Abstract
Houttuynia cordata Thunb. is a medicinal and edible plant that has been commonly used in traditional Chinese medicine since ancient times. This study used headspace solid-phase microextraction (HS-SPME) and direct injection, combined with gas chromatography (GC) and gas chromatography-mass spectrometry (GC-MS), to identify the volatile compounds in H. cordata. Extraction from different parts of the plant using different extraction techniques for the identification of volatile compounds were determined. A total of 93 volatile components were analyzed in the leaves, stems, rhizomes, and whole plant samples of H. cordata. The leaves contained more (Z)-3-hexenal, β-myrcene, (Z)-β-ocimene, and (4E,6E)-allo-ocimene; the stems contained more geranyl acetate and nerolidol; and rhizomes contained more α-pinene, β-pinene, limonene, 2-undecanone, and decanoyl acetaldehyde. Among them, the essential oil extracted by HS-SPME could produce more monoterpenes, while direct injection could obtain higher contents of aliphatic ketones, terpene esters, sesquiterpenes, and was more conducive to the extraction of 2-undecanone and decanoyl acetaldehyde.
1. Introduction
Houttuynia cordata Thunb., belonging to Saururaceae, is a medicinal and edible perennial herb native to China, Japan, and Taiwan [1]. H. cordata is rich in nutrients and contains a variety of vitamins, amino acids, and trace elements, such as zinc, potassium, and copper [2]. The physiologically active substances of H. cordata include essential oils, steroids, and flavonoids [3], which have many pharmacological properties, including antibacterial, antiviral, anti-inflammatory, antioxidant, and anticancer effects. Many studies have been conducted on its active components and pharmacological properties [4,5,6,7,8].
Essential oils, secondary metabolites of plants, are industrially important natural products [9]. Essential oils were utilized in pharmaceutical and other related medical, and the amount of published evidence on aromatherapy and essential oils has gradually increased [10,11]. The essential oil components of H. cordata include decanoyl acetaldehyde, 2-undecanone, β-myrcene, decanal, and trans-caryophyllene [1]. Because the essential oil compounds of H. cordata will affect its pharmacological effects, analyses of the volatile components are also used to determine plant quality [12].
To date, there have been many studies on the volatile components of H. cordata. Kosuge [13] used steam distillation to extract essential oils from H. cordata and isolated decanoyl acetaldehyde, which has an antibacterial effect and is known to cause the unique stinking smell of H. cordata [14]. However, this component is easily oxidized into 2-undecanone during distillation and storage [15]. Both are important volatile components of H. cordata [14,16]. Yang et al. [17] analyzed 25 volatile compounds in H. cordata by GC-MS, including α-pinene, camphene, β-pinene, β-myrcene, (+)-limonene, γ-terpinene, decanal, linalool, β-caryophyllene, and 2-undecanone. Asakawa et al. [18] analyzed volatile compounds in different parts of the H. cordata plant. The study indicated that the main component of all parts analyzed was 4-tricancanone, and β-myrcene was the main monoterpene in the flowers, leaves, and stems, while the main monoterpene in the rhizomes and roots was β-pinene, and 1-decanal was the main polyketide in leaves and stems. Xu et al. [19] analyzed monoterpenes in the essential oils of three H. cordata accessions, and the results showed that the number and content of monoterpenes were different in different plant parts and different accessions.
In this study, extraction from different parts of the H. cordata plant, and different extraction methods on the volatile components. The results of this study can be used as a reference for the extraction and utilization of H. cordata in the future.
2. Results and Discussion
2.1. Analysis of Volatile Compounds from Different Parts of H. cordata
The leaves, stems, rhizomes, and whole plants of fresh H. cordata were analyzed for differences in volatile compounds (Figure 1, Figure 2 and Figure 3). Fresh plants and essential oils were analyzed using HS-SPME and direct injection. A total of 91 volatile components were identified in the H. cordata samples. The yield of essential oils was 0.09% (leaves), 0.02% (stems), 0.04% (rhizomes), and 0.04% (whole plants). Chen et al. [20] analyzed Angelica acutiloba essential oil and found that the highest content of essential oils was in the leaves. The main compounds from different parts were not the same, and the overall components and contents were different. In addition, the year-to-year yields of essential oil were slightly different, which may be due to differences in cultivation and climatic conditions [21].

Figure 1.
Ion chromatogram of volatile compounds from different parts of fresh H. cordata analyzed by HS-SPME: (a) leaf; (b) stem; (c) rhizome; and (d) whole plant.
Figure 2.
Ion chromatogram of volatile compounds in essential oil from different parts of fresh H. cordata analyzed by HS-SPME: (a) leaf; (b) stem; (c) rhizome; and (d) whole plant.
Figure 3.
Ion chromatogram of volatile compounds in essential oil from different parts of fresh H. cordata analyzed by direct injection: (a) leaf; (b) stem; (c) rhizome; and (d) whole plant.
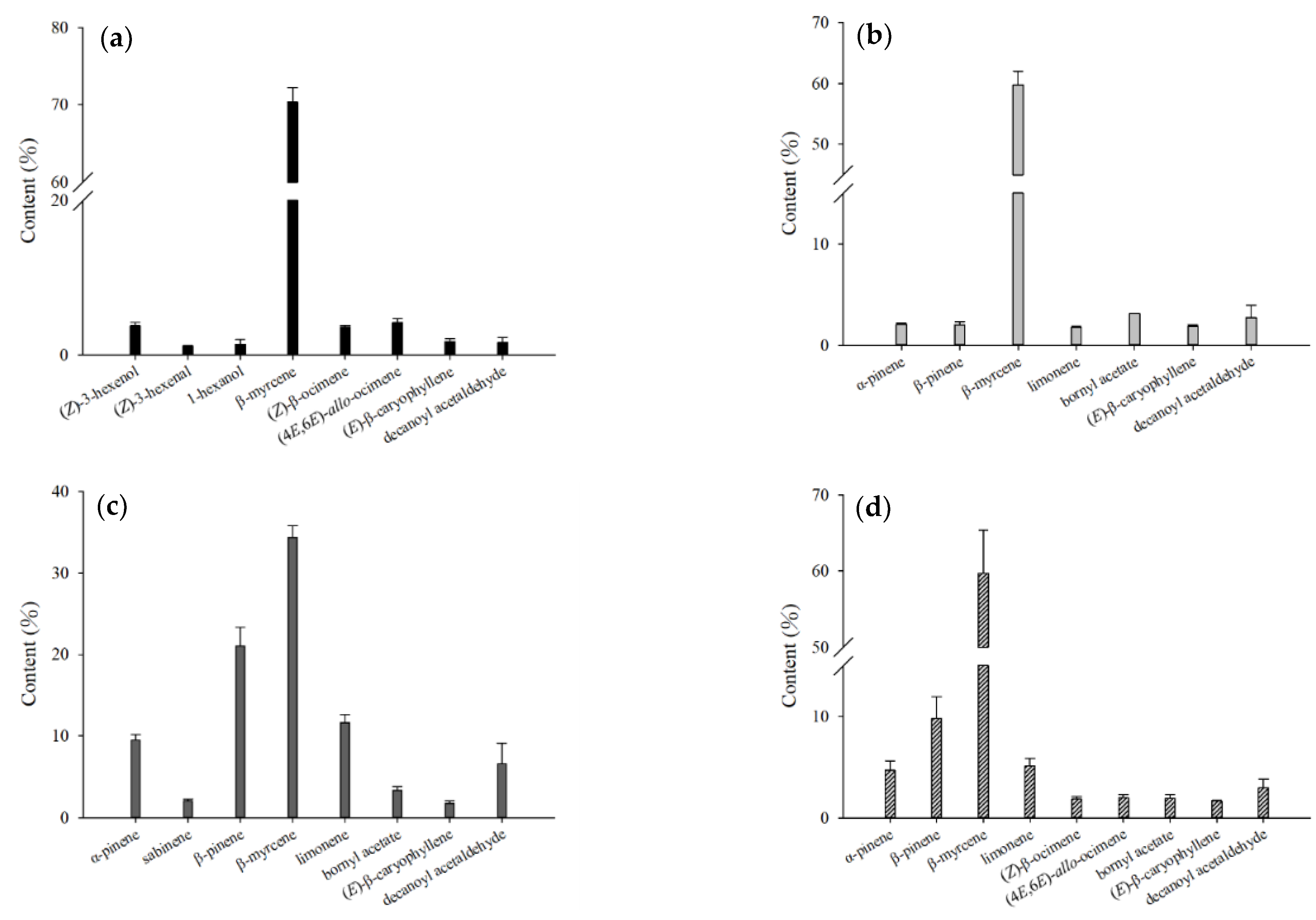
Analysis of fresh H. cordata samples using HS-SPME found that the main volatile compounds in the leaves were (Z)-3-hexenal, (Z)-3-hexenol, 1-hexenol, β-myrcene, (Z)-β-ocimene, (4E,6E)-allo-ocimene, (E)-β-caryophyllene, and decanoyl acetaldehyde. The main volatile compounds in the stem were α-pinene, β-pinene, β-myrcene, limonene, bornyl acetate, (E)-β-caryophyllene, and decanoyl acetaldehyde. The main volatile compounds in the rhizomes were α-pinene, sabinene, β-pinene, β-myrcene, limonene, bornyl acetate, (E)-β-caryophyllene, and decanoyl acetaldehyde. The main volatile compounds in the whole plant were α-pinene, β-pinene, β-myrcene, limonene, (Z)-β-ocimene, (4E,6E)-allo-ocimene, bornyl acetate, (E)-β-caryophyllene, and decanoyl acetaldehyde. β-myrcene had the highest content within all samples (Figure 4). Comparing the composition of leaves, stems, and rhizomes, the content of (Z)-3-hexenal, (Z)-3-hexenol, 1-hexenol, β-myrcene, (Z)-β-ocimene, and (4E,6E)-allo-ocimene in leaves was significantly higher than in the other parts of the plant. The rhizomes contained the highest content of α-pinene, sabinene, β-pinene, limonene, bornyl acetate, and decanoyl acetaldehyde. The stem had no components that were significantly higher than those of the leaves and rhizomes (Table 1).
Figure 4.
Comparison of the contents of the major volatile compounds from different parts of fresh H. cordata analyzed by HS-SPME: (a) leaf; (b) stem; (c) rhizome; and (d) whole plant.
Table 1.
Comparison of the content of volatile compounds from different parts of H. cordata and their essential oils, analyzed by HS-SPME and direct injection.
The essential oils from different parts of H. cordata were extracted by steam distillation and then analyzed by HS-SPME and direct injections. The results showed that the main volatile components of essential oil from the leaves, as analyzed by HS-SPME, were (E)-2-hexenal, β-myrcene, limonene, (Z)-β-ocimene, (E)-β-ocimene, and (4E,6E)-allo-ocimene; in the stems were α-pinene, camphene, β-myrcene, limonene, (4E,6E)-allo-ocimene, and bornyl acetate; and in the rhizomes were α-pinene, camphene, β-pinene, β-myrcene, limonene, bornyl acetate, and 2-undecanone. In the whole plant were α-pinene, camphene, β-pinene, β-myrcene, limonene, (Z)-β-ocimene, (4E,6E)-allo-ocimene, bornyl acetate, and 2-undecanone (Figure 5). Among the three parts, the leaves contained the highest content of (Z)-3-hexenal, (E)-2-hexenal, (Z)-β-ocimene, (E)-β-ocimene, and (4E,6E)-allo-ocimene; the stem had the highest content of camphene, β-myrcene, and bornyl acetate, and the rhizome contained the highest content of α-pinene, β-pinene, limonene, and 2-undecanone.
Figure 5.
Comparison of the contents of the major volatile compounds in essential oil from different parts of fresh H. cordata analyzed by HS-SPME: (a) leaf; (b) stem; (c) rhizome; and (d) whole plant.
The essential oils of leaves analyzed by direct injection were mainly composed of β-myrcene, (Z)-β-ocimene, bornyl acetate, 2-undecanone and 2-tridecanone; in the stems were α-pinene, β-pinene, β-myrcene, limonene, (Z)-β-ocimene, bornyl acetate, 2-undecanone, geranyl acetate, (E)-β-caryophyllene, nerolidol, and 2-tridecanone; in the rhizomes were α-pinene, β-pinene, β-myrcene, limonene, bornyl acetate, 2-undecanone, (E)-β-caryophyllene, decanoyl acetaldehyde, and 2-tridecanone; and in the whole plant were α-pinene, β-pinene, β-myrcene, limonene, (Z)-β-ocimene, bornyl acetate, 2-undecanone, (E)-β-caryophyllene, and 2-tridecanone (Figure 6). After comparing the components of leaves, stems, and rhizomes, the leaves contained the highest content of β-myrcene, (Z)-β-ocimene, and 2-tridecanone; the stems had the highest content of bornyl acetate, geranyl acetate, (E)-β-caryophyllene, and nerolidol; and the rhizomes contained the highest amounts of α-pinene, β-pinene, limonene, 2-undecanone, and decanoyl acetaldehyde.
Figure 6.
Comparison of the contents of the major volatile compounds in essential oil from different parts of fresh H. cordata analyzed by direct injection: (a) leaf; (b) stem; (c) rhizome; and (d) whole plant.
Comparing the results from different parts of fresh plants with HS-SPME, there was more (Z)-3-hexenol, 1-hexanol, (E)-2-hexenal, (2E,4E)-hexadienal, α-cubebene, and (Z,E)-α-farnesene in the leaves than in other parts. Linalool, perilla alcohol, nerolidol, and caryophyllene oxide only appeared in the stems, and n-nonanyl acetate, p-cymenene, α-thujene, γ-terpinene, terpinene-4-ol, α-terpinyl acetate, and neryl acetate were only identified in rhizomes.
When comparing the results of the essential oils from the three parts analyzed by HS-SPME, the components that were only identified in the leaves included (Z)-3-hexenal, β-terpinene, 4-ethyl-1,2-dimethylbenzene, α-copaene, alloaromadendrene, (Z,E)-α-farnesene, β-selinene, β-bisabolene, cadina-1,4-diene, and β-damascenone. The only compound identified in the stems was borneol. The components that were only identified in rhizomes included 1-nonanol, 1-decanol, hexanal, α-campholenal, decanoyl acetaldehyde, 2-nonanone, 3-dodecanone, α-thujene, δ-3-carene, geranial, α-terpinyl acetate, neryl acetate, carvone, (E)-limonene oxide, and caryophyllene oxide.
The results of analyzing essential oils by direct injection showed that compounds only identified in the leaves included 3-methyl-2-buten-1-ol, (Z)-3-hexenal, hexanal, (2E,4E)-hexadienal, α-cubebene, and β-damascenone. The compounds only appearing in the stems were dodecanal, methyl salicylate, and borneol. The compounds only found in the rhizomes were 1-nonanol, 1-decanol, α-campholenal, decanal, 2-nonanone, 3-dodecanone, α-fenchene, terpinen-4-ol, geranial, fenchyl acetate, (2E,6E)-farnesyl acetate, carvone, and (E)-limonene oxide.
Asakawa et al. [18] analyzed the volatile components of different parts of H. cordata and showed that the main component of each part was 4-tricancanone. The main monoterpene in rhizomes and roots was β-pinene, while in flowers, leaves, and stems, it was β-myrcene. 1-decanal is the main polyketide compound in leaves and stems. Haghighi et al. [27] studied the effects of ecotypes and different plant parts (leaves, flowers, and fruits) on essential oil from Vitex pseudo-negundo. The results showed that there were significant differences in the yield and chemical characteristics of the essential oils in different plant parts. Zribi et al. [28] analyzed the volatile components and essential oils of Tunisian Borago officinalis L. and showed that the main components of different parts of this plant differed; octanal was the main component in the flowers, while in leaves, it was nonanal.
2.2. Comparison of Different Extractions
Comparing HS-SPME of fresh plants, HS-SPME of essential oil, and direct injection of essential oil, HS-SPME from fresh plants produced the smallest number of volatile compounds, followed by HS-SPME of essential oil, while direct injection of essential oil produced the most. Analysis of fresh plants by HS-SPME identified aliphatic alcohols and aliphatic aldehydes of low molecular weight, while analysis of essential oils by HS-SPME identified the highest content of monoterpenes. Direct injection of essential oils could identify more aliphatic ketones, sesquiterpenes, and terpene esters (Table 2).
Table 2.
Concentrations of chemical groups from different parts of H. cordata as analyzed by different extractions.
Farag and Wessjohann [29] compared the volatile compound profiles of Glycyrrhiza glabra L. roots extracted by SPME and steam distillation. The results showed that SPME could easily extract several small molecular weight monoterpenes, while more compounds could be identified in the essential oils extracted by steam distillation, including the volatiles generated by chemical reactions during the heating process. Peng et al. [30] analyzed the volatile components of kumquat (Fortunella margarita Swingle) and showed that HS-SPME/GC could identify a higher proportion of monoterpenes but fewer sesquiterpenes than that by DI/GC. Gao et al. [31] compared different extractions to volatile components of Pu-erh ripe tea and observed that HS-SPME was beneficial for the extraction of highly volatile compounds, such as low molecular weight alcohols, aldehydes, ketones, and hydrocarbons.
Yang et al. [32] compared HS-SPME with conventional extraction in the analysis of Melia azedarach, and Kung et al. [33] analyzed Platostoma palustre (Blume) and pointed out that HS-SPME is a powerful analytical tool that can complement traditional methods. Overall, the results of these three methods showed all have high monoterpene content. Direct injection can be used to analyze more classes of volatile compounds, especially the larger molecular weight components, including important components of H. cordata such as 2-undecanone, and decanoyl acetaldehyde.
H. cordata has long been used as an edible vegetable and in traditional medicine [2]. Due to its pharmacological properties, it has been gradually applied in many fields, such as medicine, health food, preservatives and cosmetics, with great potential for development.
3. Materials and Methods
3.1. Plant Materials
H. cordata used in this study was provided by the Taoyuan District Agricultural Research and Extension Station, Council of Agriculture, Executive Yuan (24°57′09.3″ N 121°01′42.4″ E, altitude = 39 m). The experiment was designed with three replicates. Three parts (leaves, stems, and rhizomes) and fresh whole H. cordata plants were collected for experiments. Precisely 3 kg of voucher specimens for each batch were dried and deposited. A herbarium sample (No. TY 1406) was lodged at the Flavor and Fragrance Research Laboratory at China Medical University, Taiwan.
3.2. Analytical Methods
3.2.1. Extraction of Volatile Compounds from Fresh H. cordata by HS-SPME
After homogenizing (Electrolux, ECG120S) the samples for 15 s, 3 g were weighed and placed in a 22 mL cylindrical glass bottle (Supelco Co., No. 27170, Bellafonte, PA, USA) then sealed with Teflon rubber pad. The fiber was coated with 50/30 μm DVB/CAR/PDMS (Supelco) and extracted for 30 min. The extraction temperature was room temperature. After the extraction was complete, the fiber was inserted into the inlet of the GC or GC-MS and desorbed for 20 min. This experiment was repeated in triplicate.
3.2.2. Extraction of Essential Oil from H. cordata
A fresh H. cordata sample (600 g) was washed with clean water, and then 1800 mL of distilled water was added to homogenize (TATUNG, TJC-2200) for 30 s. The homogenate was then placed in a 5 L round-bottom flask for steam distillation. The extraction time was 3 h, and the extract was stored at 4 °C until analysis. The experiment was repeated in triplicates. The yields of essential oils from different parts of H. cordata were 0.09% (leaves), 0.02% (stems), 0.04% (rhizomes), and 0.04% (whole plants).
3.2.3. Gas Chromatography-Flame Ionization Detector (GC-FID)
GC was performed with an Agilent Model 7890A GC (Santa Clara, CA, USA), with a 60 m × 0.25 mm id Agilent DB-1 fused-silica capillary non-polar column with a film thickness of 0.25 μm; the HS-SPME injection mode was splitless, and the injection mode of direct injection was split. The GC heating conditions were as follows: the initial temperature was maintained at 40 °C for 1 min, then raised to 150 °C at 5 °C/min, maintained for 1 min, then raised to 200 °C at 10 °C/min and maintained for 11 min. The inlet temperature was 250 °C, the detector temperature was 300 °C, and a flame ionization detector (FID) was used for detection. The carrier gas was nitrogen at a flow rate of 1 mL/min.
3.2.4. Gas Chromatography-Mass Spectrometry (GC-MS)
GC-MS was conducted with an Agilent Model 5977A quadrupole mass spectrometer (Mass Selective Detector, MSD) coupled to an Agilent Model 7890B GC (Palo Alto, CA, USA). The operating conditions and column were the same as in Section 3.2.3. The carrier gas was helium, the ion source temperature of the MSD was 230 °C, and the electron energy was 70 eV. The transfer line was set at 250 °C. The mass range was 30–350 m/z. The quadrupole temperature was 150 °C. The mass spectra data were compared and judged using the Wiley 7N mass spectrum library.
3.2.5. Analysis of Essential Oil from H. cordata
For GC, 1 µL of essential oil was injected, while 0.5 µL was injected for GC-MS. For HS-SPME, 0.1 mL of the essential oil was added to a 4 mL cylindrical glass bottle (Supelco Co., No. 27136) with a Teflon rubber pad. Additionally, 50/30 μm DVB/CAR/PDMS fiber was used for extraction for 5 min, and the extraction temperature was room temperature. The fiber was then inserted into the inlet of the GC or GC-MS. All experiments were performed in triplicates.
3.2.6. Retention Index (RI) Comparison
The GC retention index of the volatile components in this experiment was based on a mixture of C5–C25 n-alkane standards (Sigma-Aldrich, St. Louis, MO, USA) and the GC retention time was used as a reference under the same conditions. The RI was calculated according to the method described by Curvers et al. in reference [34].
3.2.7. Relative Percentage Calculation
After volatile components were identified, the percentage composition was calculated using the peak area normalization measurements. The formula is as follows:
In addition to the volatile compounds of the sample, HS-SPME will also adsorb the impurity of the bottle or any silicon-containing coating. The total percentage in the above tables did not reach 100%, due to deducted from these impurities.
4. Conclusions
The volatile compounds of H. cordata leaves, stems, rhizomes, and whole plants were compared. The leaves of H. cordata had the highest essential oil content, but the rhizomes had higher 2-undecanone and decanoyl acetaldehyde content. Therefore, using rhizomes as raw materials is beneficial for extracting key components of H. cordata. Additionally, HS-SPME and direct injection of essential oil are highly complementary. Together, they cover the full range of volatilities and trace components and provide relatively complete data on the volatile components of H. cordata.
Author Contributions
Conceptualization, C.-H.L., C.-H.H., and H.-C.C.; Formal analysis, L.-Y.L. and C.-S.W.; Investigation, C.-H.H. and H.-C.C.; Resources, C.-H.L. and L.K.C.; Data curation, L.-Y.L.; Writing—original draft, C.-H.L., L.K.C., C.-H.H., and H.-C.C.; Writing—review and editing, C.-H.L., L.K.C., L.-P.C., C.-H.H., and H.-C.C. All authors have read and agreed to the published version of the manuscript.
Funding
This work was supported by a research grant from the China Medical University (Taiwan) (CMU110-S-04).
Institutional Review Board Statement
Not applicable.
Informed Consent Statement
Not applicable.
Data Availability Statement
Data sharing not applicable. No new data were created or analyzed in this study. Data sharing is not applicable to this article.
Acknowledgments
This study was granted financial support from the Council of Agriculture, Executive Yuan (Taiwan) 111AS-4.2.2-FD-Z1 (1), and Ministry of Education (Taiwan) (1038142*), and it is gratefully acknowledged.
Conflicts of Interest
The authors declare no conflict of interest.
Sample Availability
Samples of the compounds are not available from the authors.
References
- Fu, J.; Dai, L.; Lin, Z.; Lu, H. Houttuynia cordata Thunb.: A review of phytochemistry and pharmacology and quality control. Chin. Med. 2013, 4, 101–123. [Google Scholar] [CrossRef]
- Yang, L.; Jiang, J.G. Bioactive components and functional properties of Hottuynia cordata and its applications. Pharm. Biol. 2009, 47, 1154–1161. [Google Scholar] [CrossRef]
- Kumar, M.; Prasad, S.K.; Hemalatha, S. A current update on the phytopharmacological aspects of Houttuynia cordata Thunb. Pharmacogn. Rev. 2014, 8, 22–35. [Google Scholar] [CrossRef]
- Hayashi, K.; Kamiya, M.; Hayashi, T. Virucidal effects of the steam distillate from Houttuynia cordata and its components on HSV-1, Influenza Virus, and HIV. Planta Med. 1995, 61, 237–241. [Google Scholar] [CrossRef]
- Nuengchamnong, N.; Krittasilp, K.; Ingkaninan, K. Rapid screening and identification of antioxidants in aqueous extracts of Houttuynia cordata using LC–ESI–MS coupled with DPPH assay. Food Chem. 2009, 117, 750–756. [Google Scholar] [CrossRef]
- Yang, L.; Ji, W.; Zhong, H.; Wang, L.; Zhu, X.; Zhu, J. Anti-tumor effect of volatile oil from Houttuynia cordata Thunb. on HepG2 cells and HepG2 tumor-bearing mice. RSC Adv. 2019, 9, 31517–31526. [Google Scholar] [CrossRef]
- Lou, Y.; Guo, Z.; Zhu, Y.; Kong, M.; Zhang, R.; Lu, L.; Wu, F.; Liu, Z.; Wu, J. Houttuynia cordata Thunb. and its bioactive compound 2-undecanone significantly suppress benzo[a]pyrene-induced lung tumorigenesis by activating the Nrf2-HO-1/NQO-1 signaling pathway. J. Exp. Clin. Cancer Res. 2019, 38, 1–21. [Google Scholar] [CrossRef]
- Li, W.; Yang, F.; Zhan, H.; Liu, B.; Cai, J.; Luo, Y.; Zhou, X. Houttuynia cordata extract ameliorates bladder damage and improves bladder symptoms via anti-inflammatory effect in rats with interstitial cystitis. Evid. Based Complement. Altern. Med. 2020, 2020, 9026901. [Google Scholar] [CrossRef]
- Rehman, R.; Hanif, M.A.; Mushtaq, Z.; Mochona, B.; Qi, X. Biosynthetic factories of essential oils: The aromatic plants. Nat. Prod. Chem. Res. 2016, 4, 1–11. [Google Scholar] [CrossRef]
- Elshafie, H.S.; Camele, I. An overview of the biological effects of some Mediterranean essential oils on human health. BioMed Res. Int. 2017, 2017, 9268468. [Google Scholar] [CrossRef]
- Manion, C.R.; Widder, R.M. Essentials of essential oils. Am. J. Health Syst. Pharm. 2017, 74, e153–e162. [Google Scholar] [CrossRef] [PubMed]
- Oh, S.Y. An effective quality control of pharmacologically active volatiles of Houttuynia cordata Thunb. by fast gas chromatography-surface acoustic wave sensor. Molecules 2015, 20, 10298–10312. [Google Scholar] [CrossRef] [PubMed]
- Kosuge, T. Structure of an antimicrobial substance isolated from Houttuynia cordata Thunb. Yakugaku Zasshi 1952, 72, 1227–1231. [Google Scholar] [CrossRef] [PubMed][Green Version]
- Dong, X.Y.; Jin, Y.; Yang, L.P. Systematic analysis of components and contents in Houttuynia cordata Thunb. Tradit. Med. Res. 2017, 2, 176–188. [Google Scholar] [CrossRef]
- Liang, M.; Qi, M.; Zhang, C.; Zhou, S.; Fu, R.; Huang, J. Gas chromatography–mass spectrometry analysis of volatile compounds from Houttuynia cordata Thunb. after extraction by solid-phase microextraction, flash evaporation and steam distillation. Anal. Chim. Acta 2005, 531, 97–104. [Google Scholar] [CrossRef]
- Chen, J.; Wang, W.; Shi, C.; Fang, J. A comparative study of sodium houttuyfonate and 2-undecanone for their in vitro and in vivo anti-inflammatory activities and stabilities. Int. J. Mol. Sci. 2014, 15, 22978–22994. [Google Scholar] [CrossRef]
- Yang, Z.N.; Luo, S.Q.; Ma, J.; Wu, D.; Hong, L.; Yu, Z.W. GC-MS analyses of the volatiles of Houttuynia cordata Thunb. Pak. J. Pharm. Sci. 2016, 29, 1591–1600. [Google Scholar]
- Asakawa, Y.; Tomiyama, K.; Sakurai, K.; Kawakami, Y.; Yaguchi, Y. Volatile compounds from the different organs of Houttuynia cordata and Litsea cubeba (L. citriodora). J. Oleo Sci. 2017, 66, 889–895. [Google Scholar] [CrossRef]
- Xu, Y.W.; Cai, Q.R.; Zhao, D.; Wu, W. Monoterpene composition of flower and bract from Houttuynia cordata. J. Med. Plants Res. 2011, 5, 3883–3886. [Google Scholar]
- Chen, H.C.; Tsai, Y.J.; Lin, L.Y.; Wu, C.S.; Tai, S.P.; Chen, Y.C.; Chiang, H.M. Volatile compounds from roots, stems and leaves of Angelica acutiloba growing in Taiwan. Nat. Prod. Commun. 2014, 9, 583–586. [Google Scholar] [CrossRef]
- Ogunwande, I.A.; Olawore, N.O.; Adeleke, K.A.; Ekundayo, O.; Koenig, W.A. Chemical composition of the leaf volatile oil of Psidium guajava L. growing in Nigeria. Flavour Fragr. J. 2003, 18, 136–138. [Google Scholar] [CrossRef]
- Babushok, V.I.; Linstrom, P.J.; Zenkevich, I.G. Retention indices for frequently reported compounds of plant essential oils. J. Phys. Chem. Ref. Data 2011, 40, 043101. [Google Scholar] [CrossRef]
- PubChem. Available online: https://pubchem.ncbi.nlm.nih.gov/ (accessed on 24 November 2022).
- NIST Chemistry WebBook. Available online: https://webbook.nist.gov/chemistry/ (accessed on 24 November 2022).
- The Pherobase. Available online: http://www.pherobase.com (accessed on 24 November 2022).
- Terpenoids Library List. Available online: http://massfinder.com/wiki/Terpenoids_Library_List (accessed on 24 November 2022).
- Haghighi, T.M.; Saharkhiz, M.J.; Khosravi, A.R.; Fard, F.R.; Moein, M. Essential oil content and composition of Vitex pseudo-negundo in Iran varies with ecotype and plant organ. Ind. Crops Prod. 2017, 109, 53–59. [Google Scholar] [CrossRef]
- Zribi, I.; Bleton, J.; Moussa, F.; Abderrabba, M. GC-MS analysis of the volatile profile and the essential oil compositions of Tunisian Borago Officinalis L.: Regional locality and organ dependency. Ind. Crops Prod. 2019, 129, 290–298. [Google Scholar] [CrossRef]
- Farag, M.A.; Wessjohann, L.A. Volatiles profiling in medicinal licorice roots using steam distillation and solid-phase microextraction (SPME) coupled to chemometrics. J. Food Sci. 2012, 77, C1179–C1184. [Google Scholar] [CrossRef]
- Peng, L.W.; Sheu, M.J.; Lin, L.Y.; Wu, C.T.; Chiang, H.M.; Lin, W.H.; Lee, M.C.; Chen, H.C. Effect of heat treatments on the essential oils of kumquat (Fortunella margarita Swingle). Food Chem. 2013, 136, 532–537. [Google Scholar] [CrossRef]
- Gao, X.; Lv, S.; Wu, Y.; Li, J.; Zhang, W.; Meng, W.; Wang, C.; Meng, Q. Volatile components of essential oils extracted from Pu-erh ripe tea by different extraction methods. Int. J. Food Prop. 2017, 20, S240–S253. [Google Scholar] [CrossRef]
- Yang, Y.; Xiao, Y.; Liu, B.; Fang, X.; Yang, W.; Xu, J. Comparison of headspace solid-phase microextraction with conventional extraction for the analysis of the volatile components in Melia azedarach. Talanta 2011, 86, 356–361. [Google Scholar] [CrossRef]
- Kung, T.L.; Chen, Y.J.; Chao, L.K.; Wu, C.S.; Lin, L.Y.; Chen, H.C. Analysis of Volatile Constituents in Platostoma palustre (Blume) Using Headspace Solid-Phase Microextraction and Simultaneous Distillation-Extraction. Foods 2019, 8, 415. [Google Scholar] [CrossRef]
- Curvers, J.; Rijks, J.; Cramers, C.; Knauss, K.; Larson, P. Temperature Programmed Retention Indices: Calculation from Isothermal Data Part 1: Theory. J. High Resolut. Chromatogr. Chromatogr. Commun. 1985, 8, 607–610. [Google Scholar] [CrossRef]
Publisher’s Note: MDPI stays neutral with regard to jurisdictional claims in published maps and institutional affiliations. |
© 2022 by the authors. Licensee MDPI, Basel, Switzerland. This article is an open access article distributed under the terms and conditions of the Creative Commons Attribution (CC BY) license (https://creativecommons.org/licenses/by/4.0/).






