | 0.98(4) | 2.09(4) | 3.046(5) | 165(4) |
| N2-H…O2′ | 0.90(4) | 2.08(4) | 2.874(5) | 147(4) | |
| N2′-H…O2 | 0.86(3) | 2.10(3) | 2.910(4) | 156(3) | |
| N1-H…O1′ | 0.80(3) | 2.25(3) | 3.026(5) | 167(3) | |
| 13 | N1-H…O1 | 0.91(2) | 2.03(2) | 2.913(2) | 162(2) |
| 16 | N1-H…O2 | 0.85(2) | 2.15(2) | 2.973(2) | 162(2) |
| 17 | N1-H…O2 | 0.83(2) | 2.19(2) | 2.991(2) | 161(2) |
| N2-H…O3 | 0.84(2) | 2.12(2) | 2.919(2) | 160(2) | |
| 18 | N1-H…O2 | 0.88(2) | 2.14(2) | 3.007(2) | 170(2) |
| 19 | N1-H…N2 | 0.89(1) | 2.05(1) | 2.931(1) | 169(1) |
Publisher’s Note: MDPI stays neutral with regard to jurisdictional claims in published maps and institutional affiliations. |
© 2022 by the authors. Licensee MDPI, Basel, Switzerland. This article is an open access article distributed under the terms and conditions of the Creative Commons Attribution (CC BY) license (https://creativecommons.org/licenses/by/4.0/).
Share and Cite
Paromov, A.; Shchurova, I.; Rogova, A.; Bagryanskaya, I.; Polovyanenko, D. Acid-Catalyzed Condensation of Benzamide with Glyoxal, and Reaction Features. Molecules 2022, 27, 1094. https://doi.org/10.3390/molecules27031094
Paromov A, Shchurova I, Rogova A, Bagryanskaya I, Polovyanenko D. Acid-Catalyzed Condensation of Benzamide with Glyoxal, and Reaction Features. Molecules. 2022; 27(3):1094. https://doi.org/10.3390/molecules27031094
Chicago/Turabian StyleParomov, Artyom, Irina Shchurova, Alla Rogova, Irina Bagryanskaya, and Dmitriy Polovyanenko. 2022. "Acid-Catalyzed Condensation of Benzamide with Glyoxal, and Reaction Features" Molecules 27, no. 3: 1094. https://doi.org/10.3390/molecules27031094
APA StyleParomov, A., Shchurova, I., Rogova, A., Bagryanskaya, I., & Polovyanenko, D. (2022). Acid-Catalyzed Condensation of Benzamide with Glyoxal, and Reaction Features. Molecules, 27(3), 1094. https://doi.org/10.3390/molecules27031094

