Study of the Electrical Conductivity Characteristics of Micro and Nano-ZnO/LDPE Composites
Abstract
:1. Introduction
2. ZnO/LDPE Composites Preparation
- (1)
- Material Mixing
- (2)
- Tablet Pressing
- (3)
- Sample Coating
- (4)
- Sample Pre-treatment
3. Materials Structural Characterization and Conductivity Test
3.1. PLM Characterisation
3.2. FTIR Characterisation
3.3. Conductivity Test
3.3.1. Experimental Equipment
3.3.2. Experimental Process
- (1)
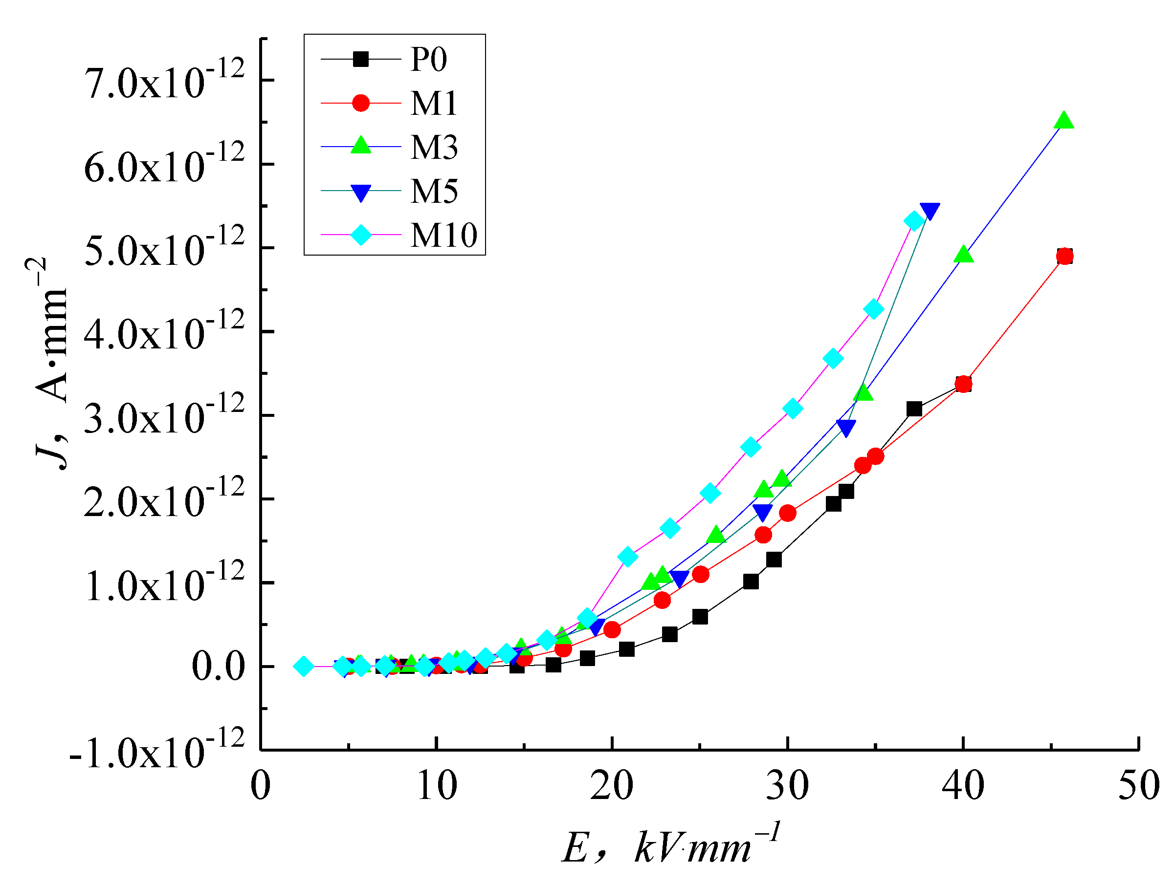
- Effect of ZnO particles on electrical conductivity characteristics of LDPE
- (2)
- Samples electrical conductivity characteristics under different temperatures
4. Conclusions
- (1)
- With increasing electric field intensity, the addition of nanoparticles into LDPE causes an inhibiting effect on the conductance current. The inhibition effect is more prominent with higher filler content because the nanoparticles added into the LDPE introduce deep traps and scatter charge carriers. The micro-particles increase the conductance current of LDPE in proportion to the filler content.
- (2)
- At normal temperatures, the LDPE results agree with the space charge limited current (SCLC) theory with the clear ohmic conductance regions and the non-ohmic conductance regions present in the J-E curve. As the temperature increases, the gradient of the LDPE J-E characteristic curve reduces, and the trilinear shape is no longer visible. When the temperature is at 60 °C and above, the increase of the electric field intensity to a certain value shows a reduction in the dependence conductance current and conductivity on the electric field intensity. The nanocomposites display a similar trend with temperature as the micro-composites. The inhibition effect of 5 wt.% nano-ZnO/LDPE on charge carriers’ mobility is the highest and the promotional effect of 10 wt.% micro-ZnO/LDPE on carriers’ mobility is the highest.
- (3)
- With increasing temperature, the conductivity of pure LDPE, micro-ZnO/LDPE, and nano-ZnO/LDPE increase by differing amounts. Charge carrier traps are introduced into micro-ZnO/LDPE compared with pure LDPE leading to a greater increase in conductivity with temperature. The interface structure in the nano-ZnO/LDPE samples causes the conductivity to remain low with increasing temperature.
Author Contributions
Funding
Data Availability Statement
Acknowledgments
Conflicts of Interest
References
- Wang, W.X.; Yang, Y. The Synergistic Effects of the Micro and Nano Particles in Micro-nano Composites on Enhancing the Resistance to Electrical Tree Degradation. Sci. Rep. 2017, 7, 8672. [Google Scholar] [CrossRef] [Green Version]
- Hu, H.T.; Zhang, X.H.; Zhang, D.P.; Gao, J.G.; Hu, C.X.; Wang, Y.Y. Study on the Nonlinear Conductivity of SiC/ZnO/Epoxy Resin Micro- and Nanocomposite Materials. Materials 2019, 12, 761. [Google Scholar] [CrossRef] [PubMed] [Green Version]
- Vaisakh, S.S.; Hassanzadeh, M.; Metz, R.; Ramakrishnan, S.; Chappelle, D.; Sudha, J.D.; Ananthakumar, S. Effect of nano/micro-mixed ceramic fillers on the dielectric and thermal properties of epoxy polymer composites. Polym. Adv. Technol. 2014, 25, 240–248. [Google Scholar] [CrossRef]
- Yang, Y.C.; Zhao, Y.J.; Quan, Z.Z.; Zhang, H.N.; Qin, X.H.; Wang, R.W.; Yu, J.Y. An efficient hybrid strategy for composite yarns of micro-/nano-fibers. Mater. Des. 2020, 184, 108196. [Google Scholar] [CrossRef]
- Cheng, Y.; Bai, L.; Yu, G.; Zhang, X. Effect of Particles Size on Dielectric Properties of Nano-ZnO/LDPE Composites. Materials 2019, 12, 5. [Google Scholar] [CrossRef] [PubMed] [Green Version]
- Cheng, Y.J.; Yu, G.; Zhang, X.H.; Yu, B.Y. The research of crystalline morphology and breakdown characteristics of polymer/Micro-Nano-Composites. Materials 2020, 13, 1432. [Google Scholar] [CrossRef] [Green Version]
- Du, Z.H.; Ni, X.H.; Liu, X.Q.; Cheng, Z.G.; Fu, Y.W.; Yu, J.F. Strength model for composite ceramics with nano-interface and micro-interface. Compos. Interfaces 2019, 26, 357–377. [Google Scholar] [CrossRef]
- Zhang, J.; Zuo, J.; Ai, W.; Liu, S.; Zhu, D.; Zhang, J.; Wei, C. Preparation of a new high-efficiency resin deodorant from coal gasification fine slag and its application in the removal of volatile organic compounds in polypropylene composites. J. Hazard. Mater. 2019, 384, 121347. [Google Scholar] [CrossRef]
- Wang, J.L.; Dong, S.F.; Li, Z.M.; Sahmaran, M.; Ding, S.Q.; Han, B.G. Understanding the effect of nano/mico-structures on anti-impact of nano-boron nitride filled cementitious composites. Constr. Build. Mater. 2021, 298, 123885. [Google Scholar] [CrossRef]
- Park, J.-J.; Lee, J.-Y. Electrical and mechanical properties of SiR/Nano-silica/Micro-SiC Composites. Trans. Electr. Electron. Mater. 2020, 21, 99–104. [Google Scholar] [CrossRef]
- Rudresh, B.M.; Kumar, B.N.R.; Madhu, D. Combined effect of micro- and nano-fillers on mechanical, thermal, and morphological behavior of glass-carbon PA66/PTEE hybrid nano-composites. Adv. Compos. Hybrid Mater. 2019, 2, 176–188. [Google Scholar] [CrossRef]
- Li, S.; Yin, G.; Bai, S. A new potential barrier model in epoxy resin nanodielectrics. Trans. Dielectr. Electr. Insul. 2011, 18, 1535–1543. [Google Scholar] [CrossRef]
- Yamano, Y. Control of electrical tree at initiation stage in LDPE by mixed addition of Al2O3 nano-particle and azobenzoic compound. IEEE Trans. Dielectr. Electr. Insul. 2014, 21, 209–216. [Google Scholar] [CrossRef]
- Klein, R.J.; Barber, P.; Chance, W.M. Covalently modified organic nanoplatelets and their use in polymer film capacitors with high dielectric breakdown and wide temperature operation. IEEE Trans. Dielectr. Electr. Insul. 2012, 19, 1234–1238. [Google Scholar] [CrossRef]
- Sethi, G.; Furman, E.; Koch, B. Influence of impedance contrast on field distribution and tree growth in laminate dielectrics. Model. Simul. Mater. Sci. Eng. 2014, 22, 025024. [Google Scholar] [CrossRef]
- Zheng, J.; Zhou, X.; Xie, X. Non-isothermal crystallization kinetics of polypropylene containing silica hybrid particles as fillers. Acta Mater. Compos. Sin. 2013, 30, 18–23. [Google Scholar]
- Venkatesulu, B.; Thomas, M.J. Corona aging studies on silicone rubber nanocomposites. IEEE Trans. Dielectr. Electr. Insul. 2010, 17, 625–634. [Google Scholar] [CrossRef]
- Yu, G.; Cheng, Y.; Zhang, X. The dielectric properties improvement of cable insulation layer by different morphology nanoparticles doping into LDPE. Coatings 2019, 9, 204. [Google Scholar] [CrossRef] [Green Version]
- Lei, Q.Q.; Fan, Y.; Wang, X. Structure property applications and developing trends of polymer nanocomposites. Trans. China Electrotech. Soc. 2006, 21, 1–7. [Google Scholar]
- Wang, Q.; Li, Z.; Yin, Y. The effect of Micro and Nano inorganic filler on the breakdown strength of epoxy resin. Trans. China Electrotech. Soc. 2014, 29, 230–235. [Google Scholar] [CrossRef]
- Roy, M.; Nelson, J.K.; MacCrone, R.K. Candidate mechanisms controlling the electrical characteristics of silica/XLPE nanodielectrics. Mater. Sci. 2007, 42, 3789–3799. [Google Scholar] [CrossRef]
- Wu, M.; Lu, L.; Yu, L.; Yu, X.; Naito, K.; Qu, X.; Zhang, Q. Preparation and Characterization of Epoxy/Alumina Nanocomposites. J. Nanosci. Nanotechnol. 2020, 20, 2964–2970. [Google Scholar] [CrossRef] [PubMed]












| Equipment Name | Model | Manufacturer |
|---|---|---|
| Electronic balance | YP202N | Sincere Dedication of Science and Technology Innovation, Shanghai, China |
| Electric booster mixer | JJ-1 | Rong Hua Equipment Manufacture Co., Ltd., Suzhou, China |
| Constant-temperature water-dissolving pot | DSY-2-4 | Shu Li Instrument Manufacturing Co., Ltd., Shanghai, China |
| Adjustable electric jacket | SHSL | Shu Li Instrument Manufacturing Co., Ltd., Shanghai, China |
| Vacuum pump | 2XZ-1 | Huang Yan Vacuum Pump Factory, Ningbo, China |
| Vacuum drying oven | DZF-6020MBE | Boxun Industry and Commerce Co., Ltd., Shanghai, China |
| Sand core funnel | G4 | GuangDa Glass Co., Ltd., Changchun, China |
| Samples Number | M-ZnO | N-ZnO |
|---|---|---|
| P0 | 0 wt% | 0 wt% |
| N1 | 0 wt% | 1 wt% |
| N3 | 0 wt% | 3 wt% |
| N5 | 0 wt% | 5 wt% |
| M1 | 1 wt% | 0 wt% |
| M3 | 3 wt% | 0 wt% |
| M5 | 5 wt% | 0 wt% |
| M10 | 10 wt% | 0 wt% |
Publisher’s Note: MDPI stays neutral with regard to jurisdictional claims in published maps and institutional affiliations. |
© 2022 by the authors. Licensee MDPI, Basel, Switzerland. This article is an open access article distributed under the terms and conditions of the Creative Commons Attribution (CC BY) license (https://creativecommons.org/licenses/by/4.0/).
Share and Cite
Yu, G.; Cheng, Y.; Duan, Z. Study of the Electrical Conductivity Characteristics of Micro and Nano-ZnO/LDPE Composites. Molecules 2022, 27, 3674. https://doi.org/10.3390/molecules27123674
Yu G, Cheng Y, Duan Z. Study of the Electrical Conductivity Characteristics of Micro and Nano-ZnO/LDPE Composites. Molecules. 2022; 27(12):3674. https://doi.org/10.3390/molecules27123674
Chicago/Turabian StyleYu, Guang, Yujia Cheng, and Zhuohua Duan. 2022. "Study of the Electrical Conductivity Characteristics of Micro and Nano-ZnO/LDPE Composites" Molecules 27, no. 12: 3674. https://doi.org/10.3390/molecules27123674
APA StyleYu, G., Cheng, Y., & Duan, Z. (2022). Study of the Electrical Conductivity Characteristics of Micro and Nano-ZnO/LDPE Composites. Molecules, 27(12), 3674. https://doi.org/10.3390/molecules27123674

