Next Article in Journal
Effect of Various Retentive Element Materials on Retention of Mandibular Implant-Retained Overdentures
Next Article in Special Issue
High-Density “Windowpane” Coordination Patterns of Water Clusters and Their NBO/NRT Characterization
Previous Article in Journal
Anti-Inflammatory Activity of Oxyresveratrol Tetraacetate, an Ester Prodrug of Oxyresveratrol, on Lipopolysaccharide-Stimulated RAW264.7 Macrophage Cells
Previous Article in Special Issue
Theoretical Studies on the Structure and Intramolecular Interactions of Fagopyrins—Natural Photosensitizers of Fagopyrum
 
 
Font Type:
Arial Georgia Verdana
Font Size:
Aa Aa Aa
Line Spacing:
Column Width:
Background:
Article

Simultaneous Estimation of Two Coupled Hydrogen Bond Geometries from Pairs of Entangled NMR Parameters: The Test Case of 4-Hydroxypyridine Anion

by
Elena Yu. Tupikina
1,*,
Mark V. Sigalov
2 and
Peter M. Tolstoy
1
1
Institute of Chemistry, St. Petersburg State University, 199034 St. Petersburg, Russia
2
Department of Chemistry, Ben-Gurion University of the Negev, Beer-Sheva 84105, Israel
*
Author to whom correspondence should be addressed.
Molecules 2022, 27(12), 3923; https://doi.org/10.3390/molecules27123923
Submission received: 25 April 2022 / Revised: 15 June 2022 / Accepted: 16 June 2022 / Published: 18 June 2022
(This article belongs to the Collection Hydrogen Bonds)

Abstract

:
The computational method for estimating the geometry of two coupled hydrogen bonds with geometries close to linear using a pair of spectral NMR parameters was proposed. The method was developed based on the quantum-chemical investigation of 61 complexes with two hydrogen bonds formed by oxygen and nitrogen atoms of the 4-hydroxypyridine anion with OH groups of substituted methanols. The main idea of the method is as follows: from the NMR chemical shifts of nuclei of atoms forming the 4-hydroxylpyridine anion, we select such pairs, whose values can be used for simultaneous determination of the geometry of two hydrogen bonds, despite the fact that every NMR parameter is sensitive to the geometry of each of the hydrogen bonds. For these parameters, two-dimensional maps of dependencies of NMR chemical shifts on interatomic distances in two hydrogen bonds were constructed. It is shown that, in addition to chemical shifts of the nitrogen atom and quaternary carbon, which are experimentally difficult to obtain, chemical shifts of the carbons and protons of the CH groups can be used. The performance of the proposed method was evaluated computationally as well on three additional complexes with substituted alcohols. It was found that, for all considered cases, hydrogen bond geometries estimated using two-dimensional correlations differed from those directly calculated by quantum-chemical methods by not more than 0.04 Å.

1. Introduction

Spectral NMR diagnostics is an important tool for studies of complexes with hydrogen bonds, as oftentimes it is the main way to obtain reliable information about hydrogen bond geometry and strength [1,2,3,4,5,6,7]. At the moment, there are a number of correlational equations linking the numerical value of spectral NMR parameters and the geometry/energy of a single hydrogen bond [8]. Some of them are well established and widely used, and their applicability was tested for multiple set of complexes, while others are applicable only to particular complexes and conditions. Among the parameters whose change upon the formation of a hydrogen-bonded complex is correlated with the strength of a X–H···Y hydrogen bond, one can distinguish two major groups. The parameters of the first group are characterized by a monotonous change along the proton transfer coordinate. As representatives of this group, one can name the chemical shifts of heavy nuclei δX and δY and the spin–spin coupling constants 1JXH and 1JHY [9,10,11,12,13]. Parameters from the second group exhibit extremal values for the shortest (strongest) hydrogen bond. As an example, one could mention the chemical shift of the bridging proton δH or the spin–spin coupling constant 2hJXY, whose change along the proton transfer coordinate can be characterized by a bell-shaped curve [3,4,5,14,15,16,17]. Parameters from the first group are preferable when solving the inverse spectral problem as their value unequivocally corresponds to a single geometry of a hydrogen bond. For parameters from the second group, there is an uncertainty that is caused by the fact that a single value of the parameter can be observed for two configurations of a hydrogen bond.
Despite the successful development of numerous methods of spectral diagnostics for estimating the geometry and strength of hydrogen bonds, there are some relevant issues that remain to be solved. For example, it is not known how the inverse spectral problem can be solved for systems with multiple mutually interacting hydrogen bonds, since the magnitude of each spectral parameter can be influenced by the presence of all hydrogen bonds simultaneously.
The aim of this computational work is to demonstrate the possibility of solving the inverse spectral problem for a system with two coupled hydrogen bonds, in particular, to find such pairs of spectral NMR variables that could be used for an unequivocal evaluation of geometries of a pair of mutually influencing hydrogen bonds. As a model system, we consider a 4-hydroxypyridine anion, which can form two hydrogen bonds as a hydrogen bond acceptor (from the oxygen and nitrogen side) with two substituted methanol molecules (Figure 1).
Substitution was made by a subsequent replacement of hydrogen atoms by CN, NO2, OMe or F groups. The resulting set of substituted methanols served as a source of proton donors of various strengths, regardless of their practical chemical stability. Table 1 shows the pattern of substitution used within each of the four sub-series of complexes (full list of substituents can be found in Table S1 in the Supporting Information). Together with the unsubstituted complex R1 = R2 = R3 = H, R4 = R5 = R6 = H, 61 complexes with two hydrogen bonds were considered in this work. In such systems, OHO and OHN hydrogen bonds can be of various strengths (from weak to moderate-strong, it is controlled by the choice of substituents). All hydrogen bonds are fairly linear (the range of OHO and OHN angles is 156°–179°, see Table S1) and are formed along the direction of the lone pair localization on proton-accepting O and N atoms. The central 4-hydroxypyridine anion can be negatively charged (OH···OPyrN···HO), neutral (O···HOPyrN···HO or OH···OPyrNH···O) or even positively charged (O···HOPyrNH+···O), depending on proton positions in hydrogen bonds. Therefore, such a choice of model systems is suitable for the investigation of complexes with two mutually influencing hydrogen bonds (OHO and OHN) in a wide range of hydrogen bond geometries formed by neutral or charged species. Throughout the work, parameters associated with the OHO hydrogen bond will be denoted with an index “a” and those of OHN—with an index “b”.
The proposed concept for simultaneous solution of the inverse spectral problem for both coupled hydrogen bonds is as follows. In order to determine the geometries of two hydrogen bonds, two spectral parameters are needed. A particular value of a chosen spectral parameter corresponds to multiple combinations of the two hydrogen bond geometries, forming an isoline on a distribution map of a spectral parameter as a function of two proton transfer coordinates (Figure 2, top). However, if one measures two spectral parameters, the intersection of two isolines (Figure 2, bottom) gives the geometry of the two hydrogen bonds in a coupled system. The case with a single intersection of two isolines is preferable and will be used in the following discussion as the criterion for a choice of spectral parameters for solving the inverse spectral problem.

2. Results and Discussion

The geometric parameters (interatomic distances r1, r2, r3 and r4) of hydrogen bonds in investigated complexes are collected in Table S1. The set of complexes covers a wide range of hydrogen bonds geometries—there are complexes without proton transfer in both hydrogen bonds (OH···OPyrN···HO), complexes with proton transfer in one of the hydrogen bonds (O···HOPyrN···HO or OH···OPyrNH···O) and complexes with two hydrogen bonds with proton transfer (O···HOPyrNH+···O). The dependencies of the q 2 a = r 1 + r 2 coordinate on q 1 a = 0.5 · ( r 1 r 2 ) for the OHO hydrogen bond and the q 2 b = r 4 + r 3 coordinate on q 1 b = 0.5 · ( r 4 r 3 ) for the OHN hydrogen bond are shown in Figure 3. It is seen that the complexes cover a range of q1 from ca. −0.4 to ca. 0.35 Å forming a parabolic curve.
Despite the fact that OHO and OHN hydrogen bonds are divided in space by 4-hydroxypyridine anion, they “feel” the presence of each other through the electronic system of the complex as a whole, the phenomenon is called cooperativity. It manifests as the changes of the proton position in one hydrogen bond depending on the proton position in another hydrogen bond. For example, if one fixes the substituents R1, R2 and R3 in the proximity of the OHO hydrogen bond (see a set of points of the same shape and color in Figure 4), the variation of substituents in OHN hydrogen bond causes a change in q1a. Complexes with a “tail-to-tail” (OH···OPyrN···HO) and a “head-to-head” (O···HOPyrNH+···O) configuration are anti-cooperative (blue areas in Figure 4): i.e., the strengthening of one hydrogen bond causes the weakening of another hydrogen bond. For complexes with “head-to-tail geometry” (O···HOPyrN···HO and OH···OPyrNH···O) (green areas in Figure 4) cooperative effects are observed: i.e., the strengthening of one hydrogen bond causes the strengthening of another. Thus, the character of mutual influence of geometries of OHO and OHN hydrogen bonds in such a system can be either cooperative or anti-cooperative.
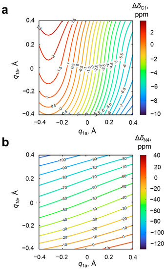
Among the NMR parameters of the 4-hydroxypyridine anion, which potentially are sensitive to the geometries of OH···O and OH···N hydrogen bonds, chemical shifts of the nuclei located in the proximity of hydrogen bonds, i.e., carbon (C1) and nitrogen (N4), are the first candidates. The changes of carbon and nitrogen chemical shifts upon complexation, ΔδC1 and ΔδN4, are shown in Figure 5.
In Figure 5, it is clearly seen that the C1 carbon chemical shift changes with the change of geometries of both hydrogen bonds—upon moving the bridging proton along OHO hydrogen bond (with fixed geometry of OHN hydrogen bond), ΔδC1 changes by up to 8 ppm, and moving it along the OHN hydrogen bond causes a change of ΔδC1 by up to 2.5 ppm. In other words, the steepness of the slope of the ΔδC1(q1a, q1b) surface is larger in the direction of q1a than in the direction of q1b. Contrarily, the nitrogen chemical shift is more sensitive to the geometry of the closest (OHN) hydrogen bond. The shape of the isolines of the distributions of ΔδC1 and ΔδN4 makes the unequivocal solving of the inverse spectral problem possible for most cases (except for q1a ≈ −0.3 Å due to the shape of the ΔδC1 isolines in this region caused by a presence of a hill with its maximal value). Together with the high sensitivity discussed above, this makes the pair ΔδC1 and ΔδN4 quite promising parameters. However, the experimental issues of measuring nitrogen chemical shift (low natural abundance of 15N and line broadening due to quadrupolar interactions in 14N NMR spectra) encourage us to discuss additional NMR parameters.
The next pair of “promising” NMR parameters are the changes of chemical shifts of bridging protons in the OHO and OHN hydrogen bonds upon complexation, ΔδHa and ΔδHb; their dependences on q1a and q1b are shown in Figure 6. Along the OHO hydrogen bond, ΔδHa increases from 8 to 17 ppm for q1a < 0, reaches maximal value at q1a ≈ 0 and then decreases to 0 ppm. The change of the geometry of the OHN hydrogen bond (q1b) does not significantly influence ΔδHa. A similar situation is observed for Δδ2b: moving along the OHN hydrogen bond (q1b) changes ΔδHb from 9 to 18 ppm for q1b ≈ 0 and then down to 0 ppm. It is clearly seen that both surfaces have a hill of maximal values of ΔδH and slopes in the direction of one of q1 axes (q1a for ΔδHa and q1b for ΔδHb). It means that the magnitude of the bridging proton chemical shift in a given hydrogen bond is determined almost exclusively by the geometry and electronic features of the three atoms forming this bond. In other words, the chemical shifts of the two bridging protons are not coupled. For the purposes of solving the reverse spectral problem, this is an advantage, because the magnitude of each chemical shift can be used for the independent evaluation of hydrogen bond geometries.
However, there are two principal problems with such an approach. The first problem was mentioned in introduction and is caused by the fact that a particular value of one of the proton chemical shifts (ΔδHa or ΔδHb) corresponds to an isoline in distributions shown in Figure 6a,b that form a hairpin curve. Two hairpin isolines have four intersecting points (see Figure 7), i.e., each set of ΔδHa and ΔδHb values could correspond to four alternative hydrogen bond geometries. The second problem with using ΔδHa and ΔδHb for the evaluation of hydrogen bond geometries is due to the fact that, in the experimental spectrum, it is difficult to distinguish which signal will relate to the OHO and which to the OHN hydrogen bond. This issue demands the usage of additional NMR parameters, for example, chemical shifts of the nuclei of 4-hydroxypyridine.
For an additional estimation of the mutual influence of OHO and OHN hydrogen bonds, calculations for two extra sets of systems with a single hydrogen bond were performed (4-hydroxypyridine anion with one substituted methanol from either the oxygen or nitrogen side, 10 complexes in each extra set). The results the of NMR calculations (δC26 and δC35) are presented in Figures S1 and S2 of the Supporting Information. The difference plot between data shown in Figure 8 (system with two coupled hydrogen bonds) and Figures S1 and S2 (hypothetical system with no coupling between hydrogen bond modeled as a sum of systems with a single hydrogen bond) is shown in Figure S3. It is clearly seen that the cooperativity effects on the NMR parameters are substantial (±2–4 ppm, making them non-negligible) and non-monotonous. The strongest effects are observed for the configuration O···HOPyrNH+···O.
In order to test the approach proposed in this work, we performed additional calculations of structure and NMR parameters for three arbitrarily chosen complexes of 4-hydroxypyridine anion with CH3CFHOH and CF3CFHOH molecules: 1 (CH3CFHOH···OPyrN···HOCFHCF3), 2 (CF3CFHOH···OPyrN···HOCFHCF3) and 3 (CF3CFHOH···OPyrN···HOCFHCH3); the optimized structures of 13 are shown in Figure 9. The results of the comparison of the “predicted” geometry based on pairs of NMR chemical shifts and the “real” (calculated) geometries of the two hydrogen bonds are summarized in Table 2 and shown in Figures S4–S6 in the Supporting Information. It can be concluded that hydrogen bond geometries estimated using two-dimensional correlations differ from those directly calculated by quantum-chemical methods by not more than 0.04 Å. The only exception is complex 3 (CF3CFHOH and CF3CFHOH), for which the chemical shifts of carbons C2 and C6 differ significantly due to the presence of an additional hydrogen bond between the CH-group of the 4-hydroxypyridine anion and the fluorine atom of the substituted methanol (see Figure S7). In this case, using the chemical shift of carbon atom not involved in additional hydrogen bonding instead of the arithmetically averaged chemical shift ΔδC26 is more appropriate.

3. Computational Details

Geometry optimization was performed using second-order Moller–Plesset perturbation theory (MP2) [12,13] with Dunning’ correlation-consistent polarized double-ζ basis set with diffuse functions aug-cc-pVDZ [14]. All calculated geometries were checked for the absence of imaginary frequencies. Chemical shieldings were calculated using DFT (B3LYP) with the augmented polarization consistent triple-ζ basis set aug-pcS-2, which is specially designed for the calculation of shieldings at the DFT level with a high accuracy [18].
Calculations were carried out using the Gaussian16 software. Computational resources were provided by the Computer Center of Saint Petersburg University Research Park (http://www.cc.spbu.ru/, accessed on 1 April 2020).
Visualization was performed in GaussView 6.0 and MATLAB 2021b software packages.
For the description of the geometries of OHO and OHN hydrogen bonds, the parameters q1 and q2 were used [2,16,17]: q 1 = 0.5 · ( r O H r H Y ) , q 2 = r O H + r H Y , where Y = O, N. The meaning of q1 and q2 coordinates is pretty clear for linear hydrogen bonds—the q1 coordinate is the shift of the hydrogen atom from the hydrogen bond center, the q2 coordinate is the total length of the hydrogen bond (for strictly linear hydrogen bonds, q2 is the distance between the heavy atoms O...O or O...N; it should be noted that, as hydrogen bonds deviate from linearity, q2 loses this geometrical meaning, because in this case q2 is slightly longer than the distance O...O or O...N). For the OHO hydrogen bond, the following pair of coordinates was used q 1 a = 0.5 · ( r 1 r 2 ) and q 2 a = r 1 + r 2 and for OHN, they were q 1 b = 0.5 · ( r 4 r 3 ) and q 2 b = r 4 + r 3 , respectively.
The algorithm of construction for the distributions of spectral parameters (ΔδC1, ΔδN4 and others discussed in this work) along the q 1 a and q 1 b was as follows. For a set of complexes shown in Figure 1, NMR parameters were calculated. Let us denote the spectral parameter as f. The value of a change of a spectral parameter upon complexation is defined as Δ f = f c o m p l e x f f r e e (where f f r e e is the value of a given spectral parameter for an isolated 4-hydroxypyridine anion or methanol, and f c o m p l e x is the value of the same parameter within a hydrogen-bonded complex). Calculated Δf values were approximated as a function of q 1 a and q 1 b using the Curve Fitting Tool implemented in the MATLAB 2021b software package by a polynomial function of a third-degree along q 1 a and q 1 b without cross-terms:
Δ f ( q 1 a , q 2 b ) = a + b 1 q 1 a + c 1 q 1 a 2 + d 1 q 1 a 3 + b 2 q 1 b + c 2 q 1 b 2 + d 2 q 1 b 3
The coefficients a, b1, c1, d1, b2, c2 and d2 for all discussed parameters and the coefficient of determination R2 for each approximation are given in Table S2 in the Supporting Information. The resulting functions were plotted as contour plots, in which each isoline corresponds to the particular value of Δf and is marked by a color and an isovalue for clarity in the following figures. The polynomials were taken as one of the simplest forms that could describe the strongly non-monotonous behavior of spectral parameters. There is no deeper reason for this choice, and for the fitting purposes, other functions could be selected if the data points would allow doing so.

4. Conclusions

In this work, the possibility of solving the inverse spectral problem for a system with two coupled hydrogen bonds was demonstrated on the example of 61 complexes formed by 4-hydroxypyridine anion with two substituted methanols with OHO and OHN hydrogen bonds. The algorithm for using two-dimensional correlations is as follows: for measured or calculated change of two given spectral parameters, one should find isolines on their corresponding plots and overlap them (see Figure 2). The coordinates of the intersection point of the two isolines will give the proton positions in both hydrogen bonds. It was demonstrated that any pair of parameters ΔδN4, ΔδC1, ΔδC26, ΔδC35 and ΔδH35 is suitable for the evaluation of hydrogen bond geometries. However, ΔδC1, ΔδC26, ΔδC35 and ΔδH35 are more easily available from an experiment.
Thus far, we have only tested our approach computationally on three examples of complexes. The applicability of the method “in practice” awaits experimental verification by future researchers. Indeed, the proposed approach has obvious limitations. Firstly, such 2D maps are constructed for each compound individually (in our case for 4-hydroxypyridine anion). Secondly, the experimental application of the approach requires the measurements of signals that are not averaged out by fast (in the NMR time scale) molecular exchange—a condition that is not necessarily satisfied for intermolecular complexes. The coexistence of several types of molecular complexes in a solution at the same time can also complicate the solving of the reverse spectral problem. Thirdly, the accuracy of the 2D chemical shift maps worsens in the presence of additional non-covalent interactions between the proton donors and the central proton-accepting molecule. Fourthly, for other systems, multiple extrema in the 2D maps of spectral parameters can make determination of hydrogen bonds geometries non-unequivocal, as shown in Figure 7. An unfortunate combination of all four factors could, of course, render the proposed approach totally unreliable. Nevertheless, we have shown in principle that, for systems where these limitations are absent or can be neglected, the NMR spectral data can be sufficient to solve the two-dimensional reverse spectral problem even with a significant entanglement of spectral parameters.
The accuracy of geometry estimations with this approach for systems with two OHO and OHN hydrogen bonds (and without additional interactions) is in the range ±0.04 Å.

Supplementary Materials

The following supporting information can be downloaded at: https://www.mdpi.com/article/10.3390/molecules27123923/s1, Table S1:Geometric parameters of OHO and OHN hydrogen bonds; Table S2: Coefficients a, b1, c1, d1, b2, c2 and d2 for each discussed spectral parameter, R2 for each approximation; Figure S1:ΔδC35 for complexes of hydroxypyridine anion with a single substituted methanol molecule from an oxygen side (OHO hydrogen bond) ΔδC35a and from a nitrogen site (OHN hydrogen bond) ΔδC35b. Distributions of the sum ΔδC35 = ΔδC35a + ΔδC25b along q1a and q1b hydrogen bonds; Figure S2: ΔδC26 for complexes of hydroxypyridine with a single substituted methanol molecule from an oxygen side (OHO hydrogen bond) ΔδC26a and from a nitrogen site (OHN hydrogen bond) ΔδC26b. Distributions of the sum ΔδC26_ = ΔδC26a + ΔδC26b along q1a and q1b hydrogen bonds; Figure S3: ΔδC26–ΔδC26, ΔδC35–ΔδC35_ along q1a and q1b; Figure S4: Solution of the inverse spectral problem for R1 = H, R2 = F, R3 = CH3, R4 = H, R5 = F, R6 = CF3; Figure S5: Solution of the inverse spectral problem for R1 = H, R2 = F, R3 = CF3, R4 = H, R5 = F, R6 = CF3; Figure S6: Solution of the inverse spectral problem for R1 = H, R2 = F, R3 = CF3, R4 = H, R5 = F, R6 = CH3; Figure S7: Optimized geometry of complex 3 with CF3CFOH and CH3CFHOH as hydrogen bond donors.

Author Contributions

Conceptualization, P.M.T. and M.V.S.; methodology, E.Y.T.; validation, P.M.T. and M.V.S.; formal analysis, E.Y.T. and M.V.S.; investigation, E.Y.T. and M.V.S.; data curation, E.Y.T.; writing—original draft preparation, E.Y.T.; writing—review and editing, P.M.T. and M.V.S.; visualization, E.Y.T.; funding acquisition, P.M.T. All authors have read and agreed to the published version of the manuscript.

Funding

This research was funded by Russian Science Foundation grant number 18-13-00050.

Institutional Review Board Statement

Not applicable.

Informed Consent Statement

Not applicable.

Data Availability Statement

Data is contained within the article or Supplementary Material.

Acknowledgments

This study was supported by the Russian Science Foundation.

Conflicts of Interest

The authors declare no conflict of interest.

Sample Availability

Samples of the compounds are not available from the authors.

References

  1. Arunan, E.; Desiraju, G.R.; Klein, R.A.; Sadlej, J.; Scheiner, S.; Alkorta, I.; Clary, D.C.; Crabtree, R.H.; Dannenber, J.J.; Hobza, P.; et al. Definition of the Hydrogen Bond (IUPAC Recommendations 2011). Pure Appl. Chem. 2011, 83, 1637–1641. [Google Scholar] [CrossRef]
  2. Jeffrey, G.A.; Yeon, Y. The Correlation between Hydrogen-Bond Lengths and Proton Chemical Shifts in Crystals. Acta Crystallogr. Sect. B Struct. Sci. 1986, 42, 410–413. [Google Scholar] [CrossRef]
  3. Lorente, P.; Shenderovich, I.G.; Golubev, N.S.; Denisov, G.S.; Buntkowsky, G.; Limbach, H.-H. 1H/15N NMR Chemical Shielding, Dipolar15N,2H Coupling and Hydrogen Bond Geometry Correlations in a Novel Series of Hydrogen-Bonded Acid-Base Complexes of Collidine with Carboxylic Acids. Org. Magn. Reson. 2001, 39, S18–S29. [Google Scholar] [CrossRef]
  4. Benedict, H.; Shenderovich, I.G.; Malkina, O.L.; Malkin, V.G.; Denisov, G.S.; Golubev, N.S.; Limbach, H.H. Nuclear Scalar Spin-Spin Couplings and Geometries of Hydrogen Bonds. J. Am. Chem. Soc. 2000, 122, 1979–1988. [Google Scholar] [CrossRef]
  5. Limbach, H.-H.; Tolstoy, P.M.; Pérez-Hernández, N.; Guo, J.; Shenderovich, I.G.; Denisov, G.S. OHO Hydrogen Bond Geometries and NMR Chemical Shifts: From Equilibrium Structures to Geometric H/D Isotope Effects, with Applications for Water, Protonated Water, and Compressed Ice. Isr. J. Chem. 2009, 49, 199–216. [Google Scholar] [CrossRef]
  6. Tupikina, E.Y.; Denisov, G.S.; Melikova, S.M.; Kucherov, S.Y.; Tolstoy, P.M. New Look at the Badger-Bauer Rule: Correlations of Spectroscopic IR and NMR Parameters with Hydrogen Bond Energy and Geometry. FHF Complexes. J. Mol. Struct. 2018, 1164, 129–136. [Google Scholar] [CrossRef]
  7. Giba, I.S.; Tolstoy, P.M. Self-Assembly of Hydrogen-Bonded Cage Tetramers of Phosphonic Acid. Symmetry 2021, 13, 258. [Google Scholar] [CrossRef]
  8. Tolstoy, P.M.; Tupikina, E.Y. IR and NMR Spectral Diagnostics of Hydrogen Bond Energy and Geometry. In Spectroscopy and Computation of Hydrogen-Bonded Systems; Wojcik, M.J., Ozaki, Y., Eds.; Wiley: Hoboken, NJ, USA, 2022. [Google Scholar]
  9. Ando, S.; Ando, I.; Shoji, A.; Ozaki, T. Intermolecular Hydrogen-Bonding Effect on Carbon-13 NMR Chemical Shifts of Glycine Residue Carbonyl Carbons of Peptides in the Solid State. J. Am. Chem. Soc. 2002, 110, 3380–3386. [Google Scholar] [CrossRef]
  10. Guo, J.; Tolstoy, P.M.; Koeppe, B.; Golubev, N.S.; Denisov, G.S.; Smirnov, S.N.; Limbach, H.H. Hydrogen Bond Geometries and Proton Tautomerism of Homoconjugated Anions of Carboxylic Acids Studied via H/D Isotope Effects on 13C NMR Chemical Shifts. J. Phys. Chem. A 2012, 116, 11180–11188. [Google Scholar] [CrossRef] [PubMed]
  11. Mulloyarova, V.V.; Giba, I.S.; Denisov, G.S.; Ostras’, A.S.; Tolstoy, P.M. Conformational Mobility and Proton Transfer in Hydrogen-Bonded Dimers and Trimers of Phosphinic and Phosphoric Acids. J. Phys. Chem. A 2019, 123, 6761–6771. [Google Scholar] [CrossRef] [PubMed]
  12. Tolstoy, P.M.; Smirnov, S.N.; Shenderovich, I.G.; Golubev, N.S.; Denisov, G.S.; Limbach, H.H. NMR Studies of Solid State—Solvent and H/D Isotope Effects on Hydrogen Bond Geometries of 1:1 Complexes of Collidine with Carboxylic Acids. J. Mol. Struct. 2004, 700, 19–27. [Google Scholar] [CrossRef]
  13. Del Bene, J.E.; Bartlett, R.J.; Elguero, J. Interpreting 2hJ(F,N), 1hJ(H,N) and 1J(F,H) in the Hydrogen-Bonded FH–Collidine Complex. Magn. Reson. Chem. 2002, 40, 767–771. [Google Scholar] [CrossRef]
  14. Harris, T.K.; Zhao, Q.; Mildvan, A.S. NMR Studies of Strong Hydrogen Bonds in Enzymes and in a Model Compound. J. Mol. Struct. 2000, 552, 97–109. [Google Scholar] [CrossRef]
  15. Del Bene, J.E.; Alkorta, I.; Elguero, J. Spin-spin coupling across intramolecular N-H+-N hydrogen bonds in models for proton sponges: An ab initio investigation. Magn. Reson. Chem. 2008, 46, 457–463. [Google Scholar] [CrossRef] [PubMed]
  16. Del Bene, J.E.; Elguero, J. Systematic Ab Initio Study of 15N 15N and 15N 1H Spin-Spin Coupling Constants across N-H +-N Hydrogen Bonds: Predicting N-N and N-H Coupling Constants and Relating Them to Hydrogen Bond Type. J. Phys. Chem. A 2006, 110, 7496–7502. [Google Scholar] [CrossRef] [PubMed]
  17. Shenderovich, I.G.; Tolstoy, P.M.; Golubev, N.S.; Smirnov, S.N.; Denisov, G.S.; Limbach, H.H. Low-Temperature NMR Studies of the Structure and Dynamics of a Novel Series of Acid-Base Complexes of HF with Collidine Exhibiting Scalar Couplings across Hydrogen Bonds. J. Am. Chem. Soc. 2003, 125, 11710–11720. [Google Scholar] [CrossRef] [PubMed]
  18. Jensen, F. Basis Set Convergence of Nuclear Magnetic Shielding Constants Calculated by Density Functional Methods. J. Chem. Theory Comput. 2008, 4, 719–727. [Google Scholar] [CrossRef] [PubMed]
Figure 1. Schematic representation of investigated complexes with two hydrogen bonds formed by 4-hydroxypyridine anion as a hydrogen bond acceptor and two substituted methanols as donors. Geometric parameters (interatomic distances r1, r2, r3 and r4, grey) and spectral NMR parameters (chemical shifts of bridging protons δHa, δHb, red; atoms of 4-hydroxypyridine anion’s ring: oxygen atom δO1, green; carbons δC1, δC2, δC3, δC5, δC6, blue; hydrogens δH2, δH3, δH5, δH6, red, and nitrogen δN4, green) considered in this work are indicated.
Figure 1. Schematic representation of investigated complexes with two hydrogen bonds formed by 4-hydroxypyridine anion as a hydrogen bond acceptor and two substituted methanols as donors. Geometric parameters (interatomic distances r1, r2, r3 and r4, grey) and spectral NMR parameters (chemical shifts of bridging protons δHa, δHb, red; atoms of 4-hydroxypyridine anion’s ring: oxygen atom δO1, green; carbons δC1, δC2, δC3, δC5, δC6, blue; hydrogens δH2, δH3, δH5, δH6, red, and nitrogen δN4, green) considered in this work are indicated.
Molecules 27 03923 g001
Figure 2. Schematic representation of the algorithm of inverse spectral problem solving. The isolines are drawn arbitrarily and do not correspond to any particular case.
Figure 2. Schematic representation of the algorithm of inverse spectral problem solving. The isolines are drawn arbitrarily and do not correspond to any particular case.
Molecules 27 03923 g002
Figure 3. Dependencies of the (a) q 2 a = r 1 + r 2 coordinate on q 1 a = 0.5 · ( r 1 r 2 ) for OHO hydrogen bond; dependencies of the (b) q 2 b = r 4 + r 3 coordinate on q 1 b = 0.5 · ( r 4 r 3 ) for OHN hydrogen bond. Dashed lines are guides for the eye.
Figure 3. Dependencies of the (a) q 2 a = r 1 + r 2 coordinate on q 1 a = 0.5 · ( r 1 r 2 ) for OHO hydrogen bond; dependencies of the (b) q 2 b = r 4 + r 3 coordinate on q 1 b = 0.5 · ( r 4 r 3 ) for OHN hydrogen bond. Dashed lines are guides for the eye.
Molecules 27 03923 g003
Figure 4. The dependence of proton position in the NH···O hydrogen bond q1b on the proton position in the OH···O hydrogen bond q1a. The shape and color of a marker indicate a series of complexes with the same set of substituents R1, R2 and R3 (shown in legend) and varying set of substituents R4, R5 and R6. Green areas correspond to cooperative hydrogen bonds and blue areas to anti-cooperative ones.
Figure 4. The dependence of proton position in the NH···O hydrogen bond q1b on the proton position in the OH···O hydrogen bond q1a. The shape and color of a marker indicate a series of complexes with the same set of substituents R1, R2 and R3 (shown in legend) and varying set of substituents R4, R5 and R6. Green areas correspond to cooperative hydrogen bonds and blue areas to anti-cooperative ones.
Molecules 27 03923 g004
Figure 5. Distributions of the change upon complexation of chemical shift of (a) the C1 atom ΔδC1 and (b) the N4 atom ΔδN4 along q1 coordinates for OHO (q1a) and OHN (q1b) hydrogen bonds. The coefficients a, b1, c1, d1, b2, c2 and d2 (Equation (1)) and R2 are given in Table S2. Isolines are drawn with a step of 0.5 and 10 ppm, respectively.
Figure 5. Distributions of the change upon complexation of chemical shift of (a) the C1 atom ΔδC1 and (b) the N4 atom ΔδN4 along q1 coordinates for OHO (q1a) and OHN (q1b) hydrogen bonds. The coefficients a, b1, c1, d1, b2, c2 and d2 (Equation (1)) and R2 are given in Table S2. Isolines are drawn with a step of 0.5 and 10 ppm, respectively.
Molecules 27 03923 g005
Figure 6. Distributions of the change upon complexation of chemical shift of bridging protons (a) in the OH···O hydrogen bond ΔδHa and (b) in the OH···N hydrogen bond ΔδHb along q1 coordinates for OHO (q1a) and OHN (q1b) hydrogen bonds. The coefficients a, b1, c1, d1, b2, c2 and d2 (Equation (1)) and R2 are given in Table S2. Isolines are drawn with a step of 2 ppm.
Figure 6. Distributions of the change upon complexation of chemical shift of bridging protons (a) in the OH···O hydrogen bond ΔδHa and (b) in the OH···N hydrogen bond ΔδHb along q1 coordinates for OHO (q1a) and OHN (q1b) hydrogen bonds. The coefficients a, b1, c1, d1, b2, c2 and d2 (Equation (1)) and R2 are given in Table S2. Isolines are drawn with a step of 2 ppm.
Molecules 27 03923 g006
Figure 7. Schematic representation of the non-unequivocal inverse spectral problem solving. The black dots correspond to the four possible solutions. NMR parameters of the 4-hydroxypyridine anion, the chemical shift of carbon δC2, δC3, δC5, δC6 and the hydrogen atoms δH2, δH3, δH5, δH6, were also analyzed for their sensitivity and applicability for the evaluation of the geometries of OHO and OHN hydrogen bonds. We found that the most promising parameters are arithmetically averaged chemical shifts of C2 and C6 atoms (δC26), C3 and C5 atoms (δC35) and H3 and H5 atoms (δH35). The distributions of changes of these parameters are shown in Figure 8. Both carbon chemical shifts, ΔδC26 and ΔδC35, are more sensitive to the closest hydrogen bond (OHO and OHN, respectively). The range of values of ΔδC26 was about 10 ppm, ΔδC35—15 ppm, which makes both of them suitable for the accurate evaluation of hydrogen bond geometries. The change of δH35 within the change of the OHO and OHN hydrogen bonds geometries slightly exceeded 1 ppm. The topology of these three surfaces is such that almost all combinations of pair of isolines of ΔδC26, ΔδC35 and ΔδH35 have a single intersection point, thus making the solution of an inverse spectral problem unequivocal.
Figure 7. Schematic representation of the non-unequivocal inverse spectral problem solving. The black dots correspond to the four possible solutions. NMR parameters of the 4-hydroxypyridine anion, the chemical shift of carbon δC2, δC3, δC5, δC6 and the hydrogen atoms δH2, δH3, δH5, δH6, were also analyzed for their sensitivity and applicability for the evaluation of the geometries of OHO and OHN hydrogen bonds. We found that the most promising parameters are arithmetically averaged chemical shifts of C2 and C6 atoms (δC26), C3 and C5 atoms (δC35) and H3 and H5 atoms (δH35). The distributions of changes of these parameters are shown in Figure 8. Both carbon chemical shifts, ΔδC26 and ΔδC35, are more sensitive to the closest hydrogen bond (OHO and OHN, respectively). The range of values of ΔδC26 was about 10 ppm, ΔδC35—15 ppm, which makes both of them suitable for the accurate evaluation of hydrogen bond geometries. The change of δH35 within the change of the OHO and OHN hydrogen bonds geometries slightly exceeded 1 ppm. The topology of these three surfaces is such that almost all combinations of pair of isolines of ΔδC26, ΔδC35 and ΔδH35 have a single intersection point, thus making the solution of an inverse spectral problem unequivocal.
Molecules 27 03923 g007
Figure 8. Distributions of the change upon complexation of average chemical shift of (a) C2 and C6 atoms ΔδC26, (b) C3 and C5 atoms ΔδC35 and (c) H3 and H5 atoms ΔδH35 along q1 coordinates for OHO (q1a) and OHN (q1b) hydrogen bonds. The coefficients a, b1, c1, d1, b2, c2 and d2 (Equation (1)) and R2 are given in Table S2. Isolines are drawn with a step of 0.5 ppm for (a,b) and 0.05 ppm for (c), respectively.
Figure 8. Distributions of the change upon complexation of average chemical shift of (a) C2 and C6 atoms ΔδC26, (b) C3 and C5 atoms ΔδC35 and (c) H3 and H5 atoms ΔδH35 along q1 coordinates for OHO (q1a) and OHN (q1b) hydrogen bonds. The coefficients a, b1, c1, d1, b2, c2 and d2 (Equation (1)) and R2 are given in Table S2. Isolines are drawn with a step of 0.5 ppm for (a,b) and 0.05 ppm for (c), respectively.
Molecules 27 03923 g008
Figure 9. Structures of additional complexes with two hydrogen bonds formed by 4-hydroxypyridine anion as a hydrogen bond acceptor and two substituted methanols as donors used for testing the proposed approach. From top to bottom: 1 (proton donors CH3CHFOH, CF3CHFOH), 2 (proton donors CH3CHFOH, CF3CHFOH), 3 (proton donors CF3CHFOH, CH3CHFOH).
Figure 9. Structures of additional complexes with two hydrogen bonds formed by 4-hydroxypyridine anion as a hydrogen bond acceptor and two substituted methanols as donors used for testing the proposed approach. From top to bottom: 1 (proton donors CH3CHFOH, CF3CHFOH), 2 (proton donors CH3CHFOH, CF3CHFOH), 3 (proton donors CF3CHFOH, CH3CHFOH).
Molecules 27 03923 g009
Table 1. List of substituents of 4-hydroxypyridine anion with two cyano-substituted methanol molecules. Pattern of substitution used for the selection of proton donors in complexes shown in Figure 1. X stands for one of the following substituents: CN, NO2, OMe or F.
Table 1. List of substituents of 4-hydroxypyridine anion with two cyano-substituted methanol molecules. Pattern of substitution used for the selection of proton donors in complexes shown in Figure 1. X stands for one of the following substituents: CN, NO2, OMe or F.
R1R2R3R4R5R6
HHHXHH
HHHXXH
HHHXXX
XHHHHH
XHHXHH
XHHXXH
XHHXXX
XXHHHH
XXHXHH
XXHXXH
XXHXXX
XXXHHH
XXXXHH
XXXXXH
XXXXXX
Table 2. Results of testing the proposed approach for three additional complexes, shown in Figure 8: 1 (proton donors CH3CHFOH, CF3CHFOH), 2 (proton donors CH3CHFOH, CF3CHFOH), 3 (proton donors CF3CHFOH, CH3CHFOH).
Table 2. Results of testing the proposed approach for three additional complexes, shown in Figure 8: 1 (proton donors CH3CHFOH, CF3CHFOH), 2 (proton donors CH3CHFOH, CF3CHFOH), 3 (proton donors CF3CHFOH, CH3CHFOH).
Complex
(Proton Donors)
Calculated GeometryPair of Parameters for PredictionPredicted Geometry
1
(CH3CHFOH,
CF3CHFOH)
q1a = −0.27 Å,
q1b = −0.20 Å
ΔδC1 = 1.2 ppm,
ΔδN4 = −37.0 ppm
q1a = −0.29 Å,
q1b = −0.21 Å
ΔδC26 = −1.2 ppm,
ΔδC35 = −5.5 ppm,
q1a = −0.30 Å,
q1b = −0.17 Å
ΔδC35 = −5.5 ppm,
ΔδH35 = 0.03 ppm
q1a = −0.32 Å,
q1b = −0.19 Å
2
(CF3CHFOH,
CF3CHFOH)
q1a = −0.19 Å,
q1b = −0.23 Å
ΔδC1 = 0.6 ppm,
ΔδN4 = −29.4 ppm
q1a = −0.20 Å,
q1b = −0.23 Å
ΔδC26 = −2.2 ppm,
ΔδC35 = −4.6 ppm,
q1a = −0.15 Å,
q1b = −0.20 Å
ΔδC35 = −4.6 ppm,
ΔδH35 = 0.22 ppm
q1a = −0.18 Å,
q1b = −0.20 Å
3
(CF3CHFOH,
CH3CHFOH)
q1_a = −0.17 Å,
q1_b = −0.31 Å
ΔδC1 = 0.0 ppm,
ΔδN4 = −14.8 ppm
q1a = −0.20 Å,
q1b = −0.33 Å
ΔδC26 = −3.0 ppm,
ΔδC35 = −3.0 ppm,
q1a = −0.01 Å,
q1b = −0.28 Å
ΔδC35 = −3.0 ppm,
ΔδH35 = 0.24 ppm
q1a = −0.16 Å,
q1b = −0.27 Å
Publisher’s Note: MDPI stays neutral with regard to jurisdictional claims in published maps and institutional affiliations.

Share and Cite

MDPI and ACS Style

Tupikina, E.Y.; Sigalov, M.V.; Tolstoy, P.M. Simultaneous Estimation of Two Coupled Hydrogen Bond Geometries from Pairs of Entangled NMR Parameters: The Test Case of 4-Hydroxypyridine Anion. Molecules 2022, 27, 3923. https://doi.org/10.3390/molecules27123923

AMA Style

Tupikina EY, Sigalov MV, Tolstoy PM. Simultaneous Estimation of Two Coupled Hydrogen Bond Geometries from Pairs of Entangled NMR Parameters: The Test Case of 4-Hydroxypyridine Anion. Molecules. 2022; 27(12):3923. https://doi.org/10.3390/molecules27123923

Chicago/Turabian Style

Tupikina, Elena Yu., Mark V. Sigalov, and Peter M. Tolstoy. 2022. "Simultaneous Estimation of Two Coupled Hydrogen Bond Geometries from Pairs of Entangled NMR Parameters: The Test Case of 4-Hydroxypyridine Anion" Molecules 27, no. 12: 3923. https://doi.org/10.3390/molecules27123923

APA Style

Tupikina, E. Y., Sigalov, M. V., & Tolstoy, P. M. (2022). Simultaneous Estimation of Two Coupled Hydrogen Bond Geometries from Pairs of Entangled NMR Parameters: The Test Case of 4-Hydroxypyridine Anion. Molecules, 27(12), 3923. https://doi.org/10.3390/molecules27123923

Article Metrics

Back to TopTop