Construction of Magnetic Composite Bacterial Carrier and Application in 17β-Estradiol Degradation
Abstract
:1. Introduction
2. Results and Discussion
2.1. PVA + SA Total Concentration and P:S
2.2. Appropriate Nano-Fe3O4, Carbon, and Nitrogen Sources
2.3. Degradation Performance and Reusability of Immobilized Bacteria
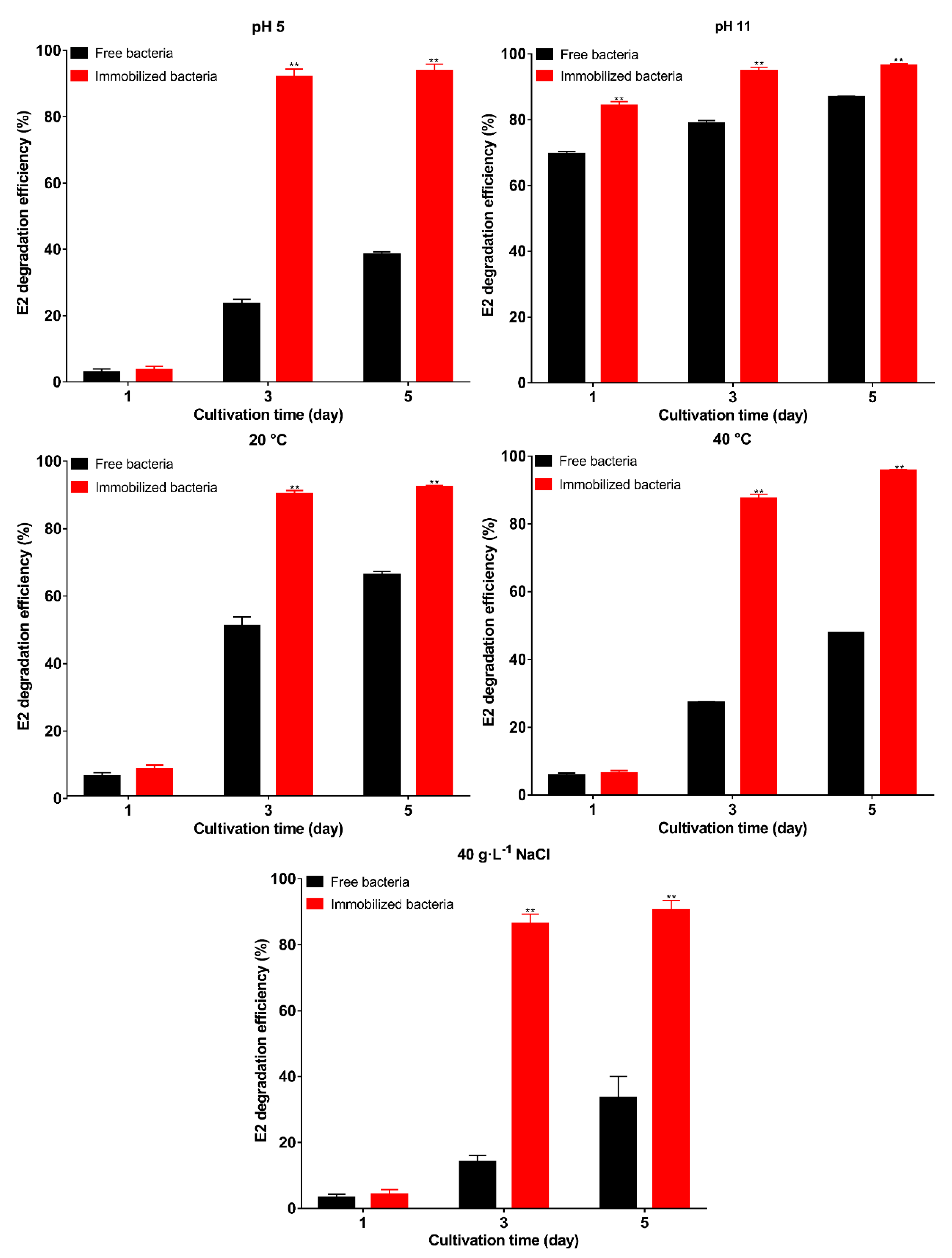
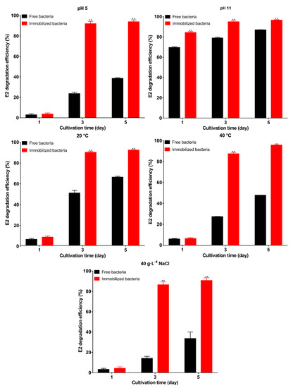
2.4. Protective Effect of Immobilized Bacteria and the Degradation Effect in Wastewater
3. Materials and Methods
3.1. Reagents and Mediums
3.2. Selection of PVA + SA Total Concentration and P:S
3.3. Selection of Nano-Fe3O4, Carbon, and Nitrogen Sources
3.4. Evaluate E2 Degradation Performance and Reusability of Immobilized Bacteria
3.5. Evaluate the Protective Properties of Immobilized Bacteria and the Application in Wastewater
3.6. Devices and Analytical Methods
4. Conclusions
Supplementary Materials
Author Contributions
Funding
Institutional Review Board Statement
Informed Consent Statement
Data Availability Statement
Acknowledgments
Conflicts of Interest
Sample Availability
References
- Yu, C.P.; Deeb, R.; Chu, K.H. Microbial degradation of steroidal estrogens. Chemosphere 2013, 91, 1225–1235. [Google Scholar] [CrossRef] [PubMed]
- Adeel, M.; Song, X.; Wang, Y.; Francis, D.; Yang, Y. Environmental impact of estrogens on human, animal and plant life: A critical review. Environ. Int. 2017, 99, 107–119. [Google Scholar] [CrossRef] [PubMed]
- Lange, I.G.; Daxenberger, A.; Schiffer, B.; Witters, H.; Ibarreta, D.; Meyer, H.H.D. Sex hormones originating from different livestock production systems: Fate and potential disrupting activity in the environment. Anal. Chim. Acta 2002, 473, 27–37. [Google Scholar] [CrossRef]
- Tan, R.; Liu, R.; Li, B.; Liu, X.; Li, Z. Typical Endocrine Disrupting Compounds in Rivers of Northeast China: Occurrence, Partitioning, and Risk Assessment. Arch. Environ. Contam. Toxicol. 2018, 75, 213–223. [Google Scholar] [CrossRef] [PubMed]
- Li, Y.; Gao, S.; Liu, S.; Liu, B.; Zhang, X.; Gao, M.; Cheng, L.; Hu, B. Excretion of manure-borne estrogens and androgens and their potential risk estimation in the Yangtze River Basin. J. Environ. Sci. 2015, 37, 110–117. [Google Scholar] [CrossRef] [PubMed]
- Iwanowicz, L.R.; Blazer, V.S.; Guy, C.P.; Pinkney, A.E.; Mullican, J.E.; Alvarez, D.A. Reproductive health of bass in the Potomac, USA, drainage: Part 1. Exploring the effects of proximity to wastewater treatment plant discharge. Environ. Toxicol. Chem. 2009, 28, 1072–1083. [Google Scholar] [CrossRef]
- Pratush, A.; Yang, Q.; Peng, T.; Huang, T.; Hu, Z. Identification of non-accumulating intermediate compounds during estrone (E1) metabolism by a newly isolated microbial strain BH2-1 from mangrove sediments of the South China Sea. Environ. Sci. Pollut. Res. 2020, 27, 5097–5107. [Google Scholar] [CrossRef]
- Aguilar-Pérez, K.M.; Avilés-Castrillo, J.I.; Ruiz-Pulido, G.; Medina, D.I.; Parra-Saldivar, R.; Iqbal, H.M.N. Nanoadsorbents in focus for the remediation of environmentally-related contaminants with rising toxicity concerns. Sci. Total Environ. 2021, 779, 146465. [Google Scholar] [CrossRef]
- Zhang, C.; Li, Y.; Wang, C.; Niu, L.; Cai, W. Occurrence of endocrine disrupting compounds in aqueous environment and their bacterial degradation: A review. Crit. Rev. Environ. Sci. Technol. 2016, 46, 1–59. [Google Scholar] [CrossRef]
- Budeli, P.; Ekwanzala, M.D.; Unuofin, J.O.; Momba, M.N.B. Endocrine disruptive estrogens in wastewater: Revisiting bacterial degradation and zymoremediation. Environ. Technol. Innov. 2021, 21, 101248. [Google Scholar] [CrossRef]
- Jiang, L.; Yang, J.; Chen, J. Isolation and characteristics of 17beta-estradiol-degrading Bacillus spp. strains from activated sludge. Biodegradation 2010, 21, 729–736. [Google Scholar] [CrossRef]
- Kurisu, F.; Ogura, M.; Saitoh, S.; Yamazoe, A.; Yagi, O. Degradation of natural estrogen and identification of the metabolites produced by soil isolates of Rhodococcus sp. and Sphingomonas sp. J. Biosci. Bioeng. 2010, 109, 576–582. [Google Scholar] [CrossRef]
- Li, S.; Liu, J.; Sun, K.; Yang, Z.; Ling, W. Degradation of 17β-estradiol by Novosphingobium sp. ES2-1 in aqueous solution contaminated with tetracyclines. Environ. Pollut. 2020, 260, 114063. [Google Scholar] [CrossRef]
- Suzuki, K.; Hirai, H.; Murata, H.; Nishida, T. Removal of estrogenic activities of 17β-estradiol and ethinylestradiol by ligninolytic enzymes from white rot fungi. Water Res. 2003, 37, 1972–1975. [Google Scholar] [CrossRef]
- Sun, K.; Cheng, X.; Yu, J.; Chen, L.; Wei, J.; Chen, W.; Wang, J.; Li, S.; Liu, Q.; Si, Y. Isolation of Trametes hirsuta La-7 with high laccase-productivity and its application in metabolism of 17β-estradiol. Environ. Pollut. 2020, 263, 114381. [Google Scholar] [CrossRef]
- Kong, L.; Gao, Y.; Zhou, Q.; Zhao, X.; Sun, Z. Biochar accelerates PAHs biodegradation in petroleum-polluted soil by biostimulation strategy. J. Hazard. Mater. 2018, 343, 276–284. [Google Scholar] [CrossRef]
- Zhang, B.; Zhang, L.; Zhang, X. Bioremediation of petroleum hydrocarbon-contaminated soil by petroleum-degrading bacteria immobilized on biochar. RSC Adv. 2019, 9, 35304–35311. [Google Scholar] [CrossRef]
- Bouabidi, Z.B.; El-Naas, M.H.; Zhang, Z. Immobilization of microbial cells for the biotreatment of wastewater: A review. Environ. Chem. Lett. 2019, 17, 241–257. [Google Scholar] [CrossRef]
- Liu, J.; Yang, M.; Wang, Y.; Qu, L.; Zhong, G. Enhanced diuron remediation by microorganism-immobilized silkworm excrement composites and their impact on soil microbial communities. J. Hazard. Mater. 2019, 376, 29–36. [Google Scholar] [CrossRef]
- Beltrán-Flores, E.; Pla-Ferriol, M.; Martínez-Alonso, M.; Gaju, N.; Blánquez, P.; Sarrà, M. Fungal bioremediation of agricultural wastewater in a long-term treatment: Biomass stabilization by immobilization strategy. J. Hazard. Mater. 2022, 439, 129614. [Google Scholar] [CrossRef]
- Deng, J.; Jia, M.; Zeng, Y.Q.; Li, W.; He, J.; Ren, J.; Bai, J.; Zhang, L.; Li, J.; Yang, S. Enhanced treatment of organic matter in slaughter wastewater through live Bacillus velezensis strain using nano zinc oxide microsphere. Environ. Pollut. 2022, 292, 118306. [Google Scholar] [CrossRef] [PubMed]
- Liu, J.; Li, S.; Li, X.; Gao, Y.; Ling, W. Removal of estrone, 17 β-estradiol, and estriol from sewage and cow dung by immobilized Novosphingobium sp. ARI-1. Environ. Technol. 2018, 39, 2423–2433. [Google Scholar] [CrossRef] [PubMed]
- Ma, C.; Qin, D.; Sun, Q.; Zhang, F.; Liu, H.; Yu, C.-P. Removal of environmental estrogens by bacterial cell immobilization technique. Chemosphere 2016, 144, 607–614. [Google Scholar] [CrossRef]
- Wang, J.; Fan, Y.C.; Chen, Y.P. Nitrogen removal performance and characteristics of gel beads immobilized anammox bacteria under different PVA:SA ratios. Water Environ. Res. 2021, 93, 1627–1639. [Google Scholar] [CrossRef] [PubMed]
- Jegal, J.; Oh, N.u.; Lee, K.H. Preparation and characterization of PVA/SA composite nanofiltration membranes. J. Appl. Polym. Sci. 2015, 77, 347–354. [Google Scholar] [CrossRef]
- Kaur, P.; Gondil, V.S.; Chhibber, S. A novel wound dressing consisting of PVA-SA hybrid hydrogel membrane for topical delivery of bacteriophages and antibiotics. Int. J. Pharmaceut. 2019, 572, 118779. [Google Scholar] [CrossRef]
- Chen, W.; Zhang, H.; Zhang, M.; Shen, X.; Zhang, X.; Wu, F.; Hu, J.; Wang, B.; Wang, X. Removal of PAHs at high concentrations in a soil washing solution containing TX-100 via simultaneous sorption and biodegradation processes by immobilized degrading bacteria in PVA-SA hydrogel beads. J. Hazard. Mater. 2021, 410, 124533. [Google Scholar] [CrossRef]
- Zheng, L.; Ma, X.; Lang, D.; Zhang, X.; Zhou, L.; Wang, L.; Zhang, X. Encapsulation of Bacillus pumilus G5 from polyvinyl alcohol-sodium alginate (PVA-SA) and its implications in improving plant growth and soil fertility under drought and salt soil conditions. Int. J. Biol. Macromol. 2022, 209, 231–243. [Google Scholar] [CrossRef]
- Ahmad, H.A.; Ni, S.-Q.; Ahmad, S.; Zhang, J.; Ali, M.; Ngo, H.H.; Guo, W.; Tan, Z.; Wang, Q. Gel immobilization: A strategy to improve the performance of anaerobic ammonium oxidation (anammox) bacteria for nitrogen-rich wastewater treatment. Bioresour. Technol. 2020, 313, 123642. [Google Scholar] [CrossRef]
- Wang, Y.; Su, J.; Ali, A.; Chang, Q.; Bai, Y.; Gao, Z. Enhanced nitrate, manganese, and phenol removal by polyvinyl alcohol/sodium alginate with biochar gel beads immobilized bioreactor: Performance, mechanism, and bacterial diversity. Bioresour. Technol. 2022, 348, 126818. [Google Scholar] [CrossRef]
- Wen, Y.; Xu, X.; Wang, B.; He, Z.; Bai, J.; Chen, X.; Cui, J.; Xu, X. PAHs biodegradation in soil washing effluent by native mixed bacteria embedded in polyvinyl alcohol-sodium alginate-nano alumina gel beads. J. Environ. Manag. 2021, 297, 113415. [Google Scholar] [CrossRef]
- Yu, J.; He, H.; Yang, W.L.; Yang, C.; Zeng, G.; Wu, X. Magnetic bionanoparticles of Penicillium sp. yz11-22N2 doped with Fe3O4 and encapsulated within PVA-SA gel beads for atrazine removal. Bioresour. Technol. 2018, 260, 196–203. [Google Scholar] [CrossRef]
- Ansari, F.; Sobhani, A.; Salavati-Niasari, M. Green synthesis of magnetic chitosan nanocomposites by a new sol–gel auto-combustion method. J. Magn. Magn. Mater. 2016, 410, 27–33. [Google Scholar] [CrossRef]
- Wang, Q.; Wu, X.; Jiang, L.; Fang, C.; Wang, H.; Chen, L. Effective degradation of Di-n-butyl phthalate by reusable, magnetic Fe3O4 nanoparticle-immobilized Pseudomonas sp. W1 and its application in simulation. Chemosphere 2020, 250, 126339. [Google Scholar] [CrossRef]
- Xiong, R.; Yu, X.; Yu, L.; Peng, Z.; Cheng, L.; Li, T.; Fan, P. Biological denitrification using polycaprolactone-peanut shell as slow-release carbon source treating drainage of municipal WWTP. Chemosphere 2019, 235, 434–439. [Google Scholar] [CrossRef]
- Li, H.; Liu, Q.; Dong, H.; Duan, Y.; Zhou, Z.; Zhang, J. Porous solid carbon source-supported denitrification in simulated mariculture wastewater. Environ. Technol. 2021, 42, 1196–1203. [Google Scholar] [CrossRef]
- Bai, X.; Ye, Z.; Li, Y.; Yang, L.; Qu, Y.; Yang, X. Preparation and characterization of a novel macroporous immobilized micro-organism carrier. Biochem. Eng. J. 2010, 49, 264–270. [Google Scholar] [CrossRef]
- Dzionek, A.; Wojcieszyńska, D.; Guzik, U. Natural carriers in bioremediation: A review. Electron. J. Biotechnol. 2016, 23, 28–36. [Google Scholar] [CrossRef]
- Wang, C.; Gu, L.; Ge, S.; Liu, X.; Zhang, X.; Chen, X. Remediation potential of immobilized bacterial consortium with biochar as carrier in pyrene-Cr(VI) co-contaminated soil. Environ. Technol. 2018, 40, 2345–2353. [Google Scholar] [CrossRef]
- Zhang, Y.; Yu, Z.; Hu, Y.; Song, C.; Li, F.; He, W.; Wang, X.; Li, Z.; Lin, H. Immobilization of nitrifying bacteria in magnetic PVA–SA-diatomite carrier for efficient removal of NH4+-N from effluents. Environ. Technol. Innov. 2021, 22, 101407. [Google Scholar] [CrossRef]
- Fang, Y.; Hu, J.; Wang, H.; Chen, D.; Zhang, A.; Wang, X.; Ni, Y. Development of stable agar/carrageenan-Fe3O4-Klebsiella pneumoniae composite beads for efficient phenol degradation. Environ. Res. 2022, 205, 112454. [Google Scholar] [CrossRef] [PubMed]
- Moreno-Castilla, C. Adsorption of organic molecules from aqueous solutions on carbon materials. Carbon 2004, 42, 83–94. [Google Scholar] [CrossRef]
- Noszczyńska, M.; Piotrowska-Seget, Z. A comprehensive study on bisphenol A degradation by newly isolated strains Acinetobacter sp. K1MN and Pseudomonas sp. BG12. Biodegradation 2020, 32, 1–15. [Google Scholar] [CrossRef] [PubMed]
- Pauwels, B.; Wille, K.; Noppe, H.; Brabander, H.D.; Wiele, T.V.D.; Verstraete, W.; Boon, N. 17α-ethinylestradiol cometabolism by bacteria degrading estrone, 17β-estradiol and estriol. Biodegradation 2008, 19, 683–693. [Google Scholar] [CrossRef] [PubMed]
- Guerrero, J.; Guisasola, A.; Baeza, J.A. The nature of the carbon source rules the competition between PAO and denitrifiers in systems for simultaneous biological nitrogen and phosphorus removal. Water Res. 2011, 45, 4793–4802. [Google Scholar] [CrossRef] [PubMed]
- Bai, N.; Wang, S.; Sun, P.; Abuduaini, R.; Zhu, X.; Zhao, Y. Degradation of nonylphenol polyethoxylates by functionalized Fe_3O_4 nanoparticle-immobilized Sphingomonas sp. Y2. Sci. Total Environ. 2018, 615, 462–468. [Google Scholar] [CrossRef] [PubMed]
- Lou, L.; Huang, Q.; Lou, Y.; Lu, J.; Hu, B.; Lin, Q. Adsorption and degradation in the removal of nonylphenol from water by cells immobilized on biochar. Chemosphere 2019, 228, 676–684. [Google Scholar] [CrossRef]
- Ahmad, S.A.; Shamaan, N.A.; Arif, N.M.; Koon, G.B.; Shukor, M.Y.A.; Syed, M.A. Enhanced phenol degradation by immobilized Acinetobacter sp. strain AQ5NOL 1. World J. Microbiol. Biotechnol. 2012, 28, 347–352. [Google Scholar] [CrossRef]
- Fu, X.; Wu, T.; Li, H.; Xue, J.; Sun, J.; Li, L.; Qiao, Y.; Li, C. Study on the preparation conditions and degradation performance of an efficient immobilized microbial agent for marine oil pollution. Environ. Technol. 2022, 43, 2352–2358. [Google Scholar] [CrossRef]
- Umar Mustapha, M.; Halimoon, N.; Wan Johari, W.L.; Abd Shukor, M.Y. Enhanced Carbofuran Degradation Using Immobilized and Free Cells of Enterobacter sp. Isolated from Soil. Molecules 2020, 25, 2771. [Google Scholar] [CrossRef]
- Zhang, C.; Li, J.; Wu, X.; Long, Y.; An, H.; Pan, X.; Li, M.; Dong, F.; Zheng, Y. Rapid degradation of dimethomorph in polluted water and soil by Bacillus cereus WL08 immobilized on bamboo charcoal-sodium alginate. J. Hazard. Mater. 2020, 398, 122806. [Google Scholar] [CrossRef] [PubMed]
- Thanh, B.T.; Sau, N.V.; Ju, H.; Bashir, M.; Jun, H.K.; Phan, T.B.; Ngo, Q.M.; Tran, N.Q.; Hai, T.H.; Van, P.H. Immobilization of Protein A on Monodisperse Magnetic Nanoparticles for Biomedical Applications. J. Nanomater. 2019, 2019, 2182471. [Google Scholar] [CrossRef]
- Kumar, S.; Neeraj; Mishra, V.K.; Karn, S.K. Biodegradation of phenol by free and immobilized Candida tropicalis NPD1401. Afr. J. Biotechnol. 2018, 17, 57–64. [Google Scholar] [CrossRef]
- Chen, C.H.; Whang, L.M.; Pan, C.L.; Yang, C.L.; Liu, P. Immobilization of diesel-degrading consortia for bioremediation of diesel-contaminated groundwater and seawater. Int. Biodeterior. Biodegrad. 2017, 124, 62–72. [Google Scholar] [CrossRef]
- Xue, J.; Wu, Y.; Shi, K.; Xiao, X.; Gao, Y.; Li, L.; Qiao, Y. Study on the degradation performance and kinetics of immobilized cells in straw-alginate beads in marine environment. Bioresour. Technol. 2019, 280, 88–94. [Google Scholar] [CrossRef] [PubMed]
- Li, X.; Deng, Y.; Li, X.; Ma, X.; Wang, J.; Li, J. Integration of Marine Macroalgae (Chaetomorpha maxima) with a Moving Bed Bioreactor for Nutrient Removal from Maricultural Wastewater. Archaea 2020, 2020, 8848120. [Google Scholar] [CrossRef]
- Wu, M.-L.; Zhu, C.-C.; Qi, Y.-Y.; Shi, Y.-X.; Xu, H.-N.; Yang, J.-R. Isolation, identification and degradation characteristics of a 17β-estradiol degrading strain Fusarium sp. KY123915. Huan Jing Ke Xue= Huanjing Kexue 2018, 39, 4802–4808. [Google Scholar] [CrossRef]
- Li, M.; Zhao, X.; Zhang, X.; Wu, D.; Leng, S. Biodegradation of 17β-estradiol by bacterial co-culture isolated from manure. Sci. Rep. 2018, 8, 3787. [Google Scholar] [CrossRef] [Green Version]







| P + S | P:S | Sphericity | Strength | Tailing | Number of Broken | ||||
|---|---|---|---|---|---|---|---|---|---|
| 200 rpm min−1 | pH 5 | pH 11 | 20 °C | 40 °C | |||||
| 2% | 9:1 | − | 80 g | − | 40 | 40 | 40 | 40 | 40 |
| 7:3 | + | 175 g | − | 2 | 3 | 2 | 3 | 0 | |
| 5:5 | + | 480 g | − | 0 | 0 | 0 | 0 | 0 | |
| 3:7 | + | 570 g | − | 0 | 0 | 0 | 0 | 0 | |
| 1:9 | + | 720 g | − | 0 | 0 | 0 | 0 | 0 | |
| 4% | 9:1 | + | 130 g | − | 3 | 0 | 0 | 0 | 0 |
| 7:3 | + | 440 g | − | 0 | 1 | 0 | 0 | 0 | |
| 5:5 | + | 760 g | − | 0 | 0 | 0 | 0 | 0 | |
| 3:7 | − | 1300 g | ++ | 0 | 0 | 0 | 0 | 0 | |
| 1:9 | − | 1845 g | +++ | 0 | 0 | 0 | 0 | 0 | |
| 6% | 9:1 | + | 230 g | − | 1 | 0 | 0 | 0 | 0 |
| 7:3 | + | 650 g | + | 0 | 0 | 0 | 0 | 0 | |
| 5:5 | − | 1050 g | ++ | 0 | 0 | 0 | 0 | 0 | |
| 3:7 | − | 1450 g | ++ | 0 | 0 | 0 | 0 | 0 | |
| 1:9 | − | >2000 g | +++ | 0 | 0 | 0 | 0 | 0 | |
| 8% | 9:1 | + | 300 g | − | 0 | 0 | 0 | 0 | 0 |
| 7:3 | − | 810 g | ++ | 0 | 0 | 0 | 0 | 0 | |
| 5:5 | − | 1450 g | ++ | 0 | 0 | 0 | 0 | 0 | |
| 3:7 | − | 1800 g | +++ | 0 | 0 | 0 | 0 | 0 | |
| 1:9 | − | >2000 g | +++ | 0 | 0 | 0 | 0 | 0 | |
| 10% | 9:1 | + | 350 g | + | 0 | 1 | 0 | 0 | 0 |
| 7:3 | − | 1000 g | ++ | 0 | 0 | 0 | 0 | 0 | |
| 5:5 | − | 1750 g | +++ | 0 | 0 | 0 | 0 | 0 | |
| 3:7 | − | >2000 g | +++ | 0 | 0 | 0 | 0 | 0 | |
| 1:9 | − | >2000 g | +++ | 0 | 0 | 0 | 0 | 0 | |
| Nano-Fe3O4 | 1% | 2% | 3% | 4% | 5% | 6% | 7% | 8% | 9% | 10% |
| Number of adsorbed | 35 | 40 | 40 | 40 | 40 | 40 | 40 | 40 | 40 | 40 |
Publisher’s Note: MDPI stays neutral with regard to jurisdictional claims in published maps and institutional affiliations. |
© 2022 by the authors. Licensee MDPI, Basel, Switzerland. This article is an open access article distributed under the terms and conditions of the Creative Commons Attribution (CC BY) license (https://creativecommons.org/licenses/by/4.0/).
Share and Cite
Wu, S.; Hao, P.; Lv, Z.; Zhang, X.; Wang, L.; Basang, W.; Zhu, Y.; Gao, Y. Construction of Magnetic Composite Bacterial Carrier and Application in 17β-Estradiol Degradation. Molecules 2022, 27, 5807. https://doi.org/10.3390/molecules27185807
Wu S, Hao P, Lv Z, Zhang X, Wang L, Basang W, Zhu Y, Gao Y. Construction of Magnetic Composite Bacterial Carrier and Application in 17β-Estradiol Degradation. Molecules. 2022; 27(18):5807. https://doi.org/10.3390/molecules27185807
Chicago/Turabian StyleWu, Sicheng, Peng Hao, Zongshuo Lv, Xiqing Zhang, Lixia Wang, Wangdui Basang, Yanbin Zhu, and Yunhang Gao. 2022. "Construction of Magnetic Composite Bacterial Carrier and Application in 17β-Estradiol Degradation" Molecules 27, no. 18: 5807. https://doi.org/10.3390/molecules27185807
APA StyleWu, S., Hao, P., Lv, Z., Zhang, X., Wang, L., Basang, W., Zhu, Y., & Gao, Y. (2022). Construction of Magnetic Composite Bacterial Carrier and Application in 17β-Estradiol Degradation. Molecules, 27(18), 5807. https://doi.org/10.3390/molecules27185807

