3,4-Dihydro-2(1H)-Pyridones as Building Blocks of Synthetic Relevance
Abstract
1. Introduction
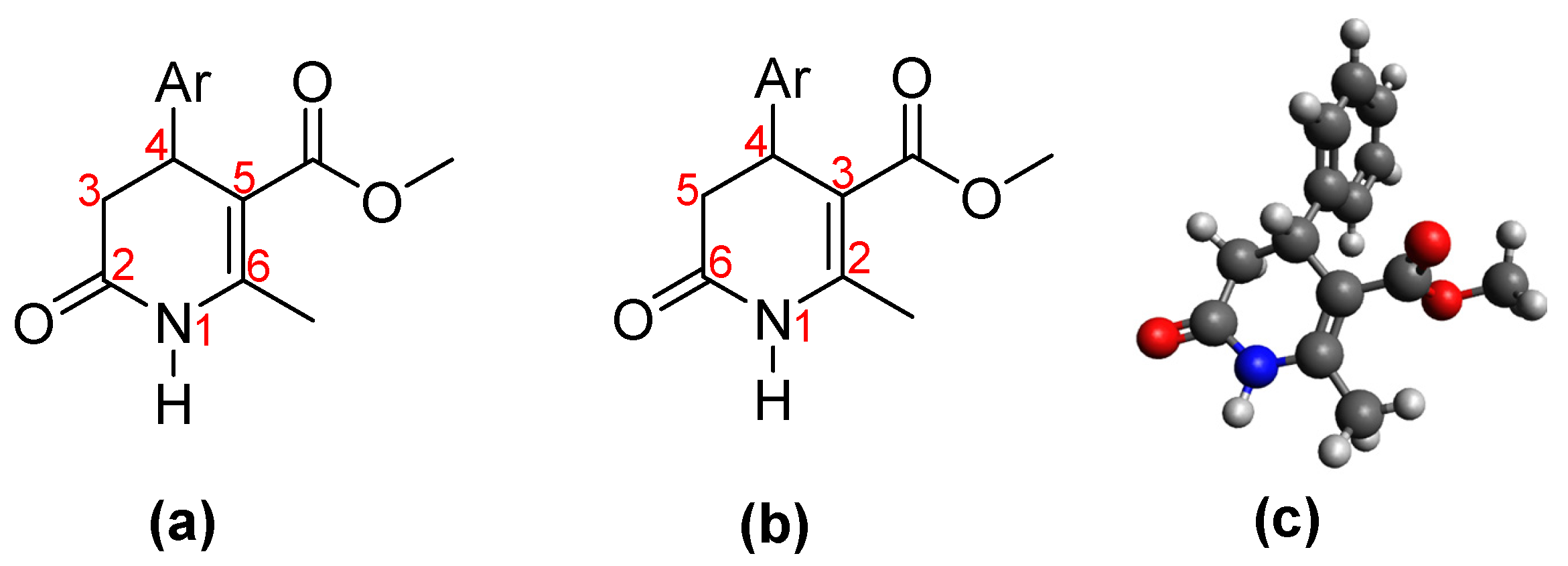
2. Nomenclature, Structure, and General Synthesis
3. Synthetic Strategies
3.1. Conventional Synthesis
3.2. Nonconventional SYNTHESIS
- -
- Microwave-Assisted Synthesis
- -
- Ultrasound-Assisted Synthesis
- -
- Infrared-Assisted Synthesis
3.3. Solid-Phase Organic Synthesis (SPOS)
3.4. Liquid-Phase Organic Synthesis (LPOS)
3.5. Asymmetric Synthesis
4. Structural Characterization
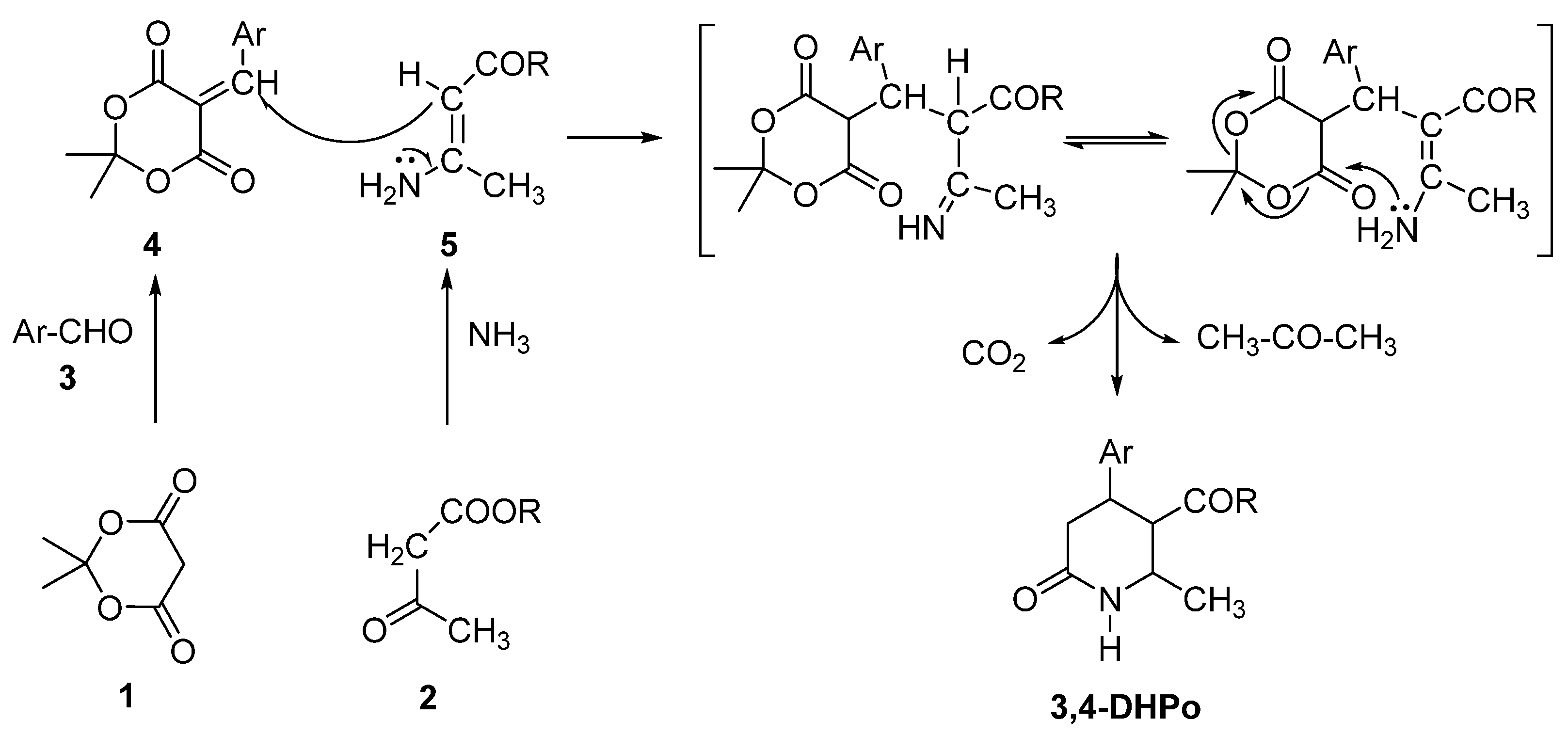
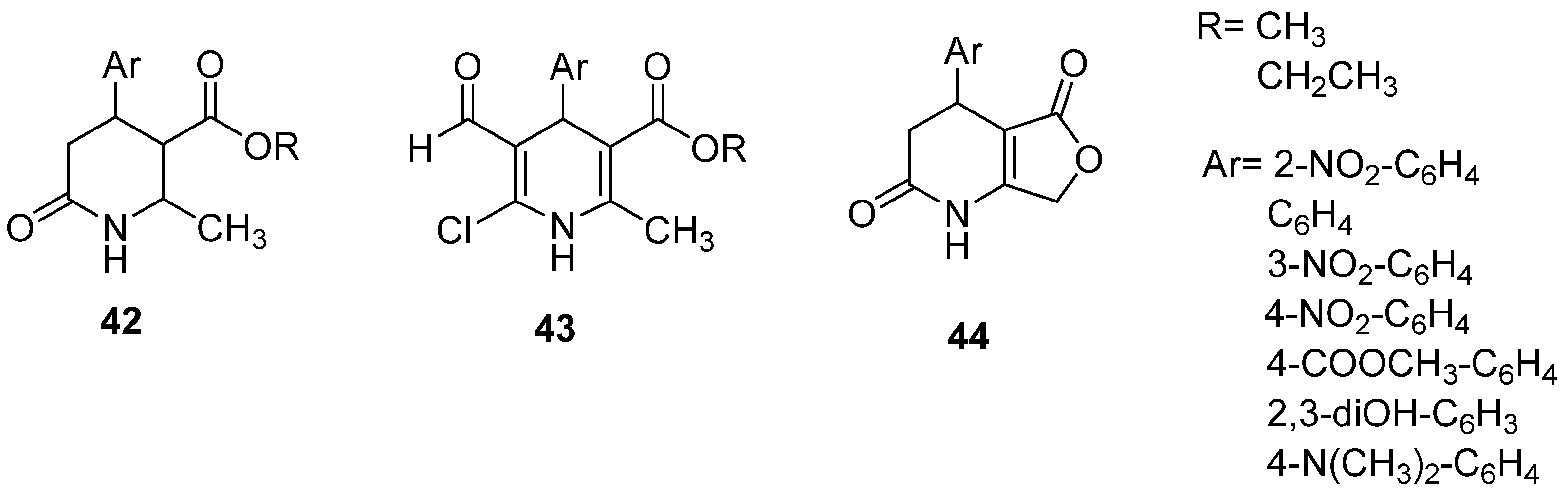
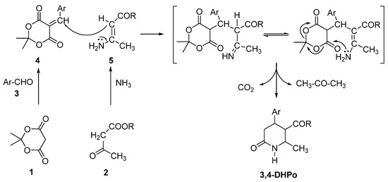
5. 3,4-Dihydro-2(1H)-Pyridones (3,4-DHPo) as Synthetic Precursors
6. Biological Activity
- -
- Vasorelaxant activity
- -
- HIV-1 inhibitors
- -
- Antitumor activity
- -
- Antibacterial and antifungal activity
- -
- Other biological activities
7. Conclusions
Author Contributions
Funding
Institutional Review Board Statement
Informed Consent Statement
Data Availability Statement
Acknowledgments
Conflicts of Interest
References
- Kaur, R.; Chaudhary, S.; Kumar, K.; Gupta, M.K.; Rawal, R.K. Recent Synthetic and Medicinal Perspectives of Dihydropyrimidinones: A Review. Eur. J. Med. Chem. 2017, 132, 108–134. [Google Scholar] [CrossRef] [PubMed]
- Kalme, Z.A.; Zhalubovskis, R.A.; Shmidlers, A.; Celmins, J.; Duburs, G. Synthesis of 6-Bromomethyl-Substituted D Derivatives of Pyridin-2(1H)-Ones and Their Reaction with Nucleophiles. Chem. Heterocycl. Compd. 2004, 40, 862–868. [Google Scholar] [CrossRef]
- Anderson, W.K.; Dean, D.C.; Endo, T. Synthesis, Chemistry, and Antineoplastic Activity of α-Halopyridinium Salts: Potential Pyridone Prodrugs of Acylated Vinylogous Carbinolamine Tumor Inhibitors. J. Med. Chem. 1990, 33, 1667–1675. [Google Scholar] [CrossRef] [PubMed]
- Qun, L.; Mitscher, L.A.; Shen, L.L. The 2-Pyridone Antibacterial Agents: Bacterial Topoisomerase Inhibitors. Med. Res. Rev. 2000, 20, 231–293. [Google Scholar]
- Sayahi, M.H.; Gorjizadeh, M.; Meheiseni, M.; Sayyahi, S. One-Pot Multi-Component Process for the Synthesis of 4-Azaphenanthrene-3,10-Dione, 1,8-Dioxo-Octahydroxanthene and Tetrahydrobenzo[b]Pyran Derivatives Catalyzed by the Deep Eutectic Solvent Choline Chloride-Oxalic Acid. Z. Fur Nat. Sect. B J. Chem. Sci. 2020, 75, 269–279. [Google Scholar] [CrossRef]
- Dragovich, P.S.; Prins, T.J.; Zhou, R.; Brown, E.L.; Maldonado, F.C.; Fuhrman, S.A.; Zalman, L.S.; Tuntland, T.; Lee, C.A.; Patick, A.K.; et al. Structure-Based Design, Synthesis, and Biological Evaluation of Irreversible Human Rhinovirus 3C Protease Inhibitors. 6. Structure-Activity Studies of Orally Bioavailable, 2-Pyridone-Containing Peptidomimetics. J. Med. Chem. 2002, 45, 1607–1623. [Google Scholar] [CrossRef]
- Dragovich, P.S.; Webber, S.E.; Babine, R.E.; Fuhrman, S.A.; Patick, A.K.; Matthews, D.A.; Reich, S.H.; Marakovits, J.T.; Prins, T.J.; Zhou, R.; et al. Structure-Based Design, Synthesis, and Biological Evaluation of Irreversible Human Rhinovirus 3C Protease Inhibitors. 2. Peptide Structure-Activity Studies. J. Med. Chem. 1998, 41, 2819–2834. [Google Scholar] [CrossRef]
- Patankar, S.J.; Jurs, P.C. Prediction of Glycine/NMDA Receptor Antagonist Inhibition from Molecular Structure. J. Chem. Inf. Comput. Sci. 2002, 42, 1053–1068. [Google Scholar] [CrossRef]
- Smits, R.; Goncharenko, Y.; Vesere, I.; Skrivele, B.; Petrichenko, O.; Vigante, B.; Petrova, M.; Plotniece, A.; Duburs, G. Synthesis and Self-Assembly of Novel Fluorous Cationic Amphiphiles with a 3,4-dihydro-2(1H)-pyridone spacer. J. Fluor. Chem. 2011, 132, 414–419. [Google Scholar] [CrossRef]
- Spanu, P.; Rassu, G.; Pinna, L.; Battistini, L.; Casiraghi, G. Diastereoselective Synthesis of 3-Oxo-14, 15-Dihydroandranginine. Tetrahedron Asymmetry 1997, 8, 3237–3243. [Google Scholar] [CrossRef]
- Nantermet, P.G.; Barrow, J.C.; Selnick, H.G.; Homnick, C.F.; Freidinger, R.M.; Chang, R.S.L.; O’Malley, S.S.; Reiss, D.R.; Broten, T.P.; Ransom, R.W.; et al. Selective α(1a) Adrenergic Receptor Antagonists Based on 4-Aryl-3,4-Dihydropyridine-2-Ones. Bioorganic Med. Chem. Lett. 2000, 10, 1625–1628. [Google Scholar] [CrossRef]
- Goodman, K.B.; Cui, H.; Dowdell, S.E.; Gaitanopoulos, D.E.; Ivy, R.L.; Sehon, C.A.; Stavenger, R.A.; Wang, G.Z.; Viet, A.Q.; Xu, W.; et al. Development of Dihydropyridone Indazole Amides as Selective Rho-Kinase Inhibitors. J. Med. Chem. 2007, 50, 6–9. [Google Scholar] [CrossRef]
- Huang, X.; Broadbent, S.; Dvorak, C.; Zhao, S.H. Pilot-Plant Preparation of 3,4-Dihydropyridin-2-One Derivatives, the Core Structures of P2 × 7 Receptor Antagonists. Org. Process Res. Dev. 2010, 14, 612–616. [Google Scholar] [CrossRef]
- Smits, R.; Turovska, B.; Belyakov, S.; Plotniece, A.; Duburs, G. Synthesis of 5-Carboxy-6-Methyl-3,4-Dihydro-2(1H)-Pyridone Derivatives and Their Electrochemical Oxidation to 2-Pyridones. Chem. Phys. Lett. 2016, 649, 84–87. [Google Scholar] [CrossRef]
- Memarian, H.R.; Kalantari, M.; Rudbari, H.A.; Sabzyan, H.; Bruno, G. DFT and Structural Studies of 2-Oxo-1,2,3,4-Tetrahydropyridines. Comput. Theor. Chem. 2017, 1099, 75–86. [Google Scholar] [CrossRef]
- Memarian, H.R.; Kalantari, M.; Sabzyan, H. NMR and DFT Studies of 2-Oxo-1,2,3,4-Tetrahydropyridines: Solvent and Temperature Effects. Aust. J. Chem 2018, 71, 380–388. [Google Scholar] [CrossRef]
- Ochoa, E.; Suárez, M.; Verdecia, Y.; Pita, B.; Martín, N.; Quinteiro, M.; Seoane, C.; Soto, J.; Duque, J.; Pomés, R. Structural Study of 3,4-Dihydropyridones and Furo [3,4-b]-2(1H)-Pyridones as Potential Calcium Channel Modulators. Tetrahedron 1998, 54, 12409–12420. [Google Scholar] [CrossRef]
- Vinet, L.; Zhedanov, A. A “Missing” Family of Classical Orthogonal Polynomials. J. Phys. A Math. Theor. 2011, 44, 085201. [Google Scholar] [CrossRef]
- Suarez, M.; Verdecia, Y.; Estael, O.; Salfrán, E.; Morán, L.; Martín, N.; Martínez, R.; Quinteiro, M.; Seoane, C.; Soto, J.L.; et al. Synthesis and Structural Study of 3,4-Dihydro-2(1H)-Pyridones and Isoxazolo[5,4-b]Pyridin-6(7H)-Ones. Eur. J. Org. Chem. 2000, 2, 2–11. [Google Scholar] [CrossRef]
- Rodríguez, H.; Suarez, M.; Pérez, R.; Petit, A.; Loupy, A. Solvent-Free Synthesis of 4-Aryl Substituted 5-Alkoxycarbonyl-6-Methyl-3,4-Dihydropyridones under Microwave Irradiation. Tetrahedron Lett. 2003, 44, 3709–3712. [Google Scholar] [CrossRef]
- Světlík, J.; Goljer, I.; Tureček, F. Oxygen-Bridged Tetrahydropyridines, Hexahydropyridines, and Dihydropyridones via a Hantzsch-like Synthesis with 4-(2-Hydroxyphenyl)but-3-En-2-One. J. Chem. Soc. Perkin Trans. 1990, 1, 1315–1318. [Google Scholar] [CrossRef]
- Zayed, S.E.; Abou Elmaged, E.I.; Metwally, S.A.; Elnagdi, M.H. Reactions of Six-Membered Heterocyclic β-Enaminonitriles with Electrophilic Reagents. Collect. Czechoslov. Chem. Commun. 1991, 56, 2175–2182. [Google Scholar] [CrossRef]
- Suárez, M.; Martínez-Alvarez, R.; Martín, N.; Verdecia, Y.; Ochoa, E.; Alba, L.; Seoane, C.; Kayali, N. Electrospray Ionisation and Ion-Trap Fragmentation of Substituted 3,4-Dihydro-2(1H)-Pyridin-2-Ones. Rapid Commun. Mass Spectrom. 2002, 16, 749–754. [Google Scholar] [CrossRef]
- Suárez, M.; Salfrán, E.; Ochoa, E.; Verdecia, Y.; Alba, L.; Martín, N.; Seoane, C.; Martínez-Alvarez, R.; De Armas, H.N.; Blaton, N.M.; et al. Structural Study of Highly Halogenated Dihydropyridine Derivatives as Potential Calcium Channel Modulators. J. Heterocycl. Chem. 2003, 40, 269–275. [Google Scholar] [CrossRef]
- Morales, A.; Ochoa, E.; Suárez, M.; Verdecia, Y.; González, L.; Martín, N.; Quinteiro, M.; Seoane, C.; Soto, J.L. Novel Hexahydrofuro [3,4-b]-2(1H)-Pyridones from 4-Aryl Substituted 5-Alkoxycarbonyl-6-Methyl-3,4-Dihydropyridones. J. Heterocycl. Chem. 1996, 33, 103–107. [Google Scholar] [CrossRef]
- Novoa De Armas, H.; Blaton, N.M.; Peeters, O.M.; De Ranter, C.J.; Suárez, M.; Ochoa, E.; Verdecia, Y.; Salfrán, E. Synthesis, Crystal Structure, and Molecular Modeling (AM1) of Methyl 6-Chloro-4-(2-Chlorophenyl)-5-Formyl-2-Methyl-1, 4-Dihydropyridine-3-Carboxylate. J. Chem. Crystallogr. 2000, 30, 237–243. [Google Scholar] [CrossRef]
- Suárez, M.; Novoa, H.; Verdecia, Y.; Ochoa, E.; Alvarez, A.; Pérez, R.; Martínez-Alvarez, R.; Molero, D.; Seoane, C.; Blaton, N.M.; et al. A Straightforward Synthesis and Structure of Unprecedented Iminium Salts of Dihydropyrido [3,2-e][1,3]Thiazines. Tetrahedron 2006, 62, 1365–1371. [Google Scholar] [CrossRef]
- Ruiz, E.; Rodríguez, H.; Coro, J.; Niebla, V.; Rodríguez, A.; Martínez-Alvarez, R.; de Armas, H.N.; Suárez, M.; Martín, N. Efficient Sonochemical Synthesis of Alkyl 4-Aryl-6-Chloro-5-Formyl-2-Methyl-1,4-Dihydropyridine-3-Carboxylate Derivatives. Ultrason. Sonochem. 2012, 19, 221–226. [Google Scholar] [CrossRef]
- Rodríguez, J.D.; Hernández, R.P.; González, A.G.; Navarro, M.S.; Reyes, Y.V.; Rodríguez, E.O.; Mascarenhas, Y. 5-Methoxycarbonyl-6-Methyl-4-Phenyl-3,4-Dihydro-2(1H)-Pyridone. Acta Crystallogr. Sect. C Cryst. Struct. Commun. 1998, 54, 1644–1645. [Google Scholar] [CrossRef]
- De Armas, H.N.; Peeters, O.M.; Blaton, N.M.; De Ranter, C.J.; Navarro, M.S.; Reyes, Y.V.; Rodríguez, E.O.; Salfrán, E. Ethyl 5-Ethoxymethylene-2-Methyl-6-Oxo-4-Phenyl-1,4,5,6-Tetrahydropyridine- 3carboxyl Ate. Acta Crystallogr. Sect. E Struct. Rep. Online 2003, 59, 230–231. [Google Scholar] [CrossRef]
- Sun, J.; Xia, E.-Y.; Wu, Q.; Yan, C.-G. Synthesis of 3,4-Dihydropyridin-2(1H)-Ones and 3,4-Dihydro-2H-Pyrans via Four-Component Reactions of Aromatic Aldehydes, Cyclic 1,3-Carbonyls, Arylamines, and Dimethyl Acetylenedicarboxylate. ACS Comb. Sci. 2011, 13, 421–426. [Google Scholar] [CrossRef]
- Researchers, Y.; Club, E.; Branch, Q. Four-Component Reaction Between Cyanoacetamide, Aryl Aldehydes and Ethyl Acetoacetate with Ammonium Acetate. Chem. Sci. Trans. 2014, 3, 977–982. [Google Scholar] [CrossRef][Green Version]
- Dehghan, A.; Singh, S.; Anary-Abbasinejad, M.; Hassanabadi, A. Four-Component Reaction between Cyanoacetamide, Aryl Aldehydes, and Ethyl Acetoacetate with Ammonium Carbonate. Res. Chem. Intermed. 2015, 41, 1001–1009. [Google Scholar] [CrossRef]
- Hakimi, A.; Lashgari, N.; Mahernia, S.; Ziarani, G.; Amanlou, M. Facile One-Pot Four-Component Synthesis of 3,4-Dihydro-2-Pyridone Derivatives: Novel Urease Inhibitor Scaffold. Res. Pharm. Sci. 2017, 12, 353–363. [Google Scholar] [CrossRef] [PubMed]
- Firoozpour, L.; Nikookar, H.; Moghimi, S.; Mahdavi, M.; Asadipour, A.; Ranjbar, P.R.; Foroumadi, A. An Efficient Approach to the Synthesis of Coumarin-Fused Dihydropyridinones. Heterocycl. Commun. 2017, 23, 305–308. [Google Scholar] [CrossRef]
- Li, X.; Song, L.; Xing, C.; Zhao, J.; Zhu, S. Study on the Reactions of Ethyl 4,4,4-Trifluoro-3-Oxobutanoate with Arylidenemalononitriles. Tetrahedron 2006, 62, 2255–2263. [Google Scholar] [CrossRef]
- Kalme, Z.; Šmidlers, A.; Celminš, J.; Liepinsh, E.; Krauze, A.; Duburs, G. Unexpected Reaction on Bromination of 3,4-Dihydropyridin-2(1H)-Ones with N-Bromosuccinimide. Chem. Heterocycl. Compd. 2007, 43, 662–664. [Google Scholar] [CrossRef]
- Liu, J.; Liang, F.; Liu, Q.; Li, B. BF3·OEt2-Mediated C-C Bond-Forming Reaction of α-Hydroxyketene-(S,S)-Acetals with Active Methylene Compounds and Its Application in the Synthesis of Substituted 3,4-Dihydro-2-Pyridones. Synlett 2007, 1, 0156–0160. [Google Scholar] [CrossRef]
- Singh, J.; Koul, S.; Pannu, A.P.S.; Sharma, R.L.; Razdan, T.K. Simple and Efficient One-Pot Synthesis of 3,4-Dihydro-2-Pyridones via Solid-Supported Bi(III)Nitrate-Catalyzed Double Michael Addition-Azaannulation. ChemInform 2008, 39, 349–357. [Google Scholar] [CrossRef]
- Yi, H.; Song, L.; Wang, W.; Liu, J.; Zhu, S.; Deng, H.; Shao, M. First Synthesis of 3-Aryl-4-Unsubstituted-6-CF3-Pyridin-2-Ones via Aryl Migration Reaction in the Presence of PhI(OAc)2/NaOH. Chem. Commun. 2010, 46, 6941–6943. [Google Scholar] [CrossRef]
- Wang, P.; Song, L.; Yi, H.; Zhang, M.; Zhu, S.; Deng, H.; Shao, M. Convenient One-Pot Synthesis of Fluorinated DHPs Derivatives and Their Further Transformations. Tetrahedron Lett. 2010, 51, 3975–3977. [Google Scholar] [CrossRef]
- Dostanic, J.; Valentic, N.; Uscumlic, G.; Mijin, D. Synthesis of 5-(Substituted Phenylazo)-6-Hydroxy-4-Methyl-3- Cyano-2-Pyridones from Ethyl 3-Oxo-2-(Substituted Phenyldiazenyl)Butanoates. J. Serb. Chem. Soc. 2011, 76, 499–504. [Google Scholar] [CrossRef]
- Yao, C.; Wang, D.; Lu, J.; Li, T.; Jiao, W.; Yu, C. N-Heterocyclic Carbene Catalyzed Reactions of α-Bromo-α,β-Unsaturated Aldehydes/α,β-Dibromoaldehydes with 1,3-Dinucleophilic Reagents. Chem.-A Eur. J. 2012, 18, 1914–1917. [Google Scholar] [CrossRef]
- Khazaei, M.; Anary-Abbasinejad, M.; Hassanabadi, A.; Sadeghi, B. ZnO Nanoparticles: An Efficient Reagent, Simple and One-Pot Procedure for Synthesis of Highly Functionalized Dihydropyridine Derivatives. E-J. Chem. 2012, 9, 615–620. [Google Scholar] [CrossRef]
- Liu, Z.; Tan, L.; Wu, Q.; Lin, X. Imidazole-Catalyzed Three-Component Cascade Reaction for the Facile Synthesis of Highly Substituted 3,4-Dihydropyridin-2-One Derivatives. Chin. J. Chem. 2012, 30, 2343–2348. [Google Scholar] [CrossRef]
- Bhattacharyya, P.; Pradhan, K.; Paul, S.; Das, A.R. Nano Crystalline ZnO Catalyzed One Pot Multicomponent Reaction for an Easy Access of Fully Decorated 4H-Pyran Scaffolds and Its Rearrangement to 2-Pyridone Nucleus in Aqueous Media. Tetrahedron Lett. 2012, 53, 4687–4691. [Google Scholar] [CrossRef]
- Mohammandi Ziarani, G.; Mousavi, S.; Lashgari, N.; Badiei, A. Mesostructured SBA-15-Pr-SO3H: An Efficient Solid Acid Catalyst for One-Pot and Solvent-Free Synthesis of 3,4-Dihydro-2-Pyridone Derivatives. J. Chem. Sci. 2013, 125, 1359–1364. [Google Scholar] [CrossRef]
- Pradhan, K.; Bhattacharyya, P.; Paul, S.; Das, A.R. Synthesis of 3,4-Dihydropyridin-2-One Derivatives in Convergent Mode Applying Bio Catalyst Vitamin B1 and Polymer Supported Catalyst PEG–SO3 H from Two Different Sets of Building Blocks. Tetrahedron Lett. 2012, 53, 5840–5844. [Google Scholar] [CrossRef]
- Zhang, L.J.; Zhang, X.; You, Z.S.; Li, H.; Feng, T.; Wang, W.L. Chem-Grafted Zn-SSA as an Efficient Heterogeneous Catalyst to Synthesize 2-Pyridinones. Catal. Lett. 2016, 146, 2081–2086. [Google Scholar] [CrossRef]
- Meng, T.; Liu, L.; Jia, H.; Ren, L.; Feng, C.; Wang, X.; Zhao, W. One-Pot Synthesis of 3,4-Dihydropyridin-2-Ones via Tandem Reaction of Blaise Reaction Intermediate and Acrylic Ester. Appl. Organomet. Chem. 2016, 30, 47–50. [Google Scholar] [CrossRef]
- Paravidino, M.; Bon, R.S.; Scheffelaar, R.; Vugts, D.J.; Znabet, A.; Schmitz, R.F.; de Kanter, F.J.J.; Lutz, M.; Spek, A.L.; Groen, M.B.; et al. Diastereoselective Multicomponent Synthesis of Dihydropyridones with an Isocyanide Functionality. Org. Lett. 2006, 8, 5369–5372. [Google Scholar] [CrossRef]
- Den Heeten, R.; Van Der Boon, L.J.P.; Broere, D.L.J.; Janssen, E.; De Kanter, F.J.J.; Ruijter, E.; Orru, R.V.A. Concise Synthesis of Highly Substituted Benzo[a]Quinolizines by a Multicomponent Reaction/Allylation/Heck Reaction Sequence. Eur. J. Org. Chem. 2012, 6, 275–280. [Google Scholar] [CrossRef]
- Si, C.; Fales, K.R.; Boyer, R.D.; Njoroge, F.G. An Efficient Synthesis of 3,4-Dihydropyridone via a Tandem Olefin Isomerization-Ring-Closing Metathesis Reaction. Tetrahedron Lett. 2014, 55, 5529–5532. [Google Scholar] [CrossRef]
- Maru, M.S.; Sudhadevi Antharjanam, P.K.; Khan, N.U.H. Catalyst-Free Solid Phase Microwave-Assisted Synthesis of 1,4-Dihydropyridine Derivatives and Their Single Crystal Structure Determination. ChemistrySelect 2019, 4, 774–782. [Google Scholar] [CrossRef]
- Tu, S.; Fang, F.; Zhu, S.; Li, T.; Zhang, X.; Zhuang, Q.; Ji, S.; Zhang, Y. Microwave-Assisted Synthesis of Phenylenedi(4′,4″-Tetrahydroquinoline) and Di(4′,4″-Tetrahydropyridine) Derivatives. J. Heterocycl. Chem. 2005, 42, 29–32. [Google Scholar] [CrossRef]
- Eynde, J.J.V.; Labuche, N.; Van Haverbeke, Y. Microwave-Mediated Domino Reactions in Dry Medium. Preparation of Dihydropyridinones and Pyridinones Structurally Related to Hantzsch Esters. Synth. Commun. 1997, 27, 3683–3690. [Google Scholar] [CrossRef]
- Hernández, F.; Sánchez, A.; Rendón-Vallejo, P.; Millán-Pacheco, C.; Alcaraz, Y.; Delgado, F.; Vázquez, M.A.; Estrada-Soto, S. Synthesis, Ex Vivo and in Silico Studies of 3-Cyano-2-Pyridone Derivatives with Vasorelaxant Activity. Eur. J. Med. Chem. 2013, 70, 669–676. [Google Scholar] [CrossRef]
- Ruiz, E.; Rodríguez, H.; Coro, J.; Salfrán, E.; Suárez, M.; Martínez-alvarez, R.; Martín, N. Ultrasonics Sonochemistry Ultrasound-Assisted One-Pot, Four Component Synthesis of 4-Aryl 3,4-Dihydropyridone Derivatives. Ultrason. Sonochem. 2011, 18, 32–36. [Google Scholar] [CrossRef]
- Noguez, M.O.; Marcelino, V.; Rodríguez, H.; Martín, O.; Martínez, J.O.; Arroyo, G.A.; Pérez, F.J.; Suárez, M.; Miranda, R. Infrared Assisted Production of 3,4-Dihydro-2(1H)-Pyridones in Solvent-Free Conditions. Int. J. Mol. Sci. 2011, 12, 2641–2649. [Google Scholar] [CrossRef]
- Rodríguez, H.; Martín, O.; Ochoa, E.; Suárez, M.; Reyes, O.; Garay, H.; Albericio, F.; Martín, N. Solid-Phase Synthesis and Structural Study of Substituted 1,4,5,6-Tetrahydro-6-Oxopyridine-3-Carboxylic Acids. QSAR Comb. Sci. 2006, 25, 921–927. [Google Scholar] [CrossRef]
- Rodríguez, H.; Reyes, O.; Suarez, M.; Garay, H.E.; Pérez, R.; Cruz, L.J.; Verdecia, Y.; Martín, N.; Seoane, C. Solid-Phase Synthesis of 4-Aryl Substituted 5-Carboxy-6-Methyl-3,4-Dihydropyridones. Tetrahedron Lett. 2002, 43, 439–441. [Google Scholar] [CrossRef]
- Fu, G.; Zhang, X.; Sheng, S.; Wei, M.; Liu, X. Rapid Microwave-Assisted Liquid-Phase Synthesis of 4-Substituted-5-methoxycarbonyl-6-methyl-3,4-dihydropyridones on Poly(Ethylene Glycol) Support. Synth. Commun. 2008, 38, 1249–1258. [Google Scholar] [CrossRef]
- Torres, S.Y.; Ochoa, E.; Verdecia, Y.; Rebolledo, F. Chemoenzymatic Preparation of Optically Active 4-Aryl-5-Carboxy-6-Methyl-3,4-Dihydro-2(1H)-Pyridone Derivatives. Tetrahedron 2014, 70, 4675–4684. [Google Scholar] [CrossRef]
- Torres, S.Y.; Brieva, R.; Rebolledo, F. Chemoenzymatic Synthesis of Optically Active Phenolic 3,4-Dihydropyridin-2-Ones: A Way to Access Enantioenriched 1,4-Dihydropyridine and Benzodiazepine Derivatives. Org. Biomol. Chem. 2017, 15, 5171–5181. [Google Scholar] [CrossRef]
- Liu, Z.Q.; Hu, Y.J.; Chen, X.Y.; Wu, Q.; Lin, X.F. Enzymatic Multicomponent Reaction for Simultaneous Synthesis of Two Important Scaffolds, Pyridin-2-Ones and α-Alkylated Nitriles. Tetrahedron 2015, 71, 663–668. [Google Scholar] [CrossRef]
- Huang, X.; Zhu, J.; Broadbent, S. The First Asymmetric Synthesis of a 4-Aryl-Substituted 5-Carboxy-3,4-Dihydropyridin-2-One Derivative. Tetrahedron Lett. 2010, 51, 1554–1557. [Google Scholar] [CrossRef]
- Vellalath, S.; Van, K.N.; Romo, D. Direct Catalytic Asymmetric Synthesis of N-Heterocycles from Commodity Acid Chlorides by Employing α,β-Unsaturated Acylammonium Salts. Angew. Chem. Int. Ed. 2013, 52, 13688–13693. [Google Scholar] [CrossRef]
- Molero, D.; Suárez, M.; Martínez-Álvarez, R.; Verdecia, Y.; Martín, N.; Seoane, C.; Ochoa, E. 1H and 13C Spectral Assignment of 2(1H)-Pyridone Derivatives. Magn. Reson. Chem. 2004, 42, 704–708. [Google Scholar] [CrossRef]
- O’Callaghan, C.N.; McMurry, T.B.H.; Draper, S.M.; Champeil, E. Nitrile and Non-Nitrile Pyridine Products from the Reaction of 2-Cyano-3-(x-Nitrophenyl)Prop-2-Enamides with Methyl 3-Oxobutanoate. J. Chem. Res. 1999, 6, 690–691. [Google Scholar] [CrossRef]
- Pendleton, M.D.; Beddoes, R.L.; Andrew, N.J.; Joule, J.A.; Butters, M. Syntheses of Some 1,2- and 1,4-Dihydropyridines and X-Ray Crystal Structures of 1-Dimethylamino-5-Ethoxycarbonyl-1,4-Dihydro-3-Methoxycarbonyl-2- Methyl-4-Phenylpyridine, 3-Cyano-3,4-Dihydro-5-Methoxycarbonyl-6-Methyl-4-Phenylpyridin-2(1H)-One and 5-Etho. J. Chem. Res. 1997, 86–87. [Google Scholar] [CrossRef]
- Krajewski, J.W.; Urbanczyk-Lipkowska, Z.; Gluzinski, P. Ethyl 3-Cyano-6-Methyl-2-Oxo-4-(3-Pyridyl)-3,4-Dihydro-5-Pyridinecarboxylate. Acta Crystallogr. Sect. B Struct. Crystallogr. Cryst. Chem. 1978, 34, 2863–2865. [Google Scholar] [CrossRef]
- Kettmann, V.; Svetlík, J. Methyl 1,4,5,6-Tetrahydro-2-Methyl-4-(2-Nitrophenyl)-6-Oxopyridine-3-Carboxylate. Acta Crystallogr. Sect. C Cryst. Struct. Commun. 1999, 55, 661–663. [Google Scholar] [CrossRef]
- Smits, R.; Belyakov, S.; Vigante, B.; Duburs, G. Methyl 6-Oxo-4-Phenyl-2-[(Z)-2-(Pyridin-2-Yl)Ethenyl]-1,4,5,6- Tetrahydropyridine-3-Carboxylate. Acta Crystallogr. Sect. E Struct. Rep. Online 2012, 68, o3489. [Google Scholar] [CrossRef]
- Carabateas, P.M.; Brundage, R.P.; Gelotte, K.O.; Gruett, M.D.; Lorenz, R.R.; Opalka, C.J.; Singh, B.; Thielking, W.H.; Williams, G.L.; Lesher, G.Y. 1-Ethyl-1,4-Dihydro-4-Oxo-7-(Pyridinyl)-3-Quinolinecarboxylic Acids. I. Synthesis of 3- and 4-(3-Aminophenyl)Pyridine Intermediates. J. Heterocycl. Chem. 1984, 21, 1849–1856. [Google Scholar] [CrossRef]
- Alvarez, A.; Ochoa, E.; Verdecia, Y.; Suárez, M.; Solá, M.; Martín, N. Theoretical Study of the Highly Diastereoselective 1,3-Dipolar Cycloaddition of 1,4-Dihydropyridine-Containing Azomethine Ylides to [60]Fullerene (Prato’s Reaction). J. Org. Chem. 2005, 70, 3256–3262. [Google Scholar] [CrossRef]
- Novoa de Armas, H.; Peeters, O.M.; Blaton, N.M.; De Ranter, C.J.; Suárez Navarro, M.; Salfrán Solano, E.; Verdecia Reyes, Y.; Ochoa Rodríguez, E. 6-Methyl-4-Phenylthieno [2,3-b]Pyridine-2,5-Dicarboxylic Acid. Acta Crystallogr. Sect. E Struct. Rep. Online 2003, 59, o450–o452. [Google Scholar] [CrossRef]
- Novoa de Armas, H.; Peeters, O.M.; Blaton, N.M.; De Ranter, C.J.; Suárez Navarro, M.; Salfrán Solano, E.; Verdecia Reyes, Y.; Ochoa Rodríguez, E. 4-(4-Bromophenyl)-2,5-Diethoxycarbonyl-6-Methylthieno [2,3-b]Pyridine. Acta Crystallogr. Sect. E Struct. Rep. Online 2003, 59, o384–o386. [Google Scholar] [CrossRef]
- De Armas, H.N.; Peeters, O.M.; Blaton, N.M.; De Ranter, C.J.; Salfrán, E.; Navarro, M.S.; Rodríguez, E.O.; Reyes, Y.V. 2,5-Diethoxycarbonyl-6-Methyl-4-Phenylthieno [2,3-6]Pyridine. Acta Crystallogr. Sect. E Struct. Rep. Online 2003, 59, 321–323. [Google Scholar] [CrossRef]
- Chinnakali, K.; Fun, H.-K.; Sriraghavan, K.; Ramakrishnan, V.T. 8-(2-Bromo-4-Methylanilino)-9-Hydroxy-4-Methyl-7,8,9,10-Tetrahydro-7,8-Benzocoumarin. Acta Crystallogr. Sect. C Cryst. Struct. Commun. 1998, 54, IUC9800003. [Google Scholar] [CrossRef]
- Suárez, M.; Verdecia, Y.; Illescas, B.; Martínez-Alvarez, R.; Alvarez, A.; Ochoa, E.; Seoane, C.; Kayali, N.; Martín, N. Synthesis and Study of Novel Fulleropyrrolidines Bearing Biologically Active 1,4-Dihydropyridines. Tetrahedron 2003, 59, 9179–9186. [Google Scholar] [CrossRef]
- Marín-Prida, J.; Pardo Andreu, G.L.; Rossignoli, C.P.; Durruthy, M.G.; Rodríguez, E.O.; Reyes, Y.V.; Acosta, R.F.; Uyemura, S.A.; Alberici, L.C. The Cytotoxic Effects of VE-3N, a Novel 1,4-Dihydropyridine Derivative, Involve the Mitochondrial Bioenergetic Disruption via Uncoupling Mechanisms. Toxicol. In Vitro 2017, 42, 21–30. [Google Scholar] [CrossRef]
- Garrido-Suárez, B.B.; Garrido, G.; Castro-Labrada, M.; Merino, N.; Valdés, O.; Pardo, Z.; Ochoa-Rodríguez, E.; Verdecia-Reyes, Y.; Delgado-Hernández, R.; Godoy-Figueiredo, J.; et al. Anti-Hypernociceptive and Anti-Inflammatory Effects of JM-20: A Novel Hybrid Neuroprotective Compound. Brain Res. Bull. 2020, 165, 185–197. [Google Scholar] [CrossRef]
- Fonseca-Fonseca, L.A.; da Silva, V.D.A.; Wong-Guerra, M.; Ramírez-Sánchez, J.; Yaquis, A.S.P.; Ochoa-Rodríguez, E.; Verdecia-Reyes, Y.; de Araújo, F.M.; Santana, R.C.; Outeiro, T.F.; et al. JM-20 Protects against 6-Hydroxydopamine-Induced Neurotoxicity in Models of Parkinson’s Disease: Mitochondrial Protection and Antioxidant Properties. NeuroToxicology 2021, 82, 89–98. [Google Scholar] [CrossRef]
- Garrido-Suárez, B.B.; Garrido, G.; Menéndez, A.B.; Aparicio, G.; Valdés, O.; Ochoa-Rodríguez, E.; Verdecia-Reyes, Y.; Delgado-Hernández, R. Preventive and Therapeutic Effects of JM-20 on Paclitaxel-Evoked Painful Peripheral Neuropathy in Rats. J. Pharm. Pharmacogn. Res. 2021, 9, 165–174. [Google Scholar]
- Torres, S.Y.; Rebolledo, F. A Highly Efficient Synthesis of Optically Active Hybrid 1 H -1,5-Benzodiazepine-1,4-Dihydropyridines. Synthesis 2016, 48, 1414–1420. [Google Scholar] [CrossRef]
- Martín, N.; Verdecia, Y.; Ochoa, E.; Barried, B.; Molero, D.; Seoane, C.; Novoa, H.; Blaton, N.M.; Peetersd, O.M.; Alvarez, A.; et al. Synthesis and Structural Study of Semicarbazone-Containing 1,4-Dihydropyridine. Heterocycles 2006, 68, 1631. [Google Scholar] [CrossRef]
- Somekawa, K.; Okumura, Y.; Uchida, K.; Shimo, T. Preparations of 2-Azabicyclo [2.2.2]Octa-5,7-Dien-3-Ones and 7-Azabicyclo [4.2.0]Octa-2,4-Dien-8-Ones from Addition Reactions of 2-Pyridones. J. Heterocycl. Chem. 1988, 25, 731–734. [Google Scholar] [CrossRef]
- Duque Rodríguez, J.; Pomés Hernández, R.; Diáz de Delgado, G.; Roque, E.; Suárez Navarro, M.; Verdecia Reyes, Y.; Ochoa Rodríguez, E.; Pita Mieres, B.; Espinosa, R.; Alba Gutierrez, L. 2-Ethoxycarbonyl-5-Methoxycarbonyl-6-Methyl-4-Phenyl-4,7-Dihydrothieno [2,3-b]Pyridine. Acta Crystallogr. Sect. C Cryst. Struct. Commun. 1998, 54, IUC9800002. [Google Scholar] [CrossRef]
- Sadhu, P.S.; Ravinder, M.; Kumar, P.A.; Rao, V.J. Photochemical Dehydrogenation of 3,4-Dihydro-2-Pyridones. Photochem. Photobiol. Sci. 2009, 8, 513. [Google Scholar] [CrossRef]
- Rodríguez, H.; Coro, J.; Lam, A.; Salfrán, E.; Rodríguez-Salarichs, J.; Suárez, M.; Albericio, F.; Martin, N. High-Throughput Preparation of Alkyl 4-Aryl Substituted-2-Methyl-6-Thioxo-1,4,5,6-Tetrahydropyridine-3-Carboxylates under Microwave Irradiation. Arkivoc 2011, 2011, 125–141. [Google Scholar] [CrossRef]
- Rodríguez, H.; Martin, O.; Suarez, M.; Martín, N.; Albericio, F. Eco-Friendly Methodology to Prepare N-Heterocycles Related to Dihydropyridines: Microwave-Assisted Synthesis of Alkyl 4-Arylsubstituted-6-Chloro-5-Formyl-2-Methyl-1,4-Dihydropyridine-3-Carboxylate and 4-Arylsubstituted-4,7-Dihydrofuro [3,4-b]Pyridine-2,5. Molecules 2011, 16, 9620–9635. [Google Scholar] [CrossRef] [PubMed]
- Ueyama, E.; Takahashi, F.; Ohashi, J.; Konse, T.; Kishi, N.; Kano, K. Mechanistic Study on Degradation of Azelnidipine Solution under Radical Initiator-Based Oxidative Conditions. J. Pharm. Biomed. Anal. 2012, 61, 277–283. [Google Scholar] [CrossRef] [PubMed]
- Sośnicki, J.G.; Idzik, T.J. Pyridone–Powerful Precursors for the Synthesis of Alkaloids, Their Derivatives, and Alkaloid-Inspired Compounds. Synthesis 2019, 51, 3369–3396. [Google Scholar] [CrossRef]
- De Clercq, E. Perspectives of Non-Nucleoside Reverse Transcriptase Inhibitors (NNRTIs) in the Therapy of HIV-1 Infection. Il Farm. 1999, 54, 26–45. [Google Scholar] [CrossRef]
- Xuan, T.D.; Minh, T.N.; Khanh, T.D. Isolation and Biological Activities of 3-Hydroxy-4(1H)-Pyridone. J. Plant Interact. 2016, 11, 94–100. [Google Scholar] [CrossRef]
- Yin, M.H.; Kang, D.G.; Choi, D.H.; Kwon, T.O.; Lee, H.S. Screening of Vasorelaxant Activity of Some Medicinal Plants Used in Oriental Medicines. J. Ethnopharmacol. 2005, 99, 113–117. [Google Scholar] [CrossRef]
- Parreira, R.L.T.; Abrahão, O.; Galembeck, S.E. Conformational Preferences of Non-Nucleoside HIV-1 Reverse Transcriptase Inhibitors. Tetrahedron 2001, 57, 3243–3253. [Google Scholar] [CrossRef]
- Corbett, J.W.; Kresge, K.J.; Pan, S.; Cordova, B.C.; Klabe, R.M.; Rodgers, J.D.; Erickson-Viitanen, S.K. Trifluoromethyl-Containing 3-Alkoxymethyl- and 3-Aryloxymethyl-2-Pyridinones Are Potent Inhibitors of HIV-1 Non-Nucleoside Reverse Transcriptase. Bioorg. Med. Chem. Lett. 2001, 11, 309–312. [Google Scholar] [CrossRef]
- Hwang, D.R.; Driscoll, J.S. Pyridones as Potential Antitumor Agents. J. Pharm. Sci. 1979, 68, 816–819. [Google Scholar] [CrossRef]
- Mao, D.T.; Driscoll, J.S.; Marquez, V.E. Synthesis of 3-Hydroxy-2-and-4-Pyridone Nucleosides as Potential Antitumor Agents. J. Med. Chem. 1984, 27, 160–164. [Google Scholar] [CrossRef]
- Malani, A.; Makwana, A.; Monapara, J.; Ahmad, I.; Patel, H.; Desai, N. Synthesis, Molecular Docking, DFT Study, and in Vitro Antimicrobial Activity of Some 4-(Biphenyl-4-Yl)-1,4-Dihydropyridine and 4-(Biphenyl-4-Yl)Pyridine Derivatives. J. Biochem. Mol. Toxicol. 2021, 35, e22903. [Google Scholar] [CrossRef]
- Ahamed, A.; Arif, I.A.; Mateen, M.; Surendra Kumar, R.; Idhayadhulla, A. Antimicrobial, Anticoagulant, and Cytotoxic Evaluation of Multidrug Resistance of New 1,4-Dihydropyridine Derivatives. Saudi J. Biol. Sci. 2018, 25, 1227–1235. [Google Scholar] [CrossRef]
- Lin, C.H.; Lane, H.Y. The Role of N-Methyl-D-Aspartate Receptor Neurotransmission and Precision Medicine in Behavioral and Psychological Symptoms of Dementia. Front. Pharmacol. 2019, 10, 540. [Google Scholar] [CrossRef]
- Lintunen, J.; Lähteenvuo, M.; Tiihonen, J.; Tanskanen, A.; Taipale, H. Adenosine Modulators and Calcium Channel Blockers as Add-on Treatment for Schizophrenia. NPJ Schizophrenia 2021, 7, 1. [Google Scholar] [CrossRef]
- Jeong, H.S.; Lim, H.S.; Park, H.J.; Lee, W.S.; Choi, J.O.; Lee, H.S.; Jo, S.H.; Hong, S.J. Clinical Outcomes between Calcium Channel Blockers and Angiotensin Receptor Blockers in Hypertensive Patients without Established Cardiovascular Diseases during a 3-Year Follow-Up. Sci. Rep. 2021, 11, 1783. [Google Scholar] [CrossRef]






































![]() 3,4-DHPo | |||||||
|---|---|---|---|---|---|---|---|
| R1 | R2 | MP (°C) | Ref. | R1 | R2 | MP (°C) | Ref. |
| [16] | 4-CN | Me | 259–260 | [50] | |||
| 4-Cl | Me | 202–203 | 4-COOCH3 | Me | 186–187 | ||
| 4-CH3 | Me | 186–187 | 4-Cl | Et | 178–179 | ||
| 2,4-di-NO2 | Me | 212–213 | 4-CN | Et | 169–170 | ||
| 4-COOCH3 | Et | 189–190 | |||||
| H | Me | 181–182 | [24] | H | OMe | 197–198 | [51] |
| 2-NO2 | Me | 178–180 | H | OEt | 168–171 | ||
| 3-NO2 | Me | 212–214 | 4-F | OMe | 206–208 | ||
| 4-NO2 | Me | 190–192 | 4-F | OEt | 184–486 | ||
| 2-Cl | Me | 196–198 | 4-NO2 | OMe | 200–202 | ||
| 3-pyridyl | Me | 199–201 | 4-NO2 | OEt | 130–133 | ||
| H | Et | 201–202 | 2-CH3 | OMe | Oil | ||
| 2-NO2 | Et | 198–200 | 2-CH3 | OEt | Oil | ||
| 3-NO2 | Et | 225–227 | 4-OCH3 | OMe | 180–183 | ||
| 4-NO2 | Et | 251–253 | 4-OCH3 | OEt | 185–188 | ||
| 2-Cl | Et | 210–212 | p-CHO | OMe | Oil | ||
| 3-pyridyl | Et | 217–219 | m-CHO | OEt | Oil | ||
![]() | |||
|---|---|---|---|
| H1 | H3a | H3b | H4 |
| 9.90 (s) | 2.39 (d) | 2.92 (dd) | 4.12 (d) |
| J = 16.2 | J = 16.2, J = 7.2 | J = 7.2 | |
Publisher’s Note: MDPI stays neutral with regard to jurisdictional claims in published maps and institutional affiliations. |
© 2022 by the authors. Licensee MDPI, Basel, Switzerland. This article is an open access article distributed under the terms and conditions of the Creative Commons Attribution (CC BY) license (https://creativecommons.org/licenses/by/4.0/).
Share and Cite
Chalán-Gualán, S.; Castro, V.; Oropeza, R.; Suárez, M.; Albericio, F.; Rodríguez, H. 3,4-Dihydro-2(1H)-Pyridones as Building Blocks of Synthetic Relevance. Molecules 2022, 27, 5070. https://doi.org/10.3390/molecules27165070
Chalán-Gualán S, Castro V, Oropeza R, Suárez M, Albericio F, Rodríguez H. 3,4-Dihydro-2(1H)-Pyridones as Building Blocks of Synthetic Relevance. Molecules. 2022; 27(16):5070. https://doi.org/10.3390/molecules27165070
Chicago/Turabian StyleChalán-Gualán, Sisa, Vida Castro, Ruth Oropeza, Margarita Suárez, Fernando Albericio, and Hortensia Rodríguez. 2022. "3,4-Dihydro-2(1H)-Pyridones as Building Blocks of Synthetic Relevance" Molecules 27, no. 16: 5070. https://doi.org/10.3390/molecules27165070
APA StyleChalán-Gualán, S., Castro, V., Oropeza, R., Suárez, M., Albericio, F., & Rodríguez, H. (2022). 3,4-Dihydro-2(1H)-Pyridones as Building Blocks of Synthetic Relevance. Molecules, 27(16), 5070. https://doi.org/10.3390/molecules27165070



