Theoretical Studies on the Role of Guest in α-CL-20/Guest Crystals
Abstract
:1. Introduction
2. Computational Methods
3. Results and Discussion
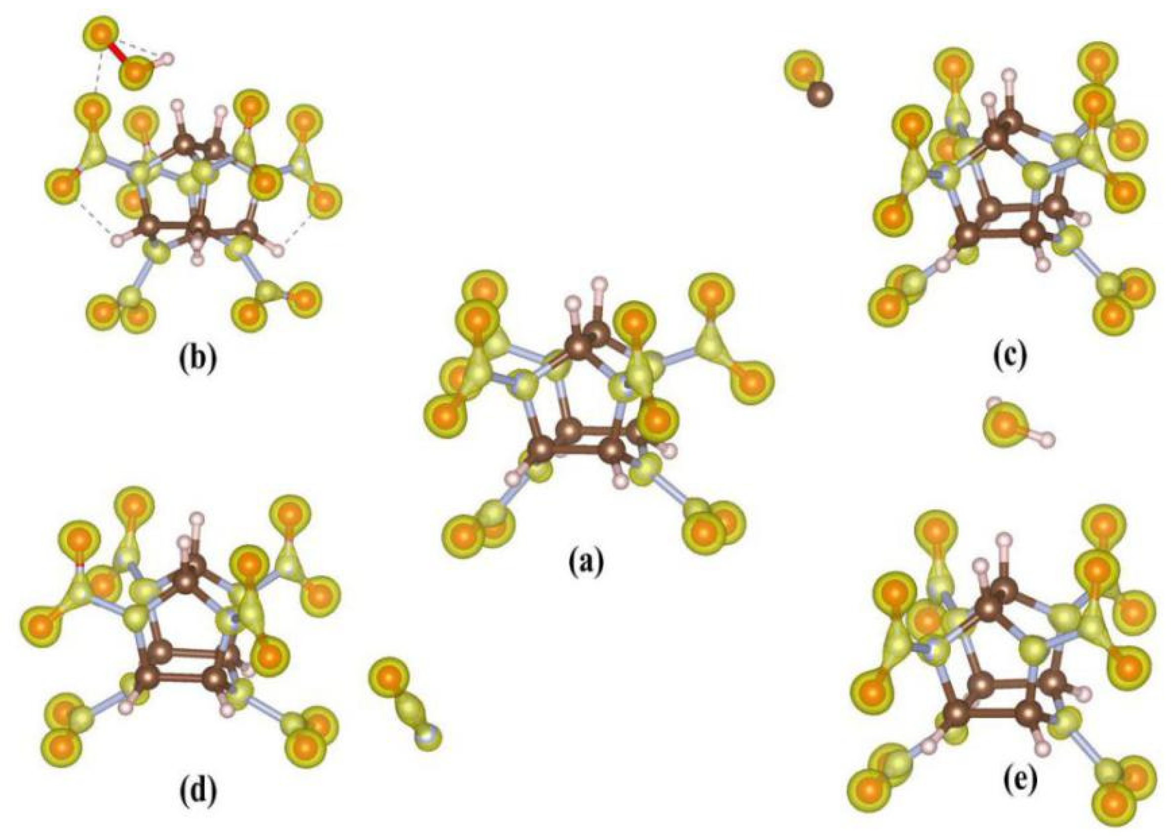
3.1. The Intermolecular Contacts of Host and Guest Molecules
3.2. Electrostatic and vdW Interaction Characteristics of Host and Guest Molecules
3.3. Effect on the Chemical Bonding of CL-20 by the Small Molecules
4. Conclusions
- (1)
- The dnorm Hirshfeld surfaces, 2-D fingerprint plot and individual atomic contact percentage contribution demonstrate that the cage of CL-20 fragments in host–guest complexes are more stable than CL-20. The electrostatic interaction energy shows that CL-20/H2O2 possesses stronger hydrogen bonds and stronger mutual attraction between host and guest molecules than other complexes. The specific distribution of host and guest molecules are affected by the polarity and oxidizability of the guest molecules;
- (2)
- The electrostatic interaction characteristics of host and guest molecules shows that overlapping surface potential only occurs for CL-20/H2O2. The interaction between CL-20 and H2O2 is biggest, while CL-20/H2O2 is the most stable complex compared with other complexes. The surfaces of van der Waals (vdW) potential shows that CL-20/H2O2 appears as a whole, while other host–guest complex consists of two parts. The potentials demonstrate that CL-20/H2O2 is the special existence for the other complex;
- (3)
- The charge density of CL-20 changes obviously with H2O and H2O2 insertion, although the charge of CL-20 changes little with N2O and CO2 insertion. The variation tendency of COHP demonstrates that the cage structure of CL-20 is made more stable by embedding H2O2 and H2O. However, the phenomenon is reversed by embedding CO2 and N2O. The charge density variation and stability of the host–guest complex is affected by the hydrogen content of the guest molecules.
Author Contributions
Funding
Institutional Review Board Statement
Informed Consent Statement
Acknowledgments
Conflicts of Interest
References
- Nielsen, A.T.; Chafin, A.P.; Christian, S.L.; Moore, D.W.; Nadler, M.P.; Nissan, R.A.; Flippen-Anderson, J.L. Synthesis of polyazapolycyclic caged polynitramines. Tetrahedron 1998, 54, 11793–11812. [Google Scholar] [CrossRef]
- Simpson, R.L.; Urtiew, P.A.; Ornellas, D.L.; Moody, G.L.; Scribner, K.J.; Hoffman, D.M. CL-20 Performance Exceeds that of HMX and its Sensitivity is Moderate. Propell. Explos. Pyrot. 1997, 22, 249–255. [Google Scholar] [CrossRef]
- Van der Heijden, A.E.; Bouma, R.H. Crystallization and Characterization of RDX, HMX, and CL-20. Cryst. Growth Des. 2004, 4, 999–1007. [Google Scholar] [CrossRef]
- Navasardyan, M.A.; Kuz’mina, L.G.; Churakov, A.V. Unusual isomorphism in crystals of organic solvates with hydrazine and water. CrystEngComm 2019, 21, 5693–5698. [Google Scholar] [CrossRef]
- Wang, Y.; Song, S.; Huang, C.; Qi, X.; Wang, K.; Liu, Y.; Zhang, Q. Hunting for advanced high-energy-density materials with well-balanced energy and safety through an energetic host–guest inclusion strategy. J. Mater. Chem. A 2019, 7, 19248–19257. [Google Scholar] [CrossRef]
- Vuppuluri, V.S.; Bennion, J.C.; Wiscons, R.A.; Gunduz, I.E.; Matzger, A.J.; Son, S.F. Detonation velocity measurement of a hydrogen peroxide solvate of CL-20. Propell. Explos. Pyrot. 2019, 44, 313–318. [Google Scholar] [CrossRef]
- Bennion, J.C.; Chowdhury, N.; Kampf, J.W.; Matzger, A.J. Hydrogen peroxide solvates of 2, 4, 6, 8, 10, 12-hexanitro-2, 4, 6, 8, 10, 12-hexaazaisowurtzitane. Angew. Chem. Int. Ed. 2016, 128, 13312–13315. [Google Scholar] [CrossRef]
- Xu, J.; Zheng, S.; Huang, S.; Tian, Y.; Liu, Y.; Zhang, H.; Sun, J. Host–guest energetic materials constructed by incorporating oxidizing gas molecules into an organic lattice cavity toward achieving highly-energetic and low-sensitivity performance. Chem. Commun. 2019, 55, 909–912. [Google Scholar] [CrossRef]
- Pu, L.; Xu, J.J.; Liu, X.F.; Sun, J. Investigation on the thermal expansion of four polymorphs of crystalline CL-20. J. Energ. Mater. 2016, 34, 205–215. [Google Scholar] [CrossRef]
- Xiao, Y.; Chen, L.; Geng, D.; Yang, K.; Lu, J.; Wu, J. A quantum-based molecular dynamics study of the ICM-102/HNO3 host-guest reaction at high temperatures. Phys. Chem. Chem. Phys. 2020, 22, 27002–27012. [Google Scholar] [CrossRef]
- Xiao, Y.; Chen, L.; Geng, D.; Yang, K.; Lu, J.; Wu, J.; Yu, B. Reaction mechanism of embedding oxidizing small molecules in energetic materials to improve the energy by reactive molecular dynamics simulations. J. Phys. Chem. C 2019, 123, 29144–29154. [Google Scholar] [CrossRef]
- Liu, G.; Wei, S.H.; Zhang, C. Review of the intermolecular interactions in energetic molecular cocrystals. Cryst. Growth Des. 2020, 20, 7065–7079. [Google Scholar] [CrossRef]
- Zhao, X.; Huang, S.; Liu, Y.; Li, J.; Zhu, W. Effects of noncovalent interactions on the impact sensitivity of HNS-based cocrystals: A DFT study. Crys. Growth Des. 2018, 19, 756–767. [Google Scholar] [CrossRef]
- Ji, J.; Zhu, W. Theoretical studies on the role of each component in benzotrifuroxan/2, 4, 6-trinitrotoluene cocrystal. Chem. Phys. Lett. 2020, 753, 137608. [Google Scholar] [CrossRef]
- Steinberg, S.; Dronskowski, R. The crystal orbital Hamilton population (COHP) method as a tool to visualize and analyze chemical bonding in intermetallic compounds. Crystals 2018, 8, 225. [Google Scholar] [CrossRef] [Green Version]
- Chai, J.D.; Head-Gordon, M. Long-range corrected hybrid density functionals with damped atom-atom dispersion corrections. Phys. Chem. Chem. Phys. 2008, 10, 6615–6620. [Google Scholar] [CrossRef] [Green Version]
- Weigend, F.; Ahlrichs, R. Balanced basis sets of split valence, triple zeta valence and quadruple zeta valence quality for H to Rn: Design and assessment of accuracy. Phys. Chem. Chem. Phys. 2005, 7, 3297–3305. [Google Scholar] [CrossRef]
- Lu, T.; Chen, F. Multiwfn: A multifunctional wavefunction analyzer. J. Comput. Chem. 2012, 33, 580–592. [Google Scholar] [CrossRef]
- Humphrey, W.; Dalke, A.; Schulten, K. VMD: Visual molecular dynamics. J. Mol. Graph. 1996, 14, 33–38. [Google Scholar] [CrossRef]
- Wolff, S.K.; Grimwood, D.J.; McKinnon, J.J.; Jayatilaka, D.; Spackman, M.A. CrystalExplorer, 2.1; University of Western Australia: Perth, Australia, 2007. [Google Scholar]
- Spackman, M.A.; Jayatilaka, D. Hirshfeld surface analysis. CrystEngComm 2009, 11, 19–32. [Google Scholar] [CrossRef]
- Spackman, P.R.; Turner, M.J.; McKinnon, J.J.; Wolff, S.K.; Grimwood, D.J.; Jayatilaka, D.; Spackman, M.A. CrystalExplorer: A program for Hirshfeld surface analysis, visualization and quantitative analysis of molecular crystals. J. Appl. Cryst. 2021, 54, 1006–1011. [Google Scholar] [CrossRef] [PubMed]
- Wood, P.A.; McKinnon, J.J.; Parsons, S.; Pidcock, E.; Spackman, M.A. Analysis of the compression of molecular crystal structures using Hirshfeld surfaces. CrystEngComm 2008, 10, 368–376. [Google Scholar] [CrossRef]
- Spackman, M.A.; McKinnon, J.J. Fingerprinting intermolecular interactions in molecular crystals. CrystEngComm 2002, 4, 378–392. [Google Scholar] [CrossRef]
- McKinnon, J.J.; Spackman, M.A.; Mitchell, A.S. Novel tools for visualizing and exploring intermolecular interactions in molecular crystals. Acta Crystallogr. B 2004, 60, 627–668. [Google Scholar] [CrossRef]
- McKinnon, J.J.; Fabbiani, F.P.; Spackman, M.A. Comparison of polymorphic molecular crystal structures through Hirshfeld surface analysis. Cryst. Growth Des. 2007, 7, 755–769. [Google Scholar] [CrossRef]
- McKinnon, J.J.; Jayatilaka, D.; Spackman, M.A. Towards quantitative analysis of intermolecular interactions with Hirshfeld surfaces. Chem. Commun. 2007, 37, 3814–3816. [Google Scholar] [CrossRef]
- Richard, F.; Bader, R. Atoms in Molecules: A Quantum Theory; Clarendon Press: Oxford, UK, 1990. [Google Scholar]
- Otero-de-la-Roza, A.; Blanco, M.A.; Pendás, A.M.; Luaña, V. Critic: A new program for the topological analysis of solid-state electron densities. Comput. Phys. Commun. 2009, 180, 157–166. [Google Scholar] [CrossRef]
- Otero-de-la-Roza, A.; Johnson, E.R.; Luaña, V. Critic2: A program for real-space analysis of quantum chemical interactions in solids. Comput. Phys. Commun. 2014, 185, 1007–1018. [Google Scholar] [CrossRef]
- Kresse, G.; Hafner, J. Ab initio molecular dynamics for liquid metals. Phys. Rev. B 1993, 47, 558. [Google Scholar] [CrossRef]
- Kresse, G.; Furthmüller, J. Efficiency of ab-initio total energy calculations for metals and semiconductors using a plane-wave basis set. Comput. Mater. Sci. 1996, 6, 15–50. [Google Scholar] [CrossRef]
- Kresse, G.; Furthmüller, J. Efficient iterative schemes for ab initio total-energy calculations using a plane-wave basis set. Phys. Rev. B 1996, 54, 11169. [Google Scholar] [CrossRef] [PubMed]
- Kresse, G.; Joubert, D. From ultrasoft pseudopotentials to the projector augmented-wave method. Phys. Rev. B 1999, 59, 1758. [Google Scholar] [CrossRef]
- Nelson, R.; Konze, P.M.; Dronskowski, R. First-principles chemical bonding study of manganese carbodiimide, MnNCN, as compared to manganese oxide, MnO. J. Phys. Chem. A 2017, 121, 7778–7786. [Google Scholar] [CrossRef] [PubMed]
- Nelson, R.; Ertural, C.; George, J.; Deringer, V.L.; Hautier, G.; Dronskowski, R. LOBSTER: Local orbital projections, atomic charges, and chemical-bonding analysis from projector-augmented-wave-based density-functional theory. J. Comput. Chem. 2020, 41, 1931–1940. [Google Scholar] [CrossRef] [PubMed]
- Rivera, R. Boost c++ Libraries. 2013. Available online: http://www.boost.org/ (accessed on 13 April 2022).
- Guennebaud, G.; Jacob, B. Eigen. 2010. Available online: http://eigen.tuxfamily.org (accessed on 3 June 2013).
- Frisch, M.J. GAUSSIAN16; Revision A. 03; Gaussian Inc.: Wallingford, CT, USA, 2016. [Google Scholar]
- Ma, Y.; Meng, L.; Li, H.; Zhang, C. Enhancing intermolecular interactions and their anisotropy to build low-impact-sensitivity energetic crystals. CrystEngComm 2017, 19, 3145–3155. [Google Scholar] [CrossRef]
- Gelalcha, F.G.; Schulze, B.; Lönnecke, P. 3, 3, 6, 6-Tetramethyl-1, 2, 4, 5-tetroxane: A twinned crystal structure. Acta Crystallogr. C 2004, 60, o180–o182. [Google Scholar] [CrossRef] [PubMed]
- Zhang, C.; Xue, X.; Cao, Y.; Zhou, J.; Zhang, A.; Li, H.; Gao, T. Toward low-sensitive and high-energetic co-crystal II: Structural, electronic and energetic features of CL-20 polymorphs and the observed CL-20-based energetic-energetic co-crystals. CrystEngComm 2014, 16, 5905–5916. [Google Scholar] [CrossRef]
- Ma, Y.; Zhang, A.; Xue, X.; Jiang, D.; Zhu, Y.; Zhang, C. Crystal packing of impact-sensitive high-energy explosives. Cryst. Growth Des. 2014, 14, 6101–6114. [Google Scholar] [CrossRef]
- Murray, J.S.; Politzer, P. The electrostatic potential: An overview. Wiles Comput. Mol. Sci. 2011, 1, 153–163. [Google Scholar] [CrossRef]
- Lu, T.; Chen, F. Quantitative analysis of molecular surface based on improved Marching Tetrahedra algorithm. J. Mol. Graph. Mod. 2012, 38, 314–323. [Google Scholar] [CrossRef]
- Lu, T.; Manzetti, S. Wavefunction and reactivity study of benzo [a] pyrene diol epoxide and its enantiomeric forms. Struct. Chem. 2014, 25, 1521–1533. [Google Scholar] [CrossRef]
- Wei, X.; Ma, Y.; Long, X.; Zhang, C. A strategy developed from the observed energetic–energetic cocrystals of BTF: Cocrystallizing and stabilizing energetic hydrogen-free molecules with hydrogenous energetic coformer molecules. CrystEngComm 2015, 17, 7150–7159. [Google Scholar] [CrossRef]
- Contreras-García, J.; Yang, W.; Johnson, E.R. Analysis of hydrogen-bond interaction potentials from the electron density: Integration of noncovalent interaction regions. J. Phys. Chem. A 2011, 115, 12983–12990. [Google Scholar] [CrossRef] [Green Version]
- De Silva, P.; Corminboeuf, C. Simultaneous visualization of covalent and noncovalent interactions using regions of density overlap. J. Chem. Theory Comput. 2014, 10, 3745–3756. [Google Scholar] [CrossRef] [PubMed]















| Electrostatic Interaction Energy | CL-20/N2O | CL-20/H2O2 | CL-20/H2O | CL-20/CO2 |
|---|---|---|---|---|
| Guest…H | −0.21 | −1.55 | −0.45 | −0.11 |
| Guest…H | −0.23 | −1.20 | −0.47 | −0.07 |
| Guest…H | −0.23 | −3.77 | −0.29 | −0.09 |
| Guest…H | −0.28 | -- | -- | −0.07 |
| Guest…C | −0.13 | −1.14 | −0.27 | −0.07 |
| Guest…C | −0.14 | −0.80 | −0.24 | −0.04 |
| Guest…C | −0.13 | −1.44 | −0.26 | −0.05 |
| Guest…C | −0.18 | -- | -- | −0.05 |
| Guest…N | −1.4 | −6.20 | −1.47 | −0.34 |
| Guest…N | −0.96 | −5.08 | −1.42 | −0.28 |
| Guest…O | 0.49 | 5.41 | 1.01 | 0.13 |
| Guest…O | 0.52 | 1.76 | 0.93 | 0.18 |
| Guest…O | 0.83 | −0.65 | 0.9 | 0.33 |
| Guest…O | 0.7 | 1.81 | 0.84 | 0.38 |
| Guest…N | 0.34 | 2.62 | 0.42 | 0.08 |
| Guest…N | 0.31 | 1.36 | 0.43 | 0.13 |
| Guest…CL-20 | −0.14 | −8.93 | −0.11 | 0.03 |
| CL-20 | CL-20/H2O2 | CL-20/CO2 | CL-20/N2O | CL-20/H2O | |
|---|---|---|---|---|---|
| C1 | 3.439943 | 3.39528 | 3.365282 | 3.415394 | 3.484355 |
| C2 | 3.368974 | 3.347578 | 3.463434 | 3.414919 | 3.389329 |
| C3 | 3.407468 | 3.389311 | 3.438538 | 3.37998 | 3.440836 |
| C4 | 3.361728 | 3.364322 | 3.42262 | 3.44343 | 3.464925 |
| C5 | 3.426331 | 3.465616 | 3.465766 | 3.414552 | 3.449965 |
| C6 | 3.466851 | 3.392609 | 3.49393 | 3.406848 | 3.448265 |
| H1 | 0.760157 | 0.773847 | 0.779039 | 0.804121 | 0.769744 |
| H2 | 0.764535 | 0.816269 | 0.724538 | 0.778757 | 0.782522 |
| H3 | 0.764828 | 0.764591 | 0.727955 | 0.785294 | 0.767634 |
| H4 | 0.788069 | 0.769692 | 0.76251 | 0.753908 | 0.70013 |
| H5 | 0.735678 | 0.757301 | 0.748393 | 0.773186 | 0.784986 |
| H6 | 0.774061 | 0.812159 | 0.735549 | 0.79133 | 0.763559 |
| N1 | 4.30006 | 5.658855 | 5.674066 | 4.356636 | 5.641745 |
| N2 | 5.73423 | 5.769231 | 4.295426 | 5.628674 | 5.661261 |
| N3 | 4.292966 | 5.749727 | 5.641763 | 5.628986 | 5.688769 |
| N4 | 5.691062 | 5.615677 | 4.311871 | 4.260681 | 5.666697 |
| N5 | 4.307686 | 5.61475 | 5.724673 | 5.699055 | 5.638395 |
| N6 | 5.671315 | 5.708823 | 4.291829 | 4.263904 | 5.622085 |
| N7 | 4.335934 | 4.317027 | 5.75138 | 5.672504 | 4.344943 |
| N8 | 5.758303 | 4.307445 | 4.228027 | 4.313575 | 4.308734 |
| N9 | 4.273575 | 4.302678 | 5.659884 | 5.631423 | 4.276512 |
| N10 | 5.641856 | 4.291919 | 4.290824 | 4.28659 | 4.314033 |
| N11 | 4.276282 | 4.279109 | 5.638803 | 5.749158 | 4.29891 |
| N12 | 5.640089 | 4.222286 | 4.324952 | 4.282773 | 4.288023 |
| O1 | 6.420255 | 6.447034 | 6.427327 | 6.423941 | 6.370973 |
| O2 | 6.404339 | 6.413201 | 6.425237 | 6.379549 | 6.403641 |
| O3 | 6.442006 | 6.401898 | 6.422331 | 6.415535 | 6.399926 |
| O4 | 6.425998 | 6.396192 | 6.400269 | 6.441002 | 6.428866 |
| O5 | 6.448879 | 6.408842 | 6.423134 | 6.443255 | 6.428065 |
| O6 | 6.39755 | 6.432817 | 6.437646 | 6.439187 | 6.442918 |
| O7 | 6.397592 | 6.456496 | 6.437232 | 6.432066 | 6.447627 |
| O8 | 6.383578 | 6.406194 | 6.444439 | 6.41519 | 6.39301 |
| O9 | 6.407534 | 6.391632 | 6.419992 | 6.427163 | 6.410583 |
| O10 | 6.452038 | 6.43961 | 6.408803 | 6.41524 | 6.411922 |
| O11 | 6.418675 | 6.485976 | 6.393027 | 6.431183 | 6.442122 |
| O12 | 6.41958 | 6.441443 | 6.404066 | 6.401798 | 6.438503 |
| CL-20 | CL20/2H2O2 | CL-20/CO2 | CL-20/N2O | CL-20/H2O | ||
|---|---|---|---|---|---|---|
| C2 | C4 | 0.00002 | −8.21658 | −0.00173 | −0.00057 | 0.0002 |
| C1 | C5 | −0.00025 | −8.03599 | 0.00198 | −0.0002 | 0.01161 |
| C3 | C6 | −6.7622 | −8.14678 | −0.04313 | −0.01217 | −6.60075 |
| C4 | N6 | −0.00005 | −9.51721 | −0.00181 | −0.00003 | −0.0121 |
| C5 | N8 | −0.00019 | −9.71781 | −0.00451 | −0.00019 | −0.01402 |
| C3 | N4 | −0.00137 | −9.55936 | −0.00488 | −0.00008 | −0.01631 |
| C5 | N10 | −0.0131 | −9.69842 | −0.01563 | −0.00046 | −0.01388 |
| C4 | N8 | −0.01183 | −9.79839 | −0.01508 | −0.00517 | −0.01563 |
| C2 | N2 | −0.01704 | −9.78396 | −0.01586 | −0.00055 | −0.01549 |
| C6 | N12 | −0.01232 | −9.96269 | −0.01587 | −0.00344 | −0.0268 |
| C3 | N6 | −0.00257 | −10.05424 | −0.0182 | −0.04103 | 0.0168 |
| C6 | N10 | −0.0202 | −10.20592 | −0.02711 | −0.00554 | −0.02778 |
| C1 | N12 | −9.58089 | −10.20256 | −0.03043 | −0.00211 | −9.66028 |
| C2 | N4 | −9.77474 | −10.50934 | −9.53927 | −0.00988 | −9.71233 |
| C1 | N2 | −10.18768 | −10.55467 | −10.04402 | −0.12441 | −10.00431 |
| H7 | C4 | 0.0039 | −6.82756 | −0.00003 | 0.00352 | 0.00254 |
| H9 | C5 | 0.00039 | −6.79854 | −0.00024 | −0.02047 | 0.00284 |
| H11 | C6 | 0.00094 | −7.0202 | −0.0017 | −0.02405 | −0.02669 |
| H1 | C1 | −0.0436 | −6.84098 | −8.09852 | −0.0435 | −0.03322 |
| H3 | C2 | 0.00244 | −6.83071 | −7.98601 | −0.46923 | 0.01673 |
| H5 | C3 | −0.00919 | −6.8202 | −8.1083 | −0.46346 | −7.9553 |
| N12 | N11 | −9.65004 | −9.25005 | −9.54528 | −0.00024 | −0.00058 |
| N10 | N9 | −9.80733 | −9.95989 | −9.54889 | −0.00002 | 0.00034 |
| N2 | N1 | −10.25476 | −9.99392 | −9.97115 | −0.00565 | −0.00456 |
| N8 | N7 | −10.43611 | −10.66563 | −10.11909 | −0.01187 | −0.00033 |
| N6 | N5 | −10.92593 | −11.20556 | −10.81519 | −0.4354 | −0.00171 |
| N4 | N3 | −11.03219 | −11.40287 | −11.25665 | −0.4642 | 0.00082 |
| N5 | O5 | −16.25535 | −15.98383 | −16.24132 | 0.00001 | −9.41873 |
| N7 | O7 | −16.5398 | −16.29451 | −16.47698 | 0.00006 | −9.81729 |
| N3 | O3 | −16.50557 | −16.88862 | −16.47518 | −0.04298 | −9.78804 |
| N9 | O9 | −16.61515 | −16.88697 | −16.73727 | −10.6239 | −10.36198 |
| N11 | O11 | −16.6889 | −16.98825 | −16.59197 | −10.69822 | −10.91247 |
| N1 | O1 | −16.65992 | −17.23416 | −16.77597 | −20.88737 | −11.55274 |
Publisher’s Note: MDPI stays neutral with regard to jurisdictional claims in published maps and institutional affiliations. |
© 2022 by the authors. Licensee MDPI, Basel, Switzerland. This article is an open access article distributed under the terms and conditions of the Creative Commons Attribution (CC BY) license (https://creativecommons.org/licenses/by/4.0/).
Share and Cite
Zhou, M.; Ye, C.; Xiang, D. Theoretical Studies on the Role of Guest in α-CL-20/Guest Crystals. Molecules 2022, 27, 3266. https://doi.org/10.3390/molecules27103266
Zhou M, Ye C, Xiang D. Theoretical Studies on the Role of Guest in α-CL-20/Guest Crystals. Molecules. 2022; 27(10):3266. https://doi.org/10.3390/molecules27103266
Chicago/Turabian StyleZhou, Mingming, Caichao Ye, and Dong Xiang. 2022. "Theoretical Studies on the Role of Guest in α-CL-20/Guest Crystals" Molecules 27, no. 10: 3266. https://doi.org/10.3390/molecules27103266
APA StyleZhou, M., Ye, C., & Xiang, D. (2022). Theoretical Studies on the Role of Guest in α-CL-20/Guest Crystals. Molecules, 27(10), 3266. https://doi.org/10.3390/molecules27103266

